The Influence of Body Position on the Resting Motor Threshold of Posterior Root-Muscle Reflexes Evoked via Transcutaneous Spinal Cord Stimulation
Abstract
1. Introduction
2. Materials and Methods
2.1. Participants
2.2. Surface Electromyography
2.3. Protocol
2.4. Body Positions
2.5. Stimulation Procedure
2.6. Data Analysis
2.7. Statistical Analysis
3. Results
3.1. Body Positional Effect on PRMR RMT
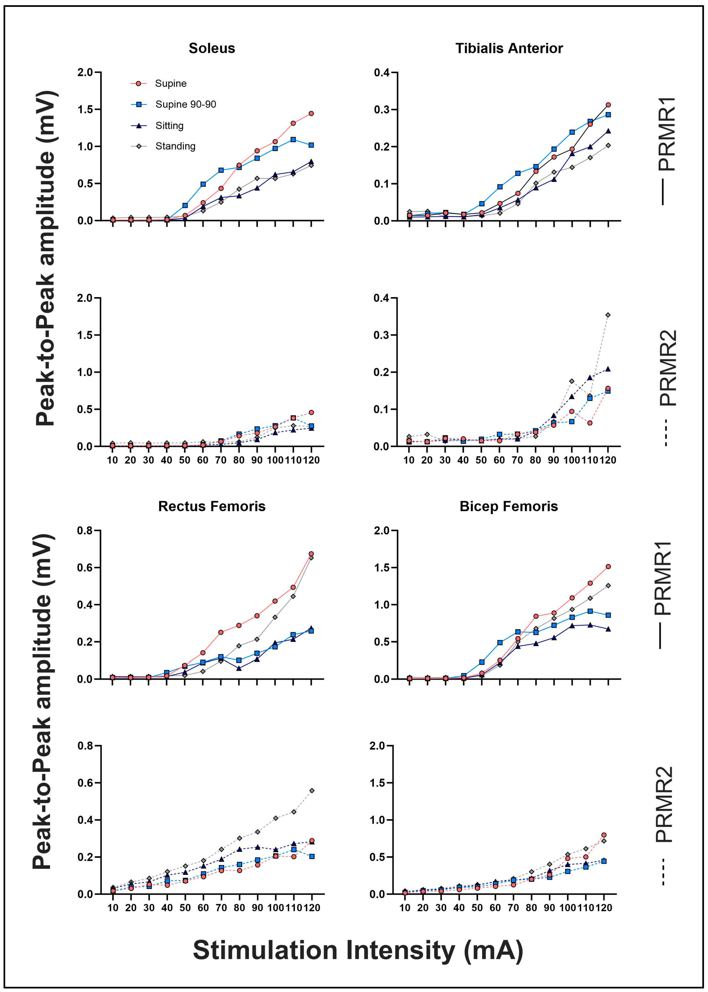
3.2. Body Positional Effect on PRMR1 Amplitude
3.3. Body Positional Effect on %PAD
4. Discussion
Limitations and Future Research
5. Conclusions
Author Contributions
Funding
Institutional Review Board Statement
Informed Consent Statement
Data Availability Statement
Conflicts of Interest
References
- Popovic, D.B.; Sinkjaer, T. Diseases and Injuries of the Central Nervous System Leading to Sensory-Motor Impairment. In Introduction to Neural Engineering for Motor Rehabilitation, 1st ed.; Farina, D., Jensen, W., Akay, M., Eds.; Wiley-IEEE Press: New York, NY, USA, 2013; pp. 3–19. [Google Scholar]
- Fann, J.R.; Bombardier, C.H.; Richards, J.S.; Tate, D.G.; Wilson, C.S.; Temkin, N.; Investigators, P. Depression after spinal cord injury: Comorbidities, mental health service use, and adequacy of treatment. Arch. Phys. Med. Rehabil. 2011, 92, 352–360. [Google Scholar] [CrossRef] [PubMed]
- Paul, C.; Derrett, S.; McAllister, S.; Herbison, P.; Beaver, C.; Sullivan, M. Socioeconomic outcomes following spinal cord injury and the role of no-fault compensation: Longitudinal study. Spinal Cord 2013, 51, 919–925. [Google Scholar] [CrossRef] [PubMed]
- Zurcher, C.; Tough, H.; Fekete, C.; Swi, S.C.I.S.G. Mental health in individuals with spinal cord injury: The role of socioeconomic conditions and social relationships. PLoS ONE 2019, 14, e0206069. [Google Scholar] [CrossRef] [PubMed]
- Patil, S.; Raza, W.A.; Jamil, F.; Caley, R.; O’Connor, R.J. Functional electrical stimulation for the upper limb in tetraplegic spinal cord injury: A systematic review. J. Med. Eng. Technol. 2014, 39, 419–423. [Google Scholar] [CrossRef] [PubMed]
- Lopez-Larraz, E.; Trincado-Alonso, F.; Rajasekaran, V.; Perez-Nombela, S.; Del-Ama, A.J.; Aranda, J.; Minguez, J.; Gil-Agudo, A.; Montesano, L. Control of an Ambulatory Exoskeleton with a Brain-Machine Interface for Spinal Cord Injury Gait Rehabilitation. Front. Neurosci. 2016, 10, 359. [Google Scholar] [CrossRef]
- Calvert, J.S.; Gill, M.L.; Linde, M.B.; Veith, D.D.; Thoreson, A.R.; Lopez, C.; Lee, K.H.; Gerasimenko, Y.P.; Edgerton, V.R.; Lavrov, I.A.; et al. Voluntary Modulation of Evoked Responses Generated by Epidural and Transcutaneous Spinal Stimulation in Humans with Spinal Cord Injury. J. Clin. Med. 2021, 10, 4898. [Google Scholar] [CrossRef]
- Hofstoetter, U.S.; Freundl, B.; Lackner, P.; Binder, H. Transcutaneous Spinal Cord Stimulation Enhances Walking Performance and Reduces Spasticity in Individuals with Multiple Sclerosis. Brain Sci. 2021, 11, 472. [Google Scholar] [CrossRef]
- Farina, D.; Jensen, W.; Akay, M. Introduction to Neural Engineering for Motor Rehabilitation, 1st ed.; Wiley-IEEE Press: New York, NY, USA, 2013; pp. 549–570. [Google Scholar]
- Gerasimenko, Y.; Gorodnichev, R.; Moshonkina, T.; Sayenko, D.; Gad, P.; Reggie Edgerton, V. Transcutaneous electrical spinal-cord stimulation in humans. Ann. Phys. Rehabil. Med. 2015, 58, 225–231. [Google Scholar] [CrossRef]
- Minassian, K.; Persy, I.; Rattay, F.; Dimitrijevic, M.R.; Hofer, C.; Kern, H. Posterior root–muscle reflexes elicited by transcutaneous stimulation of the human lumbosacral cord. Muscle Nerve Off. J. Am. Assoc. Electrodiagn. Med. 2007, 35, 327–336. [Google Scholar] [CrossRef]
- Minassian, K.; Persy, I.; Rattay, F.; Pinter, M.M.; Kern, H.; Dimitrijevic, M.R. Human lumbar cord circuitries can be activated by extrinsic tonic input to generate locomotor-like activity. Hum. Mov. Sci. 2007, 26, 275–295. [Google Scholar] [CrossRef]
- Sayenko, D.G.; Atkinson, D.A.; Dy, C.J.; Gurley, K.M.; Smith, V.L.; Angeli, C.; Harkema, S.J.; Edgerton, V.R.; Gerasimenko, Y.P. Spinal segment-specific transcutaneous stimulation differentially shapes activation pattern among motor pools in humans. J. Appl. Physiol. 2015, 118, 1364–1374. [Google Scholar] [CrossRef] [PubMed]
- Taccola, G.; Sayenko, D.; Gad, P.; Gerasimenko, Y.; Edgerton, V.R. And yet it moves: Recovery of volitional control after spinal cord injury. Prog. Neurobiol. 2018, 160, 64–81. [Google Scholar] [CrossRef] [PubMed]
- Danner, S.M.; Hofstoetter, U.S.; Ladenbauer, J.; Rattay, F.; Minassian, K. Can the human lumbar posterior columns be stimulated by transcutaneous spinal cord stimulation? A modeling study. Artif. Organs 2011, 35, 257–262. [Google Scholar] [CrossRef]
- Burke, R.E. Motor units: Anatomy, physiology, and functional organization. Compr. Physiol. 1981, 345–422. [Google Scholar] [CrossRef]
- Taylor, C.; McHugh, C.; Mockler, D.; Minogue, C.; Reilly, R.B.; Fleming, N. Transcutaneous spinal cord stimulation and motor responses in individuals with spinal cord injury: A methodological review. PLoS ONE 2021, 16, e0260166. [Google Scholar] [CrossRef] [PubMed]
- Courtine, G.; Harkema, S.J.; Dy, C.J.; Gerasimenko, Y.P.; Dyhre-Poulsen, P. Modulation of multisegmental monosynaptic responses in a variety of leg muscles during walking and running in humans. J. Physiol. 2007, 582, 1125–1139. [Google Scholar] [CrossRef]
- Megía García, A.; Serrano-Muñoz, D.; Taylor, J.; Avendaño-Coy, J.; Gómez-Soriano, J. Transcutaneous Spinal Cord Stimulation and Motor Rehabilitation in Spinal Cord Injury: A Systematic Review. Neurorehabil. Neural Repair 2020, 34, 3–12. [Google Scholar] [CrossRef] [PubMed]
- Binder, V.E.; Hofstoetter, U.S.; Rienmuller, A.; Szava, Z.; Krenn, M.J.; Minassian, K.; Danner, S.M. Influence of Spine Curvature on the Efficacy of Transcutaneous Lumbar Spinal Cord Stimulation. J. Clin. Med. 2021, 10, 5543. [Google Scholar] [CrossRef]
- Andrews, J.C.; Stein, R.B.; Roy, F.D. Post-activation depression in the human soleus muscle using peripheral nerve and transcutaneous spinal stimulation. Neurosci. Lett. 2015, 589, 144–149. [Google Scholar] [CrossRef]
- Hofstoetter, U.S.; Freundl, B.; Binder, H.; Minassian, K. Common neural structures activated by epidural and transcutaneous lumbar spinal cord stimulation: Elicitation of posterior root-muscle reflexes. PLoS ONE 2018, 13, e0192013. [Google Scholar] [CrossRef]
- Hofstoetter, U.S.; Minassian, K.; Hofer, C.; Mayr, W.; Rattay, F.; Dimitrijevic, M.R. Modification of reflex responses to lumbar posterior root stimulation by motor tasks in healthy subjects. Artif. Organs 2008, 32, 644–648. [Google Scholar] [CrossRef]
- Kitano, K.; Koceja, D.M. Spinal reflex in human lower leg muscles evoked by transcutaneous spinal cord stimulation. J. Neurosci. Methods 2009, 180, 111–115. [Google Scholar] [CrossRef]
- Roy, F.D.; Gibson, G.; Stein, R.B. Effect of percutaneous stimulation at different spinal levels on the activation of sensory and motor roots. Exp. Brain Res. 2012, 223, 281–289. [Google Scholar] [CrossRef]
- Danner, S.M.; Krenn, M.; Hofstoetter, U.S.; Toth, A.; Mayr, W.; Minassian, K. Body Position Influences Which Neural Structures Are Recruited by Lumbar Transcutaneous Spinal Cord Stimulation. PLoS ONE 2016, 11, e0147479. [Google Scholar] [CrossRef]
- Rossi, S.; Hallett, M.; Rossini, P.M.; Pascual-Leone, A. Screening questionnaire before TMS: An update. Clin. Neurophysiol. 2011, 122, 1686. [Google Scholar] [CrossRef]
- Broadbent, C.R.; Maxwell, W.B.; Ferrie, R.; Wilson, D.J.; Gawne-Cain, M.; Russell, R. Ability of anaesthetists to identify a marked lumbar interspace. Anaesthesia 2000, 55, 1122–1126. [Google Scholar] [CrossRef]
- Hermens, H.J.; Freriks, B.; Disselhorst-Klug, C.; Rau, G. Development of recommendations for SEMG sensors and sensor placement procedures. J. Electromyogr. Kinesiol. 2000, 10, 361–374. [Google Scholar] [CrossRef]
- Holsheimer, J.; den Boer, J.; Struijk, J.; Rozeboom, A. MR Assessment of the Normal Position of the Spinal Cord in the Spinal Canal. Am. J. Neuroradiol. 1994, 15, 951–959. [Google Scholar]
- Preston, J.B.; Shende, M.C.; Uemura, K. The motor cortex-pyramidal system: Patterns of facilitation and inhibition on motoneurons innervating limb musculature of cat and baboon and their possible adaptive significance. In Neurophysiological Basis of Normal and Abnormal Motor Activities, 1st ed.; Yahr, M.D., Purpura, D.P., Eds.; Raven Press: New York, NY, USA, 1967; pp. 61–72. [Google Scholar]
- Cowan, J.M.; Day, B.L.; Marsden, C.; Rothwell, J. The effect of percutaneous motor cortex stimulation on H reflexes in muscles of the arm and leg in intact man. J. Physiol. 1986, 377, 333–347. [Google Scholar] [CrossRef]
- Ziemann, U.; Ilić, T.V.; Alle, H.; Meintzschel, F. Estimated magnitude and interactions of cortico-motoneuronal and Ia afferent input to spinal motoneurones of the human hand. Neurosci. Lett. 2004, 364, 48–52. [Google Scholar]
- Brouwer, B.; Ashby, P. Corticospinal projections to lower limb motoneurons in man. Exp. Brain Res. 1992, 89, 649–654. [Google Scholar] [CrossRef]
- Katz, R.; Meunier, S.; Pierrot-Deseilligny, E. Changes in presynaptic inhibition of Ia fibres in man while standing. Brain 1988, 111, 417–437. [Google Scholar] [CrossRef]
- Hayashi, R.; Tako, K.; Tokuda, T.; Yanagisawa, N. Comparison of amplitude of human soleus H-reflex during sitting and standing. Neurosci. Res. 1992, 13, 227–233. [Google Scholar] [CrossRef]
- Tucker, K.J.; Tuncer, M.; Turker, K.S. A review of the H-reflex and M-wave in the human triceps surae. Hum. Mov. Sci. 2005, 24, 667–688. [Google Scholar] [CrossRef]
- Pierrot-Deseilligny, E.; Burke, D. The Circuitry of the Human Spinal Cord: Spinal and Corticospinal Mechanisms of Movement, 1st ed.; Cambridge University Press: New York, NY, USA, 2012; p. 606. [Google Scholar]
- Hofstoetter, U.S.; Freundl, B.; Binder, H.; Minassian, K. Recovery cycles of posterior root-muscle reflexes evoked by transcutaneous spinal cord stimulation and of the H reflex in individuals with intact and injured spinal cord. PLoS ONE 2019, 14, e02270577. [Google Scholar] [CrossRef]
- Hopayian, K.; Song, F.; Riera, R.; Sambandan, S. The clinical features of the piriformis syndrome: A systematic review. Eur. Spine J. 2010, 19, 2095–2109. [Google Scholar] [CrossRef]
- Pokorný, D.; Jahoda, D.; Veigl, D.; Pinskerová, V.; Sosna, A. Topographic variations of the relationship of the sciatic nerve and the piriformis muscle and its relevance to palsy after total hip arthroplasty. Surg. Radiol. Anat. 2006, 28, 88–91. [Google Scholar] [CrossRef]
- Wang, J.C.; Wong, T.T.; Chen, H.H.; Chang, P.Y.; Yang, T.F. Bilateral sciatic neuropathy as a complication of craniotomy performed in the sitting position: Localization of nerve injury by using magnetic resonance imaging. Childs Nerv. Syst. 2012, 28, 159–163. [Google Scholar] [CrossRef]
- Deverell, W.F.; Ferguson, J.H. An unusual case of sciatic nerve paralysis. JAMA 1968, 205, 699–700. [Google Scholar] [CrossRef]
- De Luca, C.J. The use of surface electromyography in biomechanics. J. Appl. Biomech. 1997, 13, 135–163. [Google Scholar] [CrossRef]






Disclaimer/Publisher’s Note: The statements, opinions and data contained in all publications are solely those of the individual author(s) and contributor(s) and not of MDPI and/or the editor(s). MDPI and/or the editor(s) disclaim responsibility for any injury to people or property resulting from any ideas, methods, instructions or products referred to in the content. |
© 2024 by the authors. Licensee MDPI, Basel, Switzerland. This article is an open access article distributed under the terms and conditions of the Creative Commons Attribution (CC BY) license (https://creativecommons.org/licenses/by/4.0/).
Share and Cite
Gorman, B.T.; Gill, C.; Etzelmueller, M.; O’Keeffe, C.; Reilly, R.B.; Fleming, N. The Influence of Body Position on the Resting Motor Threshold of Posterior Root-Muscle Reflexes Evoked via Transcutaneous Spinal Cord Stimulation. J. Clin. Med. 2024, 13, 5008. https://doi.org/10.3390/jcm13175008
Gorman BT, Gill C, Etzelmueller M, O’Keeffe C, Reilly RB, Fleming N. The Influence of Body Position on the Resting Motor Threshold of Posterior Root-Muscle Reflexes Evoked via Transcutaneous Spinal Cord Stimulation. Journal of Clinical Medicine. 2024; 13(17):5008. https://doi.org/10.3390/jcm13175008
Chicago/Turabian StyleGorman, Barry T., Conor Gill, Mark Etzelmueller, Clodagh O’Keeffe, Richard B. Reilly, and Neil Fleming. 2024. "The Influence of Body Position on the Resting Motor Threshold of Posterior Root-Muscle Reflexes Evoked via Transcutaneous Spinal Cord Stimulation" Journal of Clinical Medicine 13, no. 17: 5008. https://doi.org/10.3390/jcm13175008
APA StyleGorman, B. T., Gill, C., Etzelmueller, M., O’Keeffe, C., Reilly, R. B., & Fleming, N. (2024). The Influence of Body Position on the Resting Motor Threshold of Posterior Root-Muscle Reflexes Evoked via Transcutaneous Spinal Cord Stimulation. Journal of Clinical Medicine, 13(17), 5008. https://doi.org/10.3390/jcm13175008

