Assessing Influence of Mismatch Repair Mutations on Survival in Patients After Resection of Pancreatic Ductal and Periampullary Adenocarcinoma
Abstract
1. Introduction
2. Materials and Methods
2.1. Study Design and Patient Selection
2.2. Data Collection
2.3. Statistical Analysis
2.4. Ethical Approval
3. Results
3.1. Cohort Characteristics
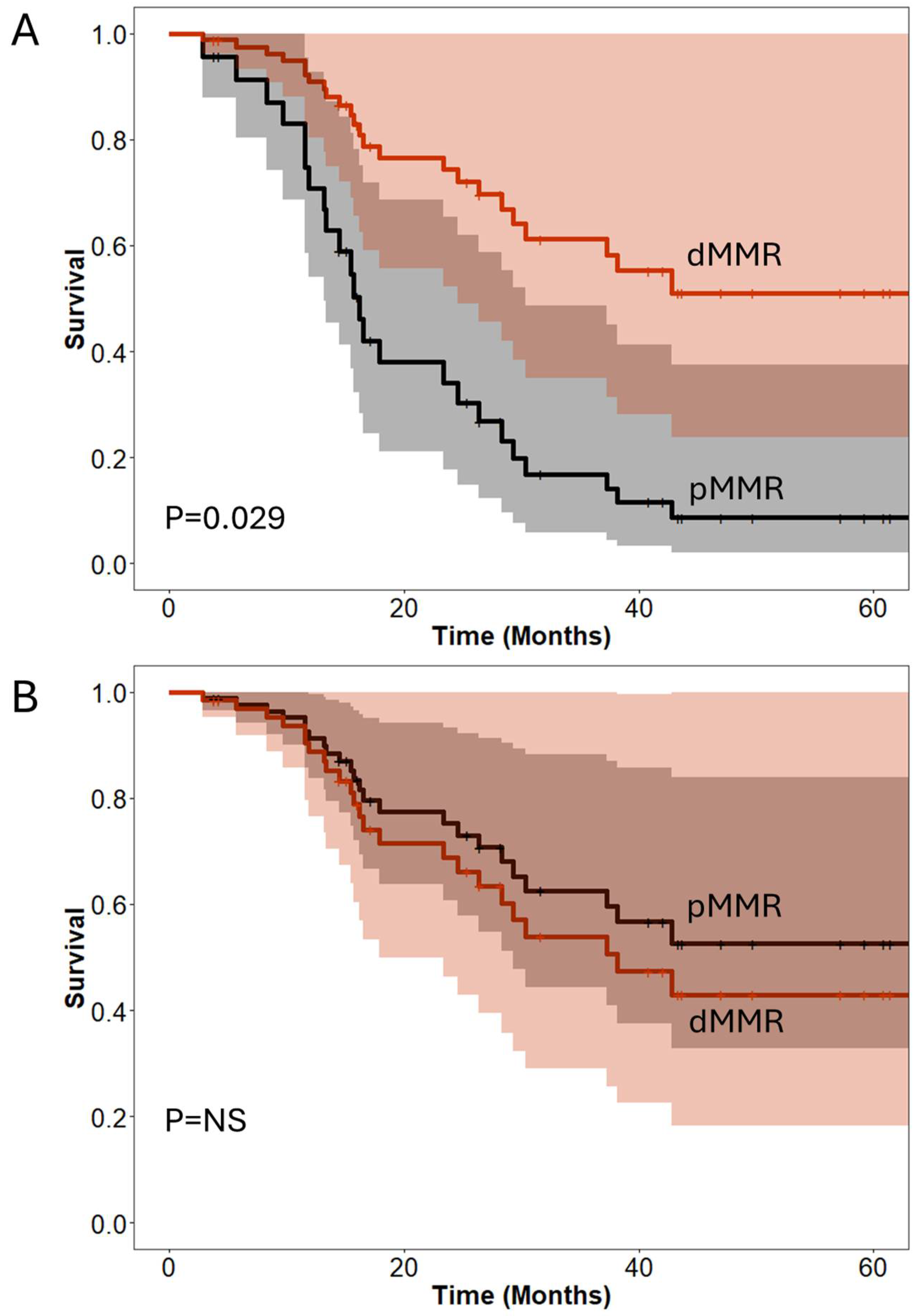
3.2. Survival Regression Analyses Identify Deficient MMR Status as a Favorable Prognostic Factor
3.3. Propensity-Score Matching Identifies dMMR as a Prognostic Factor for Overall Survival in a Tumor Type-Dependent Manner
4. Discussion
5. Conclusions
Supplementary Materials
Author Contributions
Funding
Institutional Review Board Statement
Informed Consent Statement
Data Availability Statement
Conflicts of Interest
References
- Siegel, R.L.; Miller, K.D.; Wagle, N.S.; Jemal, A. Cancer statistics, 2023. CA A Cancer J. Clin. 2023, 73, 17–48. [Google Scholar] [CrossRef]
- Survival Rates for Pancreatic Cancer American Cancer Society. Available online: https://www.cancer.org/cancer/types/pancreatic-cancer/detection-diagnosis-staging/survival-rates.html (accessed on 18 July 2024).
- Iyer, R.R.; Pluciennik, A.; Burdett, V.; Modrich, P.L. DNA mismatch repair: Functions and mechanisms. Chem. Rev. 2006, 106, 302–323. [Google Scholar] [CrossRef]
- Li, K.; Luo, H.; Huang, L.; Luo, H.; Zhu, X. Microsatellite instability: A review of what the oncologist should know. Cancer Cell Int. 2020, 20, 16. [Google Scholar] [CrossRef]
- Lower, S.S.; McGurk, M.P.; Clark, A.G.; Barbash, D.A. Satellite DNA evolution: Old ideas, new approaches. Curr. Opin. Genet. Dev. 2018, 49, 70–78. [Google Scholar] [CrossRef]
- Luchini, C.; Brosens, L.A.A.; Wood, L.D.; Chatterjee, D.; Shin, J.I.; Sciammarella, C.; Fiadone, G.; Malleo, G.; Salvia, R.; Kryklyva, V.; et al. Comprehensive characterisation of pancreatic ductal adenocarcinoma with microsatellite instability: Histology, molecular pathology and clinical implications. Gut 2021, 70, 148–156. [Google Scholar] [CrossRef]
- Grant, R.C.; Denroche, R.; Jang, G.H.; Nowak, K.M.; Zhang, A.; Borgida, A.; Holter, S.; Topham, J.T.; Wilson, J.; Dodd, A.; et al. Clinical and genomic characterisation of mismatch repair deficient pancreatic adenocarcinoma. Gut 2021, 70, 1894–1903. [Google Scholar] [CrossRef]
- Goggins, M.; Offerhaus, G.J.; Hilgers, W.; Griffin, C.A.; Shekher, M.; Tang, D.; Sohn, T.A.; Yeo, C.J.; E Kern, S.; Hruban, R.H. Pancreatic adenocarcinomas with DNA replication errors (RER+) are associated with wild-type K-ras and characteristic histopathology. Poor differentiation, a syncytial growth pattern, and pushing borders suggest RER+. Am. J. Pathol. 1998, 152, 1501–1507. [Google Scholar]
- Wilentz, R.E.; Goggins, M.; Redston, M.; Marcus, V.A.; Adsay, N.V.; Sohn, T.A.; Kadkol, S.S.; Yeo, C.J.; Choti, M.; Zahurak, M.; et al. Genetic, Immunohistochemical, and Clinical Features of Medullary Carcinoma of the Pancreas: A Newly Described and Characterized Entity. Am. J. Pathol. 2000, 156, 1641–1651. [Google Scholar] [CrossRef]
- Yamamoto, H.; Itoh, F.; Nakamura, H.; Fukushima, H.; Sasaki, S.; Perucho, M.; Imai, K. Genetic and clinical features of human pancreatic ductal adenocarcinomas with widespread microsatellite instability. Cancer Res. 2001, 61, 3139–3144. [Google Scholar]
- Nakata, B.; Wang, Y.Q.; Yashiro, M.; Nishioka, N.; Tanaka, H.; Ohira, M.; Ishikawa, T.; Nishino, H.; Hirakawa, K. Prognostic value of microsatellite instability in resectable pancreatic cancer. Clin. Cancer Res. 2002, 8, 2536–2540. [Google Scholar]
- Nakata, B.; Wang, Y.Q.; Yashiro, M.; Ohira, M.; Ishikawa, T.; Nishino, H.; Seki, S.; Hirakawa, K. Negative hMSH2 protein expression in pancreatic carcinoma may predict a better prognosis of patients. Oncol. Rep. 2003, 10, 997–1000. [Google Scholar] [CrossRef]
- Riazy, M.; Kalloger, S.E.; Sheffield, B.S.; Peixoto, R.D.; Li-Chang, H.H.; Scudamore, C.H.; Renouf, D.J.; Schaeffer, D.F. Mismatch repair status may predict response to adjuvant chemotherapy in resectable pancreatic ductal adenocarcinoma. Mod. Pathol. 2015, 28, 1383–1389. [Google Scholar] [CrossRef]
- Lupinacci, R.M.; Goloudina, A.; Buhard, O.; Bachet, J.-B.; Maréchal, R.; Demetter, P.; Cros, J.; Bardier-Dupas, A.; Collura, A.; Cervera, P.; et al. Prevalence of Microsatellite Instability in Intraductal Papillary Mucinous Neoplasms of the Pancreas. Gastroenterology 2018, 154, 1061–1065. [Google Scholar] [CrossRef]
- Hu, Z.I.; Shia, J.; Stadler, Z.K.; Varghese, A.M.; Capanu, M.; Salo-Mullen, E.; Lowery, M.A.; Diaz, L.A.; Mandelker, D.; Yu, K.H.; et al. Evaluating Mismatch Repair Deficiency in Pancreatic Adenocarcinoma: Challenges and Recommendations. Clin. Cancer Res. 2018, 24, 1326–1336. [Google Scholar] [CrossRef]
- Luchini, C.; Bibeau, F.; Ligtenberg, M.J.L.; Singh, N.; Nottegar, A.; Bosse, T.; Miller, R.; Riaz, N.; Douillard, J.-Y.; Andre, F.; et al. ESMO recommendations on microsatellite instability testing for immunotherapy in cancer, and its relationship with PD-1/PD-L1 expression and tumour mutational burden: A systematic review-based approach. Ann. Oncol. 2019, 30, 1232–1243. [Google Scholar] [CrossRef]
- Lawlor, R.T.; Mattiolo, P.; Mafficini, A.; Hong, S.-M.; Piredda, M.L.; Taormina, S.V.; Malleo, G.; Marchegiani, G.; Pea, A.; Salvia, R.; et al. Tumor Mutational Burden as a Potential Biomarker for Immunotherapy in Pancreatic Cancer: Systematic Review and Still-Open Questions. Cancers 2021, 13, 3119. [Google Scholar] [CrossRef]
- Le, D.T.; Uram, J.N.; Wang, H.; Bartlett, B.R.; Kemberling, H.; Eyring, A.D.; Skora, A.D.; Luber, B.S.; Azad, N.S.; Laheru, D.; et al. PD-1 Blockade in Tumors with Mismatch-Repair Deficiency. N. Engl. J. Med. 2015, 372, 2509–2520. [Google Scholar] [CrossRef]
- Connor, A.A.; Denroche, R.E.; Jang, G.H.; Timms, L.; Kalimuthu, S.N.; Selander, I.; McPherson, T.; Wilson, G.W.; Chan-Seng-Yue, M.A.; Borozan, I.; et al. Association of Distinct Mutational Signatures with Correlates of Increased Immune Activity in Pancreatic Ductal Adenocarcinoma. JAMA Oncol. 2017, 3, 774–783. [Google Scholar] [CrossRef]
- National Comprehensive Cancer Network. Pancreatic Adenocarcinoma (Version 2.2024). Available online: https://www.nccn.org/professionals/physician_gls/pdf/pancreatic.pdf (accessed on 30 May 2024).
- Marabelle, A.; Le, D.T.; Ascierto, P.A.; Di Giacomo, A.M.; De Jesus-Acosta, A.; Delord, J.-P.; Geva, R.; Gottfried, M.; Penel, N.; Hansen, A.R.; et al. Efficacy of Pembrolizumab in Patients with Noncolorectal High Microsatellite Instability/Mismatch Repair–Deficient Cancer: Results from the Phase II KEYNOTE-158 Study. J. Clin. Oncol. 2020, 38, 1–10. [Google Scholar] [CrossRef]
- Coston, T.; Desai, A.; Babiker, H.; Sonbol, M.B.; Chakrabarti, S.; Mahipal, A.; McWilliams, R.; Ma, W.W.; Bekaii-Saab, T.S.; Stauffer, J.; et al. Efficacy of Immune Checkpoint Inhibition and Cytotoxic Chemotherapy in Mismatch Repair-Deficient and Microsatellite Instability-High Pancreatic Cancer: Mayo Clinic Experience. JCO Precis. Oncol. 2023, 7, e2200706. [Google Scholar] [CrossRef]
- Salem, M.E.; Bodor, J.N.; Puccini, A.; Xiu, J.; Goldberg, R.M.; Grothey, A.; Korn, W.M.; Shields, A.F.; Worrilow, W.M.; Kim, E.S.; et al. Relationship between MLH1, PMS2, MSH2 and MSH6 gene-specific alterations and tumor mutational burden in 1057 microsatellite instability-high solid tumors. Int. J. Cancer 2020, 147, 2948–2956. [Google Scholar] [CrossRef]
- Westdorp, H.; Kolders, S.; Hoogerbrugge, N.; de Vries, I.J.M.; Jongmans, M.C.; Schreibelt, G. Immunotherapy holds the key to cancer treatment and prevention in constitutional mismatch repair deficiency (CMMRD) syndrome. Cancer Lett. 2017, 403, 159–164. [Google Scholar] [CrossRef]
- Bowers, J.S.; Bailey, S.R.; Rubinstein, M.P.; Paulos, C.M.; Camp, E.R. Genomics meets immunity in pancreatic cancer: Current research and future directions for pancreatic adenocarcinoma immunotherapy. Oncol. Rev. 2019, 13, 430. [Google Scholar] [CrossRef]
- Choueiri, T.K.; Tomczak, P.; Park, S.H.; Venugopal, B.; Ferguson, T.; Symeonides, S.N.; Hajek, J.; Chang, Y.-H.; Lee, J.-L.; Sarwar, N.; et al. Overall Survival with Adjuvant Pembrolizumab in Renal-Cell Carcinoma. N. Engl. J. Med. 2024, 390, 1359–1371. [Google Scholar] [CrossRef]
- Schmid, P.; Cortes, J.; Pusztai, L.; McArthur, H.; Kümmel, S.; Bergh, J.; Denkert, C.; Park, Y.H.; Hui, R.; Harbeck, N.; et al. Pembrolizumab for Early Triple-Negative Breast Cancer. N. Engl. J. Med. 2020, 382, 810–821. [Google Scholar] [CrossRef]
- Eggermont, A.M.M.; Blank, C.U.; Mandalà, M.; Long, G.V.; Atkinson, V.; Dalle, S.; Haydon, A.; Lichinitser, M.; Khattak, A.; Carlino, M.S.; et al. Adjuvant Pembrolizumab versus Placebo in Resected Stage III Melanoma. N. Engl. J. Med. 2018, 378, 1789–1801. [Google Scholar] [CrossRef]
- O’brien, M.; Paz-Ares, L.; Marreaud, S.; Dafni, U.; Oselin, K.; Havel, L.; Esteban, E.; Isla, D.; Martinez-Marti, A.; Faehling, M.; et al. Pembrolizumab versus placebo as adjuvant therapy for completely resected stage IB–IIIA non-small-cell lung cancer (PEARLS/KEYNOTE-091): An interim analysis of a randomised, triple-blind, phase 3 trial. Lancet Oncol. 2022, 23, 1274–1286. [Google Scholar] [CrossRef]


| N = 418 | Proficient MMR Status (N = 403) | Deficient MMR Status (N = 15) | p-Value | |
|---|---|---|---|---|
| Age, Median (IQR) | 69.2 (69.5–75.3) | 71.2 (60.8–78.7) | 0.422 | |
| Sex | Male | 189 (46.9) | 7 (46.7) | 0.598 |
| Female | 214 (53.1) | 8 (53.3) | ||
| Histology | PDAC | 335 (83.1) | 7 (46.7) | 0.002 |
| Periampullary Ca. | 68 (16.9) | 8 (53.3) | ||
| T | 0 | 2 (0.5) | 0.116 | |
| 1 | 62 (15.5) | 1 (6.7) | ||
| 2 | 198 (47.1) | 4 (26.7) | ||
| 3 | 133 (33.2) | 10 (66.7) | ||
| 4 | 15 (3.7) | |||
| Missing/Unknown | 2 | |||
| N | 0 | 148 (36.8) | 6 (40) | 0.741 |
| 1 | 167 (41.5) | 7 (46.7) | ||
| 2 | 87 (21.6) | 2 (13.3) | ||
| Missing/Unknown | 1 | |||
| Perineural invasion | 334 (84.3) | 9 (60) | 0.024 | |
| Missing/Undetermined | 7 | |||
| Lymphovascular invasion | 192 (48.6) | 9 (60) | 0.274 | |
| Missing/Undetermined | 8 | |||
| Involved resection margins (R1) | 39 (9.7) | 0 (0) | 0.379 | |
| Missing/Undetermined | 1 | |||
| Neoadjuvant chemotherapy | 85 (22) | 2 (13.3) | 0.537 | |
| Missing/Undetermined | 28 | |||
| Neoadjuvant radiotherapy | 21 (6.8) | 0 (0) | 0.625 | |
| Missing/Undetermined | 95 | 4 | ||
| Adjuvant chemotherapy | 244 (64.7) | 8 (53.3) | 0.413 | |
| Missing/Undetermined | 26 | |||
| Adjuvant radiotherapy | 99 (40.1) | 2 (28.6) | 0.706 | |
| Missing/Undetermined | 156 | 8 | ||
| Any Perioperative Chemotherapy | 276 (75.2) | 9 (60) | 0.223 | |
| Missing/Undetermined | 36 | |||
| Overall Survival | Disease-Free Survival | ||||
|---|---|---|---|---|---|
| HR (95% CI) | p-Value | HR (95% CI) | p-Value | ||
| Age at diagnosis | 1.02 (1–1.04) | 0.017 | - | - | |
| Histology | |||||
| PDAC | Reference | Reference | |||
| Periampullary Ca. | 0.71 (0.42–1.21) | 0.211 | 0.55 (0.36–0.83) | 0.005 | |
| Perineural invasion | 1.77 (1.07–2.93) | 0.045 | 1.80 (1.08–2.99) | 0.026 | |
| Lymphovascular invasion | 1.59 (1.15–2.20) | 0.0003 | 1.59 (1.18–2.15) | 0.005 | |
| Neoadjuvant therapy | 1.43 (1.03–1.99) | 0.033 | 1.39 (0.92–2.09) | 0.11 | |
| Adjuvant therapy | - | - | - | - | |
| dMMR | 0.01 (0.002–0.05) | <0.0001 | 1.3 × 10−8 (1.5 × 10−9–1.0 × 10−7) | <0.0001 | |
| Interactions | dMMR: Periampullary Ca. | 23.87 (5.26–108.37) | <0.0001 | 9.78 (2.45–3.91) | <0.0001 |
| dMMR: Perineural invasion | 10.69 (4.07–28.09) | <0.0001 | 1.1 × 107 (2.5 × 106–4.6 × 107) | <0.0001 | |
| dMMR: Lymphovascular invasion | 6.29 (2.53–15.67) | 0.0001 | 6.14 (0.94–4.03) | 0.0589 | |
| N = 45 | Proficient MMR Status (N = 30) | Deficient MMR Status (N = 15) | p-Value | |
|---|---|---|---|---|
| Age, Median (IQR) | 71 (61–78.25) | 71 (60–78) | 0.952 | |
| Sex | Male | 13 (43.3) | 7 (46.7) | 0.54 |
| Female | 17 (56.7) | 8 (53.3) | ||
| Histology | PDAC | 14 (46.7) | 7 (46.7) | 0.623 |
| Periampullary Ca. | 16 (43.3) | 8 (53.3) | ||
| Periampullary Subtype (N = 16) | Pancreaticobiliary | 8 (50%) | 3 (37.5%) | 0.369 |
| Intestinal | 5 (31.2%) | 1 (12.5%) | ||
| Ampullary | 2 (12.5%) | 3 (37.5%) | ||
| Mixed/Other | 1 (6.3%) | 1 (12.5%) | ||
| T | 1 | 2 (6.7) | 1 (6.7) | 0.877 |
| 2 | 6 (20.0) | 4 (26.7) | ||
| 3 | 22 (73.3) | 10 (66.7) | ||
| N | 0 | 11 (36.7) | 6 (40) | 0.974 |
| 1 | 15 (50.0) | 7 (46.7) | ||
| 2 | 4 (13.3) | 2 (13.3) | ||
| Perineural invasion | No invasion | 11 (36.7) | 6 (40) | 0.539 |
| Invasion | 19 (63.3) | 9 (60) | ||
| Lymphovascular invasion | No invasion | 13 (43.3) | 6 (40) | 0.545 |
| Invasion | 17 (56.7) | 9 (60) | ||
| Neoadjuvant chemotherapy | 4 (13.8) | 2 (13.3) | 1.0 | |
| Missing/Undetermined | 1 | |||
| Adjuvant chemotherapy | 16 (55.2) | 8 (53.3) | 1.0 | |
| Missing/Undetermined | 1 | |||
| N = 45 | HR (95% CI) | p-Value |
|---|---|---|
| Histology | ||
| PDAC | Reference | - |
| Periampullary Ca. | 0.26 (0.12–0.56) | 0.0005 |
| dMMR | 0.27 (0.09–0.88) | 0.029 |
| dMMR:Periampullary Ca. | 4.79 (1.0–22.9) | 0.050 |
Disclaimer/Publisher’s Note: The statements, opinions and data contained in all publications are solely those of the individual author(s) and contributor(s) and not of MDPI and/or the editor(s). MDPI and/or the editor(s) disclaim responsibility for any injury to people or property resulting from any ideas, methods, instructions or products referred to in the content. |
© 2024 by the authors. Licensee MDPI, Basel, Switzerland. This article is an open access article distributed under the terms and conditions of the Creative Commons Attribution (CC BY) license (https://creativecommons.org/licenses/by/4.0/).
Share and Cite
Prezioso, E.; Mancheski, E.; Shivok, K.; Kaplan, Z.; Bowne, W.; Jain, A.; Lavu, H.; Yeo, C.J.; Nevler, A. Assessing Influence of Mismatch Repair Mutations on Survival in Patients After Resection of Pancreatic Ductal and Periampullary Adenocarcinoma. J. Clin. Med. 2024, 13, 6185. https://doi.org/10.3390/jcm13206185
Prezioso E, Mancheski E, Shivok K, Kaplan Z, Bowne W, Jain A, Lavu H, Yeo CJ, Nevler A. Assessing Influence of Mismatch Repair Mutations on Survival in Patients After Resection of Pancreatic Ductal and Periampullary Adenocarcinoma. Journal of Clinical Medicine. 2024; 13(20):6185. https://doi.org/10.3390/jcm13206185
Chicago/Turabian StylePrezioso, Elizabeth, Eleanor Mancheski, Kylee Shivok, Zachary Kaplan, Wilbur Bowne, Aditi Jain, Harish Lavu, Charles J. Yeo, and Avinoam Nevler. 2024. "Assessing Influence of Mismatch Repair Mutations on Survival in Patients After Resection of Pancreatic Ductal and Periampullary Adenocarcinoma" Journal of Clinical Medicine 13, no. 20: 6185. https://doi.org/10.3390/jcm13206185
APA StylePrezioso, E., Mancheski, E., Shivok, K., Kaplan, Z., Bowne, W., Jain, A., Lavu, H., Yeo, C. J., & Nevler, A. (2024). Assessing Influence of Mismatch Repair Mutations on Survival in Patients After Resection of Pancreatic Ductal and Periampullary Adenocarcinoma. Journal of Clinical Medicine, 13(20), 6185. https://doi.org/10.3390/jcm13206185

