The Effect of Surgical Resection on Cancer-Specific Mortality in Pelvic Soft Tissue Sarcoma According to Histologic Subtype and Stage
Abstract
1. Introduction
2. Materials and Methods
2.1. Patient Characteristics and Variables’ Definition
2.2. Statistical Analyses
3. Results
3.1. Patient and Tumor Characteristics
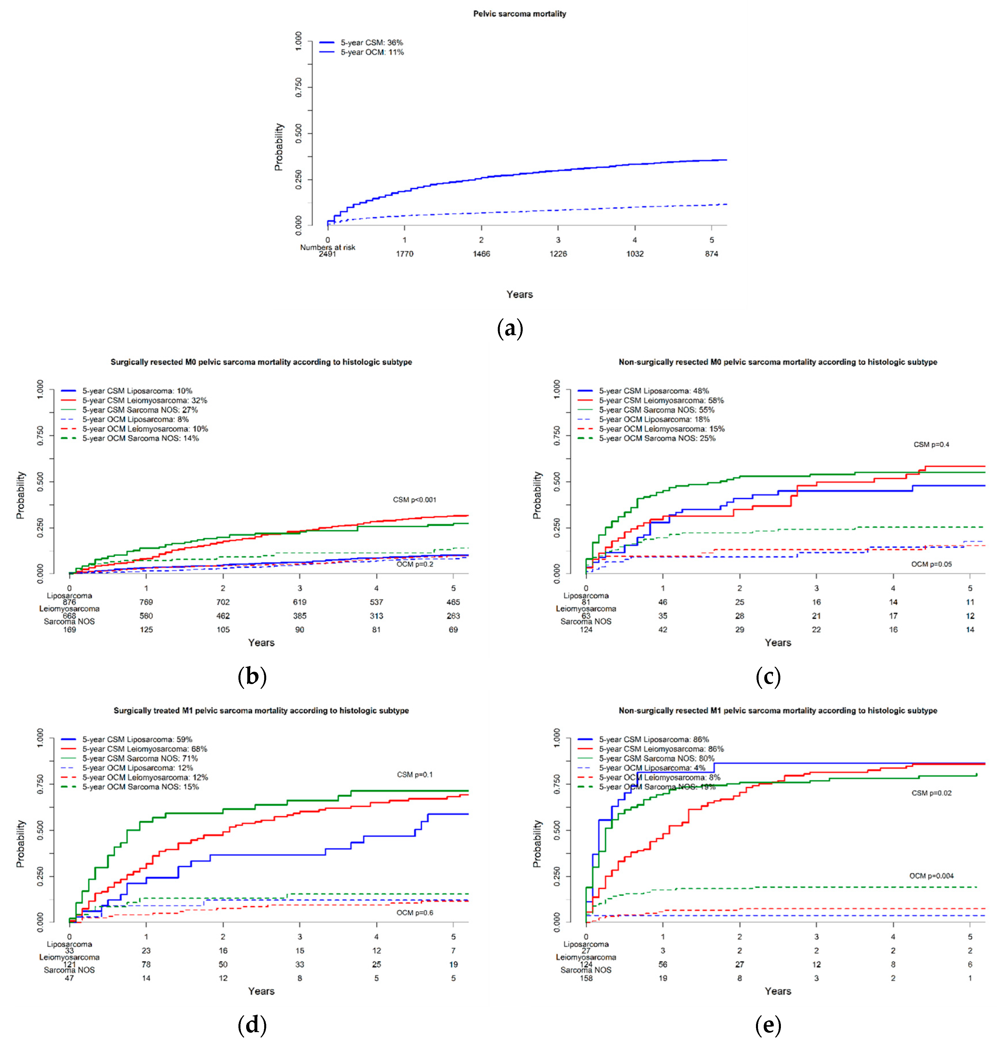
3.2. The Effect of Surgical Resection on Cancer-Specific Mortality in Non-Metastatic Patients
3.3. The Effect of Surgical Resection on Cancer-Specific Mortality in Metastatic Patients
4. Discussion
5. Conclusions
Author Contributions
Funding
Institutional Review Board Statement
Informed Consent Statement
Data Availability Statement
Conflicts of Interest
References
- Stiller, C.A.; Trama, A.; Serraino, D.; Rossi, S.; Navarro, C.; Chirlaque, M.D.; Zielonk, N.; Van Eycken, E.; Sundseth, H.; Hedelin, G.; et al. Descriptive Epidemiology of Sarcomas in Europe: Report from the RARECARE Project. Eur. J. Cancer 2013, 49, 684–695. [Google Scholar] [CrossRef]
- Lee, J.S.; Kelly, C.M.; Bartlett, E.K. Management of Pelvic Sarcoma. Eur. J. Surg. Oncol. 2022, 48, 2299–2307. [Google Scholar] [CrossRef] [PubMed]
- Hui, J.Y.C. Epidemiology and Etiology of Sarcomas. Surg. Clin. N. Am. 2016, 96, 901–914. [Google Scholar] [CrossRef]
- Clark, M.A.; Fisher, C.; Judson, I.; Thomas, J.M. Soft-Tissue Sarcomas in Adults. N. Engl. J. Med. 2005, 353, 701–711. [Google Scholar] [CrossRef] [PubMed]
- Sarre-Lazcano, C.; Dumitra, S.; Fiore, M. Pelvic Soft Tissue Sarcomas. Eur. J. Surg. Oncol. 2023, 49, 1102–1110. [Google Scholar] [CrossRef] [PubMed]
- Lewis, S.J.; Wunder, J.S.; Couture, J.; Davis, M.; Catton, C.; Kandel, R.A.; Kotwall, C.; O’Sullivan, B.; Bell, R.S. Soft Tissue Sarcomas Involving the Pelvis. J. Surg. Oncol. 2001, 77, 8–14. [Google Scholar] [CrossRef]
- Keyzer-Dekker, C.M.G.; Houtkamp, R.G.; Peterse, J.L.; Van Coevorden, F. Adult Pelvic Sarcomas: A Heterogeneous Collection of Sarcomas? Sarcoma 2004, 8, 19–24. [Google Scholar] [CrossRef] [PubMed]
- Levy, A.D.; Manning, M.A.; Al-Refaie, W.B.; Miettinen, M.M. Soft-Tissue Sarcomas of the Abdomen and Pelvis: Radiologic-Pathologic Features, Part 1—Common Sarcomas. Radiographics 2017, 37, 462–483. [Google Scholar] [CrossRef]
- Mor, E.; Assaf, D.; Shemla, S.; Ben-Ami, E.; Mor-Hadar, D.; Halfon, M.; Laks, S.; Hazzan, D.; Perelson, D.; Zippel, D.; et al. Resection of Recurrent Pelvic Soft Tissue Sarcoma: Is the Risk Worth the Reward? J. Surg. Res. 2023, 283, 914–922. [Google Scholar] [CrossRef]
- Rust, D.J.; Kato, T.; Yoon, S.S. Treatment for Local Control of Retroperitoneal and Pelvis Sarcomas: A Review of the Literature. Surg. Oncol. 2022, 43, 101814. [Google Scholar] [CrossRef]
- Zerhouni, S.; Van Coevorden, F.; Swallow, C.J. The Role and Outcomes of Palliative Surgery for Retroperitoneal Sarcoma. J. Surg. Oncol. 2018, 117, 105–110. [Google Scholar] [CrossRef] [PubMed]
- Khan, M.; Wilkerson, H.; Vassos, N.; Hannay, J.A.; Thway, K.; Messiou, C.; Hayes, A.J.; Strauss, D.C.; Smith, M.J. Oncologic Outcomes of Surgically Managed Primary Pelvic Soft Tissue Sarcoma; Tumour Biology or Surgical Constraints of the True Pelvis? Eur. J. Surg. Oncol. 2023, 49, 941–949. [Google Scholar] [CrossRef] [PubMed]
- Urasaki, T.; Nakano, K.; Tomomatsu, J.; Komai, Y.; Yuasa, T.; Yamashita, K.; Takazawa, Y.; Yamamoto, S.; Yonese, J.; Takahashi, S. Adult Genitourinary Sarcoma: The Era of Optional Chemotherapeutic Agents for Soft Tissue Sarcoma. Int. J. Urol. 2021, 28, 91–97. [Google Scholar] [CrossRef] [PubMed]
- Brennan, M.F.; Antonescu, C.R.; Moraco, N.; Singer, S. Lessons Learned from the Study of 10,000 Patients with Soft Tissue Sarcoma. Ann. Surg. 2014, 260, 416–422. [Google Scholar] [CrossRef]
- Singer, S.; Antonescu, C.R.; Riedel, E.; Brennan, M.F.; Pollock, R.E. Histologic Subtype and Margin of Resection Predict Pattern of Recurrence and Survival for Retroperitoneal Liposarcoma. Ann. Surg. 2003, 238, 358–371. [Google Scholar] [CrossRef]
- Amer, K.M.; Congiusta, D.V.; Thomson, J.E.; Elsamna, S.; Chaudhry, I.; Bozzo, A.; Amer, R.; Siracuse, B.; Ghert, M.; Beebe, K.S. Epidemiology and Survival of Liposarcoma and Its Subtypes: A Dual Database Analysis. J. Clin. Orthop. Trauma 2020, 11, S479–S484. [Google Scholar] [CrossRef]
- Gladdy, R.A.; Qin, L.X.; Moraco, N.; Agaram, N.P.; Brennan, M.F.; Singer, S. Predictors of Survival and Recurrence in Primary Leiomyosarcoma. Ann. Surg. Oncol. 2013, 20, 1851–1857. [Google Scholar] [CrossRef]
- Bettoli, P.; Liu, Z.A.; Jara, N.; Bakal, F.; Wong, W.; Terlizzi, M.; Sargos, P.; Zilli, T.; Thariat, J.; Sole, S.; et al. Primary Bladder Sarcoma: A Multi-Institutional Experience from the Rare Cancer Network. Arch. Ital. Urol. Androl. 2023, 95, 6–10. [Google Scholar] [CrossRef]
- Coiner, B.L.; Cates, J.; Kamanda, S.; Giannico, G.A.; Gordetsky, J.B. Leiomyosarcoma of the Urinary Bladder: A SEER Database Study and Comparison to Leiomyosarcomas of the Uterus and Extremities/Trunk. Ann. Diagn. Pathol. 2021, 53, 151743. [Google Scholar] [CrossRef]
- Dashti, N.K.; Cates, J.M.M. Risk Assessment of Visceral Sarcomas: A Comparative Study of 2698 Cases from the SEER Database. Ann. Surg. Oncol. 2021, 28, 6852–6860. [Google Scholar] [CrossRef]
- Nazemi, A.; Daneshmand, S. Adult Genitourinary Sarcoma: A Population-Based Analysis of Clinical Characteristics and Survival. Urol. Oncol. Semin. Orig. Investig. 2020, 38, 334–343. [Google Scholar] [CrossRef] [PubMed]
- Sbaraglia, M.; Bellan, E.; Dei Tos, A.P. The 2020 WHO Classification of Soft Tissue Tumours: News and Perspectives. Pathologica 2021, 113, 70–84. [Google Scholar] [CrossRef] [PubMed]
- Nazzani, S.; Preisser, F.; Bandini, M.; Marchioni, M.; Tian, Z.; Soulières, D.; Montanari, E.; Ratti, D.; Acquati, P.; Briganti, A.; et al. Surgically Treated Retroperitoneal Sarcoma: A Population-Based Competing Risks Analysis. Eur. Urol. Oncol. 2018, 1, 346–351. [Google Scholar] [CrossRef]
- Van Dalen, T.; Hennipman, A.; Van Coevorden, F.; Hoekstra, H.J.; Van Geel, B.N.; Slootweg, P.; Lutter, C.F.A.; Brennan, M.F.; Singer, S. Evaluation of a Clinically Applicable Post-Surgical Classification System for Primary Retroperitoneal Soft-Tissue Sarcoma. Ann. Surg. Oncol. 2004, 11, 483–490. [Google Scholar] [CrossRef] [PubMed]
- Scrucca, L.; Santucci, A.; Aversa, F. Regression Modeling of Competing Risk Using R: An in Depth Guide for Clinicians. Bone Marrow Transpl. 2010, 45, 1388–1395. [Google Scholar] [CrossRef]
- Wilson, A.; Norden, N. The R Project for Statistical Computing the R Project for Statistical Computing. Available online: https://www.r-project.org/ (accessed on 22 September 2024).
- Baudo, A.; Piccinelli, M.L.; Incesu, R.B.; Morra, S.; Scheipner, L.; Barletta, F.; Tappero, S.; Garcia, C.C.; Assad, A.; Tian, Z.; et al. Surgically Treated Pelvic Liposarcoma and Leiomyosarcoma: The Effect of Tumor Size on Cancer-Specific Survival. Surg. Oncol. 2024, 54, 102074. [Google Scholar] [CrossRef]
- Turgeon, M.K.; Cardona, K. Retroperitoneal Sarcomas: Histology Is Everything. Surg. Clin. N. Am. 2022, 102, 601–614. [Google Scholar] [CrossRef]
- Lee, P.J.; Meshkat, B.; Sasidharan, P.; Zahid, A.; Coker, D.J.; Solomon, M.J. Survival and Morbidity Outcomes after Pelvic Exenteration for Pelvic Sarcoma: An Institutional Series. ANZ J. Surg. 2022, 92, 1038–1043. [Google Scholar] [CrossRef]
- Bensaid, S.; Contejean, A.; Morand, P.; Enser, M.; Eyrolle, L.; Charlier, C.; Kernéis, S.; Anract, P.; Biau, D.; Canouï, E. Surgical Site Infection after Pelvic Bone and Soft Tissue Sarcoma Resection: Risk Factors, Microbiology, and Impact of Extended Postoperative Antibiotic Prophylaxis. J. Surg. Oncol. 2023, 128, 344–349. [Google Scholar] [CrossRef]
- Gonzalez, M.R.; Karczewski, D.; Bedi, A.D.S.; Denwood, H.; Lozano-Calderon, S.A. Risk Factors for 30-Day Soft Tissue Complications after Pelvic Sarcoma Surgery: A National Surgical Quality Improvement Program Study. J. Surg. Oncol. 2023, 128, 367–374. [Google Scholar] [CrossRef]


| Pelvic Soft Tissue Sarcoma | Overall n = 2491 | Liposarcoma n = 1017 (41%) | Leiomyosarcoma n = 976 (39%) | Sarcoma NOS n = 498 (20%) | p-Value |
|---|---|---|---|---|---|
| Age at diagnosis (years) | |||||
| Median (IQR) | 62 (52–72) | 62 (51–71) | 62 (51–71) | 65 (52–75) | 0.002 |
| Sex—male | 1358 (55%) | 731 (72%) | 365 (37%) | 262 (53%) | <0.001 |
| Surgical resection | 1914 (77%) | 909 (89%) | 789 (81%) | 216 (43%) | <0.001 |
| Grade | |||||
| High-grade | 1013 (41%) | 286 (28%) | 434 (44%) | 293 (59%) | <0.001 |
| Unknown | 566 (23%) | 129 (13%) | 284 (29%) | 153 (31%) | |
| Tumor size (mm) | |||||
| Median (IQR) | 100 (60–150) | 115 (73–170) | 88 (50–130) | 105 (70–146) | <0.001 |
| M stage | |||||
| M1 | 510 (20%) | 60 (6%) | 245 (25%) | 205 (41%) | <0.001 |
| Tumor origin | |||||
| Non-visceral | 2303 (92%) | 1017 (100%) | 843 (86%) | 443 (89%) | <0.001 |
| Visceral | 188 (8%) | 0 (0%) | 133 (14%) | 55 (11%) | |
| Bladder | 131 (5%) | 0 (0%) | 91 (9%) | 40 (8%) | |
| Prostate | 57 (2%) | 0 (0%) | 42 (4%) | 15 (3%) |
| Non-Metastatic | Metastatic | |||||||
|---|---|---|---|---|---|---|---|---|
| Hazard Ratio | 95% CI | p-Value | Non-Resected/Resected | Hazard Ratio | 95% CI | p-Value | Non-Resected/Resected | |
| Liposarcoma | ||||||||
| Surgical resection status (no vs. yes) | 0.2 | (0.1–0.3) | <0.001 | 171/876 | - | - | - | 27/33 |
| Leiomyosarcoma | ||||||||
| Surgical resection status (no vs. yes) | 0.5 | (0.3–0.8) | <0.001 | 63/668 | 0.6 | (0.4–0.8) | <0.001 | 121/124 |
| Sarcoma NOS | ||||||||
| Surgical resection status (no vs. yes) | 0.4 | (0.2–0.6) | <0.001 | 169/124 | 0.7 | (0.5–1.1) | 0.1 | 47/158 |
Disclaimer/Publisher’s Note: The statements, opinions and data contained in all publications are solely those of the individual author(s) and contributor(s) and not of MDPI and/or the editor(s). MDPI and/or the editor(s) disclaim responsibility for any injury to people or property resulting from any ideas, methods, instructions or products referred to in the content. |
© 2024 by the authors. Licensee MDPI, Basel, Switzerland. This article is an open access article distributed under the terms and conditions of the Creative Commons Attribution (CC BY) license (https://creativecommons.org/licenses/by/4.0/).
Share and Cite
Piccinelli, M.L.; Baudo, A.; Tappero, S.; Cano Garcia, C.; Barletta, F.; Incesu, R.-B.; Morra, S.; Scheipner, L.; Tian, Z.; Luzzago, S.; et al. The Effect of Surgical Resection on Cancer-Specific Mortality in Pelvic Soft Tissue Sarcoma According to Histologic Subtype and Stage. J. Clin. Med. 2024, 13, 5787. https://doi.org/10.3390/jcm13195787
Piccinelli ML, Baudo A, Tappero S, Cano Garcia C, Barletta F, Incesu R-B, Morra S, Scheipner L, Tian Z, Luzzago S, et al. The Effect of Surgical Resection on Cancer-Specific Mortality in Pelvic Soft Tissue Sarcoma According to Histologic Subtype and Stage. Journal of Clinical Medicine. 2024; 13(19):5787. https://doi.org/10.3390/jcm13195787
Chicago/Turabian StylePiccinelli, Mattia Luca, Andrea Baudo, Stefano Tappero, Cristina Cano Garcia, Francesco Barletta, Reha-Baris Incesu, Simone Morra, Lukas Scheipner, Zhe Tian, Stefano Luzzago, and et al. 2024. "The Effect of Surgical Resection on Cancer-Specific Mortality in Pelvic Soft Tissue Sarcoma According to Histologic Subtype and Stage" Journal of Clinical Medicine 13, no. 19: 5787. https://doi.org/10.3390/jcm13195787
APA StylePiccinelli, M. L., Baudo, A., Tappero, S., Cano Garcia, C., Barletta, F., Incesu, R.-B., Morra, S., Scheipner, L., Tian, Z., Luzzago, S., Mistretta, F. A., Ferro, M., Saad, F., Shariat, S. F., Ahyai, S., Longo, N., Tilki, D., Briganti, A., Chun, F. K. H., ... Karakiewicz, P. I. (2024). The Effect of Surgical Resection on Cancer-Specific Mortality in Pelvic Soft Tissue Sarcoma According to Histologic Subtype and Stage. Journal of Clinical Medicine, 13(19), 5787. https://doi.org/10.3390/jcm13195787

