Accuracy of Infrared Thermography in Diagnosing Breast Cancer-Related Lymphedema
Abstract
1. Introduction
2. Materials and Methods
2.1. Study Design
2.2. Participants
2.3. Recruitment Process
2.4. Clarification of Group Allocation
2.5. Data Collection and Assessor Training
2.6. Volumetry for Lymphedema Detection
2.7. Imaging Methods
2.7.1. Pre-Examination Recommendations
2.7.2. Image Acquisition
- (A)
- Anterior anatomical position (AAP): anterior view; the participant is in an orthostatic position with their ULs aligned alongside the trunk and their wrist in a neutral position with finger extension, and their forearm in supination;
- (B)
- Posterior anatomical position (PAP): posterior view; the participant is in an orthostatic position with their ULs aligned alongside the trunk, their wrist in a neutral position with finger extension, and their forearm in supination;
- (C)
- Anterior position with arms abduction (APWA): anterior view; the participant is in an orthostatic position with their shoulders flexed, abducted, and externally rotated, their elbows flexed, neutral wrists, and their forearms in pronation;
- (D)
- Posterior position with arms abduction (PPWA): posterior view; the participant is in an orthostatic position with their shoulders flexed, abducted, and externally rotated, their elbows flexed, neutral wrists, and their forearms in pronation.
2.7.3. Camera Type and Calibration
2.7.4. Thermogram Analysis
2.8. Data Analysis and Interpretation
3. Results
4. Discussion
5. Conclusions
Author Contributions
Funding
Institutional Review Board Statement
Informed Consent Statement
Data Availability Statement
Acknowledgments
Conflicts of Interest
References
- Kesztyüs, D.; Brucher, S.; Wilson, C.; Kesztyüs, T. Use of Infrared Thermography in Medical Diagnosis, Screening, and Disease Monitoring: A Scoping Review. Medicina 2023, 59, 2139. [Google Scholar] [CrossRef] [PubMed]
- Brix, B.; Sery, O.; Onorato, A.; Ure, C.; Roessler, A.; Goswami, N. Biology of Lymphedema. Biology 2021, 10, 261. [Google Scholar] [CrossRef] [PubMed]
- Ibarra Estupiñán, A.; Pons Playa, G.; Ferández Garrido, M.; Zamora Alarcon, P.; Olivares Dominguez, L.; Vega García, C.; Masia Ayala, J. Correlation between Indocyanine Green Lymphography and Thermography to Evaluate Areas of Dermal Backflow in Lymphedema. J. Plast. Reconstr. Aesthet. Surg. 2020, 73, 1897–1916. [Google Scholar] [CrossRef] [PubMed]
- Kelly-Hope, L.A.; Karim, M.J.; Sultan Mahmood, A.; Al Kawsar, A.; Khair, A.; Betts, H.; Douglass, J.; Forrer, A.; Taylor, M.J. Infrared Thermal Imaging as a Novel Non-Invasive Point-of-Care Tool to Assess Filarial Lymphoedema. J. Clin. Med. 2021, 10, 2301. [Google Scholar] [CrossRef]
- Beelen, L.M.; Van Dishoeck, A.-M.; Tsangaris, E.; Coriddi, M.; Dayan, J.H.; Pusic, A.L.; Klassen, A.; Vasilic, D. Patient-Reported Outcome Measures in Lymphedema: A Systematic Review and COSMIN Analysis. Ann. Surg. Oncol. 2021, 28, 1656–1668. [Google Scholar] [CrossRef] [PubMed]
- Borman, P. Lymphedema Diagnosis, Treatment, and Follow-up from the View Point of Physical Medicine and Rehabilitation Specialists. Turk. J. Phys. Med. Rehabil. 2018, 64, 179–197. [Google Scholar] [CrossRef]
- Donahue, P.M.C.; MacKenzie, A.; Filipovic, A.; Koelmeyer, L. Advances in the Prevention and Treatment of Breast Cancer-Related Lymphedema. Breast Cancer Res. Treat. 2023, 200, 1–14. [Google Scholar] [CrossRef] [PubMed]
- Matthews, M.; Gordon, S.; Witt, S.; Piller, N. Understanding Normal Seasonal Variations in Upper-Limb Size, Volume and Fluid Distribution in a Healthy Female Population: A North Queensland Study. Wounds Int. 2021, 12, 28–33. [Google Scholar]
- De Vrieze, T.; Nevelsteen, I.; Thomis, S.; De Groef, A.; Tjalma, W.A.A.; Gebruers, N.; Devoogdt, N. What Are the Economic Burden and Costs Associated with the Treatment of Breast Cancer-Related Lymphoedema? A Systematic Review. Support. Care Cancer 2020, 28, 439–449. [Google Scholar] [CrossRef]
- Dębiec-Bąk, A.; Skrzek, A.; Woźniewski, M.; Malicka, I. Using Thermography in the Diagnostics of Lymphedema: Pilot Study. Lymphat. Res. Biol. 2020, 18, 247–253. [Google Scholar] [CrossRef]
- Levenhagen, K.; Davies, C.; Perdomo, M.; Ryans, K.; Gilchrist, L. Diagnosis of Upper Quadrant Lymphedema Secondary to Cancer: Clinical Practice Guideline From the Oncology Section of the American Physical Therapy Association. Phys. Ther. 2017, 97, 729–745. [Google Scholar] [CrossRef] [PubMed]
- Campanholi, L.L.; Baiocchi, J.M.T.; Batista, B.N.; Bergmann, A.; Fregnani, J.H.T.G.; Duprat Neto, J.P. Agreement between Optoelectronic Volumetry and Circumferential Girth Measurements to Diagnose Lymphedema in Patients Submitted to Axillary Radical Lymphadenectomy for Treatment of Cutaneous Melanoma. Lymphat. Res. Biol. 2021, 19, 568–572. [Google Scholar] [CrossRef]
- Schwartz, R.G.; Brioschi, M.; Homer, C.; Kane, R.; Getson, P.; Pittman, J.; Rind, B.; Campbell, J.; Ehle, E.; Mustovoy, A.; et al. American Academy of Thermology Guidelines for Breast Thermography. Pan Am. J. Med. Thermol. 2015, 2, 26–34. [Google Scholar] [CrossRef]
- de Jesus Guirro, R.R.; Oliveira Lima Leite Vaz, M.M.; das Neves, L.M.S.; Dibai-Filho, A.V.; Carrara, H.H.A.; de Oliveira Guirro, E.C. Accuracy and Reliability of Infrared Thermography in Assessment of the Breasts of Women Affected by Cancer. J. Med. Syst. 2017, 41, 87. [Google Scholar] [CrossRef]
- Brioschi, M.L.; Dalmaso Neto, C.; Toledo, M.d.; Neves, E.B.; Vargas, J.V.C.; Teixeira, M.J. Infrared Image Method for Possible COVID-19 Detection through Febrile and Subfebrile People Screening. J. Therm. Biol. 2023, 112, 103444. [Google Scholar] [CrossRef]
- Koo, T.K.; Li, M.Y. A Guideline of Selecting and Reporting Intraclass Correlation Coefficients for Reliability Research. J. Chiropr. Med. 2016, 15, 155–163. [Google Scholar] [CrossRef] [PubMed]
- Ammer, K. The Glamorgan Protocol for Recording and Evaluation of Thermal Images of the Human Body. Thermol. Int. 2008, 18, 125–129. [Google Scholar]
- Ribeiro, D.C.; Belgrave, A.; Naden, A.; Fang, H.; Matthews, P.; Parshottam, S. The Prevalence of Myofascial Trigger Points in Neck and Shoulder-Related Disorders: A Systematic Review of the Literature. BMC Musculoskelet. Disord. 2018, 19, 252. [Google Scholar] [CrossRef]
- Bujang, M.A.; Adnan, T.H. Requirements for Minimum Sample Size for Sensitivity and Specificity Analysis. J. Clin. Diagn. Res. 2016, 10, YE01–YE06. [Google Scholar] [CrossRef]
- Spinelli, B.; Kallan, M.J.; Zhang, X.; Cheville, A.; Troxel, A.; Cohn, J.; Dean, L.; Sturgeon, K.; Evangelista, M.; Zhang, Z.; et al. Intra- and Interrater Reliability and Concurrent Validity of a New Tool for Assessment of Breast Cancer–Related Lymphedema of the Upper Extremity. Arch. Phys. Med. Rehabil. 2019, 100, 315–326. [Google Scholar] [CrossRef]
- LUCAS, R.; Brioschi, M.L. Termografia Aplicada à Fisioterapia, 1st ed.; Sistema Wallace Consultoria Ltda: Florianópolis, Brazil, 2016. [Google Scholar]
- Formenti, D.; Ludwig, N.; Rossi, A.; Trecroci, A.; Alberti, G.; Gargano, M.; Merla, A.; Ammer, K.; Caumo, A. Is the Maximum Value in the Region of Interest a Reliable Indicator of Skin Temperature? Infrared Phys. Technol. 2018, 94, 299–304. [Google Scholar] [CrossRef]
- Gatt, A.; Formosa, C.; Cassar, K.; Camilleri, K.P.; De Raffaele, C.; Mizzi, A.; Azzopardi, C.; Mizzi, S.; Falzon, O.; Cristina, S.; et al. Thermographic Patterns of the Upper and Lower Limbs: Baseline Data. Int. J. Vasc. Med. 2015, 2015, 831369. [Google Scholar] [CrossRef] [PubMed]
- Vardasca, R.; Magalhaes, C.; Silva, P.; Abreu, P.; Mendes, J.; Restivo, M.T. Biomedical Musculoskeletal Applications of Infrared Thermal Imaging on Arm and Forearm: A Systematic Review. J. Therm. Biol. 2019, 82, 164–177. [Google Scholar] [CrossRef] [PubMed]
- Ammer, K. Thermography in Lymphedema. In International Advance Techniques and Clinical Applications in Biomedical Thermology; Mabuchi, K.S., Ed.; Harwood Academic Publishers: Chur, Switzerland, 1995; pp. 213–220. [Google Scholar]
- Azhar, S.H.; Lim, H.Y.; Tan, B.-K.; Angeli, V. The Unresolved Pathophysiology of Lymphedema. Front. Physiol. 2020, 11, 137. [Google Scholar] [CrossRef] [PubMed]
- Osilla, E.V.; Marsidi, J.L.; Shumway, K.R.; Sharma, S. Physiology, Temperature Regulation. In StatPearls [Internet]; StatPearls Publishing: Treasure Island, FL, USA, 2023. [Google Scholar]
- Crandall, C.G.; Wilson, T.E.; Kregel, K.C. Mechanisms and Modulators of Temperature Regulation. J. Appl. Physiol. 2010, 109, 1219–1220. [Google Scholar] [CrossRef]
- Hassanein, A.H.; Maclellan, R.A.; Grant, F.D.; Greene, A.K. Diagnostic Accuracy of Lymphoscintigraphy for Lymphedema and Analysis of False-Negative Tests. Plast. Reconstr. Surg. Glob. Open 2017, 5, e1396. [Google Scholar] [CrossRef]
- Kondziołka, J.; Wilczyński, S.; Michalecki, Ł. Potential Use of Novel Image and Signal Processing Methods to Develop a Quantitative Assessment of the Severity of Acute Radiation Dermatitis in Breast Cancer Radiotherapy. Clin. Cosmet. Investig. Dermatol. 2022, 15, 725–733. [Google Scholar] [CrossRef]
- Oya, M.; Takahashi, T.; Tanabe, H.; Oe, M.; Murayama, R.; Yabunaka, K.; Matsui, Y.; Sanada, H. Low-Temperature Infiltration Identified Using Infrared Thermography in Patients with Subcutaneous Edema Revealed Ultrasonographically: A Case Report. Drug Discov. Ther. 2016, 10, 117–122. [Google Scholar] [CrossRef]
- Aldrich, M.B.; Rasmussen, J.C.; DeSnyder, S.M.; Woodward, W.A.; Chan, W.; Sevick-Muraca, E.M.; Mittendorf, E.A.; Smith, B.D.; Stauder, M.C.; Strom, E.A.; et al. Prediction of Breast Cancer-Related Lymphedema by Dermal Backflow Detected with near-Infrared Fluorescence Lymphatic Imaging. Breast Cancer Res. Treat. 2022, 195, 33–41. [Google Scholar] [CrossRef]
- Brioschi, G.C.; Brioschi, M.L.; Dalmaso Neto, C.; O’Young, B. The Socioeconomic Impact of Artificial Intelligence Applications in Diagnostic Medical Thermography: A Comparative Analysis with Mammography in Breast Cancer Detection and Other Diseases Early Detection. In Proceedings of the Artificial Intelligence over Infrared Images for Medical Applications, Vancouver, BC, Canada, 2 October 2023; Kakileti, S.T., Manjunath, G., Schwartz, R.G., Frangi, A.F., Eds.; Springer Nature: Cham, Switzerland, 2023; pp. 1–31. [Google Scholar]




| Variables | Mean (SD) or n (%) |
|---|---|
| Age (years) | 54 (7.57) |
| Time since cancer diagnosis (months) | 82.88 (75.24) |
| Time since mastectomy (months) | 78.83 (76.06) |
| Body mass index (kg/m2) | 27.65 (4.80) |
| Associated therapies | |
| Chemotherapy | 41 (91.1%) |
| Radiotherapy | 40 (88.9%) |
| Hormone therapy | 20 (44.4%) |
| Dominant side | |
| Right | 38 (84.4%) |
| Left | 6 (13.3%) |
| Affected upper limb | |
| Right | 25 (55.6%) |
| Left | 19 (42.2%) |
| Presence of lymphedema | 26 (59.1%) |
| ULWL | ULC | |||||||||
|---|---|---|---|---|---|---|---|---|---|---|
| Intra-Rater | 1° Rater A Mean (SD) | 2° Rater A Mean (SD) | ICC (95% CI) | SEM | MDC | 1° Rater A Mean (SD) | 2° Rater A Mean (SD) | ICC (95% CI) | SEM | MDC |
| AAP | ||||||||||
| Tmax | 31.89 (1.72) | 31.92 (1.74) | 1.00 (0.99–1.00) | 0.00 | 0.01 | 32.42 (1.35) | 32.47 (1.35) | 0.99 (0.99–0.99) | 0.03 | 0.05 |
| Tmean | 29.97 (1.47) | 30.03 (1.47) | 0.99 (0.99–1.00) | 0.02 | 0.03 | 30.40 (1.27) | 30.47 (1.29) | 0.99 (0.99–0.99) | 0.02 | 0.11 |
| Tmin | 28.15 (1.42) | 28.16 (1.42) | 1.00 (0.99–1.00) | 0.01 | 0.01 | 28.47 (1.35) | 28.52 (1.37) | 0.99 (0.98–0.99) | 0.03 | 0.09 |
| PAP | ||||||||||
| Tmax | 30.84 (0.89) | 30.80 (0.87) | 1.00 (0.99–1.00) | 0.01 | 0.02 | 31.29 (1.00) | 31.29 (0.98) | 0.97 (0.96–0.99) | 0.04 | 0.05 |
| Tmean | 29.21 (0.94) | 29.22 (0.94) | 0.99 (0.99–1.00) | 0.00 | 0.00 | 29.73 (1.02) | 29.72 (1.02) | 0.99 (0.98–0.99) | 0.02 | 0.04 |
| Tmin | 27.73 (0.86) | 27.80 (0.93) | 0.99 (0.98–0.99) | 0.02 | 0.04 | 28.07 (1.02) | 28.05 (1.02) | 0.99 (0.98–0.99) | 0.02 | 0.04 |
| APWA | ||||||||||
| Tmax | 32.83 (1.11) | 32.91 (1.10) | 0.99 (0.98–0.99) | 0.00 | 0.00 | 33.16 (1.08) | 33.22 (1.10) | 0.99 (0.98–0.99) | 0.00 | 0.00 |
| Tmean | 30.44 (0.91) | 30.51 (0.92) | 0.99 (0.99–0.99) | 0.03 | 0.09 | 30.67 (1.00) | 30.71 (1.01) | 0.99 (0.98–0.99) | 0.01 | 0.02 |
| Tmin | 28.59 (1.09) | 28.66 (1.09) | 0.99 (0.98–0.99) | 0.01 | 0.01 | 28.59 (0.87) | 28.61 (0.88) | 0.99 (0.99–0.99) | 0.01 | 0.01 |
| PPWA | ||||||||||
| Tmax | 31.17 (1.01) | 31.19 (1.01) | 0.99 (0.98–0.99) | 0.01 | 0.01 | 31.19 (0.96) | 31.19 (0.96) | 0.99 (0.98–0.99) | 0.03 | 0.08 |
| Tmean | 29.37 (1.06) | 29.34 (1.06) | 0.99 (0.99–0.99) | 0.01 | 0.01 | 29.69 (1.01) | 29.68 (1.01) | 0.99 (0.99–0.99) | 0.01 | 0.01 |
| Tmin | 27.79 (0.90) | 27.79 (0.90) | 0.99 (0.98–0.99) | 0.01 | 0.01 | 27.99 (0.91) | 27.99 (0.91) | 0.99 (0.98–0.99) | 0.01 | 0.01 |
| ULWL | ULC | |||||||||
| Inter-Rater | 2° Rater A Mean (SD) | Rater B Mean (SD) | ICC (95% CI) | SEM | MDC | 2° Rater A Mean (SD) | Rater B Mean (SD) | ICC (95% CI) | SEM | MDC |
| AAP | ||||||||||
| Tmax | 31.92 (1.74) | 31.98 (1.73) | 0.99 (0.98–0.99) | 0.00 | 0.01 | 32.47 (1.35) | 32.54 (1.36) | 0.99 (0.98–0.99) | 0.00 | 0.00 |
| Tmean | 30.03 (1.47) | 30.09 (1.45) | 0.99 (0.99–0.99) | 0.01 | 0.03 | 30.47 (1.29) | 30.54 (1.30) | 0.99 (0.99–0.99) | 0.01 | 0.02 |
| Tmin | 28.16 (1.42) | 28.25 (1.42) | 0.99 (0.98–0.99) | 0.00 | 0.01 | 28.52 (1.37) | 28.61 (1.39) | 0.99 (0.98–0.99) | 0.00 | 0.01 |
| PAP | ||||||||||
| Tmax | 30.80 (0.87) | 3.80 (0.85) | 0.99 (0.98–0.99) | 0.02 | 0.04 | 31.29 (0.98) | 31.29 (1.02) | 0.99 (0.98–0.99) | 0.02 | 0.04 |
| Tmean | 29.22 (0.94) | 29.21 (0.94) | 0.99 (0.99–0.99) | 0.00 | 0.00 | 29.72 (1.02) | 29.71 (1.03) | 0.99 (0.99–0.99) | 0.00 | 0.00 |
| Tmin | 27.80 (0.93) | 27.70 (0.86) | 0.97 (0.96–0.99) | 0.07 | 0.21 | 28.05 (1.02) | 28.08 (1.02) | 0.99 (0.98–0.99) | 0.02 | 0.04 |
| APWA | ||||||||||
| Tmax | 32.91 (1.10) | 32.81 (1.16) | 0.99 (0.99–0.99) | 0.06 | 0.00 | 33.22 (1.10) | 33.20 (1.12) | 0.99 (0.99–0.99) | 0.03 | 0.09 |
| Tmean | 30.51 (0.92) | 30.46 (0.98) | 0.99 (0.99–1.00) | 0.00 | 0.01 | 30.71 (1.01) | 30.70 (1.01) | 1.00 (0.99–1.00) | 0.00 | 0.01 |
| Tmin | 28.66 (1.09) | 28.57 (1.13) | 0.96 (0.95–0.98) | 0.09 | 0.11 | 28.61 (0.88) | 28.61 (0.90) | 0.97 (0.95–0.99) | 0.06 | 0.08 |
| PPWA | ||||||||||
| Tmax | 31.19 (1.01) | 31.19 (1.08) | 0.98 (0.98–0.99) | 0.07 | 0.09 | 31.19 (0.96) | 31.23 (1.04) | 0.99 (0.98–0.99) | 0.03 | 0.03 |
| Tmean | 29.34 (1.06) | 29.35 (1.11) | 0.93 (0.92–0.97) | 0.05 | 0.08 | 29.68 (1.01) | 29.63 (1.04) | 0.97 (0.96–0.99) | 0.01 | 0.04 |
| Tmin | 27.79 (0.90) | 27.72 (0.93) | 0.94 (0.95–0.98) | 0.11 | 0.03 | 27.99 (0.91) | 27.95 (0.92) | 0.99 (0.98–0.99) | 0.07 | 0.08 |
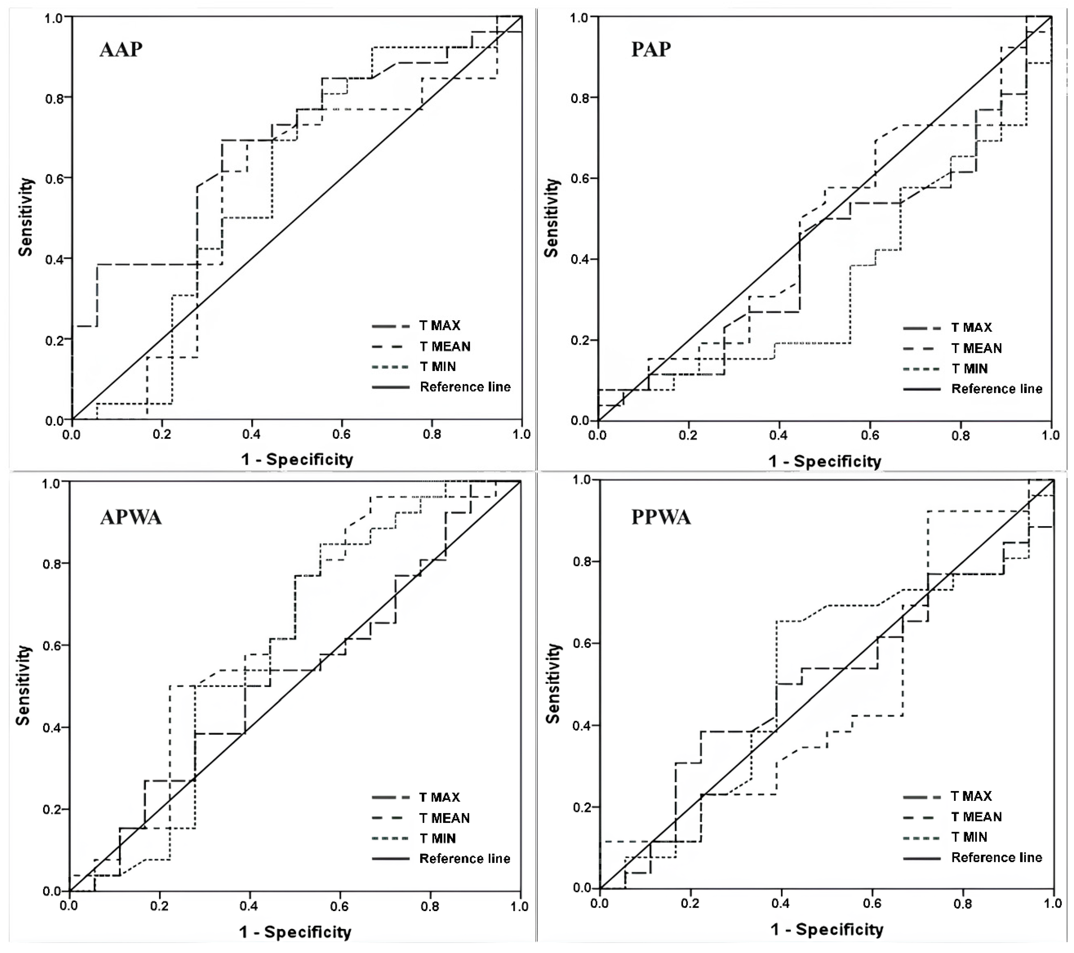
| Position | AUC (95% CI) | CP (°C) | Sens. (%) | Spe. (%) | TP | TN | FP | FN | Ac |
|---|---|---|---|---|---|---|---|---|---|
| AAP | |||||||||
| Tmax | 0.456 (0.315–0.596) | 32.37 | 0.500 | 0.565 | 13 | 35 | 27 | 13 | 0.546 |
| Tmean | 0.458 (0.322–0.595) | 30.33 | 0.500 | 0.597 | 13 | 37 | 25 | 13 | 0.568 |
| Tmin | 0.460 (0.334–0.585) | 28.25 | 0.615 | 0.548 | 16 | 34 | 28 | 10 | 0.568 |
| PAP | |||||||||
| Tmax | 0.401 (0.271–0.531) | 30.88 | 0.500 | 0.613 | 13 | 38 | 24 | 13 | 0.580 |
| Tmean | 0.401 (0.273–0.530) | 29.34 | 0.500 | 0.629 | 13 | 39 | 23 | 13 | 0.591 |
| Tmin | 0.458 (0.328–0.588) | 27.81 | 0.500 | 0.597 | 13 | 37 | 25 | 13 | 0.568 |
| APWA | |||||||||
| Tmax | 0.493 (0.360–0.627) | 32.82 | 0.615 | 0.597 | 16 | 37 | 25 | 10 | 0.602 |
| Tmean | 0.493 (0.365–0.621) | 30.42 | 0.615 | 0.581 | 16 | 36 | 26 | 10 | 0.591 |
| Tmin | 0.559 (0.429–0.689) | 28.33 | 0.692 | 0.548 | 18 | 34 | 28 | 8 | 0.591 |
| PPWA | |||||||||
| Tmax | 0.489 (0.354–0.623) | 30.90 | 0.577 | 0.661 | 15 | 41 | 21 | 11 | 0.636 |
| Tmean | 0.430 (0.297–0.564) | 29.30 | 0.500 | 0.629 | 13 | 39 | 23 | 13 | 0.591 |
| Tmin | 0.414 (0.285–0.544) | 27.74 | 0.500 | 0.597 | 13 | 37 | 25 | 13 | 0.568 |
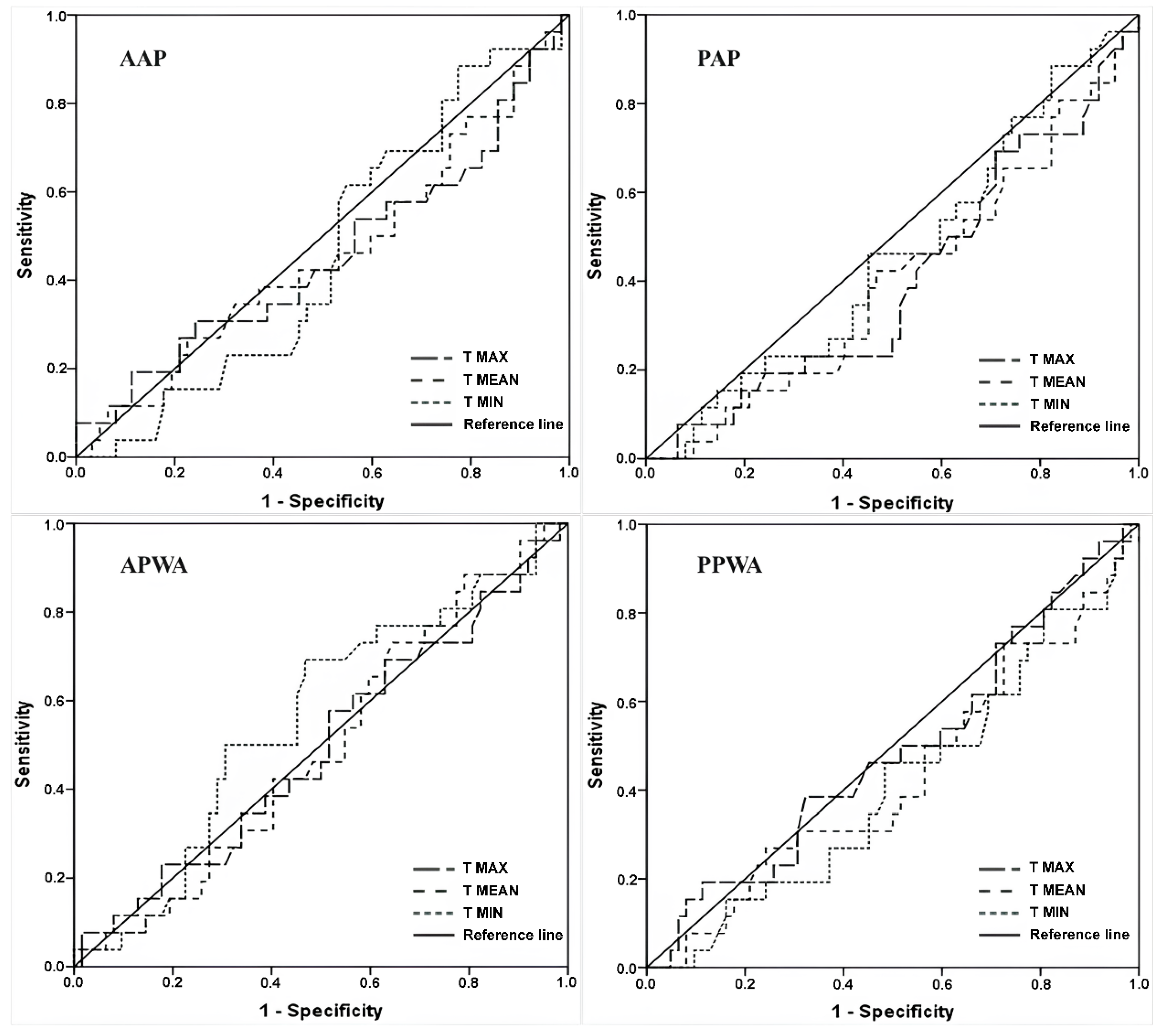
| Position | AUC (95% CI) | CP (°C) | Sens. (%) | Spe. (%) | TP | TN | FP | FN | Ac |
|---|---|---|---|---|---|---|---|---|---|
| AAP | |||||||||
| Tmax | 0.700 (0.533–0.848) | 0.45 | 0.846 | 0.556 | 20 | 13 | 5 | 6 | 0.750 |
| Tmean | 0.559 (0.374–0.744) | 0.34 | 0.769 | 0.611 | 20 | 11 | 7 | 6 | 0.704 |
| Tmin | 0.588 (0.402–0.773) | 0.10 | 0.808 | 0.556 | 21 | 10 | 8 | 5 | 0.705 |
| PAP | |||||||||
| Tmax | 0.424 (0.251–0.597) | 0.12 | 0.538 | 0.667 | 14 | 12 | 6 | 12 | 0.591 |
| Tmean | 0.482 (0.305–0.659) | 0.16 | 0.577 | 0.611 | 15 | 11 | 7 | 11 | 0.591 |
| Tmin | 0.351 (0.185–0.518) | 0.10 | 0.577 | 0.722 | 15 | 13 | 5 | 11 | 0.636 |
| APWA | |||||||||
| Tmax | 0.524 (0.346–0.701) | 0.11 | 0.769 | 0.722 | 22 | 10 | 8 | 4 | 0.727 |
| Tmean | 0.637 (0.460–0.813) | −0.12 | 0.769 | 0.556 | 20 | 10 | 8 | 6 | 0.682 |
| Tmin | 0.595 (0.409–0.781) | −0.25 | 0.885 | 0.722 | 18 | 34 | 28 | 8 | 0.591 |
| PPWA | |||||||||
| Tmax | 0.503 (0.329–0.678) | −0.10 | 0.654 | 0.667 | 15 | 41 | 21 | 11 | 0.636 |
| Tmean | 0.469 (0.286–0.652) | −0.10 | 0.577 | 0.667 | 13 | 39 | 23 | 13 | 0.591 |
| Tmin | 0.518 (0.338–0.699) | −0.25 | 0.731 | 0.722 | 13 | 37 | 25 | 13 | 0.568 |
| Position | Cut-Off Point (°C) | Sens. (%) | Spe. (%) | TP/TN | FP/FN | Ac | AUC (95% CI) |
|---|---|---|---|---|---|---|---|
| AAP | |||||||
| Tmax | 0.3 | 0.769 | 0.500 | 20/9 | 9/6 | 0.659 | 0.700 (0.533–0.848) |
| 0.6 | 0.923 | 0.833 | 24/15 | 3/2 | 0.886 | ||
| 1 | 0.962 | 0.944 | 25/17 | 1/1 | 0.955 | ||
| Tmean | 0.3 | 0.731 | 0.556 | 19/10 | 8/7 | 0.659 | 0.559 (0.374–0.744) |
| 0.6 | 0.885 | 0.944 | 23/17 | 1/3 | 0.909 | ||
| 1 | 1.000 | 0.944 | 26/17 | 1/0 | 0.977 | ||
| Tmin | 0.3 | 0.923 | 0.722 | 24/13 | 5/2 | 0.841 | 0.588 (0.402–0.773) |
| 0.6 | 0.923 | 0.834 | 24/15 | 3/2 | 0.887 | ||
| 1 | 1.000 | 0.944 | 26/17 | 1/0 | 0.977 | ||
| APWA | |||||||
| Tmax | 0.3 | 0.923 | 0.833 | 24/15 | 3/2 | 0.886 | 0.524 (0.346–0.701) |
| 0.6 | 0.923 | 0.889 | 24/16 | 2/2 | 0.909 | ||
| 1 | 1.000 | 0.944 | 26/17 | 1/0 | 0.977 | ||
| Tmean | 0.3 | 0.885 | 0.611 | 23/11 | 7/3 | 0.773 | 0.637 (0.460–0.813) |
| 0.6 | 0.962 | 0.722 | 25/13 | 5/1 | 0.864 | ||
| 1 | 1.000 | 0.944 | 26/17 | 1/0 | 0.977 | ||
| Tmin | 0.3 | 0.923 | 0.722 | 24/13 | 5/2 | 0.841 | 0.595 (0.409–0.781) |
| 0.6 | 1.000 | 0.833 | 26/15 | 3/0 | 0.932 | ||
| 1 | 1.000 | 1.000 | 26/18 | 0/0 | 1.000 |
Disclaimer/Publisher’s Note: The statements, opinions and data contained in all publications are solely those of the individual author(s) and contributor(s) and not of MDPI and/or the editor(s). MDPI and/or the editor(s) disclaim responsibility for any injury to people or property resulting from any ideas, methods, instructions or products referred to in the content. |
© 2024 by the authors. Licensee MDPI, Basel, Switzerland. This article is an open access article distributed under the terms and conditions of the Creative Commons Attribution (CC BY) license (https://creativecommons.org/licenses/by/4.0/).
Share and Cite
Gomes, V.M.d.S.A.; Brioschi, M.L.; Silva, A.R.C.d.; Tenório, N.; Oliveira, L.R.P.; Silva, A.C.S.d.; Maia, J.N.; Dantas, D. Accuracy of Infrared Thermography in Diagnosing Breast Cancer-Related Lymphedema. J. Clin. Med. 2024, 13, 6054. https://doi.org/10.3390/jcm13206054
Gomes VMdSA, Brioschi ML, Silva ARCd, Tenório N, Oliveira LRP, Silva ACSd, Maia JN, Dantas D. Accuracy of Infrared Thermography in Diagnosing Breast Cancer-Related Lymphedema. Journal of Clinical Medicine. 2024; 13(20):6054. https://doi.org/10.3390/jcm13206054
Chicago/Turabian StyleGomes, Vanessa Maria da Silva Alves, Marcos Leal Brioschi, Ana Rafaela Cardozo da Silva, Naiany Tenório, Laura Raynelle Patriota Oliveira, Ana Claúdia Souza da Silva, Juliana Netto Maia, and Diego Dantas. 2024. "Accuracy of Infrared Thermography in Diagnosing Breast Cancer-Related Lymphedema" Journal of Clinical Medicine 13, no. 20: 6054. https://doi.org/10.3390/jcm13206054
APA StyleGomes, V. M. d. S. A., Brioschi, M. L., Silva, A. R. C. d., Tenório, N., Oliveira, L. R. P., Silva, A. C. S. d., Maia, J. N., & Dantas, D. (2024). Accuracy of Infrared Thermography in Diagnosing Breast Cancer-Related Lymphedema. Journal of Clinical Medicine, 13(20), 6054. https://doi.org/10.3390/jcm13206054

