Early and Late Surgery-Free Rates of Conservative Management Strategy for Thrombosed Type A Acute Aortic Dissection and Acute Intramural Hematoma
Abstract
1. Introduction
2. Materials and Methods
2.1. Ethical Statement
2.2. Study Patients
2.3. Patient Management
2.4. Data Collection and Study Outcomes
2.5. Statistical Analysis
3. Results
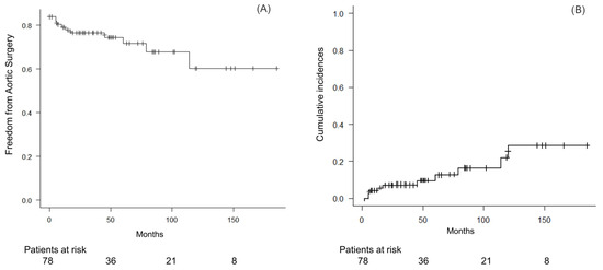
3.1. Early Outcomes
3.2. Late Outcomes
4. Discussion
5. Conclusions
Author Contributions
Funding
Institutional Review Board Statement
Informed Consent Statement
Data Availability Statement
Conflicts of Interest
References
- Chen, Y.Y.; Yen, H.T.; Lo, C.M.; Wu, C.C.; Huang, D.K.; Sheu, J.J. Natural courses and long-term results of type A acute aortic intramural haematoma and retrograde thrombosed type A acute aortic dissection: A single-centre experience. Interact Cardiovasc. Thorac. Surg. 2020, 30, 113–120. [Google Scholar] [CrossRef] [PubMed]
- Sadamatsu, K.; Takase, S.; Sagara, S.; Ohe, K.; Nishi, J.I.; Tashiro, H.; Kosuga, T.; Yasunaga, H. Initial medical management in acute type A aortic dissection patients with a thrombosed false lumen in the ascending aorta combining intramural hematoma and retrograde dissection from the descending to the ascending aorta. Eur. Heart J. Acute. Cardiovasc. Care 2020, 9 (Suppl. S3), S13–S20. [Google Scholar] [CrossRef] [PubMed]
- Cho, K.R.; Stanson, A.W.; Potter, D.D.; Cherry, K.J.; Schaff, H.V.; Sundt, T.M., 3rd. Penetrating atherosclerotic ulcer of the descending thoracic aorta and arch. J. Thorac. Cardiovasc. Surg. 2004, 127, 1393–1399. [Google Scholar] [CrossRef] [PubMed]
- Sá, M.P.; Tasoudis, P.; Jacquemyn, X.; Caranasos, T.G.; Ikonomidis, J.S.; Serna-Gallegos, D.; Sultan, I.; Chu, D. Late outcomes of surgery versus medical therapy in patients with type a aortic intramural hematoma: Meta-analysis of reconstructed time-to-event data. Am. J. Cardiol. 2024, 210, 1–7. [Google Scholar] [CrossRef] [PubMed]
- Ogino, H.; Iida, O.; Akutsu, K.; Chiba, Y.; Hayashi, H.; Ishibashi-Ueda, H.; Kaji, S.; Kato, M.; Komori, K.; Matsuda, H.; et al. JCS/JSCVS/JATS/JSVS 2020 Guideline on Diagnosis and Treatment of Aortic Aneurysm and Aortic Dissection. Circ. J. 2023, 87, 1410–1621. [Google Scholar] [PubMed]
- Kaji, S.; Akasaka, T.; Katayama, M.; Yamamuro, A.; Yamabe, K.; Tamita, K.; Akiyama, M.; Watanbe, N.; Tanemoto, K.; Morioka, S.; et al. Prognosis of retrograde dissection from the descending to the ascending aorta. Circulation 2003, 108 (Suppl. S1), II300-6. [Google Scholar] [CrossRef] [PubMed]
- Fardon, D.F.; Williams, A.L.; Dohring, E.J.; Murtagh, F.R.; Gabriel Rothman, S.L.; Sze, G.K. Lumbar disc nomenclature: Version 2.0: Recommendations of the combined task forces of the North American Spine Society, the American Society of Spine Radiology and the American Society of Neuroradiology. Spine J. 2014, 14, 2525–2545. [Google Scholar] [CrossRef]
- Kanda, Y. Investigation of the freely available easy-to-use software ‘EZR’ for medical statistics. Bone Marrow Transpl. 2013, 48, 452–458. [Google Scholar] [CrossRef]
- Isselbacher, E.M.; Preventza, O.; Hamilton Black, J., 3rd; Augoustides, J.G.; Beck, A.W.; Bolen, M.A.; Braverman, A.; Bray, B.; Chen, E.; Collins, T.; et al. ACC/AHA guideline for the diagnosis and management of aortic disease: A report of the American Heart Association/American College of Cardiology joint committee on clinical practice guidelines. Circulation 2022, 146, e334–e482. [Google Scholar] [CrossRef]
- Uchida, K.; Imoto, K.; Karube, N.; Minami, T.; Cho, T.; Goda, M.; Suzuki, S.; Masuda, M. Intramural haematoma should be referred to as thrombosed-type aortic dissection. Eur. J. Cardiothorac. Surg. 2013, 44, 366–369; discussion 369. [Google Scholar] [CrossRef]
- Sandhu, H.K.; Tanaka, A.; Charlton-Ouw, K.M.; Afifi, R.O.; Miller, C.C., 3rd; Safi, H.J.; Estrera, A.L. Outcomes and management of type A intramural hematoma. Ann. Cardiothorac. Surg. 2016, 5, 317–327. [Google Scholar] [CrossRef] [PubMed]
- Lee, C.W.; Kang, J.W.; Lee, H.J.; Lim, T.H. MDCT evaluation of intimal defects in intramural hematoma of the aorta: Initial findings and follow-up. Int. J. Cardiovasc. Imaging 2010, 26 (Suppl. S2), 295–302. [Google Scholar] [CrossRef] [PubMed]
- Ishizu, K.; Kaji, S.; Nakashima, M.; Kitai, T.; Kim, K.; Ehara, N.; Kinoshita, M.; Furukawa, Y. Focal intimal disruption size at multidetector CT and disease progression in type B aortic intramural hematoma. Radiology 2021, 301, 311–319. [Google Scholar] [CrossRef] [PubMed]
- Kim, J.B.; Choo, S.J.; Kim, W.K.; Kim, H.J.; Jung, S.H.; Chung, C.H.; Lee, W.; Song, J. Outcomes of acute retrograde type a aortic dissection with an entry tear in descending aorta. Circulation 2014, 130, S39–S44. [Google Scholar] [CrossRef] [PubMed]
- Kitai, T.; Kaji, S.; Yamamuro, A.; Tani, T.; Tamita, K.; Kinoshita, M.; Ehara, N.; Kobori, A.; Nasu, M.; Okada, Y. Clinical outcomes of medical therapy and timely operation in initially diagnosed type a aortic intramural hematoma: A 20-year experience. Circulation 2009, 120, S292–S298. [Google Scholar] [CrossRef]
- Watanabe, S.; Hanyu, M.; Arai, Y.; Nagasawa, A. Initial medical treatment for acute type a intramural hematoma and aortic dissection. Ann. Thorac. Surg. 2013, 96, 2142–2146. [Google Scholar] [CrossRef]
- Ganaha, F.; Miller, D.C.; Sugimoto, K.; Do, Y.S.; Minamiguchi, H.; Saito, H.; Mitchell, S.; Dake, M. Prognosis of aortic intramural hematoma with and without penetrating atherosclerotic ulcer: A clinical and radiological analysis. Circulation 2002, 106, 342–348. [Google Scholar] [CrossRef]
- Song, J.K.; Kim, H.S.; Kang, D.H.; Lim, T.H.; Song, M.G.; Park, S.W.; Park, S.J. Different clinical features of aortic intramural hematoma versus dissection involving the ascending aorta. J. Am. Coll. Cardiol. 2001, 37, 1604–1610. [Google Scholar] [CrossRef]
- Chow, S.C.Y.; Wong, R.H.L.; Lakhani, I.; Wong, M.V.; Tse, G.; Yu, P.S.Y.; Ho, J.; Fujikawa, T.; Underwood, M. Management of acute type A intramural hematoma: Upfront surgery or individualized approach? A retrospective analysis and meta-analysis. J. Thorac. Dis. 2020, 12, 680–689. [Google Scholar] [CrossRef]
- Kitamura, T.; Fukuzumi, M.; Mishima, T.; Shikata, F.; Motoji, Y.; Tamura, Y.; Horikoshi, R.; Yokozuka, H.; Ishiwaki, D.; Mijaji, K. Watch-and-wait strategy for selected patients with type A intramural hematoma. Gen. Thorac. Cardiovasc. Surg. 2024, 72, 225–2231. [Google Scholar] [CrossRef]
- Hata, M.; Hata, H.; Sezai, A.; Yoshitake, I.; Wakui, S.; Shiono, M. Optimal treatment strategy for type A acute aortic dis-section with intramural hematoma. J. Thorac. Cardiovasc. Surg. 2014, 147, 307–311. [Google Scholar] [CrossRef] [PubMed]
- Nakamae, K.; Oshitomi, T.; Uesugi, H.; Ideta, I.; Takaji, K.; Sassa, T.; Murata, H.; Hirota, M. Noncommunicating acute type A aortic dissection in elderly patients: Surgery versus medical management. Eur. J. Cardiothorac. Surg. 2022, 62, ezac484. [Google Scholar] [CrossRef] [PubMed]
- Ahmad, R.A.; Orelaru, F.; Arora, A.; Ling, C.; Kim, K.M.; Fukuhara, S.; Patel, H.; Deeb, M.; Yang, B. Acute type A intramural hematoma: The less-deadly acute aortic syndrome? J. Thorac. Cardiovasc. Surg. 2024. [Google Scholar] [CrossRef] [PubMed]
- Evangelista, A.; Dominguez, R.; Sebastia, C.; Salas, A.; Permanyer-Miralda, G.; Avegliano, G.; Gomez-Bosh, Z.; Gonzalez-Alujas, T.; Garcia del Castillo, H.; Soler-Soler, J. Prognostic value of clinical and morphologic findings in short-term evolution of aortic intramural haematoma. Therapeutic implications. Eur. Heart J. 2004, 25, 81–87. [Google Scholar] [CrossRef]
- Takahashi, T.; Yoshino, H.; Akutsu, K.; Shimokawa, T.; Ogino, H.; Kunihara, T.; Usui, M.; Wantabe, K.; Kawata, M.; Masuhara, H.; et al. Sex-Related Differences in Clinical Features and In-Hospital Outcomes of Type B Acute Aortic Dissection: A Registry Study. J. Am. Heart Assoc. 2022, 11, e024149. [Google Scholar] [CrossRef]



| Date of Onset | Day 1 | Day 3 | Day 5 | Day 7 | Day 14 | Day 21 | Day28 | |
|---|---|---|---|---|---|---|---|---|
| Contrast-enhanced CT | ![]() | ![]() | ![]() | △ | ![]() | ![]() | ![]() | ![]() |
| Rest | Bed rest | Sitting position | Toilet | Walking | Discharge | |||
| inside the ward | inside the hospital | |||||||
| Meal | Fasting & infusion | Oral intake | ||||||
, CT is performed; △, CT is performed if the CT finding on Day 3 was significant.| Overall n = 98 | Declined Surgery n = 2 | Surgery n = 18 | No Surgery n = 78 | p Value | |
|---|---|---|---|---|---|
| Demographics | |||||
| Age, years | 73 [65, 81] | 78 [76, 79] | 69 [64, 80] | 73 [65, 81] | 0.507 |
| Female, n (%) | 55 (56) | 2 (100) | 11 (61) | 42 (54) | 0.192 |
| Smoking, n (%) | 30 (31) | 1 (50) | 5 (28) | 24 (31) | 0.234 |
| Hypertension, n (%) | 96 (98) | 2 (100) | 18 (100) | 76 (97) | 1.000 |
| Hyperlipidemia, n (%) | 22 (22) | 1 (50) | 1 (9) | 20 (26) | 0.110 |
| Diabetes mellitus, n (%) | 3 (3) | 0 | 0 | 3 (3) | 1.000 |
| CKD, n (%) | 18 (18) | 0 | 3 (17) | 15 (19) | 1.000 |
| CT findings on admission | |||||
| Aortic diameter, mm | 45 [42, 48] | 47 [45, 50] | 46 [44, 49] | 45 [42, 48] | 0.308 |
| Thickness of thrombosed FL or IMH, mm | 12 [8, 15] | 12 [11, 12] | 11 [9, 15] | 12 [8, 15] | 0.649 |
| Presence of ULPs, n (%) | 48 (49) | 2 (100) | 14 (78) | 32 (41) | 0.008 |
| protrusion type, n (%) | 32 (67) | 1 (50) | 3 (21) | 28 (88) | <0.001 |
| extrusion type, n (%) | 16 (33) | 1 (50) | 11 (79) | 4 (12) | |
| CT findings on Day 1 | |||||
| Aortic diameter, mm | 44 [42, 46] | 48 [46, 49] | 45 [44, 49] | 43 [41, 46] | 0.032 |
| Thickness of thrombosed FL or IMH, mm | 8 [6, 9] | 13 [13, 14] | 8 [6, 9] | 8 [6, 9] | 0.744 |
| Variables | Univariable | Multivariable | ||
|---|---|---|---|---|
| HR (95% CI) | p Value | HR (95% CI) | p Value | |
| Patient Demographics | ||||
| Age | 0.99 (0.938–1.042) | 0.719 | ||
| Female | 2.68 (0.784–9.153) | 0.116 | ||
| Hyperlipidemia | 0.25 (0.031–2.060) | 0.198 | ||
| CT findings on admission | ||||
| Aortic diameter | 1.07 (0.943–1.213) | 0.291 | ||
| Thickness of thrombosed FL or IMH | 1.05 (0.923–1.194) | 0.464 | ||
| Presence of ULPs | 6.27 (1.632–24.10) | 0.008 | 3.62 (0.614–21.40) | 0.155 |
| Protrusion type of ULP | 0.49 (0.127–1.893) | 0.301 | ||
| Extrusion type of ULP | 27.4 (6.472–116.2) | <0.001 | 6.91 (1.193–40.10) | 0.031 |
| CT findings on Day 1 | ||||
| Aortic diameter | 1.15 (1.014–1.322) | 0.036 | 1.62 (1.084–3.046) | 0.038 |
| Thickness of thrombosed FL or IMH | 0.93 (0.774–1.134) | 0.475 | ||
| Surgery n = 9 | No Surgery n = 69 | p Value | |
|---|---|---|---|
| Demographics | |||
| Age, years | 68 [62, 75] | 73 [65, 81] | |
| Female, n (%) | 5 (56) | 34 (49) | 1.000 |
| Hypertension, n (%) | 9 (100) | 66 (96) | 1.000 |
| Hyperlipidemia, n (%) | 3 (33) | 14 (20) | 0.400 |
| Diabetes mellitus, n (%) | 0 | 3 (4) | 1.000 |
| CKD, n (%) | 2 (22) | 12 (17) | 0.660 |
| CT findings on admission | |||
| Maximum aortic diameter, mm | 48 [46, 52] | 44 [42, 47] | 0.008 |
| Maximum thickness of thrombosed FL or IMH, mm | 12 [10, 15] | 11 [7, 14] | 0.214 |
| Presence of ULPs, n (%) | 5 (56) | 25 (36) | 0.294 |
| protrusion type, n (%) | 3 (60) | 23 (92) | 0.119 |
| extrusion type, n (%) | 2 (40) | 2 (8) | |
| CT findings on Day 1 | |||
| Maximum aortic diameter, mm | 45 [43, 52] | 43 [41, 46] | 0.021 |
| Maximum thickness of thrombosed FL or IMH, mm | 7 [6, 13] | 8 [6, 9] | 0.612 |
| CT findings on discharge | |||
| Maximum aortic diameter, mm | 47 [43, 50] | 42 [38, 45] | 0.004 |
| Maximum thickness of thrombosed FL or IMH, mm | 6 [4, 10] | 3 [2, 5] | 0.034 |
| Presence of ULPs, n (%) | 6 (67) | 12 (17) | 0.004 |
| protrusion type, n (%) | 3 (33) | 10 (14) | 0.167 |
| extrusion type, n (%) | 3 (33) | 2 (3) | 0.009 |
| Variables | Univariable | Multivariable | ||
|---|---|---|---|---|
| HR (95% CI) | p Value | HR (95% CI) | p Value | |
| CT findings on Day 1 | ||||
| Aortic diameter | 1.20 (1.062–1.353) | 0.003 | 0.85 (0.587–1.243) | 0.411 |
| Thickness of thrombosed FL or IMH | 1.041 (0.891–1.217) | 0.613 | ||
| CT findings on discharge | ||||
| Aortic diameter | 1.28 (1.123–1.473) | <0.001 | 2.62 (1.884–6.076) | 0.016 |
| Thickness of thrombosed FL or IMH | 1.08 (0.963–1.212) | 0.189 | 0.91 (0.698–1.187) | 0.487 |
| Extrusion type of ULP | 7.68 (1.892–11.25) | 0.004 | 4.75 (1.478–8.631) | 0.024 |
Disclaimer/Publisher’s Note: The statements, opinions and data contained in all publications are solely those of the individual author(s) and contributor(s) and not of MDPI and/or the editor(s). MDPI and/or the editor(s) disclaim responsibility for any injury to people or property resulting from any ideas, methods, instructions or products referred to in the content. |
© 2024 by the authors. Licensee MDPI, Basel, Switzerland. This article is an open access article distributed under the terms and conditions of the Creative Commons Attribution (CC BY) license (https://creativecommons.org/licenses/by/4.0/).
Share and Cite
Akita, K.; Takami, Y.; Maekawa, A.; Yamana, K.; Amano, K.; Matsuhashi, K.; Niwa, W.; Takagi, Y. Early and Late Surgery-Free Rates of Conservative Management Strategy for Thrombosed Type A Acute Aortic Dissection and Acute Intramural Hematoma. J. Clin. Med. 2024, 13, 5464. https://doi.org/10.3390/jcm13185464
Akita K, Takami Y, Maekawa A, Yamana K, Amano K, Matsuhashi K, Niwa W, Takagi Y. Early and Late Surgery-Free Rates of Conservative Management Strategy for Thrombosed Type A Acute Aortic Dissection and Acute Intramural Hematoma. Journal of Clinical Medicine. 2024; 13(18):5464. https://doi.org/10.3390/jcm13185464
Chicago/Turabian StyleAkita, Kiyotoshi, Yoshiyuki Takami, Atsuo Maekawa, Koji Yamana, Kentaro Amano, Kazuki Matsuhashi, Wakana Niwa, and Yasushi Takagi. 2024. "Early and Late Surgery-Free Rates of Conservative Management Strategy for Thrombosed Type A Acute Aortic Dissection and Acute Intramural Hematoma" Journal of Clinical Medicine 13, no. 18: 5464. https://doi.org/10.3390/jcm13185464
APA StyleAkita, K., Takami, Y., Maekawa, A., Yamana, K., Amano, K., Matsuhashi, K., Niwa, W., & Takagi, Y. (2024). Early and Late Surgery-Free Rates of Conservative Management Strategy for Thrombosed Type A Acute Aortic Dissection and Acute Intramural Hematoma. Journal of Clinical Medicine, 13(18), 5464. https://doi.org/10.3390/jcm13185464

