Beyond the Valve: Incidence, Outcomes, and Modifiable Factors of Acute Kidney Injury in Patients with Infective Endocarditis Undergoing Valve Surgery—A Retrospective, Single-Center Study
Abstract
1. Introduction
2. Materials and Methods
- Study Population
- Ethics Declaration
- Infective Endocarditis
- Indication for Valve Surgery
- AKI
- Outcomes investigated
- Incidence of AKI: The study aimed to determine the frequency of postoperative AKI in IE patients undergoing valve surgery.
- Relevance of Creatinine Levels for AKI Detection: The investigation sought to establish a practical parameter for risk stratification by assessing the significance of the creatinine levels, particularly focusing on preoperative to the 7th postoperative day.
- Exploration of modifiable factors contributing to AKI: The study aimed to identify variables amenable to modification that influence the development of AKI. Through a comprehensive assessment of various pre- and intraoperative factors, an attempt was made to uncover potential indicators up to 24 h postoperatively, thus contributing to a more comprehensive understanding of the modifiable elements affecting AKI in patients undergoing valve surgery for IE.
- Association of postoperative AKI with short-term mortality: Primary outcomes included evaluating the relationship between AKI development and short-term mortality at specific intervals postoperatively (30, 60, and 180 days).
- Statistical Analysis
3. Results
- Baseline Characteristics
- Creatinine Levels: Second postoperative day as a vulnerable day regarding kidney function
- Kaplan–Meier: AKI as a driving force for premature mortality
- AUROC-AKI: Creatinine of 1.35 mg/dL as a relevant predictor for postoperative AKI
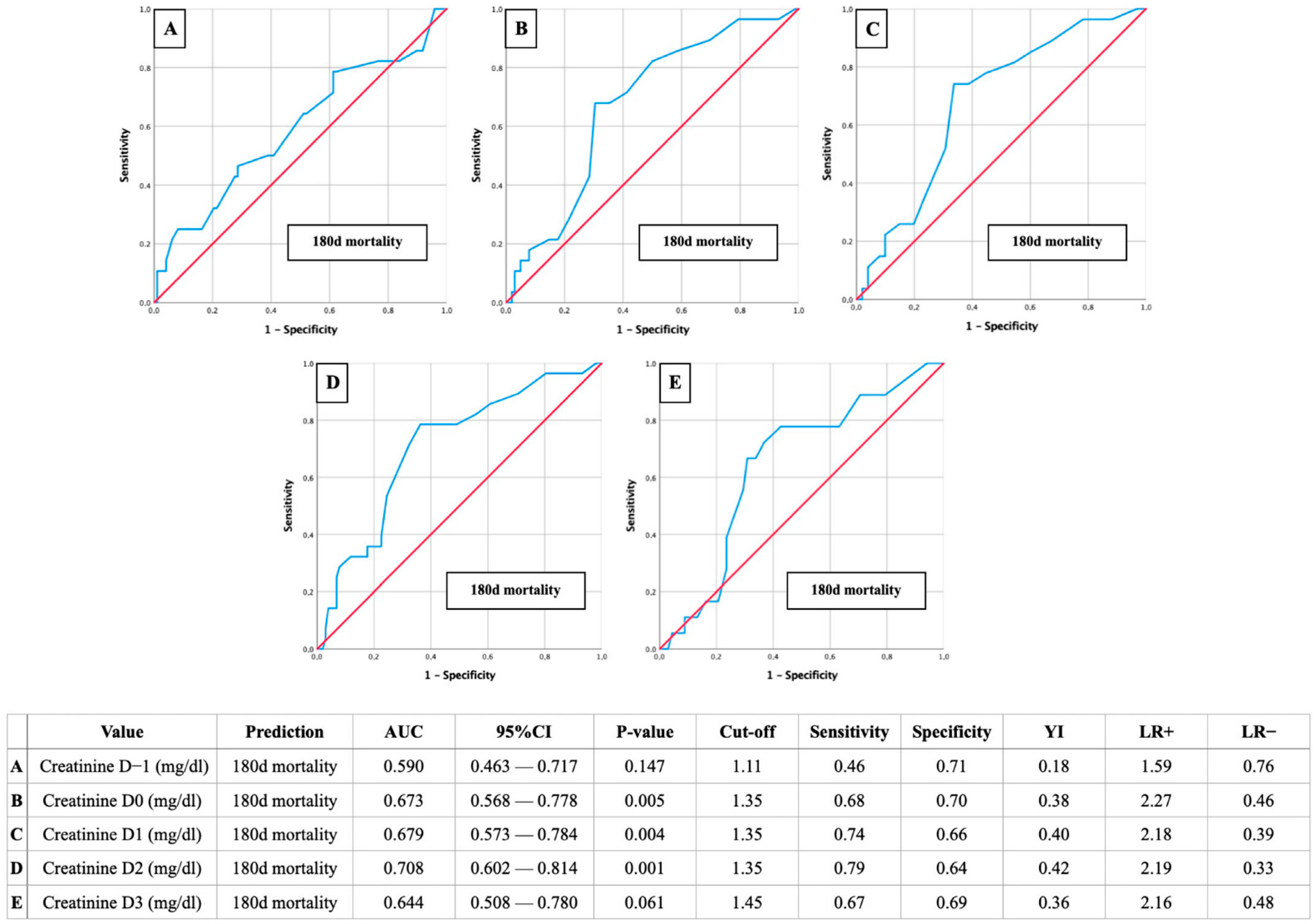
- AUROC-Mortality: Creatinine of 1.35 mg/dL as a relevant predictor for postoperative mortality
- Binary Logistic Regression: Hemoglobin, CK-MB, and renal excretion 2–3 h after surgery as independent predictors for postoperative AKI
4. Discussion
- Postoperative frequency of AKI in patients undergoing valve surgery due to IE
- Early detection of AKI: Overcoming the challenge of delay
- Consistency of our creatinine cut-off value highlights AKI’s significance in short-term mortality prediction
- How can we prevent postoperative AKI following surgery for IE?
5. Limitations
6. Conclusions
Author Contributions
Funding
Institutional Review Board Statement
Informed Consent Statement
Data Availability Statement
Acknowledgments
Conflicts of Interest
References
- Rajani, R.; Klein, J.L. Infective endocarditis: A contemporary update. Clin. Med. 2020, 20, 31–35. [Google Scholar] [CrossRef] [PubMed]
- Cahill, T.J.; Prendergast, B.D. Infective endocarditis. Lancet 2016, 387, 882–893. [Google Scholar] [CrossRef] [PubMed]
- Hubers, S.A.; DeSimone, D.C.; Gersh, B.J.; Anavekar, N.S. Infective endocarditis: A contemporary review. Mayo Clin. Proc. 2020, 95, 982–997. [Google Scholar] [CrossRef] [PubMed]
- Rezar, R.; Lichtenauer, M.; Haar, M.; Hödl, G.; Kern, J.M.; Zhou, Z.; Wuppinger, T.; Kraus, J.; Strohmer, B.; Hoppe, U.C.; et al. Infective endocarditis—A review of current therapy and future challenges. Hell. J. Cardiol. 2021, 62, 190–200. [Google Scholar] [CrossRef] [PubMed]
- Agrawal, A.; Arockiam, A.D.; Jamil, Y.; El Dahdah, J.; Honnekeri, B.; El Helou, M.C.; Kassab, J.; Wang, T.K.M. Contemporary risk models for infective endocarditis surgery: A narrative review. Ther. Adv. Cardiovasc. Dis. 2023, 17, 17539447231193291. [Google Scholar] [CrossRef] [PubMed]
- Iaccarino, A.; Barbone, A.; Basciu, A.; Cuko, E.; Droandi, G.; Galbiati, D.; Romano, G.; Citterio, E.; Fumero, A.; Scarfò, I.; et al. Surgical Challenges in Infective Endocarditis: State of the Art. J. Clin. Med. 2023, 12, 5891. [Google Scholar] [CrossRef] [PubMed]
- AATS Surgical Treatment of Infective Endocarditis Consensus Guidelines Writing Committee Chairs; Pettersson, G.B.; Coselli, J.S.; Writing Committee; Hussain, S.T.; Griffin, B.; Blackstone, E.H.; Gordon, S.M.; LeMaire, S.A.; Woc-Colburn, L.E. 2016 The American Association for Thoracic Surgery (AATS) consensus guidelines: Surgical treatment of infective endocarditis: Executive summary. J. Thorac. Cardiovasc. Surg. 2017, 153, 1241–1258.e29. [Google Scholar] [CrossRef] [PubMed]
- Legrand, M.; Pirracchio, R.; Rosa, A.; Petersen, M.L.; Van der Laan, M.; Fabiani, J.-N.; Fernandez-Gerlinger, M.-P.; Podglajen, I.; Safran, D.; Cholley, B.; et al. Incidence, risk factors and prediction of post-operative acute kidney injury following cardiac surgery for active infective endocarditis: An observational study. Crit. Care 2013, 17, R220. [Google Scholar] [CrossRef] [PubMed]
- Von Tokarski, F.; Lemaignen, A.; Portais, A.; Fauchier, L.; Hennekinne, F.; Sautenet, B.; Halimi, J.-M.; Legras, A.; Patat, F.; Bourguignon, T.; et al. Risk factors and outcomes of early acute kidney injury in infective endocarditis: A retrospective cohort study. Int. J. Infect. Dis. 2020, 99, 421–427. [Google Scholar] [CrossRef]
- Ortiz-Soriano, V.; Donaldson, K.; Du, G.; Li, Y.; Lambert, J.; Rudy, M.; Cleland, D.; Thornton, A.; Fanucchi, L.C.; Huaman, M.A.; et al. Incidence and Cost of Acute Kidney Injury in Hospitalized Patients with Infective Endocarditis. J. Clin. Med. 2019, 8, 927. [Google Scholar] [CrossRef]
- Ritchie, B.M.; Hirning, B.A.; Stevens, C.A.; Cohen, S.A.; DeGrado, J.R. Risk factors for acute kidney injury associated with the treatment of bacterial endocarditis at a tertiary academic medical center. J. Chemother. 2017, 29, 292–298. [Google Scholar] [CrossRef] [PubMed]
- Gagneux-Brunon, A.; Pouvaret, A.; Maillard, N.; Berthelot, P.; Lutz, M.; Cazorla, C.; Tulane, C.; Fuzellier, J.; Verhoeven, P.; Frésard, A.; et al. Acute kidney injury in infective endocarditis: A retrospective analysis. Med. Mal. Infect. 2019, 49, 527–533. [Google Scholar] [CrossRef] [PubMed]
- Li, J.S.; Sexton, D.J.; Mick, N.; Nettles, R.; Fowler, V.G., Jr.; Ryan, T.; Bashore, T.; Corey, G.R. Proposed modifications to the Duke criteria for the diagnosis of infective endocarditis. Clin. Infect. Dis. 2000, 30, 633–638. [Google Scholar] [CrossRef]
- Habib, G.; Lancellotti, P.; Antunes, M.J.; Bongiorni, M.G.; Casalta, J.-P.; Del Zotti, F.; Dulgheru, R.; El Khoury, G.; Erba, P.A.; Iung, B.; et al. 2015 ESC Guidelines for the management of infective endocarditis: The Task Force for the Management of Infective Endocarditis of the European Society of Cardiology (ESC). Endorsed by: European Association for Cardio-Thoracic Surgery (EACTS), the European Association of Nuclear Medicine (EANM). Eur. Heart J. 2015, 36, 3075–3128. [Google Scholar] [CrossRef] [PubMed]
- Davierwala, P.M.; Marin-Cuartas, M.; Misfeld, M.; Borger, M.A. The value of an “Endocarditis Team”. Ann. Cardiothorac. Surg. 2019, 8, 621–629. [Google Scholar] [CrossRef] [PubMed]
- Khwaja, A. KDIGO Clinical Practice Guidelines for Acute Kidney Injury. Nephron Clin. Pract. 2012, 120, c179–c184. [Google Scholar] [CrossRef] [PubMed]
- Machado, M.N.; Nakazone, M.A.; Maia, L.N. Acute kidney injury based on KDIGO (Kidney Disease Improving Global Outcomes) criteria in patients with elevated baseline serum creatinine undergoing cardiac surgery. Rev. Bras. Cir. Cardiovasc. 2014, 29, 299–307. [Google Scholar] [CrossRef] [PubMed]
- Vives, M.; Hernandez, A.; Parramon, F.; Estanyol, N.; Pardina, B.; Muñoz, A.; Alvarez, P.; Hernandez, C. Acute kidney injury after cardiac surgery: Prevalence, impact and management challenges. Int. J. Nephrol. Renov. Dis. 2019, 12, 153–166. [Google Scholar] [CrossRef]
- Schurle, A.; Koyner, J.L. CSA-AKI: Incidence, Epidemiology, Clinical Outcomes, and Economic Impact. J. Clin. Med. 2021, 10, 5746. [Google Scholar] [CrossRef]
- O’Neal, J.B.; Shaw, A.D.; Billings, F.T., IV. Acute kidney injury following cardiac surgery: Current understanding and future directions. Crit. Care 2016, 20, 187. [Google Scholar] [CrossRef]
- Ramos, K.A.; Dias, C.B. Acute Kidney Injury after Cardiac Surgery in Patients without Chronic Kidney Disease. Rev. Bras. Cir. Cardiovasc. 2018, 33, 454–461. [Google Scholar] [CrossRef]
- Conrad, C.; Eltzschig, H.K. Disease Mechanisms of Perioperative Organ Injury. Anesth. Analg. 2020, 131, 1730–1750. [Google Scholar] [CrossRef]
- Nadim, M.K.; Forni, L.G.; Bihorac, A.; Hobson, C.; Koyner, J.L.; Shaw, A.; Arnaoutakis, G.J.; Ding, X.; Engelman, D.T.; Gasparovic, H.; et al. Cardiac and Vascular Surgery–Associated Acute Kidney Injury: The 20th International Consensus Conference of the ADQI (Acute Disease Quality Initiative) Group. J. Am. Heart Assoc. 2018, 7, e008834. [Google Scholar] [CrossRef]
- Hermanns, H.; Alberts, T.; Preckel, B.; Strypet, M.; Eberl, S. Perioperative Complications in Infective Endocarditis. J. Clin. Med. 2023, 12, 5762. [Google Scholar] [CrossRef] [PubMed]
- Mir, T.; Uddin, M.; Qureshi, W.T.; Regmi, N.; Tleyjeh, I.M.; Saydain, G. Predictors of Complications Secondary to Infective Endocarditis and Their Associated Outcomes: A Large Cohort Study from the National Emergency Database (2016–2018). Infect. Dis. Ther. 2022, 11, 305–321. [Google Scholar] [CrossRef]
- Brown, J.K.; Shaw, A.D.; Mythen, M.G.; Guzzi, L.; Reddy, V.S.; Crisafi, C.; Engelman, D.T. Adult Cardiac Surgery-Associated Acute Kidney Injury: Joint Consensus Report. J. Cardiothorac. Vasc. Anesthesia 2023, 37, 1579–1590. [Google Scholar] [CrossRef]
- Najafi, M. Serum creatinine role in predicting outcome after cardiac surgery beyond acute kidney injury. World J. Cardiol. 2014, 6, 1006–1021. [Google Scholar] [CrossRef] [PubMed]
- Makris, K. The role of the clinical laboratory in the detection and monitoring of acute kidney injury. J. Lab. Precis. Med. 2018, 3, 4454. Available online: https://jlpm.amegroups.org/article/view/4454 (accessed on 18 March 2024). [CrossRef]
- Cheruku, S.R.; Raphael, J.; Neyra, J.A.; Fox, A.A. Acute Kidney Injury after Cardiac Surgery: Prediction, Prevention, and Management. Anesthesiology 2023, 139, 880–898. [Google Scholar] [CrossRef]
- Hou, J.; Shang, L.; Huang, S.; Ao, Y.; Yao, J.; Wu, Z. Postoperative Serum Creatinine Serves as a Prognostic Predictor of Cardiac Surgery Patients. Front. Cardiovasc. Med. 2022, 9, 740425. [Google Scholar] [CrossRef]
- Ye, M.; Dai, Q.; Zheng, J.; Jiang, X.; Wang, H.; Lou, S.; Yu, K. The Significance of Post-operative Creatinine in Predicting Prognosis in Cardiac Surgery Patients. Cell Biochem. Biophys. 2014, 70, 587–591. [Google Scholar] [CrossRef] [PubMed]
- Kashani, K.; Rosner, M.H.; Haase, M.; Lewington, A.J.; O’Donoghue, D.J.; Wilson, F.P.; Nadim, M.K.; Silver, S.A.; Zarbock, A.; Ostermann, M.; et al. Quality Improvement Goals for Acute Kidney Injury. Clin. J. Am. Soc. Nephrol. 2019, 14, 941–953. [Google Scholar] [CrossRef] [PubMed]
- Suarez, J.; Busse, L.W. New strategies to optimize renal haemodynamics. Curr. Opin. Crit. Care 2020, 26, 536–542. [Google Scholar] [CrossRef] [PubMed]
- Fellahi, J.-L.; Futier, E.; Vaisse, C.; Collange, O.; Huet, O.; Loriau, J.; Gayat, E.; Tavernier, B.; Biais, M.; Asehnoune, K.; et al. Perioperative hemodynamic optimization: From guidelines to implementation—An experts’ opinion paper. Ann. Intensiv. Care 2021, 11, 58. [Google Scholar] [CrossRef] [PubMed]
- Kayilioglu, S.I.; Dinc, T.; Sozen, I.; Bostanoglu, A.; Cete, M.; Coskun, F. Postoperative fluid management. World J. Crit. Care Med. 2015, 4, 192–201. [Google Scholar] [CrossRef]
- Gumbert, S.D.; Kork, F.; Jackson, M.L.; Vanga, N.; Ghebremichael, S.J.; Wang, C.Y.; Eltzschig, H.K. Perioperative Acute Kidney Injury. Anesthesiology 2020, 132, 180–204. [Google Scholar] [CrossRef]
- Kalisnik, J.M.; Bauer, A.; Vogt, F.A.; Stickl, F.J.; Zibert, J.; Fittkau, M.; Bertsch, T.; Kounev, S.; Fischlein, T. Artificial intelligence-based early detection of acute kidney injury after cardiac surgery. Eur. J. Cardio-Thorac. Surg. 2022, 62, ezac289. [Google Scholar] [CrossRef]






| Total | AKI+ | AKI− | p-Value | |
|---|---|---|---|---|
| No. (%) | ||||
| Total | 130 (100) | 46 (35.4) | 84 (64.6) | |
| Gender (male) | 92 (70.8) | 31 (67.4) | 61 (72.6) | 0.531 |
| Age | ||||
| <20 | 1 (0.8) | 0 (0.0) | 1 (1.2) | 0.458 |
| 20–39 | 14 (10.8) | 3 (6.5) | 11 (13.1) | 0.248 |
| 40–59 | 29 (22.3) | 6 (13.0) | 23 (27.4) | 0.060 |
| 60–79 | 81 (62.3) | 35 (76.1) | 46 (54.8) | 0.016 |
| ≥80 | 5 (3.8) | 2 (4.3) | 3 (3.6) | 0.826 |
| BMI | ||||
| <18.5 | 2 (1.5) | 0 (0.0) | 2 (2.4) | 0.292 |
| 18.5–24.9 | 50 (38.5) | 14 (30.4) | 36 (42.9) | 0.164 |
| 25.0–29.9 | 55 (42.3) | 21 (45.7) | 34 (40.5) | 0.568 |
| 30.0–34.9 | 17 (13.1) | 7 (15.2) | 10 (11.9) | 0.592 |
| 35.0–39.9 | 6 (4.6) | 4 (8.7) | 2 (2.4) | 0.101 |
| ≥40.0 | 0 (0.0) | 0 (0.0) | 0 (0.0) | - |
| NYHA | ||||
| NYHA I | 78 (60.0) | 25 (54.3) | 53 (63.1) | 0.330 |
| NYHA II | 29 (22.3) | 8 (17.4) | 21 (25.0) | 0.319 |
| NYHA III | 12 (9.2) | 8 (17.4) | 4 (4.8) | 0.017 |
| NYHA IV | 11 (8.5) | 5 (10.9) | 6 (7.1) | 0.465 |
| Microbiology | ||||
| Staphylococcus spp. | 48 (36.9) | 22 (47.8) | 26 (31.0) | 0.057 |
| Staphylococcus aureus | 37 (28.5) | 18 (39.1) | 19 (22.6) | 0.046 |
| Staphylococcus epidermidis | 6 (4.6) | 2 (4.3) | 4 (4.8) | 0.914 |
| Streptococcus spp. | 29 (22.3) | 4 (8.7) | 25 (29.8) | 0.006 |
| Streptococcus mitis/oralis | 10 (7.7) | 2 (4.3) | 8 (9.5) | 0.290 |
| Streptococcus sanguis/parasanguis | 9 (6.9) | 1 (2.2) | 8 (9.5) | 0.114 |
| Enterococcus spp. | 17 (13.1) | 7 (15.2) | 10 (11.9) | 0.592 |
| Enterococcus faecalis | 16 (12.3) | 7 (15.2) | 9 (10.7) | 0.455 |
| HACEK group | 1 (0.8) | 0 (0.0) | 1 (1.2) | 0.458 |
| Candida spp. | 1 (0.8) | 0 (0.0) | 1 (1.2) | 0.458 |
| Polymicrobial IE | 8 (6.2) | 4 (8.7) | 4 (4.8) | 0.372 |
| Others | 5 (3.8) | 0 (0.0) | 5 (6.0) | 0.458 |
| Negative Blood Cultures and PCRs | 21 (16.2) | 9 (19.6) | 12 (14.3) | 0.434 |
| Pre-existing Conditions | ||||
| Diabetes mellitus | 19 (14.6) | 5 (10.9) | 14 (16.7) | 0.371 |
| Arterial Hypertension | 66 (50.8) | 26 (56.5) | 40 (47.6) | 0.332 |
| CVD | 40 (30.8) | 14 (30.4) | 26 (31.0) | 0.951 |
| Previous Myocardial Infarction | 8 (6.2) | 3 (6.5) | 5 (6.0) | 0.897 |
| Atrial fibrillation | 35 (26.9) | 16 (34.8) | 19 (22.6) | 0.135 |
| Previous Aortocoronary Bypass | 15 (11.5) | 7 (15.2) | 8 (9.5) | 0.331 |
| Pacemaker (before IE) | 9 (6.9) | 3 (6.5) | 6 (7.1) | 0.894 |
| COPD | 8 (6.2) | 6 (13.0) | 2 (2.4) | 0.016 |
| Nicotine Consumption | 15 (11.5) | 4 (8.7) | 11 (13.1) | 0.453 |
| Hyperlipidemia | 53 (40.8) | 22 (47.8) | 31 (36.9) | 0.226 |
| Stroke (before Endocarditis) | 11 (8.5) | 5 (10.9) | 6 (7.1) | 0.465 |
| PAD | 8 (6.2) | 3 (6.5) | 5 (6.0) | 0.897 |
| Chronic Kidney Disease | 18 (13.8) | 6 (13.0) | 12 (14.3) | 0.845 |
| Chronic Heart Failure | 22 (16.9) | 5 (10.9) | 17 (20.2) | 0.173 |
| Premedication | ||||
| Beta-Blocker | 58 (44.6) | 23 (50.0) | 35 (41.7) | 0.361 |
| Diuretics | 56 (43.1) | 25 (54.3) | 31 (36.9) | 0.055 |
| ACEI/ARB/ARNI | 36 (27.7) | 17 (37.0) | 19 (22.6) | 0.081 |
| Statins | 33 (25.4) | 16 (34.8) | 17 (20.2) | 0.068 |
| Preoperative Echocardiography | ||||
| Aortic Valve Stenosis I° | 7 (5.4) | 3 (6.5) | 4 (4.8) | 0.671 |
| Aortic Valve Stenosis II° | 6 (4.6) | 4 (8.7) | 2 (2.4) | 0.101 |
| Aortic Valve Stenosis III° | 5 (3.8) | 1 (2.2) | 4 (4.8) | 0.463 |
| Aortic Valve Insufficiency I° | 27 (20.8) | 9 (19.5) | 18 (21.4) | 0.802 |
| Aortic Valve Insufficiency II° | 21 (16.2) | 8 (17.4) | 13 (15.5) | 0.777 |
| Aortic Valve Insufficiency III° | 29 (22.3) | 8 (17.4) | 21 (25.0) | 0.319 |
| Mitral Valve Stenosis I° | 4 (3.1) | 2 (4.3) | 2 (4.3) | 0.826 |
| Mitral Valve Stenosis II° | 1 (0.8) | 1 (2.2) | 0 (0.0) | 0.638 |
| Mitral Valve Stenosis III° | 0 (0.0) | 0 (0.0) | 0 (0.0) | - |
| Mitral Valve Insufficiency I° | 55 (42.3) | 19 (41.3) | 36 (42.9) | 0.826 |
| Mitral Valve Insufficiency II° | 30 (23.1) | 14 (30.4) | 16 (19.0) | 0.864 |
| Mitral Valve Insufficiency III° | 32 (24.6) | 9 (19.6) | 23 (27.4) | 0.323 |
| Pulmonary Valve Stenosis | 0 (0.0) | 0 (0.0) | 0 (0.0) | - |
| Pulmonary Valve Insufficiency I° | 26 (20.0) | 11 (23.9) | 15 (17.8) | 0.409 |
| Pulmonary Valve Insufficiency II° | 0 (0.0) | 0 (0.0) | 0 (0.0) | - |
| Pulmonary Valve Insufficiency III° | 2 (1.5) | 1 (2.2) | 1 (1.2) | 0.663 |
| Tricuspid Valve Stenosis | 0 (0.0) | 0 (0.0) | 0 (0.0) | - |
| Tricuspid Valve Insufficiency I° | 64 (49.2) | 15 (50.0) | 41 (48.8) | 0.897 |
| Tricuspid Valve Insufficiency II° | 12 (9.2) | 5 (10.9) | 7 (8.3) | 0.633 |
| Tricuspid Valve Insufficiency III° | 6 (4.6) | 3 (6.5) | 3 (3.6) | 0.443 |
| Preoperative Antimicrobial Therapy | ||||
| Beta-Lactam (Penicillins) | 69 (53.1) | 31 (67.4) | 38 (45.2) | 0.016 |
| Beta-Lactam (Cephalosporins) | 59 (45.4) | 20 (43.5) | 39 (46.4) | 0.747 |
| Beta-Lactam (Carbapenems) | 2 (1.5) | 1 (2.2) | 1 (1.2) | 0.663 |
| Ansamycine | 21 (16.2) | 12 (26.1) | 9 (10.7) | 0.023 |
| Glycopeptide | 15 (11.5) | 5 (10.9) | 10 (11.9) | 0.860 |
| Aminoglycoside | 10 (7.7) | 3 (6.5) | 7 (8.3) | 0.711 |
| Lipopeptide | 5 (3.8) | 1 (2.2) | 4 (4.8) | 0.463 |
| Lincosamide | 3 (2.3) | 1 (2.2) | 2 (2.4) | 0.940 |
| Phosphonic Antibiotics | 2 (1.5) | 0 (0.0) | 2 (2.4) | 0.292 |
| Oxazolidinone | 1 (0.8) | 1 (2.2) | 0 (0.0) | 0.175 |
| Tetracycline | 1 (0.8) | 0 (0.0) | 1 (1.2) | 0.458 |
| Preoperative Conditions | ||||
| Elective Surgery | 9 (6.9) | 2 (4.3) | 7 (8.3) | 0.392 |
| Urgent Surgery | 97 (74.6) | 35 (76.1) | 62 (73.8) | 0.775 |
| Emergency Surgery | 24 (18.5) | 9 (19.6) | 15 (17.9) | 0.810 |
| Prosthetic Valve Endocarditis | 35 (26.9) | 16 (34.8) | 19 (22.6) | 0.135 |
| Cardiogenic shock | 1 (0.8) | 1 (2.2) | 0 (0.0) | 0.175 |
| Intraoperative Conditions | ||||
| Endocarditis of One Heart Valve | 111 (85.4) | 38 (82.6) | 73 (86.9) | 0.507 |
| Endocarditis of Two Heart Valves | 19 (14.6) | 8 (17.4) | 11 (13.1) | 0.525 |
| Endocarditis of Three Heart Valves | 0 (0.0) | 0 (0.0) | 0 (0.0) | - |
| One Surgically Repaired Heart Valve | 79 (60.8) | 23 (50.0) | 54 (66.7) | 0.063 |
| Two Surgical Repaired Heart Valves | 43 (33.1) | 18 (39.1) | 25 (29.8) | 0.278 |
| Three Surgical Repaired Heart Valves | 8 (6.2) | 5 (10.9) | 3 (3.6) | 0.098 |
| Additional aortocoronary bypass | 11 (8.5) | 5 (10.9) | 6 (7.1) | 0.465 |
| Cardioplegia | 124 (95.4) | 44 (95.7) | 80 (95.2) | 0.914 |
| Blood Products | 94 (72.3) | 40 (87.0) | 54 (64.3) | 0.006 |
| Postoperative Conditions | ||||
| ECMO | 5 (3.8) | 3 (6.5) | 2 (2.4) | 0.240 |
| Bleeding/Tamponade | 15 (11.5) | 6 (13.0) | 9 (10.7) | 0.691 |
| Stroke | 4 (3.1) | 2 (4.3) | 2 (2.4) | 0.535 |
| Valvular Complications | 1 (0.8) | 1 (0.8) | 0 (0.0) | 0.175 |
| Complicated Pneumonia | 5 (3.8) | 4 (8.7) | 1 (1.2) | 0.033 |
| Wound Healing Disorder | 6 (4.6) | 4 (8.7) | 2 (2.4) | 0.101 |
| Third-Degree Atrioventricular Block | 15 (11.5) | 4 (8.7) | 11 (13.1) | 0.453 |
| Sepsis | 2 (1.5) | 0 (0.0) | 2 (2.4) | 0.292 |
| Tracheostomy | 4 (3.1) | 2 (4.3) | 2 (2.4) | 0.535 |
| In-Hospital Death | 21 (16.2) | 15 (32.6) | 6 (7.1) | <0.001 |
| Mean ± SD | ||||
| Age (years) | 61.9 ± 14.4 | 65.7 ± 12.2 | 59.8 ± 15.1 | 0.023 |
| Height (cm) | 172.9 ± 7.8 | 171.9 ± 7.4 | 173.5 ± 8.0 | 0.265 |
| Weight (kg) | 79.4 ± 15.6 | 82.2 ± 15.5 | 77.9 ± 15.5 | 0.135 |
| BMI (kg/m2) | 26.5 ± 4.5 | 27.8 ± 4.6 | 25.8 ± 4.3 | 0.016 |
| BSA (m2) | 1.9 ± 0.2 | 1.9 ± 0.2 | 1.9 ± 0.2 | 0.403 |
| ACEF 2 Score | 3.1 ± 1.6 | 3.3 ± 1.5 | 3.0 ± 1.6 | 0.300 |
| EuroScore II | 10.4 ± 10.2 | 13.4 ± 9.6 | 8.8 ± 10.3 | 0.013 |
| Days from Admission to Surgery (d) | 4.0 ± 5.8 | 3.7 ± 5.9 | 4.2 ± 5.8 | 0.633 |
| Surgery Time (min) | 271.8 ± 114.8 | 316.4 ± 117.0 | 247.3 ± 106.6 | 0.001 |
| Clamping Time (min) | 104.0 ± 53.9 | 125.6 ± 58.9 | 92.1 ± 47.3 | 0.001 |
| Perfusion Time (min) | 158.4 ± 86.2 | 194.0 ± 96.5 | 138.9 ± 73.6 | <0.001 |
| Hospitalization Days (d) | 20.6 ± 20.3 | 23.7 ± 22.6 | 19.0 ± 18.9 | 0.208 |
| Postoperative Days (d) | 24.5 ± 21.7 | 27.2 ± 24.8 | 23.1 ± 19.9 | 0.302 |
| Ventilation Period (h) | 55.5 ± 87.7 | 91.7 ± 99.9 | 35.7 ± 73.6 | 0.001 |
| ICU stay (h) | 240.8 ± 390.5 | 353.4 ± 493.8 | 179.1 ± 306.5 | 0.033 |
| Red Blood Cell Concentrates (No.) | 1.9 ± 2.7 | 2.2 ± 1.8 | 1.7 ± 3.1 | 0.402 |
| Platelet Concentrate (No.) | 0.4 ± 0.8 | 0.6 ± 0.9 | 0.3 ± 0.8 | 0.060 |
| FFPs (No.) | 1.1 ± 2.1 | 1.9 ± 2.5 | 0.7 ± 1.7 | 0.004 |
| Median ± IQR | ||||
| LVEF (%) | 55.0 ± 5.0 | 55.0 ± 4.5 | 55.0 ± 5.0 | 0.746 |
| Min. Hb—intraop. (g/dL) | 7.5 ± 1.0 | 7.4 ± 1.1 | 7.6 ± 1.3 | 0.056 |
| Min. Hb—6 h postop. (g/dL) | 9.1 ± 1.7 | 8.4 ± 1.3 | 9.5 ± 1.7 | 0.077 |
| Min. Hb—24 h postop. (g/dL) | 8.7 ± 1.5 | 7.9 ± 1.1 | 8.9 ± 1.2 | 0.075 |
| Max. Lactate—6 h postop. (mmol/L) | 2.6 ± 2.5 | 3.8 ± 3.3 | 2.3 ± 1.4 | 0.006 |
| Max. Lactate—24 h postop. (mmol/L) | 2.9 ± 2.8 | 4.6 ± 2.1 | 2.4 ± 2.2 | 0.023 |
| Max. Troponin T—24 h postop. (ng/L) | 800.0 ± 1380.5 | 1024.0 ± 3619.5 | 728.5 ± 798.3 | 0.007 |
| Max. CK-MB—24h postop (U/L) | 57.8 ± 54.8 | 91.7 ± 117.1 | 53.6 ± 28.3 | <0.001 |
| Min. MAP—intraop. (mmHg) | 47.0 ± 7.1 | 47.0 ± 7.1 | 49.0 ± 7.5 | 0.439 |
| Max. NOR—intraop. (mL/min/kg) | 0.3 ± 0.2 | 0.3 ± 0.2 | 0.3 ± 0.2 | 0.149 |
| ⌀ NOR—intraop. (mL/min/kg) | 0.2 ± 0.1 | 0.2 ± 0.2 | 0.2 ± 0.1 | 0.282 |
| Renal Excretion 1–2 h (mL) | 40.0 ± 65.0 | 30.0 ± 22.5 | 45.0 ± 103.8 | 0.001 |
| Renal Excretion 2–3 h (mL) | 40.0 ± 52.5 | 20.0 ± 30.0 | 50.0 ± 70.0 | <0.001 |
| Drainage Volume—6 h postop. (mL) | 230.0 ± 285.0 | 350.0 ± 215.0 | 150.0 ± 145.0 | <0.001 |
| Drainage Volume—12 h postop. (mL) | 270.0 ± 350.0 | 350.0 ± 287.5 | 150.0 ± 312.5 | <0.001 |
| Drainage Volume—24 h postop. (mL) | 550 ± 587.5 | 800.0 ± 512.5 | 400 ± 548.8 | 0.008 |
| Fluide Volume—intraop. (L) | 3.2 ± 1.6 | 3.2 ± 1.6 | 3.2 ± 1.6 | 0.134 |
| Total | AKI− | AKI+ | p-Value | |
|---|---|---|---|---|
| Median ± IQR | ||||
| Creatinine D-1 (mg/dL) | 1.1 ± 0.7 | 1.1 ± 0.6 | 1.2 ± 0.7 | 0.003 |
| Creatinine D0 (mg/dL) | 1.4 ± 0.8 | 1.2 ± 0.7 | 1.5 ± 0.9 | <0.001 |
| Creatinine D1 (mg/dL) | 1.5 ± 0.8 | 1.2 ± 0.6 | 1.6 ± 0.9 | <0.001 |
| Creatinine D2 (mg/dL) | 1.6 ± 1.0 | 1.3 ± 0.7 | 2.2 ± 1.0 | <0.001 |
| Creatinine D3 (mg/dL) | 1.5 ± 1.0 | 1.1 ± 0.7 | 1.8 ± 1.0 | <0.001 |
| Creatinine D4 (mg/dL) | 1.3 ± 0.9 | 1.0 ± 0.7 | 1.5 ± 1.0 | <0.001 |
| Creatinine D5 (mg/dL) | 1.2 ± 0.7 | 1.0 ± 0.7 | 1.3 ± 0.9 | <0.001 |
| Creatinine D6 (mg/dL) | 1.2 ± 1.0 | 1.0 ± 0.7 | 1.4 ± 1.2 | <0.001 |
| Creatinine D7 (mg/dL) | 1.3 ± 0.8 | 1.1 ± 0.7 | 1.3 ± 1.6 | 0.003 |
| AKI Binary Logistic Regression | Univariate | Multivariable | ||
|---|---|---|---|---|
| Hazard Ratio (95% CI) | p-Value | Hazard Ratio (95% CI) | p-Value | |
| Age | 1.601 (1.057–2.423) | 0.026 | 0.656 (0.062–6.982) | 0.727 |
| BMI | 1.572 (1.079–2.291) | 0.019 | 2.035 (0.579–7.149) | 0.268 |
| EuroScore II | 1.564 (1.080–2.265) | 0.018 | 1.329 (0.636–2.775) | 0.449 |
| Renal Excretion 0–1 h (postoperative) | 0.331 (0.117–0.942) | 0.038 | 0.445 (0.073–2.703) | 0.379 |
| Renal Excretion 2–3 h (postoperative) | 0.324 (0.141–0.744) | 0.008 | 0.003 (0.000–0.275) | 0.012 |
| Hb minimal (intraoperative) | 0.437 (0.212–0.900) | 0.025 | 0.203 (0.044–0.926) | 0.039 |
| Surgery Time | 1.873 (1.268–2.766) | 0.002 | 0.225 (0.007–7.564) | 0.405 |
| Clamping Time | 1.964 (1.292–2.985) | 0.002 | 0.220 (0.019–2.499) | 0.222 |
| Perfusion Time | 2.003 (1.316–3.048) | 0.001 | 1.260 (0.447–3.552) | 0.662 |
| Ventilation Time | 1.954 (1.285–2.972) | 0.002 | 3.096 (0.118–81.191) | 0.498 |
| Intensive Care Unit Time | 1.660 (1.036–2.660) | 0.035 | 0.421 (0.023–7.817) | 0.561 |
| Blood Products (intraoperative) | 3.704 (1.408–9.743) | 0.008 | 0.094 (0.006–1.524) | 0.096 |
| FFP (intraoperative) | 1.795 (1.232–2.616) | 0.002 | 2.388 (0.945–6.030) | 0.066 |
| Lactate maximum (6 h postoperative) | 1.607 (1.058–2.441) | 0.026 | 00.461 (0.158–1.344) | 0.156 |
| Troponin T maximum (24 h postoperative) | 2.722 (1.381–5.365) | 0.004 | 1.193 (0.050–28.343) | 0.913 |
| CK-MB maximum (24 h postoperative) | 5.483 (1.965–15.300) | 0.001 | 10.671 (1.733–65.723) | 0.011 |
| Quantity of Surgically Treated Heart Valves | 1.885 (1.045–3.400) | 0.035 | 0.629 (0.045–8.755) | 0.730 |
Disclaimer/Publisher’s Note: The statements, opinions and data contained in all publications are solely those of the individual author(s) and contributor(s) and not of MDPI and/or the editor(s). MDPI and/or the editor(s) disclaim responsibility for any injury to people or property resulting from any ideas, methods, instructions or products referred to in the content. |
© 2024 by the authors. Licensee MDPI, Basel, Switzerland. This article is an open access article distributed under the terms and conditions of the Creative Commons Attribution (CC BY) license (https://creativecommons.org/licenses/by/4.0/).
Share and Cite
Dinges, C.; Dienhart, C.; Gansterer, K.; Rodemund, N.; Rezar, R.; Steindl, J.; Huttegger, R.; Kirnbauer, M.; Kalisnik, J.M.; Kokoefer, A.S.; et al. Beyond the Valve: Incidence, Outcomes, and Modifiable Factors of Acute Kidney Injury in Patients with Infective Endocarditis Undergoing Valve Surgery—A Retrospective, Single-Center Study. J. Clin. Med. 2024, 13, 4450. https://doi.org/10.3390/jcm13154450
Dinges C, Dienhart C, Gansterer K, Rodemund N, Rezar R, Steindl J, Huttegger R, Kirnbauer M, Kalisnik JM, Kokoefer AS, et al. Beyond the Valve: Incidence, Outcomes, and Modifiable Factors of Acute Kidney Injury in Patients with Infective Endocarditis Undergoing Valve Surgery—A Retrospective, Single-Center Study. Journal of Clinical Medicine. 2024; 13(15):4450. https://doi.org/10.3390/jcm13154450
Chicago/Turabian StyleDinges, Christian, Christiane Dienhart, Katja Gansterer, Niklas Rodemund, Richard Rezar, Johannes Steindl, Raphael Huttegger, Michael Kirnbauer, Jurij M. Kalisnik, Andreas S. Kokoefer, and et al. 2024. "Beyond the Valve: Incidence, Outcomes, and Modifiable Factors of Acute Kidney Injury in Patients with Infective Endocarditis Undergoing Valve Surgery—A Retrospective, Single-Center Study" Journal of Clinical Medicine 13, no. 15: 4450. https://doi.org/10.3390/jcm13154450
APA StyleDinges, C., Dienhart, C., Gansterer, K., Rodemund, N., Rezar, R., Steindl, J., Huttegger, R., Kirnbauer, M., Kalisnik, J. M., Kokoefer, A. S., Demirel, O., Seitelberger, R., Hoppe, U. C., & Boxhammer, E. (2024). Beyond the Valve: Incidence, Outcomes, and Modifiable Factors of Acute Kidney Injury in Patients with Infective Endocarditis Undergoing Valve Surgery—A Retrospective, Single-Center Study. Journal of Clinical Medicine, 13(15), 4450. https://doi.org/10.3390/jcm13154450

