“Defendit Numerus”: A Pooled Analysis of 6145 Locally Advanced Rectal Cancer Treated with Preoperative Chemoradiotherapy
Abstract
1. Introduction
2. Methods
2.1. Structure of This Study
2.2. Study Selection and Qualitative Analysis
- (1)
- Data were in the English language and accessible in the form of full-text papers, presentations, posters or oral presentations;
- (2)
- The target population of the original study was patients with locally advanced rectal cancer who were treated with preoperative chemoradiotherapy using a fluorouracil-based regimen;
- (3)
- The study evaluated disease-free survival and overall survival outcomes after the treatment.
2.3. Reconstruction of Survival Data
3. Results
3.1. Baseline Characteristics
| Authors/Trial | N° | Median Age (Years) | Male | ECOG PS | Anal Verge (cm) | pT Stage | pN Stage | ||||||||||
|---|---|---|---|---|---|---|---|---|---|---|---|---|---|---|---|---|---|
| 0 | 1 | 2 | <4 | 4–8 | >8 | NA | pT1-2 | pT3 | pT4 | NA | pN0 | pN1-2 | NA | ||||
| Aschele et al. [21] STAR-01 | 379 | 63 | 259 | 330 | 248 | 1 | 89 | 202 | 81 | 7 | 7 | 307 | 65 | 0 | 134 | 242 | 2 |
| Appelt et al. [18] | 111 | 62 | 68 | NA | NA | NA | NA | NA | NA | NA | 0 | 90 | 21 | 0 | 10 | 101 | 0 |
| Bahadoer et al. [22] RAPIDO | 450 | 62 | 312 | NA | NA | NA | 115 | 153 | 151 | 31 | 14 | 299 | 137 | 0 | 35 | 415 | 0 |
| Bosset et al. [23] EORTC 22921 | 253 | 62 | 183 | 202 | 50 | 0 | 125 | 114 | 14 | 0 | 0 | 230 | 23 | 0 | 22 | 208 | 0 |
| Bujko et al. [13] | 48 | 59 | 33 | 22 | 24 | 2 | 24 | 0 | 0 | 24 | 0 | 96 | 36 | 0 | NA | NA | NA |
| Conroy et al. [24] UNICANCER-PRODIGE 23 | 230 | 62 | 156 | 182 | 44 | 0 | 83 | 118 | 29 | 0 | 2 | 188 | 35 | 0 | 22 | 208 | NA |
| Deng et al. [14] FOWARC | 165 | 54 | 103 | NA | NA | NA | 90 | 70 | 5 | 0 | 8 | 100 | 57 | 0 | 37 | 128 | 0 |
| Gérard et al. [25] ACCORD 12/0405-Prodige 2 | 293 | 63 | 191 | 229 | 43 | 1 | 204 | 0 | 89 | 0 | 23 | 255 | 15 | 0 | 85 | 205 | 3 |
| Hofheinz et al. [16] | 392 | 65 | 260 | 216 | 138 | 4 | NA | NA | NA | NA | 65 | 290 | 29 | 0 | 147 | 232 | 0 |
| Jiao et al. [26] | 103 | 63 | 68 | 82 | 16 | 5 | 25 | 57 | 21 | 0 | 3 | 61 | 39 | 0 | 23 | 80 | 0 |
| Jin et al. [27] STELLAR | 297 | 56 | 208 | 254 | 43 | 0 | 148 | 149 | 0 | NA | 9 | 250 | 38 | NA | 49 | 248 | NA |
| Jung et al. [20] | 71 | 56 | 44 | 45 | 26 | 0 | 17 | 44 | 10 | 0 | 0 | 57 | 14 | 0 | 8 | 63 | 0 |
| Kairevice et al. [28] | 72 | 63 | 49 | NA | NA | NA | 30 | 37 | 5 | 0 | 4 | 52 | 16 | 0 | 21 | 51 | 0 |
| Rouanet et al. [29] GRECCAR-1 | 265 | 63 | 169 | NA | NA | NA | NA | NA | NA | NA | 20 | 217 | 18 | 0 | 105 | 160 | 0 |
| Allegra et al. [30] NSABP04 | 641 | 58 | 433 | NA | NA | NA | NA | NA | NA | NA | NA | NA | NA | NA | NA | NA | NA |
| Mohiuddin et al. [31] RTOG | 50 | 56 | 38 | 35 | 15 | 0 | NA | NA | NA | NA | 0 | 34 | 16 | 0 | 31 | 19 | 0 |
| Appelt et al. [17] TTROG | 161 | 64 | 120 | 87 | 71 | 3 | 31 | 88 | 42 | 0 | 0 | 161 | 0 | 0 | 90 | 61 | 10 |
| Park et al. [15] | 107 | 54 | 67 | NA | NA | NA | 64 | 43 | 0 | 0 | 1 | 105 | 1 | 0 | 35 | 72 | 0 |
| Rödel et al. [32] CAO/ARO/AIO-04 | 623 | 63 | 440 | 475 | 141 | 0 | 216 | 336 | 64 | 7 | 32 | 537 | 50 | 4 | 159 | 451 | 0 |
| Sauer et al. [33] CAO/ARO/AIO-94 | 406 | 62 | 293 | NA | NA | NA | NA | 117 | 189 | 85 | 15 | NA | NA | NA | NA | NA | NA |
| Schmoll et al. [34] PETACC 6 | 547 | 62 | 394 | 420 | 126 | 1 | 236 | 311 | 0 | 0 | 39 | 466 | 42 | 0 | 118 | 393 | 25 |
| Salazar et al. [35] | 100 | 60 | 65 | 65 | 35 | 0 | 35 | 41 | 22 | 0 | 1 | 83 | 15 | 0 | 11 | 89 | 0 |
| Valentini et al. [19] INTERACT | 280 | 60 | 188 | NA | NA | NA | 188 | 89 | 3 | 0 | 28 | 250 | 0 | 2 | 58 | 220 | 2 |
| Total | 6145 | 62 | 4141 | 2644 | 820 | 17 | 1837 | 2041 | 621 | 84 | 256 | 4114 | 667 | 44 | 1218 | 3499 | 42 |
3.2. Overall Survival
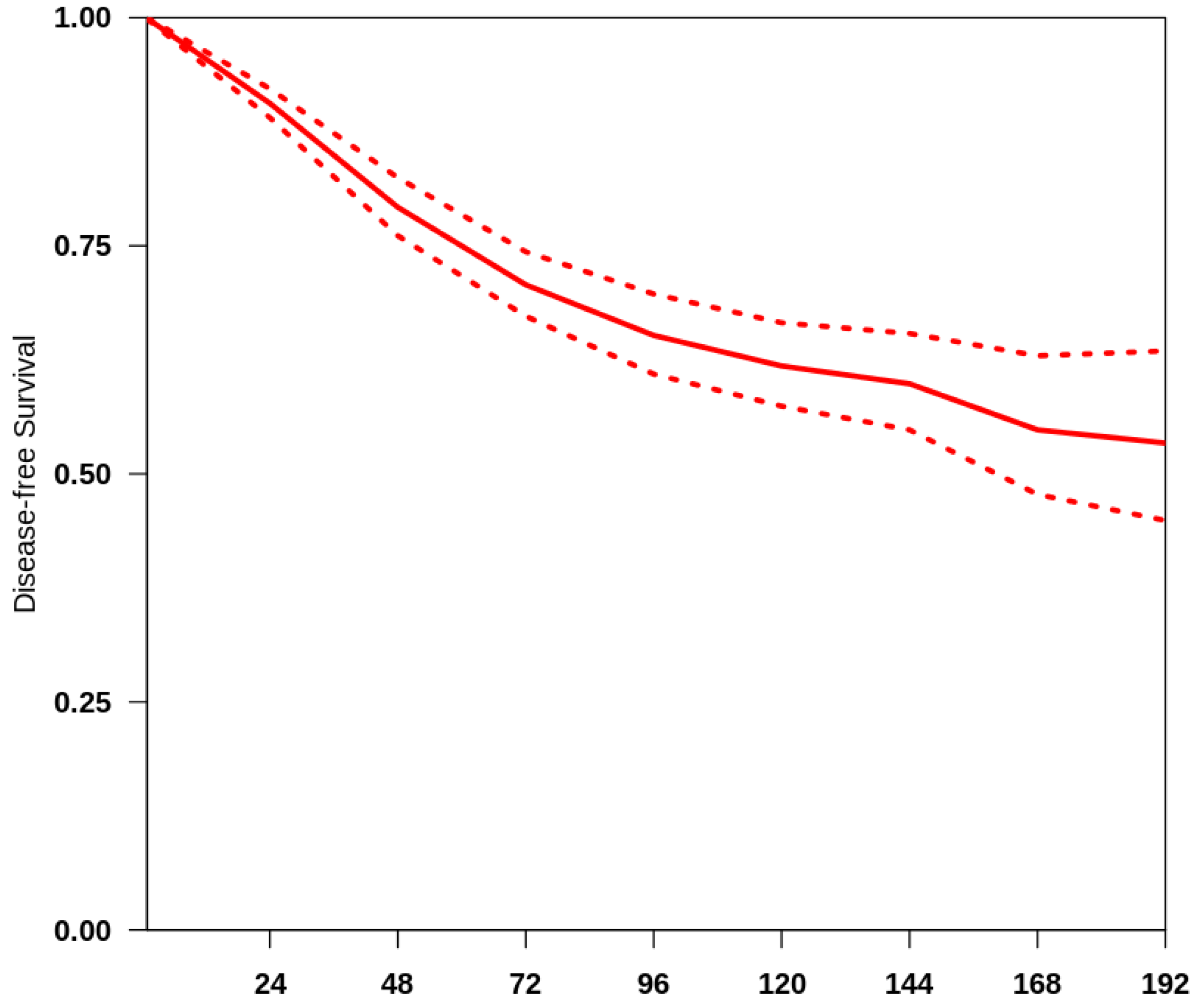
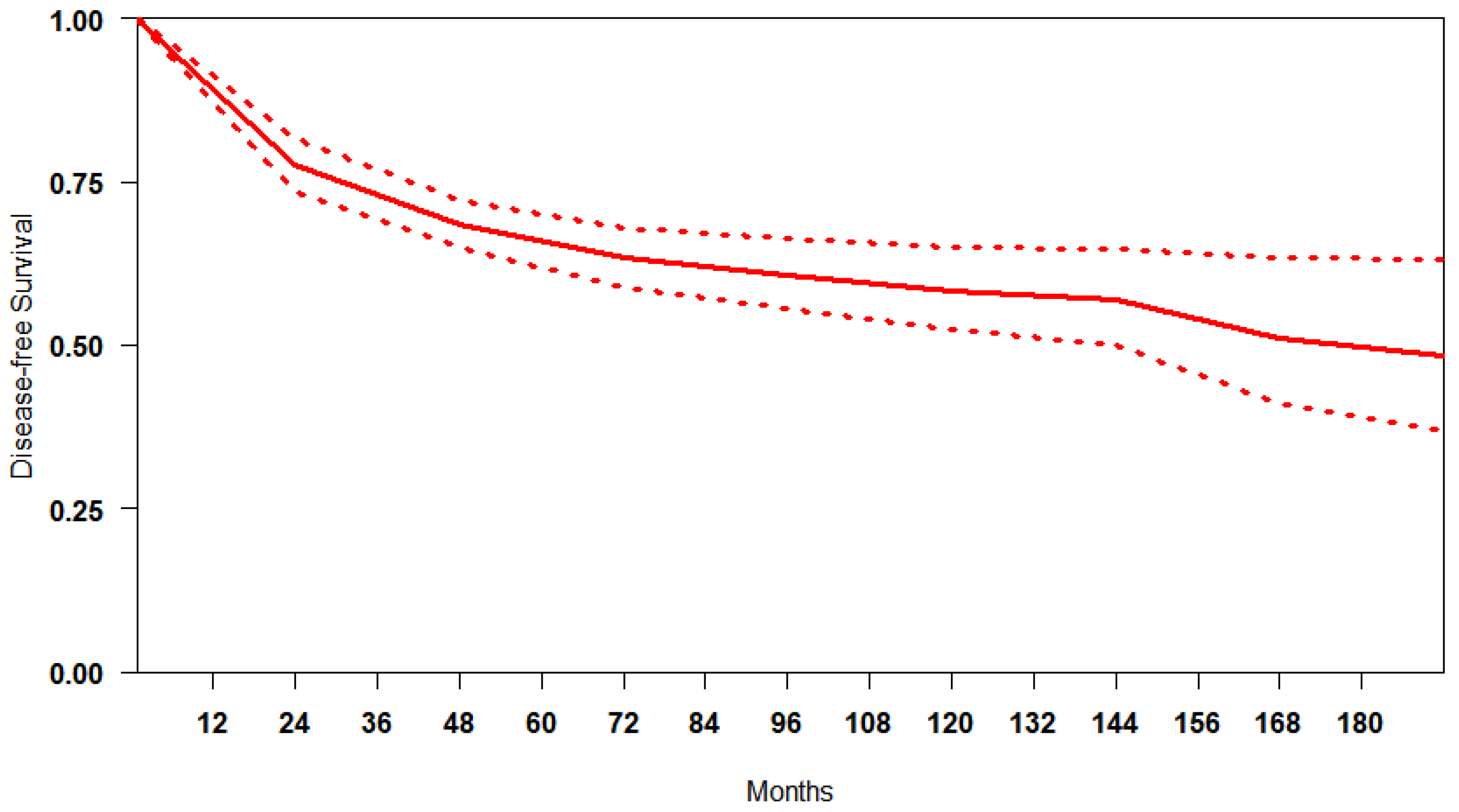
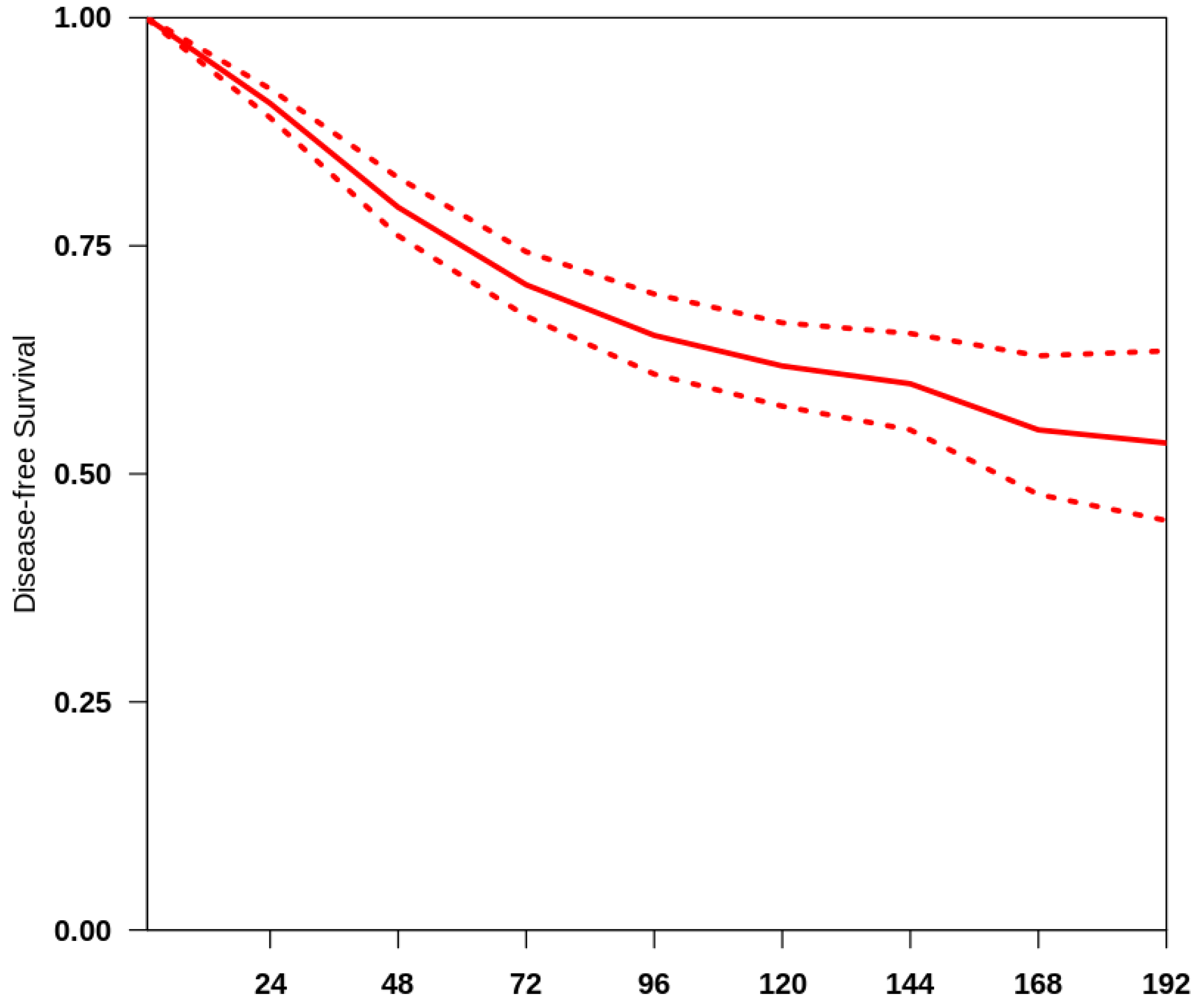
3.3. Disease-Free Survival
4. Discussion
Funding
Institutional Review Board Statement
Informed Consent Statement
Data Availability Statement
Conflicts of Interest
References
- Morgan, E.; Arnold, M.; Gini, A.; Lorenzoni, V.; Cabasag, C.J.; Laversanne, M.; Vignat, J.; Ferlay, J.; Murphy, N.; Bray, F. Global burden of colorectal cancer in 2020 and 2040: Incidence and mortality estimates from GLOBOCAN. Gut 2023, 72, 338–344. [Google Scholar] [CrossRef] [PubMed]
- Cammà, C.; Giunta, M.; Fiorica, F.; Pagliaro, L.; Craxì, A.; Cottone, M. Preoperative radiotherapy for resectable rectal cancer: A meta-analysis. JAMA 2000, 284, 1008–1015. [Google Scholar] [CrossRef]
- Fiorica, F.; Cartei, F.; Licata, A.; Enea, M.; Ursino, F.; Colosimo, C.; Cammà, C. Can chemotherapy concomitantly delivered with radiotherapy improve survival of patients with resectable rectal cancer? A meta-analysis of literature data. Cancer Treat. Rev. 2010, 36, 539–549. [Google Scholar] [CrossRef] [PubMed]
- Gabbani, M.; Giorgi, C.; Napoli, G.; Tebano, U.; Perrone, M.S.; Missiroli, S.; Berretta, M.; Mandarà, M.; Zaninelli, M.; Luca, N.; et al. Outcomes of Locally Advanced Rectal Cancer Patients Treated with Total Neoadjuvant Treatment: A Meta-Anaysis of Randomized Controlled Trials. Clin. Color. Cancer 2022, 21, 297–308. [Google Scholar] [CrossRef] [PubMed]
- Schrag, D.; Shi, Q.; Weiser, M.R.; Gollub, M.J.; Saltz, L.B.; Musher, B.L.; Goldberg, J.; Al Baghdadi, T.; Goodman, K.A.; McWilliams, R.R.; et al. Preoperative Treatment of Locally Advanced Rectal Cancer. N. Engl. J. Med. 2023, 389, 322–334. [Google Scholar] [CrossRef]
- Riley, R.D.; Lamber, P.C.; Abo-Zaid, G. Meta-analysis of individual participant data: Rationale, conduct, and reporting. BMJ 2010, 340, c221. [Google Scholar] [CrossRef]
- Cabibbo, G.; Cucchetti, A.; Cammà, C.; Casadei-Gardini, A.; Celsa, C.; Emanuele Maria Rizzo, G.; Johnson, P.; Ercolani, G. Outcomes of hepatocellular carcinoma patients treated with sorafenib: A meta-analysis of Phase III trials. Future Oncol. 2019, 15, 3411–3422. [Google Scholar] [CrossRef]
- Guyot, P.; Ades, A.; Ouwens, M.J.; Welton, N.J. Enhanced secondary analysis of survival data: Reconstructing the data from published Kaplan-Meier survival curves. BMC Med. Res. Methodol. 2012, 12, 9. [Google Scholar] [CrossRef] [PubMed]
- Combescure, C.; Foucher, Y.; Jackson, D. Meta-analysis of single-arm survival studies: A distribution-free approach for estimating summary survival curves with random effects. Stat. Med. 2014, 33, 2521–2537. [Google Scholar] [CrossRef]
- Earle, C.C.; Pham, B.; Wells, G.A. An assessment of methods to combine published survival curves. Med. Decis. Mak. 2000, 20, 104–111. [Google Scholar] [CrossRef]
- DerSimonian, R.; Laird, N. Meta-analysis in clinical trials. Control Clin. Trials 1986, 7, 177–188. [Google Scholar] [CrossRef] [PubMed]
- Cabibbo, G.; Enea, M.; Attanasio, M.; Bruix, J.; Craxì, A.; Cammà, C. A meta-analysis of survival rates of untreated patients in randomized clinical trials of hepatocellular carcinoma. Hepatology 2010, 51, 1274–1283. [Google Scholar] [CrossRef]
- Bujko, K.; Nasierowska-Guttmejer, A.; Wyrwicz, L.; Malinowska, M.; Krynski, J.; Kosakowska, E.; Rutkowski, A.; Pietrzak, L.; Kepka, L.; Radziszewski, J.; et al. Neoadjuvant treatment for unresectable rectal cancer: An interim analysis of a multicentre randomized study. Radiother. Oncol. 2013, 107, 171–177. [Google Scholar] [CrossRef]
- Deng, Y.; Chi, P.; Lan, P.; Wang, L.; Chen, W.; Cui, L.; Chen, D.; Cao, J.; Wei, H.; Peng, X.; et al. Neoadjuvant Modified FOLFOX6 With or Without Radiation Versus Fluorouracil Plus Radiation for Locally Advanced Rectal Cancer: Final Results of the Chinese FOWARC Trial. J. Clin. Oncol. 2019, 37, 3223–3233. [Google Scholar] [CrossRef] [PubMed]
- Park, J.H.; Yoon, S.M.; Yu, C.S.; Kim, J.H.; Kim, T.W.; Kim, J.C. Randomized phase 3 trial comparing preoperative and postoperative chemoradiotherapy with capecitabine for locally advanced rectal cancer. Cancer 2011, 117, 3703–3712. [Google Scholar] [CrossRef] [PubMed]
- Hofheinz, R.D.; Wenz, F.; Post, S.; Matzdorff, A.; Laechelt, S.; Hartmann, J.T.; Müller, L.; Link, H.; Moehler, M.; Kettner, E.; et al. Chemoradiotherapy with capecitabine versus fluorouracil for locally advanced rectal cancer: A randomised, multicentre, non-inferiority, phase 3 trial. Lancet Oncol. 2012, 13, 579–588. [Google Scholar] [CrossRef] [PubMed]
- Ngan, S.Y.; Burmeister, B.; Fisher, R.J.; Solomon, M.; Goldstein, D.; Joseph, D.; Ackland, S.P.; Schache, D.; McClure, B.; McLachlan, S.A.; et al. Randomized Trial of Short-Course Radiotherapy Versus Long-Course Chemoradiation Comparing Rates of Local Recurrence in Patients With T3 Rectal Cancer: Trans-Tasman Radiation Oncology Group Trial 01.04. J. Clin. Oncol. 2012, 30, 3827–3833. [Google Scholar] [CrossRef]
- Appelt, A.L.; Vogelius, I.R.; Pløen, J.; Rafaelsen, S.R.; Lindebjerg, J.; Havelund, B.M.; Bentzen, S.M.; Jakobsen, A. Long-Term Results of a Randomized Trial in Locally Advanced Rectal Cancer: No Benefit From Adding a Brachytherapy Boost. International Journal of Radiation Oncology. Int. J. Radiat. Oncol. Biol. Phys. 2014, 90, 110–118. [Google Scholar] [CrossRef]
- Valentini, V.; Gambacorta, M.A.; Cellini, F.; Aristei, C.; Coco, C.; Barbaro, B.; Alfieri, S.; D’Ugo, D.; Persiani, R.; Deodato, F.; et al. The INTERACT Trial: Long-term results of a randomised trial on preoperative capecitabine-based radiochemotherapy intensified by concomitant boost or oxaliplatin, for cT2 (distal)–cT3 rectal cancer. Radiother Oncol. 2019, 134, 110–118. [Google Scholar] [CrossRef]
- Jung, M.; Shin, S.J.; Koom, W.S.; Jung, I.; Keum, K.C.; Hur, H.; Min, B.S.; Baik, S.H.; Kim, N.K.; Kim, H.; et al. A Randomized Phase 2 Study of Neoadjuvant Chemoradiaton Therapy With 5-Fluorouracil/Leucovorin or Irinotecan/S-1 in Patients With Locally Advanced Rectal Cancer. Int. J. Radiat. Oncol. Biol. Phys. 2015, 93, 1015–1022. [Google Scholar] [CrossRef]
- Aschele, C.; Cionini, L.; Lonardi, S.; Pinto, C.; Cordio, S.; Rosati, G.; Artale, S.; Tagliagambe, A.; Ambrosini, G.; Rosetti, P.; et al. Primary Tumor Response to Preoperative Chemoradiation With or Without Oxaliplatin in Locally Advanced Rectal Cancer: Pathologic Results of the STAR-01 Randomized Phase III Trial. J. Clin. Oncol. 2011, 29, 2773–2780. [Google Scholar] [CrossRef] [PubMed]
- Bahadoer, R.R.; Dijkstra, E.A.; van Etten, B.; Marijnen, C.A.M.; Putter, H.; Kranenbarg, E.M.; Roodvoets, A.G.H.; Nagtegaal, I.D.; Beets-Tan, R.G.H.; Blomqvist, L.K.; et al. Short-course radiotherapy followed by chemotherapy before total mesorectal excision (TME) versus preoperative chemoradiotherapy, TME, and optional adjuvant chemotherapy in locally advanced rectal cancer (RAPIDO): A randomised, open-label, phase 3 trial. Lancet Oncol. 2021, 22, 29–42. [Google Scholar] [CrossRef] [PubMed]
- Bosset, J.F.; Calais, G.; Mineur, L.; Maingon, P.; Stojanovic-Rundic, S.; Bensadoun, R.J.; Bardet, E.; Beny, A.; Ollier, J.C.; Bolla, M.; et al. EORTC Radiation Oncology Group. Fluorouracil-based adjuvant chemotherapy after preoperative chemoradiotherapy in rectal cancer: Long-term results of the EORTC 22921 randomised study. Lancet Oncol. 2014, 15, 184–190. [Google Scholar] [CrossRef] [PubMed]
- Conroy, T.; Bosset, J.F.; Etienne, P.L.; Rio, E.; François, É.; Mesgouez-Nebout, N.; Vendrely, V.; Artignan, X.; Bouché, O.; Gargot, D.; et al. Unicancer Gastrointestinal Group and Partenariat de Recherche en Oncologie Digestive (PRODIGE) Group. Neoadjuvant chemotherapy with FOLFIRINOX and preoperative chemoradiotherapy for patients with locally advanced rectal cancer (UNICANCER-PRODIGE 23): A multicentre, randomised, open-label, phase 3 trial. Lancet Oncol. 2021, 22, 702–715. [Google Scholar]
- Gérard, J.P.; Azria, D.; Gourgou-Bourgade, S.; Martel-Laffay, I.; Hennequin, C.; Etienne, P.L.; Vendrely, V.; François, E.; de La Roche, G.; Bouché, O.; et al. Comparison of Two Neoadjuvant Chemoradiotherapy Regimens for Locally Advanced Rectal Cancer: Results of the Phase III Trial ACCORD 12/0405-Prodige 2. J. Clin. Oncol. 2010, 28, 1638–1644. [Google Scholar] [CrossRef]
- Jiao, D.; Zhang, R.; Gong, Z.; Liu, F.; Chen, Y.; Yu, Q.; Sun, L.; Duan, H.; Zhu, S.; Liu, F.; et al. Fluorouracil-based preoperative chemoradiotherapy with or without oxaliplatin for stage II/III rectal cancer: A 3-year follow-up study. Chin. J. Cancer Res. 2015, 27, 588–596. [Google Scholar]
- Jin, J.; Tang, Y.; Hu, C.; Jiang, L.M.; Jiang, J.; Li, N.; Liu, W.Y.; Chen, S.L.; Li, S.; Lu, N.N.; et al. Phase III Trial of Short-Term Radiotherapy Plus Chemotherapy Versus Long-Term Chemoradiotherapy in Locally Advanced Rectal Cancer (STELLAR). J. Clin. Oncol. 2022, 40, 1681–1692. [Google Scholar] [CrossRef]
- Kairevičė, L.; Latkauskas, T.; Tamelis, A.; Petrauskas, A.; Paužas, H.; Žvirblis, T.; Jaruševičius, L.; Saladžinskas, Ž.; Pavalkis, D.; Jančiauskienė, R. Preoperative long-course chemoradiotherapy plus adjuvant chemotherapy versus short-course radiotherapy without adjuvant chemotherapy both with delayed surgery for stage II–III resectable rectal cancer: 5-Year survival data of a randomized controlled trial. Medicina 2017, 53, 150–158. [Google Scholar] [CrossRef]
- Rouanet, P.; Rivoire, M.; Gourgou, S.; Lelong, B.; Rullier, E.; Jafari, M.; Mineur, L.; Pocard, M.; Faucheron, J.L.; Dravet, F.; et al. Sphincter-saving surgery after neoadjuvant therapy for ultra-low rectal cancer where abdominoperineal resection was indicated: 10-year results of the GRECCAR 1 trial. Br. J. Surg. 2021, 108, 10–13. [Google Scholar] [CrossRef]
- Allegra, C.J.; Yothers, G.; O’Connell, M.J.; Beart, R.W.; Wozniak, T.F.; Pitot, H.C.; Shields, A.F.; Landry, J.C.; Ryan, D.P.; Arora, A.; et al. Neoadjuvant 5-FU or Capecitabine Plus Radiation With or Without Oxaliplatin in Rectal Cancer Patients: A Phase III Randomized Clinical Trial. J. Natl. Cancer Inst. 2015, 107, djv248. [Google Scholar] [CrossRef]
- Mohiuddin, M.; Paulus, R.; Mitchell, E.; Hanna, N.; Yuen, A.; Nichols, R.; Yalavarthi, S.; Hayostek, C.; Willett, C. Neoadjuvant Chemoradiation for Distal Rectal Cancer: 5-Year Updated Results of a Randomized Phase 2 Study of Neoadjuvant Combined Modality Chemoradiation for Distal Rectal Cancer. Int. J. Radiat. Oncol. Biol. Phys. 2013, 86, 523–528. [Google Scholar] [CrossRef] [PubMed]
- Rödel, C.; Graeven, U.; Fietkau, R.; Hohenberger, W.; Hothorn, T.; Arnold, D.; Hofheinz, R.D.; Ghadimi, M.; Wolff, H.A.; Lang-Welzenbach, M.; et al. German Rectal Cancer Study Group. Oxaliplatin added to fluorouracil-based preoperative chemoradiotherapy and postoperative chemotherapy of locally advanced rectal cancer (the German CAO/ARO/AIO-04 study): Final results of the multicentre, open-label, randomised, phase 3 trial. Lancet Oncol. 2015, 16, 979–989. [Google Scholar] [PubMed]
- Sauer, R.; Liersch, T.; Merkel, S.; Fietkau, R.; Hohenberger, W.; Hess, C.; Becker, H.; Raab, H.R.; Villanueva, M.T.; Witzigmann, H.; et al. Preoperative Versus Postoperative Chemoradiotherapy for Locally Advanced Rectal Cancer: Results of the German CAO/ARO/AIO-94 Randomized Phase III Trial After a Median Follow-Up of 11 Years. J. Clin. Oncol. 2012, 30, 1926–1933. [Google Scholar] [CrossRef] [PubMed]
- Schmoll, H.J.; Stein, A.; Van Cutsem, E.; Price, T.; Hofheinz, R.D.; Nordlinger, B.; Daisne, J.F.; Janssens, J.; Brenner, B.; Reinel, H.; et al. Pre- and Postoperative Capecitabine Without or With Oxaliplatin in Locally Advanced Rectal Cancer: PETACC 6 Trial by EORTC GITCG and ROG, AIO, AGITG, BGDO, and FFCD. J. Clin. Oncol. 2021, 39, 17–29. [Google Scholar] [CrossRef]
- Salazar, R.; Capdevila, J.; Manzano, J.L.; Pericay, C.; Martínez-Villacampa, M.; López, C.; Losa, F.; Safont, M.J.; Gómez-España, A.; Alonso-Orduña, V.; et al. Spanish Cooperative Group for the Treatment of Digestive Tumors (TTD). Phase II randomized trial of capecitabine with bevacizumab and external beam radiation therapy as preoperative. BMC Cancer 2020, 20, 1164. [Google Scholar] [CrossRef]


Disclaimer/Publisher’s Note: The statements, opinions and data contained in all publications are solely those of the individual author(s) and contributor(s) and not of MDPI and/or the editor(s). MDPI and/or the editor(s) disclaim responsibility for any injury to people or property resulting from any ideas, methods, instructions or products referred to in the content. |
© 2024 by the authors. Licensee MDPI, Basel, Switzerland. This article is an open access article distributed under the terms and conditions of the Creative Commons Attribution (CC BY) license (https://creativecommons.org/licenses/by/4.0/).
Share and Cite
Giuliani, J.; Mandarà, M.; Muraro, M.; Rampello, E.; Franceschetto, A.; Fiorica, F. “Defendit Numerus”: A Pooled Analysis of 6145 Locally Advanced Rectal Cancer Treated with Preoperative Chemoradiotherapy. J. Clin. Med. 2024, 13, 5456. https://doi.org/10.3390/jcm13185456
Giuliani J, Mandarà M, Muraro M, Rampello E, Franceschetto A, Fiorica F. “Defendit Numerus”: A Pooled Analysis of 6145 Locally Advanced Rectal Cancer Treated with Preoperative Chemoradiotherapy. Journal of Clinical Medicine. 2024; 13(18):5456. https://doi.org/10.3390/jcm13185456
Chicago/Turabian StyleGiuliani, Jacopo, Marta Mandarà, Marco Muraro, Elvira Rampello, Antonella Franceschetto, and Francesco Fiorica. 2024. "“Defendit Numerus”: A Pooled Analysis of 6145 Locally Advanced Rectal Cancer Treated with Preoperative Chemoradiotherapy" Journal of Clinical Medicine 13, no. 18: 5456. https://doi.org/10.3390/jcm13185456
APA StyleGiuliani, J., Mandarà, M., Muraro, M., Rampello, E., Franceschetto, A., & Fiorica, F. (2024). “Defendit Numerus”: A Pooled Analysis of 6145 Locally Advanced Rectal Cancer Treated with Preoperative Chemoradiotherapy. Journal of Clinical Medicine, 13(18), 5456. https://doi.org/10.3390/jcm13185456

