Real-World Comparison of Health-Related Quality of Life Associated with Use of Immune-Checkpoint Inhibitors in Oncology Patients
Abstract
1. Introduction
2. Methods
Statistical Analysis
3. Results
3.1. Demographic Characterization of the Patients
3.2. HRQoL of the Patients
4. Discussion
5. Conclusions
Author Contributions
Funding
Institutional Review Board Statement
Informed Consent Statement
Data Availability Statement
Acknowledgments
Conflicts of Interest
References
- Ledford, H. Melanoma drug wins US approval. Nature 2011, 471, 561. [Google Scholar] [CrossRef] [PubMed]
- Shiravand, Y.; Khodadadi, F.; Kashani, S.M.A.; Hosseini-Fard, S.R.; Hosseini, S.; Sadeghirad, H.; Ladwa, R.; O’byrne, K.; Kulasinghe, A. Immune Checkpoint Inhibitors in Cancer Therapy. Curr. Oncol. 2022, 29, 3044–3060. [Google Scholar] [CrossRef] [PubMed]
- Franzin, R.; Netti, G.S.; Spadaccino, F.; Porta, C.; Gesualdo, L.; Stallone, G.; Castellano, G.; Ranieri, E. The Use of Immune Checkpoint Inhibitors in Oncology and the Occurrence of AKI: Where Do We Stand? Front. Immunol. 2020, 11, 574271. [Google Scholar] [CrossRef]
- Gonzalez, B.D.; Eisel, S.L.; Bowles, K.E.; Hoogland, A.I.; James, B.W.; Small, B.J.; Sharpe, S.; Hyland, K.A.; Bulls, H.W.; Christy, S.M.; et al. Meta-Analysis of Quality of Life in Cancer Patients Treated With Immune Checkpoint Inhibitors. J. Natl. Cancer Inst. 2022, 114, 808–818. [Google Scholar] [CrossRef]
- Jenkinson, C. “Quality of Life”. Encyclopedia Britannica, 12 July 2024. Available online: https://www.britannica.com/topic/quality-of-life (accessed on 8 August 2024).
- Patrick, D.L.; Erickson, P. Health status and health policy: Quality of life in health care evaluation and resource allocation. Qual. Life Res. 1994, 3, 457–458. [Google Scholar]
- Calman, K.C. Quality of life in cancer patients—An hypothesis. J. Med. Ethics 1984, 10, 124–127. [Google Scholar] [CrossRef]
- Revicki, D.; Osoba, D.; Fairclough, D.; Barofsky, I.; Berzon, R.; Leidy, N.; Rothman, M. Recommendations on health-related quality of life research to support labeling and promotional claims in the United States. Qual. Life Res. 2000, 9, 887–900. [Google Scholar] [CrossRef] [PubMed]
- Nguyen, H.T.; Duong, K.L.; Nguyen, S.T.; Trinh, Q.; Hoang, H.T.; Phung, T.Q.; Lin, H.W.; Nguyen, H.T. Quality of Life and Its Associated Factors Among Cancer Patients Receiving Chemotherapy at Oncology Hospitals in Vietnam After the Third Wave of the COVID-19 Pandemic. Cancer Manag. Res. 2022, 14, 2429–2444. [Google Scholar] [CrossRef]
- Mierzynska, J.; Taye, M.; Pe, M.; Coens, C.; Martinelli, F.; Pogoda, K.; Velikova, G.; Bjelic-Radisic, V.; Cardoso, F.; Brain, E.; et al. Reference values for the EORTC QLQ-C30 in early and metastatic breast cancer. Eur. J. Cancer 2020, 125, 69–82. [Google Scholar] [CrossRef]
- AlJaffar, M.A.; Enani, S.S.; Almadani, A.H.; Albuqami, F.H.; Alsaleh, K.A.; Alosaimi, F.D. Determinants of quality of life of cancer patients at a tertiary care medical city in Riyadh, Saudi Arabia. Front. Psychiatry 2023, 14, 1098176. [Google Scholar] [CrossRef]
- Bottomley, A.; Flechtner, H.; Efficace, F.; Vanvoorden, V.; Coens, C.; Therasse, P.; Velikova, G.; Blazeby, J.; Greimel, E. Health related quality of life outcomes in cancer clinical trials. Eur. J. Cancer 2005, 41, 1697–1709. [Google Scholar] [CrossRef]
- Aamdal, E.; Skovlund, E.; Jacobsen, K.; Straume, O.; Kersten, C.; Herlofsen, O.; Karlsen, J.; Hussain, I.; Amundsen, A.; Dalhaug, A.; et al. Health-related quality of life in patients with advanced melanoma treated with ipilimumab: Prognostic implications and changes during treatment. ESMO Open 2022, 7, 100588. [Google Scholar] [CrossRef]
- Faury, S.; Foucaud, J. Health-related quality of life in cancer patients treated with immune checkpoint inhibitors: A systematic review on reporting of methods in randomized controlled trials. PLoS ONE 2020, 15, e0227344. [Google Scholar] [CrossRef]
- Ferris, R.L.; Blumenschein, G., Jr.; Fayette, J.; Guigay, J.; Colevas, A.D.; Licitra, L.; Harrington, K.; Kasper, S.; Vokes, E.E.; Even, C.; et al. Nivolumab for Recurrent Squamous-Cell Carcinoma of the Head and Neck. N. Engl. J. Med. 2016, 375, 1856–1867. [Google Scholar] [CrossRef]
- Moehler, M.; Xiao, H.; Blum, S.I.; Elimova, E.; Cella, D.; Shitara, K.; Ajani, J.A.; Janjigian, Y.Y.; Garrido, M.; Shen, L.; et al. Health-Related Quality of Life With Nivolumab Plus Chemotherapy Versus Chemotherapy in Patients with Advanced Gastric/Gastroesophageal Junction Cancer or Esophageal Adenocarcinoma From CheckMate 649. J. Clin. Oncol. 2023, 41, 5388–5399. [Google Scholar] [CrossRef]
- Di Giacomo, A.; Sileni, V.C.; Del Vecchio, M.; Ferrucci, P.; Guida, M.; Quaglino, P.; Guidoboni, M.; Marchetti, P.; Simonetti, E.; Amato, G.; et al. Nivolumab plus ipilimumab in melanoma patients with asymptomatic brain metastases: 7-year outcomes and quality of life from the multicenter phase III NIBIT-M2 trial. Eur. J. Cancer 2024, 199, 113531. [Google Scholar] [CrossRef] [PubMed]
- Vaughn, D.J.; Bellmunt, J.; Fradet, Y.; Lee, J.L.; Fong, L.; Vogelzang, N.J.; Climent, M.A.; Petrylak, D.P.; Choueiri, T.K.; Necchi, A.; et al. Health-Related Quality-of-Life Analysis From KEYNOTE-045: A Phase III Study of Pembrolizumab Versus Chemotherapy for Previously Treated Advanced Urothelial Cancer. J. Clin. Oncol. 2018, 36, 1579–1587. [Google Scholar] [CrossRef] [PubMed]
- Brahmer, J.R.; Rodríguez-Abreu, D.; Robinson, A.G.; Hui, R.; Csőszi, T.; Fülöp, A.; Gottfried, M.; Peled, N.; Tafreshi, A.; Cuffe, S.; et al. Health-related quality-of-life results for pembrolizumab versus chemotherapy in advanced, PD-L1-positive NSCLC (KEYNOTE-024): A multicentre, international, randomised, open-label phase 3 trial. Lancet Oncol. 2017, 18, 1600–1609. [Google Scholar] [CrossRef] [PubMed]
- Garassino, M.C.; Gadgeel, S.; Esteban, E.; Felip, E.; Speranza, G.; Domine, M.; Hochmair, M.J.; Powell, S.; Cheng, S.Y.-S.; Bischoff, H.G.; et al. Patient-reported outcomes following pembrolizumab or placebo plus pemetrexed and platinum in patients with previously untreated, metastatic, non-squamous non-small-cell lung cancer (KEYNOTE-189): A multicentre, double-blind, randomised, placebo-controlled, phase 3 trial. Lancet Oncol. 2020, 21, 387–397. [Google Scholar] [PubMed]
- Reck, M.; Wehler, T.; Orlandi, F.; Nogami, N.; Barone, C.; Moro-Sibilot, D.; Shtivelband, M.; Larriba, J.L.G.; Rothenstein, J.; Früh, M.; et al. Safety and Patient-Reported Outcomes of Atezolizumab Plus Chemotherapy with or Without Bevacizumab Versus Bevacizumab Plus Chemotherapy in Non-Small-Cell Lung Cancer. J. Clin. Oncol. 2020, 38, 2530–2542. [Google Scholar] [CrossRef]
- Looman, E.L.; Cheng, P.F.; Lai-Kwon, J.; Morgan, L.; Wakkee, M.; Dummer, R.; Dimitriou, F. Health-related quality of life in survivors of advanced melanoma treated with anti-PD1-based immune checkpoint inhibitors. Cancer Med. 2023, 12, 12861–12873. [Google Scholar] [CrossRef]
- Cotté, F.-E.; Voillot, P.; Bennett, B.; Falissard, B.; Tzourio, C.; Foulquié, P.; Gaudin, A.-F.; Lemasson, H.; Grumberg, V.; McDonald, L.; et al. Exploring the Health-Related Quality of Life of Patients Treated with Immune Checkpoint Inhibitors: Social Media Study. J. Med. Internet Res. 2020, 22, e19694. [Google Scholar] [CrossRef] [PubMed]
- Pedersen, S.; Holmstroem, R.B.; von Heymann, A.; Tolstrup, L.K.; Madsen, K.; Petersen, M.A.; Haslund, C.A.; Ruhlmann, C.H.; Schmidt, H.; Johansen, C.; et al. Quality of life and mental health in real-world patients with resected stage III/IV melanoma receiving adjuvant immunotherapy. Acta Oncol. 2023, 62, 62–69. [Google Scholar] [CrossRef]
- Schneidewind, L.; Dräger, D.L.; Roßberg, V.; Nolting, J.; Hakenberg, O.W. Prospective Evaluation of Health-Related Quality of Life in Patients with Metastatic Urothelial Carcinoma Undergoing Immunotherapy with Pembrolizumab: Symptom Burden Can Predict Survival. Urol. Int. 2023, 107, 80–86. [Google Scholar] [CrossRef] [PubMed]
- Aaronson, N.K.; Ahmedzai, S.; Bergman, B.; Bullinger, M.; Cull, A.; Duez, N.J.; Filiberti, A.; Flechtner, H.; Fleishman, S.B.; De Haes, J.C.J.M.; et al. The European Organization for Research and Treatment of Cancer QLQ-C30: A quality-of-life instrument for use in international clinical trials in oncology. J. Natl. Cancer Inst. 1993, 85, 365–376. [Google Scholar] [CrossRef]
- EORTC. Quality of Life-Questionnaires-Quality of Life of Cancer Patients. Available online: https://qol.eortc.org/questionnaire/eortc-qlq-c30/ (accessed on 3 November 2022).
- Fayers, P.M.; Aaronson, N.K.; Bjordal, K.; Groenvold, M.; Curran, D.; Bottomley, A. on behalf of the EORTC Quality of Life Group; The EORTC QLQ-C30 Scoring Manual, 3rd ed.; European Organisation for Research and Treatment of Cancer: Brussels, Belgium, 2001. [Google Scholar]
- Brahmer, J.R.; Abu-Sbeih, H.; Ascierto, P.A.; Brufsky, J.; Cappelli, L.C.; Cortazar, F.B.; Gerber, D.E.; Hamad, L.; Hansen, E.; Johnson, D.B.; et al. Society for Immunotherapy of Cancer (SITC) clinical practice guideline on immune checkpoint inhibitor-related adverse events. J. Immunother. Cancer 2021, 9, e002435. [Google Scholar] [CrossRef] [PubMed]
- Puzanov, I.; Diab, A.; Abdallah, K.; Bingham, C.O., 3rd; Brogdon, C.; Dadu, R.; Hamad, L.; Kim, S.; Lacouture, M.E.; LeBoeuf, N.R.; et al. Managing toxicities associated with immune checkpoint inhibitors: Consensus recommendations from the Society for Immunotherapy of Cancer (SITC) Toxicity Management Working Group. J. Immunother. Cancer 2017, 5, 95. [Google Scholar] [CrossRef]
- Seidel, J.A.; Otsuka, A.; Kabashima, K. Anti-PD-1 and Anti-CTLA-4 Therapies in Cancer: Mechanisms of Action, Efficacy, and Limitations. Front. Oncol. 2018, 8, 86. [Google Scholar] [CrossRef]
- Robert, C.; Schachter, J.; Long, G.V.; Arance, A.; Grob, J.J.; Mortier, L.; Daud, A.; Carlino, M.S.; McNeil, C.; Lotem, M.; et al. Pembrolizumab versus Ipilimumab in Advanced Melanoma. N. Engl. J. Med. 2015, 372, 2521–2532. [Google Scholar] [CrossRef]
- Zikos, E.; Ghislain, I.; Coens, C.; Ediebah, D.E.; Sloan, E.; Quinten, C.; Koller, M.; van Meerbeeck, J.P.; Flechtner, H.H.; Stupp, R.; et al. Health-related quality of life in small-cell lung cancer: A systematic review on reporting of methods and clinical issues in randomised controlled trials. Lancet Oncol. 2014, 15, e78–e89. [Google Scholar] [CrossRef]
- Hamel, J.-F.; Saulnier, P.; Pe, M.; Zikos, E.; Musoro, J.; Coens, C.; Bottomley, A. A systematic review of the quality of statistical methods employed for analysing quality of life data in cancer randomised controlled trials. Eur. J. Cancer 2017, 83, 166–176. [Google Scholar] [CrossRef] [PubMed]
- Hosseini, B.; Nedjat, S.; Zendehdel, K.; Majdzadeh, R.; Nourmohammadi, A.; Montazeri, A. Response shift in quality of life assessment among cancer patients: A study from Iran. Med. J. Islam. Repub. Iran. 2017, 31, 120. [Google Scholar] [CrossRef] [PubMed]
- EORTC. Quality of life-Questionnaires-2054 Immune Checkpoints Inhibitor. Available online: https://qol.eortc.org/questionnaire/2054-immune-checkpoints-inhibitor/ (accessed on 8 August 2024).



| Characteristics | All Patients (n = 93) | Pembrolizumab (n = 37) | Nivolumab (n = 33) | Atezolizumab (n = 12) | Multiple Anti-PD-1 (n = 7) | Anti-PD-1 + Anti-PD-L1 (n = 4) | p-Value |
|---|---|---|---|---|---|---|---|
| Age [median (IQR)] | 61 (27) | 47 (21) | 62 (39) | 66 (9.5) | 62 (43) | 59 (2.5) | 0.373 |
| BMI, kg/m2 [median (IQR)] | 26 (8.6) | 28 (12.1) | 24.4 (9.1) | 24.17 (3.9) | 21.46 (7.2) | 25.84 (2.1) | 0.059 |
| Gender, n (%) Female Male | 29 (31.2) 64 (68.8) | 17 (45.9) 20 (54.1) | 7 (21.2) 26 (78.8) | 2 (16.7) 10 (83.3) | 3 (42.9) 4 (57.1) | 0 4 (100) | 0.068 |
| Comorbidities, n (%) 0 1 2 3 4 | 30 (32.3) 34 (36.6) 21 (22.6) 6 (6.5) 2 (2.2) | 8 (26.7) 10 (29.4) 15 (71.4) 3 (50) 1 (50) | 17 (56.7) 10 (29.4) 3 (14.3) 2 (33.3) 1 (50) | 2 (6.7) 7 (20.6) 2 (9.5) 1 (16.7) 0 | 3 (10) 3 (8.8) 1 (4.8) 0 0 | 0 4 (11.8) 0 0 0 | 0.059 |
| Previous exposure to cancer therapy, n (%) Yes No | 63 (67.7) 30 (32.3) | 25 (67.6) 12 (32.4) | 9 (27.3) 24 (72.7) | 7 (58.3) 5 (41.7) | 2 (28.6) 5 (71.4) | 0 4 (100) | 0.195 |
| Primary diagnosed cancer, n (%) Solid Hematological | 82 (88.2) 11 (11.8) | 35 (94.6) 2 (5.4) | 27 (81.8) 6 (18.2) | 12 (100) 0 | 4 (57.1) 3 (42.9) | 4 (100) 0 | 0.023 |
| Cancer stage right before ICI initiation, n (%) Stage II Stage III Stage IV | 12 (12.9) 17 (18.3) 64 (68.8) | 3 (8.1) 4 (10.8) 30 (81.1) | 3 (9.1) 10 (30.3) 20 (60.6) | 5 (41.7) 0 7 (58.3) | 0 2 (28.6) 5 (71.4) | 1 (25) 1 (25) 2 (50) | 0.021 |
| Variable [Median (IQR)] | All Treatment Groups (n = 93) | Pembrolizumab (n = 37) | Nivolumab (n = 33) | Atezolizumab (n = 12) | Multiple Anti-PD-1 (n = 7) | Anti-PD-1 + Anti-PD-L1 (n = 4) | p-Value |
|---|---|---|---|---|---|---|---|
| Physical functioning | 73.3 (33.3) | 73.3 (40) | 73.3 (33.3) | 76.6 (23.3) | 80 (36.7) | 83.3 (33.3) | 0.97 |
| Role functioning | 83.3 (33.3) | 83.3 (50) | 83.3 (33.3) | 91.7 (33.3) | 100 (33.3) | 100 (12.5) | 0.676 |
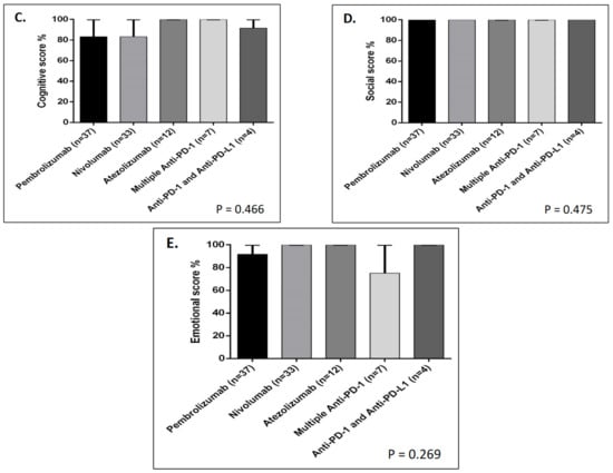
| Cognitive functioning | 100 (33.3) | 83.3 (33.3) | 83.3 (33.3) | 100 (4.1) | 100 (25) | 91.7 (20.8) | 0.466 |
| Emotional functioning | 100 (20.8) | 91.7 (16.7) | 100 (16.7) | 100 (33.3) | 75 (20.8) | 100 (2.1) | 0.269 |
| Social functioning | 100 (16.6) | 100 (16.7) | 100 (0) | 100 (33.3) | 100 (25) | 100 (0) | 0.475 |
| All functioning | 84.7 (19.8) | 84 (23.3) | 84.7 (21) | 85.3 (11.17) | 82.3 (7.8) | 93.3 (15.4) | 0.752 |
| Fatigue | 88.8 (33.3) | 77.8 (16.7) | 88.9 (16.7) | 100.0 (4.16) | 88.9 (16.7) | 77.8 (0) | 0.234 |
| Nausea and vomiting | 100 (16.7) | 100.0 (33.3) | 100.0 (33.3) | 100.0 (33.3) | 100.0 (25) | 100.0 (37.5) | 0.536 |
| Pain | 83.3 (33.3) | 83.3 (33.3) | 83.3 (33.3) | 83.3 (33.3) | 83.3 (33.3) | 66.7 (75) | 0.791 |
| Dyspnea | 100 (33.3) | 100.0 (33.3) | 100.0 (33.3) | 100.0 (41.6) | 100.0 | 66.7 (16.7) | 0.704 |
| Insomnia | 100 (33.3) | 100.0 (33.3) | 100.0 (33.3) | 83.3 (33.3) | 100.0 (16.7) | 100.0 (25) | 0.531 |
| Appetite | 100 (33.3) | 100.0 (33.3) | 66.7 (33.3) | 66.7 (41.6) | 100.0 (16.7) | 100.0 (66.7) | 0.874 |
| Constipation | 100 (33.3) | 100.0 (0) | 100.0 (33.3) | 100.0 (0) | 100.0 (0) | 66.7 (0) | 0.86 |
| Diarrhea | 100 (0) | 100.0 (0) | 100.0 (0) | 100.0 (0) | 100.0 (16.7) | 100.0 (0) | 0.605 |
| Financial | 100 (0) | 100.0 (16.7) | 100.0 (16.7) | 100.0 (4.16) | 100.0 (16.7) | 100.0 (0) | 0.434 |
| All symptoms | 85.19 (19.1) | 82.1 (17.9) | 85.18 (19.1) | 90.4 (24.2) | 87.7 (20.4) | 86.4 (19) | 0.931 |
| Global health | 83.3 (25) | 83.3 (33.3) | 75 (33.3) | 83.3 (16.7) | 83.3 (16.7) | 79.17 (29.17) | 0.809 |
| Overall health | 82.7 (17.6) | 83.5 (20.4) | 82.1 (21.2) | 86.0 (12) | 84.4 (14.3) | 86.3 (21.3) | 0.948 |
| Question | All Treatment Groups (n = 93) | Pembrolizumab (n = 37) | Nivolumab (n = 33) | Atezolizumab (n = 12) | Multiple Anti-PD-1 (n = 7) | Anti-PD-1 + Anti-PD-L1 (n = 4) | p-Value |
|---|---|---|---|---|---|---|---|
| Functional scale | |||||||
| Do you have any trouble doing strenuous activities like carrying a heavy shopping bag or a suitcase? Yes (n,%) | 67 (72) | 28 (75.7) | 23 (69.7) | 8 (66.7) | 5 (71.4) | 3 (75) | 0.97 |
| Do you have any trouble taking a long walk? Yes (n,%) | 68 (73.1) | 30 (81.1) | 21 (63.3) | 9 (75) | 5 (71.4) | 3 (75) | 0.602 |
| Do you have any trouble taking a short walk outside of the house? Yes (n,%) | 29 (31.2) | 14 (37.8) | 10 (30.3) | 1 (8.3) | 3 (42.9) | 1 (25) | 0.378 |
| Do you need to stay in bed or a chair during the day? Yes (n,%) | 62 (66.7) | 26 (70.3) | 22 (66.7) | 8 (66.7) | 4 (57.1) | 2 (50) | 0.91 |
| Do you need help with eating, dressing, washing yourself or using the toilet? Yes (n,%) | 14 (15.1) | 6 (16.2) | 5 (15.2) | 1 (8.3) | 1 (14.3) | 1 (25) | 0.942 |
| During the past week, were you limited in doing either your work or other daily activities? Yes (n,%) | 44 (47.3) | 20 (54.1) | 15 (45.5) | 5 (41.7) | 3 (42.9) | 1 (25) | 0.786 |
| During the past week, were you limited in pursuing your hobbies or other leisure time activities? Yes (n,%) | 46 (49.5) | 20 (54.1) | 16 (48.5) | 6 (50) | 3 (42.9) | 1 (25) | 0.843 |
| During the past week, have you had difficulty in concentrating on things, like reading a newspaper or watching television? Yes (n,%) | 27 (29) | 13 (35.1) | 9 (27.3) | 1 (8.3) | 2 (28.6) | 2 (50) | 0.397 |
| During the past week, have you had difficulty remembering things? Yes (n,%) | 38 (40.9) | 18 (48.6) | 14 (42.4) | 2 (16.7) | 3 (42.9) | 1 (25) | 0.367 |
| During the past week, did you feel tense? Yes (n,%) | 27 (29) | 12 (32.4) | 5 (15.2) | 5 (41.7) | 5 (71.4) | 0 | 0.018 |
| During the past week, did you worry? Yes (n,%) | 30 (32.3) | 14 (37.8) | 7 (21.2) | 5 (41.7) | 4 (57.1) | 0 | 0.150 |
| During the past week, did you feel irritable? Yes (n,%) | 29 (31.2) | 9 (24.3) | 13 (39.4) | 3 (25) | 4 (57.1) | 0 | 0.194 |
| During the past week, did you feel depressed? Yes (n,%) | 25 (26.9) | 6 (16.2) | 11 (33.3) | 3 (25) | 4 (57.1) | 1 (25) | 0.19 |
| During the past week, has your physical condition or medical treatment interfered with your family life? Yes (n,%) | 16 (17.2) | 6 (16.2) | 4 (12.2) | 4 (33.3) | 2 (28.6) | 0 | 0.369 |
| During the past week, has your physical condition or medical treatment interfered with your social activities? Yes (n,%) | 21 (22.6) | 8 (21.6) | 6 (18.2) | 4 (33.3) | 3 (42.9) | 0 | 0.407 |
| Symptoms scale | |||||||
| During the past week, have you felt weak? Yes (n,%) | 37 (39.8) | 15 (40.5) | 15 (45.5) | 2 (16.7) | 3 (42.9) | 2 (50) | 0.504 |
| During the past week, were you tired? Yes (n,%) | 45 (48.4) | 22 (59.5) | 15 (45.5) | 3 (25) | 3 (42.9) | 2 (50) | 0.325 |
| During the past week, did you need to rest? Yes (n,%) | 53 (57) | 25 (67.6) | 17 (51.5) | 4 (33.3) | 5 (71.4) | 2 (50) | 0.239 |
| During the past week, have you felt nauseated? Yes (n,%) | 33 (35.5) | 14 (37.8) | 13 (39.4) | 3 (25) | 3 (42.9) | 0 | 0.517 |
| During the past week, have you vomited? Yes (n,%) | 18 (19.4) | 9 (24.3) | 6 (18.2) | 2 (16.7) | 1 (14.3) | 0 | 0.782 |
| During the past week, have you had pain? Yes (n,%) | 51 (54.8) | 23 (62.2) | 16 (48.5) | 6 (50) | 3 (42.9) | 3 (75) | 0.642 |
| During the past week, did pain interfere with your daily activities? Yes (n,%) | 39 (41.9) | 15 (40.5) | 16 (48.5) | 4 (33.3) | 3 (42.9) | 1 (25) | 0.836 |
| During the past week, were you short of breath? Yes (n,%) | 35 (37.6) | 12 (32.4) | 14 (42.4) | 4 (33.3) | 3 (42.9) | 2 (50) | 0.88 |
| During the past week, have you had trouble sleeping? Yes (n,%) | 40 (43) | 18 (48.6) | 14 (42.4) | 6 (50) | 1 (14.3) | 1 (25) | 0.461 |
| During the past week, have you lacked appetite? Yes (n,%) | 45 (48.4) | 18 (48.6) | 17 (51.5) | 7 (58.3) | 2 (28.6) | 1 (25) | 0.630 |
| During the past week, have you been constipated? Yes (n,%) | 39 (41.9) | 14 (37.8) | 16 (48.5) | 5 (41.7) | 2 (28.6) | 2 (50) | 0.834 |
| During the past week, have you had diarrhea? Yes (n,%) | 17 (18.3) | 5 (13.5) | 9 (27.3) | 2 (16.7) | 1 (14.3) | 0 | 0.503 |
| During the past week, has your physical condition or medical treatment caused you financial difficulties? Yes (n,%) | 11 (11.8) | 5 (13.5) | 2 (6.1) | 2 (16.7) | 2 (28.6) | 0 | 0.428 |
| Global scale | |||||||
| During the past week, how would you rate your overall health during the past week? [median score (IQR)] | 6 (2) | 5 (2) | 5 (2) | 6 (1.25) | 6 (1) | 5.5 (1.5) | 0.779 |
| During the past week, how would you rate your overall quality of life during the past week? [median score (IQR)] | 6 (2) | 6 (2) | 6 (2) | 6 (1) | 6 (1) | 6 (2) | 0.688 |
Disclaimer/Publisher’s Note: The statements, opinions and data contained in all publications are solely those of the individual author(s) and contributor(s) and not of MDPI and/or the editor(s). MDPI and/or the editor(s) disclaim responsibility for any injury to people or property resulting from any ideas, methods, instructions or products referred to in the content. |
© 2024 by the authors. Licensee MDPI, Basel, Switzerland. This article is an open access article distributed under the terms and conditions of the Creative Commons Attribution (CC BY) license (https://creativecommons.org/licenses/by/4.0/).
Share and Cite
Alwhaibi, A.; Alenazi, M.A.; Alnofaie, S.D.; Aldekhail, A.M.; Alanazi, R.J.; Alghadeer, S.; Alghamdi, A.A.; Alanazi, S.A. Real-World Comparison of Health-Related Quality of Life Associated with Use of Immune-Checkpoint Inhibitors in Oncology Patients. J. Clin. Med. 2024, 13, 4918. https://doi.org/10.3390/jcm13164918
Alwhaibi A, Alenazi MA, Alnofaie SD, Aldekhail AM, Alanazi RJ, Alghadeer S, Alghamdi AA, Alanazi SA. Real-World Comparison of Health-Related Quality of Life Associated with Use of Immune-Checkpoint Inhibitors in Oncology Patients. Journal of Clinical Medicine. 2024; 13(16):4918. https://doi.org/10.3390/jcm13164918
Chicago/Turabian StyleAlwhaibi, Abdulrahman, Miteb A. Alenazi, Saad D. Alnofaie, Abdullah M. Aldekhail, Rakan J. Alanazi, Sultan Alghadeer, Abdulrhman A. Alghamdi, and Saleh A. Alanazi. 2024. "Real-World Comparison of Health-Related Quality of Life Associated with Use of Immune-Checkpoint Inhibitors in Oncology Patients" Journal of Clinical Medicine 13, no. 16: 4918. https://doi.org/10.3390/jcm13164918
APA StyleAlwhaibi, A., Alenazi, M. A., Alnofaie, S. D., Aldekhail, A. M., Alanazi, R. J., Alghadeer, S., Alghamdi, A. A., & Alanazi, S. A. (2024). Real-World Comparison of Health-Related Quality of Life Associated with Use of Immune-Checkpoint Inhibitors in Oncology Patients. Journal of Clinical Medicine, 13(16), 4918. https://doi.org/10.3390/jcm13164918

