Comparison of Metabolic Syndrome, Autoimmune and Viral Distinctive Inflammatory Related Conditions as Affected by Body Mass Index
Abstract
1. Introduction
2. Materials and Methods
2.1. Study Design
2.2. Study Participants: Inclusion and Exclusion Criteria
2.2.1. Inclusion Criteria
2.2.2. Exclusion Criteria
2.3. Variables Analyzed
2.3.1. Anthropometric and Body Composition Measurements
2.3.2. Hematological and Biochemical Measurements
2.3.3. Clinical Metabolic Measurements and Quality of Life Data
2.4. Statistical Analyses
3. Results
3.1. Assessment of Anthropometric Measurements, Biochemical Data and Quality of Life Questionnaires at Baseline
3.2. Assessment of Hematological and Inflammatory Variables
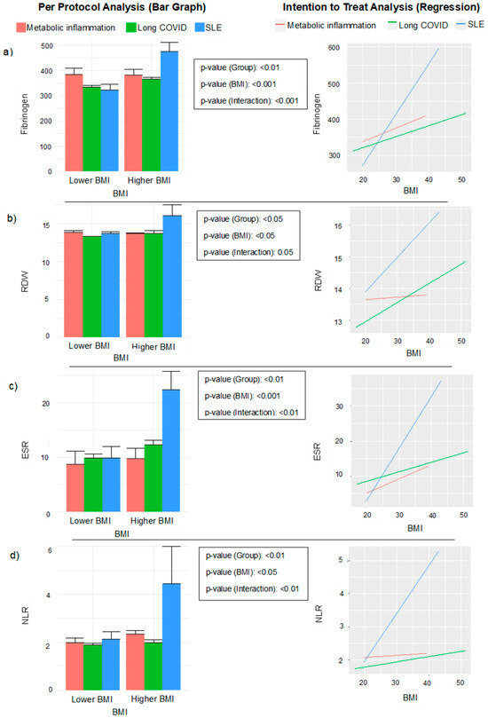
3.3. Bar Graphs Representation and Simple Linear Models Concerning Inflammatory Variables Depending on Disease and BMI
3.4. HRQoL and Metabolic Age Analysis by Dichotomized BMI
3.5. Linear Multiple Regression of Inflammatory Variables and HRQoL
4. Discussion
5. Conclusions
Author Contributions
Funding
Institutional Review Board Statement
Informed Consent Statement
Data Availability Statement
Acknowledgments
Conflicts of Interest
References
- Abdolmaleki, F.; Kovanen, P.T.; Mardani, R.; Gheibi-hayat, S.M.; Bo, S.; Sahebkar, A. Resolvins: Emerging players in autoimmune and inflammatory diseases. Clin. Rev. Allergy Immunol. 2020, 58, 82–91. [Google Scholar] [CrossRef] [PubMed]
- Gusev, E.; Sarapultsev, A.; Solomatina, L.; Chereshnev, V. SARS-CoV-2-specific immune response and the pathogenesis of COVID-19. Int. J. Mol. Sci. 2022, 23, 1716. [Google Scholar] [CrossRef] [PubMed]
- Feehan, K.T.; Gilroy, D.W. Is resolution the end of inflammation? Trends Mol. Med. 2019, 25, 198–214. [Google Scholar] [CrossRef] [PubMed]
- Leuti, A.; Fazio, D.; Fava, M.; Piccoli, A.; Oddi, S.; Maccarrone, M. Bioactive lipids, inflammation and chronic diseases. Adv. Drug Deliv. Rev. 2020, 159, 133–169. [Google Scholar] [CrossRef] [PubMed]
- Mok, C.C. Metabolic syndrome and systemic lupus erythematosus: The connection. Expert. Rev. Clin. Immunol. 2019, 15, 765–775. Available online: https://pubmed.ncbi.nlm.nih.gov/31094570/ (accessed on 1 October 2024). [CrossRef]
- Rohleder, N. Stress and inflammation—The need to address the gap in the transition between acute and chronic stress effects. Psychoneuroendocrinology 2019, 105, 164–171. [Google Scholar] [CrossRef]
- Charles-Messance, H.; Mitchelson, K.A.J.; De Marco Castro, E.; Sheedy, F.J.; Roche, H.M. Regulating metabolic inflammation by nutritional modulation. J. Allergy Clin. Immunol. 2020, 146, 706–720. [Google Scholar] [CrossRef]
- Gaber, T.; Strehl, C.; Buttgereit, F. Metabolic regulation of inflammation. Nat. Rev. Rheumatol. 2017, 13, 267–279. [Google Scholar] [CrossRef]
- Castanares-Zapatero, D.; Chalon, P.; Kohn, L.; Dauvrin, M.; Detollenaere, J.; Maertens de Noordhout, C.; Primus-de Jong, C.; Cleemput, I.; Van den Heede, K. Patho-physiology and mechanism of long COVID: A comprehensive review. Ann. Med. 2022, 54, 1473–1487. [Google Scholar] [CrossRef]
- Fava, A.; Petri, M. Systemic lupus erythematosus: Diagnosis and clinical management. J. Autoimmun. 2019, 96, 1–13. [Google Scholar] [CrossRef]
- Szabo, S.; Zayachkivska, O.; Hussain, A.; Muller, V. What is really ‘Long COVID’? Inflammopharmacology 2023, 31, 551–557. [Google Scholar] [CrossRef] [PubMed]
- Ellulu, M.S. Obesity, cardiovascular disease, and role of vitamin C on inflammation: A review of facts and under-lying mechanisms. Inflammopharmacology 2017, 25, 313–328. [Google Scholar] [CrossRef] [PubMed]
- Del Giudice, M.; Gangestad, S.W. Rethinking IL-6 and CRP: Why they are more than inflammatory biomarkers, and why it matters. Brain Behav. Immun. 2018, 70, 61–75. [Google Scholar] [CrossRef] [PubMed]
- Idriss, H.T.; Naismith, J.H. TNF alpha and the TNF receptor superfamily: Structure-function relationship(s). Microsc. Res. Tech. 2000, 50, 184–195. [Google Scholar] [CrossRef]
- Sproston, N.R.; Ashworth, J.J. Role of C-reactive protein at sites of inflammation and infection. Front. Immunol. 2018, 9, 754. [Google Scholar] [CrossRef]
- Wu, L.; Zou, S.; Wang, C.; Tan, X.; Yu, M. Neutrophil-to-lymphocyte and platelet-to-lymphocyte ratio in Chinese Han population from Chaoshan region in South China. BMC Cardiovasc. Disord. 2019, 19, 125. Available online: https://pubmed.ncbi.nlm.nih.gov/31132989/ (accessed on 1 October 2024). [CrossRef]
- Evans, T.C.; Jehle, D. The red blood cell distribution width. J. Emerg. Med. 1991, 9, 71–74. [Google Scholar] [CrossRef]
- Luyendyk, J.P.; Schoenecker, J.G.; Flick, M.J. The multifaceted role of fibrinogen in tissue injury and inflammation. Blood 2019, 133, 511–520. Available online: https://pubmed.ncbi.nlm.nih.gov/30523120/ (accessed on 1 October 2024). [CrossRef]
- Lapić, I.; Padoan, A.; Bozzato, D.; Plebani, M. Erythrocyte sedimentation rate and C-reactive protein in acute inflammation. Am. J. Clin. Pathol. 2020, 153, 14–29. [Google Scholar] [CrossRef]
- Ni, M.Y.; Yao, X.I.; Cheung, F.; Wu, J.T.; Schooling, C.M.; Pang, H.; Leung, G.M. Determinants of physical, mental and social well-being: A longitudinal environment-wide association study. Int. J. Epidemiol. 2020, 49, 380–389. [Google Scholar] [CrossRef]
- Haraldstad, K.; Wahl, A.; Andenæs, R.; Andersen, J.R.; Andersen, M.H.; Beisland, E.; Borge, C.R.; Engebretsen, E.; Eisemann, M.; Halvorsrud, L.; et al. A systematic review of quality of life research in medicine and health sciences. Qual. Life Res. 2019, 28, 2641–2650. [Google Scholar] [CrossRef] [PubMed]
- Nasim, A.; Haq, N.U.; Riaz, S.; Khan, S.I.; Khuda, F.; Sipra, M.F.; Tariq, B.; Tahir, M.; Saood, M.; Yasmin, R.; et al. Factors and predictors of health related quality of life of the general population of Pakistan. Front. Public Health 2022, 10, 819088. [Google Scholar] [CrossRef] [PubMed]
- van den Akker, E.B.; Trompet, S.; Barkey Wolf, J.J.H.; Beekman, M.; Suchiman, H.E.D.; Deelen, J.; Asselbergs, F.W.; Boersma, E.; Cats, D.; Elders, P.M.; et al. Metabolic age based on the BBMRI-NL 1 H-NMR metabolomics repository as biomarker of age-related disease. Circ. Genom. Precis. Med. 2020, 13, 541–547. [Google Scholar] [CrossRef] [PubMed]
- Distler, O.; Ludwig, R.J.; Niemann, S.; Riemekasten, G.; Schreiber, S. Editorial: Precision medicine in chronic inflammation. Front. Immunol. 2021, 12, 770462. [Google Scholar] [CrossRef]
- Twilt, M. Precision Medicine: The new era in medicine. EBioMedicine 2016, 4, 24–25. [Google Scholar] [CrossRef]
- Andersen, C.J.; Murphy, K.E.; Fernandez, M.L. Impact of obesity and metabolic syndrome on immunity. Adv. Nutr. 2016, 7, 66–75. [Google Scholar] [CrossRef]
- Versini, M.; Jeandel, P.-Y.; Rosenthal, E.; Shoenfeld, Y. Obesity in autoimmune diseases: Not a passive bystander. Autoimmun. Rev. 2014, 13, 981–1000. [Google Scholar] [CrossRef]
- Shang, L.; Wang, L.; Zhou, F.; Li, J.; Liu, Y.; Yang, S. Long-term effects of obesity on COVID-19 patients discharged from hospital. Immun. Inflamm. Dis. 2021, 9, 1678–1685. [Google Scholar] [CrossRef]
- Geerling, E.; Hameed, M.; Weger-Lucarelli, J.; Pinto, A.K. Metabolic syndrome and aberrant immune responses to viral infection and vaccination: Insights from small animal models. Front. Immunol. 2022, 13, 1015563. [Google Scholar] [CrossRef]
- Perakakis, N.; Harb, H.; Hale, B.G.; Varga, Z.; Steenblock, C.; Kanczkowski, W.; Alexaki, V.I.; Ludwig, B.; Mirtschink, P.; Solimena, M.; et al. Mechanisms and clinical relevance of the bidirectional relationship of viral infections with metabolic diseases. Lancet Diabetes Endocrinol. 2023, 11, 675–693. [Google Scholar] [CrossRef]
- World Health Organization (WHO). Fact Sheet: Obesity and Overweight; World Health Organization (WHO): Geneva, Switzerland, 2017. Available online: https://www.who.int/news-room/fact-sheets/detail/obesity-and-overweight (accessed on 1 October 2024).
- Organización Mundial de la Salud. Obesity and Overweight. 2024. Available online: https://www.who.int/es/news-room/fact-sheets/detail/obesity-and-overweight (accessed on 11 March 2024).
- Hejrati, A.; Rafiei, A.; Soltanshahi, M.; Hosseinzadeh, S.; Dabiri, M.; Taghadosi, M.; Taghiloo, S.; Bashash, D.; Khorshidi, F.; Zafari, P. Innate immune response in systemic autoimmune diseases: A potential target of therapy. Inflammopharmacology 2020, 28, 1421–1438. [Google Scholar] [CrossRef] [PubMed]
- Xiang, Y.; Zhang, M.; Jiang, D.; Su, Q.; Shi, J. The role of inflammation in autoimmune disease: A therapeutic target. Front. Immunol. 2023, 14, 1267091. [Google Scholar] [CrossRef] [PubMed]
- Khanna, D.; Khanna, S.; Khanna, P.; Kahar, P.; Patel, B.M. Obesity: A chronic low-grade inflammation and its markers. Cureus 2022, 14, e22711. [Google Scholar] [CrossRef] [PubMed]
- Chait, A.; den Hartigh, L.J. Adipose Tissue Distribution, Inflammation and Its Metabolic Consequences, Including Diabetes and Cardiovascular Disease. Front. Cardiovasc. Med. 2020, 7, 522637. [Google Scholar] [CrossRef]
- Saklayen, M.G. The Global Epidemic of the Metabolic Syndrome. Curr. Hypertens. Rep. 2018, 20, 12. [Google Scholar] [CrossRef]
- Apaza, C.J.; Cerezo, J.F.; García-Tejedor, A.; Giménez-Bastida, J.A.; Laparra-Llopis, J.M. Revisiting the Immunometabolic Basis for the Metabolic Syndrome from an Immunonutritional View. Biomedicines 2024, 12, 1825. [Google Scholar] [CrossRef]
- Rochlani, Y.; Pothineni, N.V.; Kovelamudi, S.; Mehta, J.L. Metabolic syndrome: Pathophysiology, management, and modulation by natural compounds. Ther. Adv. Cardiovasc. Dis. 2017, 11, 215–225. [Google Scholar] [CrossRef]
- Monteiro, R.; Azevedo, I. Chronic inflammation in obesity and the metabolic syndrome. Mediat. Inflamm. 2010, 2010, 289645. [Google Scholar] [CrossRef]
- Maamar, M.; Artime, A.; Pariente, E.; Fierro, P.; Ruiz, Y.; Gutiérrez, S.; Tobalina, M.; Díaz-Salazar, S.; Ramos, C.; Olmos, J.M.; et al. Post-COVID-19 syndrome, low-grade inflammation and inflammatory markers: A cross-sectional study. Curr. Med. Res. Opin. 2022, 38, 901–909. [Google Scholar] [CrossRef]
- Pintos, I.; Moreno-Torres, V.; Ibánez-Estéllez, F.; Corrales-Rodriguez, P.; Treviño, A.; Corpas, M.; Corral, O.J.; Soriano, V.; de Mendoza, C. Is SARS-CoV-2 the only cause of long-COVID? AIDS Rev. 2022, 24, 183–196. [Google Scholar] [CrossRef] [PubMed]
- NIHR (National Institute for Health Research). Living with COVID-19; National Institute for Health Research: London, UK, 2021.
- Aringer, M. Inflammatory markers in systemic lupus erythematosus. J. Autoimmun. 2020, 110, 102374. [Google Scholar] [CrossRef] [PubMed]
- Moreno-Torres, V.; Castejón, R.; Martínez-Urbistondo, M.; Gutiérrez-Rojas, Á.; Vázquez-Comendador, J.; Tutor, P.; Durán-del Campo, P.; Mellor-Pita, S.; Rosado, S.; Vargas-Núñez, J.A. Serum cytokines to predict systemic lupus erythematosus clinical and serological activity. Clin. Transl. Sci. 2022, 15, 1676–1686. [Google Scholar] [CrossRef] [PubMed]
- Gladman, D.D.; Urowitz, M.B.; Goldsmith, C.H.; Fortin, P.; Ginzler, E.; Gordon, C.; Hanly, J.G.; Isenberg, D.A.; Kalunian, K.; Nived, O.; et al. The reliability of the Systemic Lupus International Collaborating Clinics/American College of Rheumatology damage index in patients with Systemic Lupus Erythematosus. Arthritis Rheum. 1997, 40, 809–813. [Google Scholar] [CrossRef] [PubMed]
- Gladman, D.D.; Ibañez, D.; Urowitz, M.B. Systemic lupus erythematosus disease activity index 2000. J. Rheumatol. 2002, 29, 288–291. [Google Scholar] [PubMed]
- Martínez Urbistondo, M.; Mora Vargas, A.; Expósito Palomo, E.; Aparicio de Miguel, M.; Castejón Díaz, R.; Daimiel, L.; Ramos López, O.; San Cristóbal, R.; Martínez, J.A.; Vargas Núñez, J.A. Evolution of patients infected with SARS-CoV-2 according to previous metabolic status. Nutr. Hosp. 2021, 38, 1068–1074. [Google Scholar] [CrossRef]
- Tudor-Locke, C.; Craig, C.L.; Brown, W.J.; Clemes, S.A.; De Cocker, K.; Giles-Corti, B.; Hatano, Y.; Inoue, S.; Matsudo, S.M.; Mutrie, N.; et al. How many steps/day are enough? for adults. Int. J. Behav. Nutr. Phys. Act. 2011, 8, 79. [Google Scholar] [CrossRef]
- Moreno-Torres, V.; Castejón, R.; Mellor-Pita, S.; Tutor-Ureta, P.; Durán-Del Campo, P.; Martínez-Urbistondo, M.; Vázquez-Comendador, J.; Gutierrez-Rojas, Á.; Rosado, S.; Vargas-Nuñez, J.A. Usefulness of the hemogram as a measure of clinical and serological activity in systemic lupus erythematosus. J. Transl. Autoimmun. 2022, 5, 100157. [Google Scholar] [CrossRef]
- Martinez-Urbistondo, M.; Mora-Vargas, A.; Expósito-Palomo, E.; Castejón, R.; Citores, M.J.; Rosado, S.; de Mendoza, C.; Baños, I.; Fernández-Cruz, A.; Daimiel, L.; et al. Inflamma-tory-related clinical and metabolic outcomes in COVID-19 patients. Mediat. Inflamm. 2020, 2020, 2914275. Available online: https://pubmed.ncbi.nlm.nih.gov/33273888/ (accessed on 1 October 2024). [CrossRef]
- Bukowiecka-Matusiak, M.; Burzynska-Pedziwiatr, I.; Wozniak, L.A. Age- and obesity-related metabolic changes and their impact on the incidence of digestion, metabolism, and immune health. In Nutrition and Functional Foods in Boosting Digestion, Metabolism and Immune Health; Elsevier: Amsterdam, The Netherlands, 2022; pp. 55–75. [Google Scholar]
- Jia, L.; Zhang, W.; Jia, R.; Zhang, H.; Chen, X. Construction formula of biological age using the principal component analysis. Biomed. Res. Int. 2016, 2016, 4697017. [Google Scholar] [CrossRef]
- Sarwer, D.B.; Moore, R.H.; Diewald, L.K.; Chittams, J.; Berkowitz, R.I.; Vetter, M.; Volger, S.; Wadden, T.A. The impact of a primary care-based weight loss intervention on the quality of life. Int. J. Obes. 2013, 37, S25–S30. [Google Scholar] [CrossRef]
- Kolotkin, R.L.; Andersen, J.R. A systematic review of reviews: Exploring the relationship between obesity, weight loss and health-related quality of life. Clin. Obes. 2017, 7, 273–289. [Google Scholar] [CrossRef] [PubMed]
- Goswami, R.P.; Chatterjee, R.; Ghosh, P.; Sircar, G.; Ghosh, A. Quality of life among female patients with systemic lupus erythematosus in remission. Rheumatol. Int. 2019, 39, 1351–1358. [Google Scholar] [CrossRef] [PubMed]
- Gilbody, S.; Littlewood, E.; McMillan, D.; Chew-Graham, C.A.; Bailey, D.; Gascoyne, S.; Sloan, C.; Burke, L.; Coventry, P.; Crosland, S.; et al. Behavioural activation to prevent depression and loneliness among socially isolated older people with long-term conditions: The BASIL COVID-19 pilot randomised controlled trial. PLoS Med. 2021, 18, e1003779. [Google Scholar] [CrossRef] [PubMed]
- Chen, X.; Zhao, L.; Liu, Y.; Zhou, Z.; Zhang, H.; Wei, D.; Chen, J.; Li, Y.; Ou, J.; Huang, J.; et al. Otago exercise programme for physical function and mental health among older adults with cognitive frailty during COVID-19: A randomised controlled trial. J. Clin. Nurs. 2021. [CrossRef] [PubMed] [PubMed Central]
- Ellulu, M.S.; Patimah, I.; Khaza’ai, H.; Rahmat, A.; Abed, Y. Obesity and inflammation: The linking mechanism and the complications. Arch. Med. Sci. 2017, 4, 851–863. [Google Scholar] [CrossRef]
- Han, T.S.; Williams, K.; Sattar, N.; Hunt, K.J.; Lean, M.E.J.; Haffner, S.M. Analysis of obesity and hyperinsulinemia in the development of metabolic syndrome: San Antonio Heart Study. Obes. Res. 2002, 10, 923–931. [Google Scholar] [CrossRef]
- Barcones-Molero, M.F.; Sánchez-Villegas, A.; Martínez-González, M.A.; Bes-Rastrollo, M.; Martínez-Urbistondo, M.; Santabárbara, J.; Martínez, J.A. Influencia de la obesidad y la ganancia de peso sobre la calidad de vida según el SF-36 en individuos de la cohorte dinámica Seguimiento Universidad de Navarra. Rev. Clin. Esp. 2018, 218, 408–416. [Google Scholar] [CrossRef]
- Bovolini, A.; Garcia, J.; Andrade, M.A.; Duarte, J.A. Metabolic syndrome pathophysiology and predisposing factors. Int. J. Sports Med. 2021, 42, 199–214. [Google Scholar] [CrossRef]
- Arranz, L.I.; Rafecas, M.; Alegre, C. Effects of obesity on function and quality of life in chronic pain conditions. Curr. Rheumatol. Rep. 2014, 16, 390. Available online: https://pubmed.ncbi.nlm.nih.gov/24264719/ (accessed on 1 October 2024). [CrossRef]
- Kawai, T.; Autieri, M.V.; Scalia, R. Adipose tissue inflammation and metabolic dysfunction in obesity. Am. J. Physiol. Cell Physiol. 2021, 320, C375–C391. [Google Scholar] [CrossRef]
- Arimura, S.T.; Moura, B.M.; Pimentel, G.D.; Silva, M.E.R.; Sousa, M.V. Waist circumference is better associated with high density lipoprotein (HDL-c) than with body mass index (BMI) in adults with metabolic syndrome. Nutr. Hosp. 2011, 26, 1328–1332. Available online: https://pubmed.ncbi.nlm.nih.gov/22411379/ (accessed on 1 October 2024). [PubMed]
- Higuera-Gómez, A.; Ribot-Rodríguez, R.; Micó, V.; Cuevas-Sierra, A.; San Cristóbal, R.; Martínez, J.A. Lifestyle and health-related quality of life relationships concerning metabolic disease phenotypes on the Nutrimdea Online Cohort. Int. J. Environ. Res. Public Health 2022, 20, 767. [Google Scholar] [CrossRef]
- Kolotkin, R.L.; Meter, K.; Williams, G.R. Quality of life and obesity. Obes. Rev. 2001, 2, 219–229. [Google Scholar] [CrossRef] [PubMed]
- Rizvi, A.A.; Kathuria, A.; Al Mahmeed, W.; Al-Rasadi, K.; Al-Alawi, K.; Banach, M.; Banerjee, Y.; Ceriello, A.; Cesur, M.; Cosentino, F.; et al. Post-COVID syndrome, inflammation, and diabetes. J. Diabetes Complicat. 2022, 36, 108336. [Google Scholar] [CrossRef] [PubMed]
- De Menezes, D.C.; de Lima, P.D.L.; de Lima, I.C.; Uesugi, J.H.E.; da Vasconcelos, P.F.C.; Quaresma, J.A.S.; Falcão, L.F.M. Metabolic profile of patients with Long COVID: A cross-sectional study. Nutrients 2023, 15, 1197. [Google Scholar] [CrossRef]
- Ternushchak, T.M.; Tovt-Korshynska, M.I.; Varvarynets, A.V. Ambulatory blood pressure variability in young adults with long-COVID syndrome. Wiadomości Lek. 2022, 75, 2481–2485. [Google Scholar] [CrossRef]
- Mundra, P.; Kailani, Z.; Yaghoobi, M.; Albashir, S. A254 Hepatic sequelae of post-acute COVID-19 Syndrome (PACS): A systemic review of the current literature. J. Can. Assoc. Gastroenterol. 2023, 6, 76. [Google Scholar] [CrossRef]
- Nittas, V.; Gao, M.; West, E.A.; Ballouz, T.; Menges, D.; Wulf Hanson, S.; Puhan, M.A. Long COVID through a public health lens: An umbrella review. Public Health Rev. 2022, 43, 1604501. [Google Scholar] [CrossRef]
- Malesevic, S.; Sievi, N.A.; Baumgartner, P.; Roser, K.; Sommer, G.; Schmidt, D.; Vallelian, F.; Jelcic, I.; Clarenbach, C.F.; Kohler, M.; et al. Impaired health-related quality of life in long-COVID syndrome after mild to moderate COVID-19. Sci. Rep. 2023, 13, 7717. [Google Scholar] [CrossRef]
- Thurner, C.; Stengel, A. Long-COVID syndrome: Physical-mental interplay in the spotlight. Inflammopharmacology 2023, 31, 559–564. [Google Scholar] [CrossRef]
- Robinson, G.A.; Wilkinson, M.G.L.; Wincup, C. The role of immunometabolism in the pathogenesis of systemic lupus erythematosus. Front. Immunol. 2022, 12, 806560. [Google Scholar] [CrossRef] [PubMed]
- Kaul, A.; Gordon, C.; Crow, M.K.; Touma, Z.; Urowitz, M.B.; van Vollenhoven, R.; Ruiz-Irastorza, G.; Hughes, G. Systemic lupus erythematosus. Nat. Rev. Dis. Primers 2016, 2, 16039. [Google Scholar] [CrossRef] [PubMed]
- Lu, B.; Hiraki, L.T.; Sparks, J.A.; Malspeis, S.; Chen, C.-Y.; Awosogba, J.A.; Arkema, E.V.; Costenbader, K.H.; Karlson, E.W. Being overweight or obese and risk of de-veloping rheumatoid arthritis among women: A prospective cohort study. Ann. Rheum. Dis. 2014, 73, 1914–1922. [Google Scholar] [CrossRef] [PubMed]
- Goessler, K.F.; Gualano, B.; Nonino, C.B.; Bonfá, E.; Nicoletti, C.F. Lifestyle interventions and weight management in systemic lupus erythematosus patients: A systematic literature review and metanalysis. J. Lifestyle Med. 2022, 12, 37–46. [Google Scholar] [CrossRef]
- Chandrashekara, S.; Dhote, S.V.; Anupama, K.R. The differential influence of immunological process of autoimmune disease on lipid metabolism: A Study on RA and SLE. Indian. J. Clin. Biochem. 2019, 34, 52–59. [Google Scholar] [CrossRef]
- Munguia-Realpozo, P.; Mendoza-Pinto, C.; Benito, C.S.; Escarcega, R.O.; Garcia-Carrasco, M.; Martinez, S.M.; Morales, I.E.; Romero, J.L.G.; Ruiz-Arguelles, A.; Cervera, R. Systemic lupus erythematosus and hypertension. Autoimmun. Rev. 2019, 18, 102371. [Google Scholar] [CrossRef]
- Ryan, M.J. Young Investigator Award Lecture of the APS Water and Electrolyte Homeostasis Section, 2008: The pathophysiology of hypertension in systemic lupus erythematosus. Am. J. Physiol.-Regul. Integr. Comp. Physiol. 2009, 296, R1258–R1267. [Google Scholar] [CrossRef]
- Gomez, A.; Butrus, F.H.; Johansson, P.; Åkerström, E.; Soukka, S.; Emamikia, S.; Enman, Y.; Pettersson, S.; Parodis, I. Association of overweight/obesity with impaired health-related quality of life in patients with systemic lupus erythematosus. Ann. Rheum. Dis. 2020, 79, 668–669. Available online: https://ard.bmj.com/content/79/Suppl_1/668 (accessed on 1 October 2024). [CrossRef]
- Marcos-Delgado, A.; Hernández-Segura, N.; Fernández-Villa, T.; Molina, A.J.; Martín, V. The effect of lifestyle intervention on Health-Related Quality of Life in adults with metabolic syndrome: A meta-analysis. Int. J. Environ. Res. Public Health 2021, 18, 887. Available online: https://pubmed.ncbi.nlm.nih.gov/33498570/ (accessed on 1 October 2024). [CrossRef]
- Mendes, A.F.; Cruz, M.T.; Gualillo, O. Frontiers Media SA.The physiology of inflammation—The final common pathway to disease. Front. Physiol. 2018, 9, 1741. [Google Scholar] [CrossRef]
- Germolec, D.R.; Shipkowski, K.A.; Frawley, R.P.; Evans, E. Markers of inflammation. In Immunotoxicity Testing: Methods and Protocols; Springer Science+Business Media: New York, NY, USA, 2018; pp. 57–79. [Google Scholar]
- Pasini, E.; Corsetti, G.; Romano, C.; Scarabelli, T.M.; Chen-Scarabelli, C.; Saravolatz, L.; Dioguardi, F.S. Serum metabolic profile in patients with Long-Covid (PASC) Syndrome: Clinical implications. Front. Med. 2021, 8, 714426. [Google Scholar] [CrossRef] [PubMed]
- García Tello, A.; Villegas Martínez, A.; González Fernández, A.F. Manifestaciones hematológicas en el lupus eritematoso sistémico. AnalesdeMedicinaInterna 2002, 19, 53–57. [Google Scholar] [CrossRef]
- Kono, M.; Nagafuchi, Y.; Shoda, H.; Fujio, K. The impact of obesity and a high-fat diet on clinical and immunological features in systemic lupus erythematosus. Nutrients 2021, 13, 504. [Google Scholar] [CrossRef] [PubMed]
- Jishna, P.; Dominic, S. Acute phase reactants: Relevance in dermatology. Indian Dermatol. Online J. 2023, 14, 1–8. [Google Scholar] [CrossRef]
- Dos Santos, M.; Veronese, F.V.; Moresco, R.N. Uric acid and kidney damage in systemic lupus erythematosus. Clin. Chim. Acta 2020, 508, 197–205. [Google Scholar] [CrossRef]
- Zou, F.; Zhao, X.; Wang, F. A review on the fruit components affecting uric acid level and their underlying mechanisms. J. Food Biochem. 2021, 45, e13911. [Google Scholar] [CrossRef]
- Drosos, G.C.; Vedder, D.; Houben, E.; Boekel, L.; Atzeni, F.; Badreh, S.; Boumpas, D.T.; Brodin, N.; Bruce, I.N.; González-Gay, M.Á.; et al. EULAR recommendations for cardiovascular risk management in rheumatic and musculoskeletal diseases, including systemic lupus erythematosus and an-tiphospholipid syndrome. Ann. Rheum. Dis. 2022, 81, 768–779. [Google Scholar] [CrossRef]
- Cecchin, E.; Stocco, G. Pharmacogenomics and personalized medicine. Genes 2020, 11, 679. [Google Scholar] [CrossRef]
- Yu, L.; Li, Y.; Du, C.; Zhao, W.; Zhang, H.; Yang, Y.; Sun, A.; Song, X.; Feng, Z. Pattern recognition receptor-mediated chronic inflammation in the development and progression of obesity-related metabolic diseases. Mediators Inflamm. 2019, 2019, 5271295. [Google Scholar] [CrossRef]
- Sacoto, D.; Hurtado, M.D.; Acosta, A. Precision medicine and obesity. In Handbook of Experimental Pharmacology; Springer: Berlin, Heidelberg, 2022; pp. 467–485. [Google Scholar]
- Garske, K.M.; Kar, A.; Comenho, C.; Balliu, B.; Pan, D.Z.; Bhagat, Y.V.; Rosenberg, G.; Koka, A.; Das, S.S.; Miao, Z.; et al. Increased body mass index is linked to systemic inflammation through altered chromatin co-accessibility in human preadipocytes. Nat. Commun. 2023, 14, 4214. [Google Scholar] [CrossRef]
- Sulimai, N.H.; Brown, J.; Lominadze, D. Fibrinogen, Fibrinogen-like 1 and Fibrinogen-like 2 Proteins, and their effects. Biomedicines 2022, 10, 1712. [Google Scholar] [CrossRef] [PubMed]
- Danese, E.; Lippi, G.; Montagnana, M. Red blood cell distribution width and cardiovascular diseases. J. Thorac. Dis. 2015, 7, E402–E411. [Google Scholar] [PubMed]
- Gao, M.Z.; Huang, Y.L.; Wu, X.D.; Xu, Q.W.; Ji, R.; Gu, B.; Zhang, A.Y.; Hao, T.T.; Han, Z.J.; Ren, T.L. Red blood cell distribution width and neutrophil/lymphocyte ratio are positively correlated with disease activity in primary Sjögren’s syndrome. Clin. Biochem. 2014, 47, 287–290. Available online: https://pubmed.ncbi.nlm.nih.gov/25204965/ (accessed on 1 October 2024).
- Ahsen, A.; Ulu, M.S.; Yuksel, S.; Demir, K.; Uysal, M.; Erdogan, M.; Acarturk, G. As a new inflammatory marker for familial mediterranean fever: Neutrophil-to-lymphocyte ratio. Inflammation 2013, 36, 1357–1362. [Google Scholar] [CrossRef]
- Tamhane, U.U.; Aneja, S.; Montgomery, D.; Rogers, E.K.; Eagle, K.A.; Gurm, H.S. Association between admission neutrophil to lymphocyte ratio and outcomes in patients with acute coronary syndrome. Am. J. Cardiol. 2008, 102, 653–657. Available online: https://pubmed.ncbi.nlm.nih.gov/18773982/ (accessed on 1 October 2024). [CrossRef]
- Söğütlü, Y.; Altaş, U. Predictive Value of Neutrophil–Lymphocyte Ratio and Other Inflammation Indices in Febrile Seizures in Children. J. Clin. Med. 2024, 13, 5330. [Google Scholar] [CrossRef]
- Wee, C.C.; Davis, R.B.; Hamel, M.B. Comparing the SF-12 and SF-36 health status questionnaires in patients with and without obesity. Health Qual. Life Outcomes 2008, 6, 11. [Google Scholar] [CrossRef]
- Finkelstein, M.M. Body mass index and quality of life in a survey of primary care patients. J. Fam. Pract. 2000, 49, 734–737. [Google Scholar]
- Alhefny, A.A.; El-Bakry, S.; Shedid, N. The Effect of Increased Body Mass Index on Disease Parameters, Quality of Life and Damage Index in Patients with Systemic Lupus Erythematosus. Egypt. J. Rheumatol. Clin. Immunol. 2014, 2, 13–18. [Google Scholar] [CrossRef][Green Version]
- Laxy, M.; Teuner, C.; Holle, R.; Kurz, C. The association between BMI and health-related quality of life in the US population: Sex, age and ethnicity matters. Int. J. Obes. 2018, 42, 318–326. [Google Scholar] [CrossRef]
- Plantinga, L.; Lim, S.S.; Bowling, C.B.; Drenkard, C. Association of age with health-related quality of life in a cohort of patients with systemic lupus erythematosus: The Georgians Organized Against Lupus study. Lupus Sci. Med. 2016, 3, e000161. [Google Scholar] [CrossRef] [PubMed]
- Petrie, K.J.; Jago, L.A.; Devcich, D.A. The role of illness perceptions in patients with medical conditions. Curr. Opin. Psychiatry 2007, 20, 163–167. [Google Scholar] [CrossRef] [PubMed]
- Franceschi, C.; Garagnani, P.; Parini, P.; Giuliani, C.; Santoro, A. Inflammaging: A new immune-metabolic viewpoint for age-related diseases. Nat. Rev. Endocrinol. 2018, 14, 576–590. [Google Scholar] [CrossRef] [PubMed]
- Mercurio, V.; Lobasso, A.; Barbieri, L.; Parrella, P.; Ciervo, D.; Liccardo, B.; Bonaduce, D.; Tocchetti, C.G.; De Paulis, A.; Rossi, F.W. Inflammatory, serological and vascular determinants of cardiovascular disease in systemic lupus erythematosus patients. Int. J. Mol. Sci. 2019, 20, 2154. [Google Scholar] [CrossRef]
- Martin, M.; Guffroy, A.; Argemi, X.; Martin, T. Systemic lupus erythematosus and lymphopenia: Clinical and pathophysiological features. Rev. Med. Interne 2017, 38, 603–613. [Google Scholar] [CrossRef]
- Han, B.K.; Wysham, K.D.; Cain, K.C.; Tyden, H.; Bengtsson, A.A.; Lood, C. Neutrophil and lymphocyte counts are associated with different immunopathological mechanisms in systemic lupus erythematosus. Lupus Sci. Med. 2020, 7, e000382. [Google Scholar] [CrossRef]


| Metabolic Inflammation (MI) | Long COVID (LC) | Systemic Lupus Erythematosus (SLE) | |||||||||||
|---|---|---|---|---|---|---|---|---|---|---|---|---|---|
| Overall | Lower BMI | Higher BMI | p Test | Lower BMI | Higher BMI | p Test | Lower BMI | Higher BMI | p Test | Group of Disease | BMI Levels | Interaction | |
| ANOVA 3 × 2 | |||||||||||||
| Variables | 272 | 12 | 37 | 95 | 81 | 25 | 18 | ||||||
| Age (years) | 53 (10) | 63 (9) | 58 (11) | 0.16 | 50(9) | 52 (8) | 0.25 | 48 (14) | 58 (12) | 0.02 | <0.001 | 0.11 | <0.01 |
| Gender = Woman (%) | 212 (77.9) | 6 (50.0) | 17 (45.9) | NA | 81 (85.3) | 64 (79.0) | 0.37 | 23 (92.0) | 17 (94.4) | NA | <0.001 | 0.36 | 0.81 |
| Metabolic age (years) | 56 (16) | 58 (8) | 70 (12) | 0.001 | 44 (12) | 65 (8) | <0.001 | 45 (17) | 71 (12) | <0.001 | <0.001 | <0.001 | 0.02 |
| BMI (kg/m2) | 29.1 (5.8) | 27.4 (1.1) | 32.9 (3.4) | <0.001 | 24.3 (2.8) | 34.1 (4.6) | <0.001 | 24.4 (2.3) | 33.4 (3.6) | <0.001 | <0.001 | <0.001 | <0.01 |
| Waist (cm) | 100.3 (15.2) | 102.9 (5.7) | 112.1 (10.9) | 0.001 | 88.5 (9.4) | 111.1 (12.0) | <0.001 | 87.9 (7.9) | 109.5 (9.3) | <0.001 | <0.001 | <0.001 | <0.01 |
| Total muscle mass (kg) | 47.2 (9.0) | 50.9 (7.7) | 54.9 (11.3) | 0.2 | 43.5 (6.9) | 50.0 (8.3) | <0.001 | 41.9 (5.0) | 44.7 (7.4) | 0.17 | <0.001 | <0.001 | 0.34 |
| Total fat mass (%) | 35.8 (8.7) | 32.3 (4.5) | 37.1 (6.7) | 0.01 | 29.9 (6.5) | 42.5 (7.2) | <0.001 | 31.4 (5.5) | 44.1 (5.9) | <0.001 | 0.64 | <0.001 | 0.007 |
| Visceral fat | 10.1 (5.0) | 10.8 (3.2) | 15.4 (4.9) | 0.001 | 6.5 (2.4) | 12.8 (4.0) | <0.001 | 6.4 (3.8) | 12.5 (3.0) | <0.001 | <0.001 | <0.001 | 0.42 |
| Glucose (mg/dL) | 96 (15.7) | 108 (19.8) | 105 (17.7) | 0.76 | 91 (7.5) | 99 (19.7) | 0.001 | 89 (7.6) | 93 (17.3) | 0.45 | <0.001 | <0.01 | 0.18 |
| Total cholesterol (mg/dL) | 190.7 (35.0) | 183.2(26.7) | 180.7 (35.0) | 0.82 | 201.7 (35.8) | 191.9 (29.9) | 0.06 | 175.6 (34.4) | 156.7 (33.6) | 0.13 | <0.001 | <0.05 | 0.62 |
| Triglycerides (mg/dL) | 106.7 (56.2) | 118.5 (49.5) | 140.8 (46.9) | 0.23 | 88.2 (38.8) | 117.7 (59.0) | <0.001 | 109.2 (102.0) | 109.7 (44.7) | 0.99 | <0.05 | <0.01 | 0.38 |
| Insulin (μUI/mL) | 11.3 (11.3) | 7.0 (2.5) | 15.9 (11.2) | 0.004 | 7.2 (4.7) | 15.2 (15.5) | <0.001 | 8.6 (6.9) | 15.1 (11.7) | 0.11 | 0.63 | <0.001 | 0.92 |
| AST/ALT ratio | 1.0 (0.3) | 0.9 (0.3) | 0.8 (0.1) | 0.18 | 1.1 (0.3) | 0.9 (0.2) | <0.001 | 1.2 (0.3) | 1.1 (0.5) | 0.75 | <0.01 | <0.001 | 0.45 |
| Transferrin (mg/dL) | 249.8 (38.5) | 233.2 (77.8) | 257.3 (35.9) | 0.35 | 248.3 (32.2) | 257.8 (39.2) | 0.11 | 233.4 (36.2) | 244.4 (29.9) | 0.36 | 0.21 | <0.05 | 0.63 |
| Prothrombin activity (%) | 103.1 (21.1) | 105.6 (20.2) | 108.4 (19.1) | 0.7 | 107.3 (14.6) | 101.5 (21.6) | 0.06 | 96.7 (20.8) | 85.5 (40.3) | 0.36 | <0.01 | 0.06 | 0.4 |
| SBP (mmHg) | 127.4 (19.2) | 142.9 (9.0) | 139.0 (21.8) | 0.38 | 119.0 (17.4) | 130.4 (16.0) | <0.001 | 120.5 (13.3) | 138.8 (20.4) | 0.003 | <0.001 | <0.001 | 0.01 |
| DBP (mmHg) | 77.0 (11.9) | 80.8 (14.2) | 81.3 (12.1) | 0.9 | 73.8 (11.8) | 80.0 (10.1) | <0.001 | 71.6 (11.9) | 79.2 (11.6) | 0.04 | <0.01 | <0.001 | 0.33 |
| Sadness = Yes (%) | 164 (60.1) | 4 (33.3) | 12 (32.4) | NA | 65 (68.4) | 63 (77.8) | 0.22 | 11 (44.0) | 7 (38.9) | 0.98 | <0.001 | 0.34 | 0.6 |
| PCS12 | 36.0 (11.8) | 49.9 (8.0) | 45.4 (9.4) | <0.001 | 33.5 (9.3) | 29.4 (8.8) | <0.001 | 44.0 (14.2) | 36.5 (12.2) | <0.001 | <0.001 | <0.001 | 0.59 |
| MCS12 | 40.2 (12.9) | 52.1 (8.2) | 46.5 (10.3) | <0.001 | 38.6 (12.6) | 36.6 (13.2) | <0.001 | 38.6 (12.3) | 47.3 (11.6) | <0.001 | <0.001 | 0.62 | <0.05 |
| Metabolic Inflammation (MI) | Long COVID (LC) | Systemic Lupus Erythematosus (SLE) | |||||||||||
|---|---|---|---|---|---|---|---|---|---|---|---|---|---|
| Overall | Lower BMI | Higher BMI | p Test | Lower BMI | Higher BMI | p Test | Lower BMI | Higher BMI | p Test | Group of Disease | BMI Levels | Interaction | |
| ANOVA 3 × 2 | |||||||||||||
| Variables | 272 | 12 | 37 | 95 | 81 | 25 | 18 | ||||||
| Uric Acid (mg/dL) | 5.0 (1.3) | 4.6 (1.0) | 6.6 (1.3) | <0.001 | 4.6 (1.1) | 5.4 (1.2) | <0.001 | 4.3 (1.1) | 5.2 (1.3) | 0.04 | <0.001 | <0.001 | <0.05 |
| LDH (U/L) | 175.8 (33.4) | 172.8 (28.8) | 189.4 (42.8) | 0.2 | 167.1 (28.2) | 180.3 (34.4) | 0.01 | 166.7 (31.1) | 198.0 (30.8) | 0.008 | 0.21 | <0.001 | 0.35 |
| NT proBNP (pg/mL) | 60.9 (52.0) | 83.0 (83.6) | 43.5 (31.1) | 0.16 | 66.4 (63.0) | 50.8 (33.7) | 0.05 | 59.9 (38.1) | 74.0 (39.7) | 0.36 | 0.23 | 0.02 | 0.15 |
| C-reactive protein (mg/L) | 3.6 (6.1) | 3.2 (3.4) | 3.7 (3.9) | 0.67 | 2.0 (3.0) | 3.8 (4.1) | 0.003 | 5.5 (14.2) | 10.3 (10.6) | 0.28 | <0.001 | <0.01 | 0.3 |
| IL-6 (pg/mL) | 3.4 (2.4) | 3.8 (2.4) | 3.1 (1.3) | 0.37 | 3.3 (3.1) | 3.2 (1.5) | 0.72 | 3.8 (2.8) | 3.8 (1.6) | 0.94 | 0.76 | 0.56 | 0.8 |
| Ferritin (ng/mL) | 107.3 (97.1) | 168.5 (121.3) | 157.0 (132.0) | 0.81 | 96.0 (82.7) | 105.3 (100.5) | 0.53 | 89.9 (89.8) | 97.4 (57.9) | 0.78 | <0.01 | 0.63 | 0.86 |
| Leukocytes (10 × 103/microL) | 6.2 (1.8) | 5.6 (1.3) | 6.7 (1.8) | 0.06 | 5.8 (1.7) | 6.5 (1.6) | 0.02 | 6.2 (2.2) | 6.3 (3.3) | 0.95 | 0.81 | <0.05 | 0.56 |
| Lymphocytes (10 × 103/microL) | 1.9 (0.6) | 1.7 (0.2) | 1.9 (0.7) | 0.26 | 1.9 (0.6) | 2.0 (0.5) | 0.06 | 1.9 (0.7) | 1.4 (0.6) | 0.04 | <0.05 | 0.371 | <0.05 |
| NLR | 2.1 (1.8) | 2.0 (0.6) | 2.3 (0.7) | 0.13 | 1.9 (0.7) | 2.0 (0.9) | 0.38 | 2.1 (1.3) | 4.4 (6.1) | 0.17 | <0.01 | <0.05 | <0.01 |
| Platelets (10 × 103/microL) | 256.1 (65.0) | 229.6 (45.5) | 246.0 (56.5) | 0.38 | 252.8 (61.5) | 275.5 (62.0) | 0.02 | 247.2 (80.5) | 234.2 (89.4) | 0.68 | 0.09 | 0.06 | 0.37 |
| RDW (%) | 13.7 (2.3) | 13.9 (0.8) | 13.7 (0.5) | 0.49 | 13.3 (0.6) | 13.7 (3.0) | 0.24 | 13.7 (0.8) | 16.1 (5.4) | 0.12 | <0.05 | <0.05 | 0.05 |
| ESR (mm) | 11.4 (8.3) | 8.7 (7.9) | 9.8 (8.6) | 0.74 | 9.8 (6.5) | 12.2 (7.2) | 0.03 | 9.8 (8.4) | 22.3 (12.9) | 0.004 | <0.01 | <0.001 | <0.01 |
| Fibrinogen (mg/dL) | 358.2 (85.2) | 368.6(84.5) | 383.1 (94.5) | 0.99 | 334.0 (70.0) | 364.5 (62.8) | 0.005 | 321.2 (95.8) | 457.4 (128.1) | 0.001 | <0.01 | <0.001 | <0.001 |
| D-dimer (ng/mL) | 353.3 (311.9) | 315.5 (100.5) | 342.1 (239.0) | 0.68 | 352.9 (381.5) | 371.4 (297.7) | 0.74 | 331.5 (231.3) | 367.5 (227.5) | 0.68 | 0.85 | 0.62 | 0.99 |
| Dependent Variables | Independent Variables | Regression Coefficient (β) | CI (95%) | p Value |
|---|---|---|---|---|
| Lymphocytes (10 × 103/microL) | BMI | 0.02 | 0.0001 to 0.04 | 0.05 |
| SLE * Higher BMI | −0.72 | −1.31 to 3.74 | 0.01 | |
| NLR | SLE * Higher BMI | 1.92 | 0.11 to 3.74 | 0.04 |
| RDW (%) | SLE * Higher BMI | 2.33 | 0.03 to 4.63 | 0.05 |
| ESR (mm) | Gender (woman) | 5.16 | 2.66 to 7.66 | <0.001 |
| BMI | 0.54 | 0.25 to 0.83 | <0.001 | |
| SLE * Higher BMI | 9.38 | 1.86 to 16.9 | 0.01 | |
| Fibrinogen (mg/dL) | Gender (woman) | 30.32 | 4.21 to 56.42 | 0.02 |
| BMI | 3.62 | 0.59 to 6.64 | 0.02 | |
| Long COVID | −52.89 | −104.22 to −1.56 | 0.04 | |
| SLE | −67.91 | −129.51 to −6.30 | 0.03 | |
| SLE * Higher BMI | 141.39 | 61.69 to 221.08 | <0.001 | |
| PCS12 | SLE | −16.29 | −22.57 to −10.02 | <0.001 |
| MCS12 | Long COVID | −11.13 | −18.90 to −3.36 | 0.01 |
| SLE | −10.71 | −19.60 to −1.80 | 0.02 | |
| SLE * Higher BMI | 13 | 1.79 to 24.21 | 0.02 |
Disclaimer/Publisher’s Note: The statements, opinions and data contained in all publications are solely those of the individual author(s) and contributor(s) and not of MDPI and/or the editor(s). MDPI and/or the editor(s) disclaim responsibility for any injury to people or property resulting from any ideas, methods, instructions or products referred to in the content. |
© 2024 by the authors. Licensee MDPI, Basel, Switzerland. This article is an open access article distributed under the terms and conditions of the Creative Commons Attribution (CC BY) license (https://creativecommons.org/licenses/by/4.0/).
Share and Cite
Chero-Sandoval, L.; Martínez-Urbistondo, M.; Cuevas-Sierra, A.; Higuera-Gómez, A.; Martin-Domenech, E.; Castejón, R.; Mellor-Pita, S.; Moreno-Torres, V.; Ramos-Lopez, O.; de Luis, D.; et al. Comparison of Metabolic Syndrome, Autoimmune and Viral Distinctive Inflammatory Related Conditions as Affected by Body Mass Index. J. Clin. Med. 2024, 13, 6298. https://doi.org/10.3390/jcm13216298
Chero-Sandoval L, Martínez-Urbistondo M, Cuevas-Sierra A, Higuera-Gómez A, Martin-Domenech E, Castejón R, Mellor-Pita S, Moreno-Torres V, Ramos-Lopez O, de Luis D, et al. Comparison of Metabolic Syndrome, Autoimmune and Viral Distinctive Inflammatory Related Conditions as Affected by Body Mass Index. Journal of Clinical Medicine. 2024; 13(21):6298. https://doi.org/10.3390/jcm13216298
Chicago/Turabian StyleChero-Sandoval, Lourdes, María Martínez-Urbistondo, Amanda Cuevas-Sierra, Andrea Higuera-Gómez, Eva Martin-Domenech, Raquel Castejón, Susana Mellor-Pita, Víctor Moreno-Torres, Omar Ramos-Lopez, Daniel de Luis, and et al. 2024. "Comparison of Metabolic Syndrome, Autoimmune and Viral Distinctive Inflammatory Related Conditions as Affected by Body Mass Index" Journal of Clinical Medicine 13, no. 21: 6298. https://doi.org/10.3390/jcm13216298
APA StyleChero-Sandoval, L., Martínez-Urbistondo, M., Cuevas-Sierra, A., Higuera-Gómez, A., Martin-Domenech, E., Castejón, R., Mellor-Pita, S., Moreno-Torres, V., Ramos-Lopez, O., de Luis, D., Vargas, J. A., & Martínez, J. A. (2024). Comparison of Metabolic Syndrome, Autoimmune and Viral Distinctive Inflammatory Related Conditions as Affected by Body Mass Index. Journal of Clinical Medicine, 13(21), 6298. https://doi.org/10.3390/jcm13216298

