The Diagnostic Accuracy of Procalcitonin and Its Combination with Other Biomarkers for Candidemia in Critically Ill Patients
Abstract
1. Introduction
2. Methods
2.1. Data Collection
2.2. Laboratory Methods
2.3. Microbiological Methods
2.4. Definitions
2.5. Statistical Analysis
3. Results
3.1. Patient Characteristics
3.2. Multivariable Logistic Regression Model
3.3. Diagnostic Characteristics of PCT, CRP, and NLR for Candida BSI
4. Discussion
Author Contributions
Funding
Institutional Review Board Statement
Informed Consent Statement
Data Availability Statement
Conflicts of Interest
Abbreviations
| APACHE | Acute Physiology and Chronic Health Evaluation |
| BSI | Bloodstream infection |
| CI | Confidence interval |
| CRP | C-reactive protein |
| ICU | Intensive care unit |
| IQR | Interquartile range |
| LOS | Length of stay |
| LR− | Negative likelihood ratio |
| LR+ | Positive likelihood ratio |
| NLR | Neutrophil to lymphocyte count ratio |
| NPV | Negative predictive value |
| OR | Odds ratio |
| PCT | Procalcitonin |
| PPV | Positive predictive value |
| ROC-AUC | Receiver operating characteristic-area under the curve |
| WBC | White blood cells |
References
- Timsit, J.-F.; Ruppé, E.; Barbier, F.; Tabah, A.; Bassetti, M. Bloodstream infections in critically ill patients: An expert statement. Intensive Care Med. 2020, 46, 266–284. [Google Scholar] [CrossRef] [PubMed]
- Adrie, C.; Garrouste-Orgeas, M.; Essaied, W.I.; Schwebel, C.; Darmon, M.; Mourvillier, B.; Ruckly, S.; Dumenil, A.-S.; Kallel, H.; Argaud, L.; et al. Attributable mortality of ICU-acquired bloodstream infections: Impact of the source, causative micro-organism, resistance profile and antimicrobial therapy. J. Infect. 2017, 74, 131–141. [Google Scholar] [CrossRef] [PubMed]
- Delaloye, J.; Calandra, T. Invasive candidiasis as a cause of sepsis in the critically ill patient. Virulence 2014, 5, 161–169. [Google Scholar] [CrossRef] [PubMed]
- Routsi, C.; Meletiadis, J.; Charitidou, E.; Gkoufa, A.; Kokkoris, S.; Karageorgiou, S. Epidemiology of Candidemia and Fluconazole Resistance in an ICU before and during the COVID-19 Pandemic Era. Antibiotics 2022, 11, 771. [Google Scholar] [CrossRef] [PubMed]
- Lortholary, O.; Renaudat, C.; Sitbon, K.; Madec, Y.; Denoeud-Ndam, L.; Wolff, M. Worrisome trends in incidence and mortality of candidemia in intensive care units (Paris area, 2002–2010). Intensive Care Med. 2014, 40, 1303–1312. [Google Scholar] [CrossRef] [PubMed]
- Goemaere, B.; Becker, P.; Van Wijngaerden, E.; Maertens, J.; Spriet, I.; Hendrickx, M. Increasing candidaemia incidence from 2004 to 2015 with a shift in epidemiology in patients preexposed to antifungals. Mycoses 2018, 61, 127–133. [Google Scholar] [CrossRef] [PubMed]
- Evans, L.; Rhodes, A.; Alhazzani, W.; Antonelli, M.; Coopersmith, C.M.; French, C. Surviving sepsis campaign: International guidelines for management of sepsis and septic shock 2021. Intensive Care Med. 2021, 47, 1181–1247. [Google Scholar] [CrossRef] [PubMed]
- Ibrahim, E.H.; Sherman, G.; Ward, S.; Fraser, V.J.; Kollef, M.H. The influence of inadequate antimicrobial treatment of bloodstream infections on patient outcomes in the ICU setting. Chest 2000, 118, 146–155. [Google Scholar] [CrossRef] [PubMed]
- Zaragoza, R.; Artero, A.; Camarena, J.J.; Sancho, S.; González, R.; Nogueira, J.M. The influence of inadequate empirical antimicrobial treatment on patients with bloodstream infections in an intensive care unit. Clin. Microbiol. Infect. 2003, 9, 412–418. [Google Scholar] [CrossRef] [PubMed]
- Morrell, M.; Fraser, V.J.; Kollef, M.H. Delaying the empiric treatment of candida bloodstream infection until positive blood culture results are obtained: A potential risk factor for hospital mortality. Antimicrob. Agents Chemother. 2005, 49, 3640–3645. [Google Scholar] [CrossRef]
- Singer, M.; Deutschman, C.S.; Seymour, C.W.; Shankar-Hari, M.; Annane, D.; Bauer, M. The Third International Consensus Definitions for Sepsis and Septic Shock (Sepsis-3). JAMA 2016, 315, 801–810. [Google Scholar] [CrossRef] [PubMed]
- Terradas, R.; Grau, S.; Blanch, J.; Riu, M.; Saballs, P.; Castells, X. Eosinophil count and neutrophil-lymphocyte count ratio as prognostic markers in patients with bacteremia: A retrospective cohort study. PLoS ONE 2012, 7, e42860. [Google Scholar] [CrossRef] [PubMed]
- Liu, X.; Shen, Y.; Wang, H.; Ge, Q.; Fei, A.; Pan, S. Prognostic Significance of Neutrophil-to-Lymphocyte Ratio in Patients with Sepsis: A Prospective Observational Study. Mediat. Inflamm. 2016, 2016, 8191254. [Google Scholar] [CrossRef] [PubMed]
- Tan, M.; Lu, Y.; Jiang, H.; Zhang, L. The diagnostic accuracy of procalcitonin and C-reactive protein for sepsis: A systematic review and meta-analysis. J. Cell Biochem. 2019, 120, 5852–5859. [Google Scholar] [CrossRef] [PubMed]
- Assicot, M.; Gendrel, D.; Carsin, H.; Raymond, J.; Guilbaud, J.; Bohuon, C. High serum procalcitonin concentrations in patients with sepsis and infection. Lancet 1993, 341, 515–518. [Google Scholar] [CrossRef] [PubMed]
- Reinhart, K.; Karzai, W.; Meisner, M. Procalcitonin as a marker of the systemic inflammatory response to infection. Intensive Care Med. 2000, 26, 1193–1200. [Google Scholar] [CrossRef] [PubMed]
- Petrikkos, G.L.; Christofilopoulou, S.A.; Tentolouris, N.K.; Charvalos, E.A.; Kosmidis, C.J.; Daikos, G.L. Value of measuring serum procalcitonin, C-reactive protein, and mannan antigens to distinguish fungal from bacterial infections. Eur. J. Clin. Microbiol. Infect. Dis. 2005, 24, 272–275. [Google Scholar] [CrossRef] [PubMed]
- Pieralli, F.; Corbo, L.; Torrigiani, A.; Mannini, D.; Antonielli, E.; Mancini, A. Usefulness of procalcitonin in differentiating Candida and bacterial blood stream infections in critically ill septic patients outside the intensive care unit. Intern. Emerg. Med. 2017, 12, 629–635. [Google Scholar] [CrossRef] [PubMed]
- Murri, R.; Mastrorosa, I.; Taccari, F.; Baroni, S.; Giovannenze, F.; Palazzolo, C. Procalcitonin is useful in driving the choice of early antibiotic treatment in patients with bloodstream infections. Eur. Rev. Med. Pharmacol. Sci. 2018, 22, 3130–3137. [Google Scholar]
- Cortegiani, A.; Russotto, V.; Montalto, F.; Foresta, G.; Accurso, G.; Palmeri, C.; Raineri, S.M.; Giarratano, A. Procalcitonin as a marker of candida species detection by blood culture and polymerase chain reaction in septic patients. BMC Anesthesiol. 2014, 14, 9. [Google Scholar] [CrossRef]
- Thomas-Rüddel, D.O.; Poidinger, B.; Kott, M.; Weiss, M.; Reinhart, K.; Bloos, F. MEDUSA study group. Influence of pathogen and focus of infection on procalcitonin values in sepsis patients with bacteremia or candidemia. Crit. Care 2018, 22, 128. [Google Scholar] [CrossRef] [PubMed]
- Fu, Y.; Chen, J.; Cai, B.; Zhang, J.; Li, L.; Liu, C.; Kang, Y.; Wang, L. The use of PCT, CRP, IL-6 and SAA in critically ill patients for an early distinction between candidemia and Gram positive/negative bacteremia. J. Infect. 2012, 64, 438–440. [Google Scholar] [CrossRef] [PubMed]
- Charles, P.E.; Ladoire, S.; Aho, S.; Quenot, J.P.; Doise, J.M.; Prin, S. Serum procalcitonin measurement contribution to the early diagnosis of candidemia in critically ill patients. Intensive Care Med. 2006, 32, 1577–1583A. [Google Scholar] [CrossRef] [PubMed]
- Martini, A.; Gottin, L.; Menestrina, N.; Schweiger, V.; Simion, D.; Vincent, J.L. Procalcitonin levels in surgical patients at risk of candidemia. J. Infect. 2010, 60, 425–430. [Google Scholar] [CrossRef] [PubMed]
- Bassetti, M.; Russo, A.; Righi, E.; Dolso, E.; Merelli, M.; Cannarsa, N. Comparison between procalcitonin and C-reactive protein to predict blood culture results in ICU patients. Crit. Care. 2018, 22, 252. [Google Scholar] [CrossRef] [PubMed]
- Marik, P.E.; Stephenson, E. The ability of Procalcitonin, lactate, white blood cell count and neutrophil-lymphocyte count ratio to predict blood stream infection. Analysis of a large database. J. Crit. Care 2020, 60, 135–139. [Google Scholar] [CrossRef] [PubMed]
- Oussalah, A.; Ferrand, J.; Filhine-Tresarrieu, P.; Aissa, N.; Aimone-Gastin, I.; Namour, F. Diagnostic accuracy of procalcitonin for predicting blood culture results in patients with suspected bloodstream infection: An observational study of 35,343 consecutive patients (A STROBE-Compliant Article). Medicine 2015, 94, e1774. [Google Scholar] [CrossRef] [PubMed]
- Yazdani, M.R.; Khorvash, F.; Hakamifard, A. Serum Procalcitonin Levels of Patients with Candidemia Hospitalized in Intensive Care Units. J. Med. Sci. 2018, 38, 113–116. [Google Scholar]
- Cortegiani, A.; Misseri, G.; Ippolito, M.; Bassetti, M.; Giarratano, A.; Martin-Loeches, I. Procalcitonin levels in candidemia versus bacteremia: A systematic review. Crit. Care 2019, 23, 190. [Google Scholar] [CrossRef]
- Knaus, W.A.; Draper, E.A.; Wagner, D.P.; Zimmerman, J.E. APACHE II: A severity of disease classification system. Crit. Care Med. 1985, 13, 818–829. [Google Scholar] [CrossRef]
- Vincent, J.L.; de Mendonça, A.; Cantraine, F.; Moreno, R.; Takala, J.; Suter, P.M. Use of the SOFA score to assess the incidence of organ dysfunction/failure in intensive care units: Results of a multicenter, prospective study. Crit. Care Med. 1998, 26, 1793–1800. [Google Scholar] [CrossRef] [PubMed]
- Giacobbe, D.R.; Mikulska, M.; Tumbarello, M.; Furfaro, E.; Spadaro, M.; Losito, A.R.; Mesini, A.; De Pascale, G.; Marchese, A.; Bruzzone, M.; et al. Combined use of serum (1,3)-β-D-glucan and procalcitonin for the early differential diagnosis between candidaemia and bacteraemia in intensive care units. Crit. Care 2017, 21, 176. [Google Scholar] [CrossRef] [PubMed]
- Routsi, C.; Gkoufa, A.; Arvaniti, K.; Kokkoris, S.; Tourtoglou, A.; Theodorou, V.; Vemvetsou, A.; Kassianidis, G.; Amerikanou, A.; Paramythiotou, E.; et al. De-escalation of antimicrobial therapy in ICU settings with high prevalence of multidrug-resistant bacteria: A multicentre prospective observational cohort study in patients with sepsis or septic shock. J. Antimicrob. Chemother. 2020, 75, 3665–3674. [Google Scholar] [CrossRef] [PubMed]
- Drăgoescu, A.N.; Pădureanu, V.; Stănculescu, A.D.; Chiuțu, L.C.; Tomescu, P.; Geormăneanu, C.; Pădureanu, R.; Iovănescu, V.F.; Ungureanu, B.S.; Pănuș, A.; et al. Neutrophil to Lymphocyte Ratio (NLR)-A Useful Tool for the Prognosis of Sepsis in the ICU. Biomedicines 2021, 10, 75. [Google Scholar] [CrossRef] [PubMed]
- Matwiyoff, G.N.; Prahl, J.D.; Miller, R.J.; Carmichael, J.J.; Amundson, D.E.; Seda, G.; Daheshia, M. Immune regulation of procalcitonin: A biomarker and mediator of infection. Inflamm. Res. 2012, 61, 401–409. [Google Scholar] [CrossRef] [PubMed]
- Wang, Q.; Wang, C.; Yang, M.; Li, X.; Cui, J.; Wang, C. Diagnostic efficacy of serum cytokines and chemokines in patients with candidemia and bacteremia. Cytokine 2020, 130, 155081. [Google Scholar] [CrossRef] [PubMed]
- Akin, H.; Akalin, H.; Budak, F.; Ener, B.; Ocakoğlu, G.; Gürcüoğlu, E.; Göral, G.; Oral, H.B. Alterations of serum cytokine levels and their relation with inflammatory markers in candidemia. Med. Mycol. 2015, 53, 258–268. [Google Scholar] [CrossRef][Green Version]
- Nijsten, M.W.N.; Olinga, P.; de Vries, E.G.E.; Schraffordt Koops, H.; Groothuis, G.M.M.; Limburg, P.C.; ten Duis, H.J.; Moshage, H.; Hoekstra, H.J.; Bijzet, J.; et al. Procalcitonin behaves as a fast responding acute phase protein in vivo and in vitro. Crit. Care Med. 2000, 28, 458–461. [Google Scholar] [CrossRef]


| All Patients (n = 63) | Bacteremia (n = 32) | Candidemia (n = 31) | p- Value | ||||
|---|---|---|---|---|---|---|---|
| Age, years | 60 | (41–74) | 60 | (44–66) | 63 | (39–75) | 0.62 |
| Sex (male), n (%) | 41 | (66) | 21 | (68) | 20 | (64) | 0.78 |
| Admission category | 0.26 | ||||||
| Surgical, n (%) | 28 | (44) | 12 | (37) | 16 | (52) | |
| Medical, n (%) | 35 | (56) | 20 | (62) | 15 | (48) | |
| Outcomes | |||||||
| ICU mortality, n (%) | 22 | (35) | 14 | (44) | 8 | (26) | 0.32 |
| ICU-LOS, days | 42 | (26–58) | 43 | (24–57) | 35 | (26–82) | 0.77 |
| Severity scores | |||||||
| SOFA on admission | 10 | (5–11) | 9 | (5–11) | 10 | (6–12) | 0.66 |
| APACHE II on admission | 20 | (15–23) | 20 | (15–24) | 19 | (15–22) | 0.59 |
| SOFA on BSI day | 8 | (5–11) | 10 | (6–12) | 6 | (4–10) | 0.08 |
| BSI day since admission, days | 24 | (10–42) | 14 | (5–29) | 24 | (15–42) | 0.16 |
| Laboratory tests on BSI day | |||||||
| WBCs, ×109/l | 11.79 | (8.47–18.38) | 17.09 | (10.86–22.83) | 8.93 | (6.77–12.82) | <0.001 |
| Lymphocytes, ×109/l | 1.41 | (0.94–1.84) | 1.47 | (1.01–1.94) | 1.38 | (0.88–1.77) | 0.42 |
| PMN, ×109/l | 8.56 | (5.96–15.57) | 13.08 | 98.10–19.13) | 6.30 | (5.71–10.05) | 0.001 |
| NLR | 7.06 | (4.56–13.34) | 9.79 | (5.29–16.26) | 6.04 | (3.71–8.58) | 0.015 |
| CRP, mg/dl | 10.7 | (4.3–20.9) | 19.0 | (10.7–24.7) | 6.3 | (2.4–11.8) | <0.001 |
| PCT, ng/mL | 0.62 | (0.24–2.85) | 1.73 | (0.51–6.91) | 0.29 | (0.14–0.69) | <0.001 |
| n | % | |
|---|---|---|
| Candidemia species | ||
| Candida parapsilosis | 13 | 20.6 |
| Candida albicans | 8 | 12.7 |
| Candida glabrata | 3 | 4.8 |
| Candida tropicalis | 1 | 1.6 |
| Candida luzitanea | 1 | 1.6 |
| Candida crusei | 1 | 1.6 |
| Bacteremia species | ||
| Klebsiella pneumoniae | 11 | 17.5 |
| Acinetobacter baumanni | 5 | 7.9 |
| Pseudomonas aeruginosa | 5 | 7.9 |
| Providencia stuartii | 5 | 7.9 |
| Other bacteria/fungi | 9 | 14 |
| Variable | B Coefficient | p-Value | OR | 95%CI |
|---|---|---|---|---|
| Log[PCT] | −1.879 | 0.006 | 0.153 | 0.040–0.580 |
| Log[CRP] | −1.190 | 0.205 | 0.304 | 0.048–1.914 |
| LogNLR | −1.881 | 0.097 | 0.152 | 0.016–1.408 |
| Cut-Off Value * | PCT = 0.34 ng/mL | CRP = 9.75 mg/dl | NLR = 12.67 | Model’s Predicted Probability = 0.40 |
|---|---|---|---|---|
| Sensitivity | 0.58 [0.41–0.73] | 0.71 [0.53–0.84] | 0.92 [0.77–0.98] | 0.93 [0.77–0.98] |
| Specificity | 0.91 [0.76–0.97] | 0.84 [0.68–0.93] | 0.41 [0.26–0.59] | 0.77 [0.60–0.88] |
| PPV | 0.86 [0.65–0.95] | 0.81 [0.63–0.92] | 0.59 [0.44–0.72] | 0.79 [0.62–0.89] |
| NPV | 0.69 [0.54–0.81] | 0.75 [0.59–0.86] | 0.86 [0.62–0.96] | 0.92 [0.76–0.98] |
| LR+ | 6.18 [2.02–18.94] | 4.55 [1.97–10.48] | 1.60 [1.16–2.19] | 4.11 [2.12–7.95] |
| LR− | 0.46 [0.30–0.71] | 0.34 [0.19–0.61] | 0.17 [0.04–0.69] | 0.09 [0.02–0.35] |
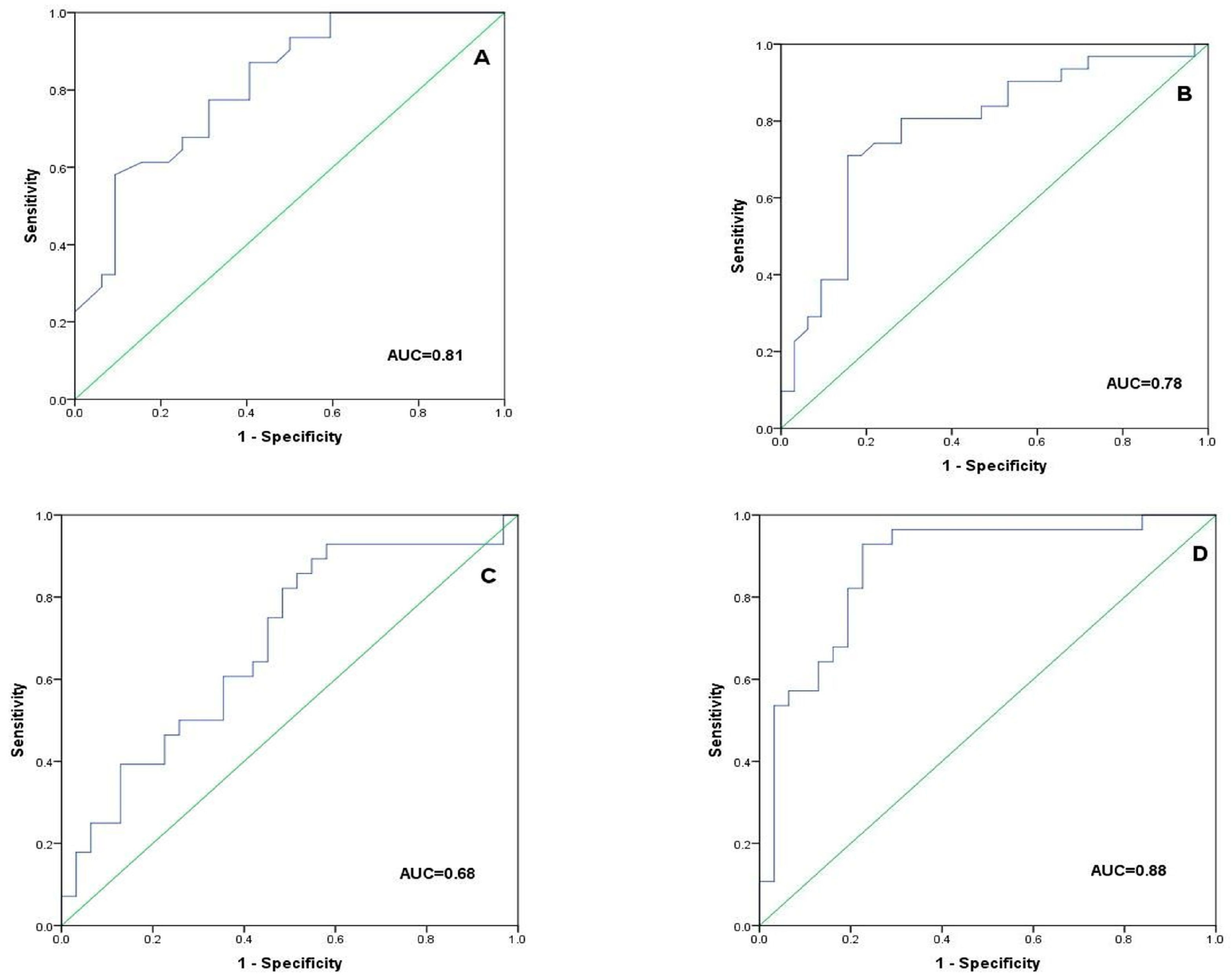
| ROC-AUC | 0.81 [0.71–0.92] # | 0.78 [0.67–0.90] # | 0.68 [0.55–0.82] $ | 0.88 [0.78–0.97 ] # |
Disclaimer/Publisher’s Note: The statements, opinions and data contained in all publications are solely those of the individual author(s) and contributor(s) and not of MDPI and/or the editor(s). MDPI and/or the editor(s) disclaim responsibility for any injury to people or property resulting from any ideas, methods, instructions or products referred to in the content. |
© 2024 by the authors. Licensee MDPI, Basel, Switzerland. This article is an open access article distributed under the terms and conditions of the Creative Commons Attribution (CC BY) license (https://creativecommons.org/licenses/by/4.0/).
Share and Cite
Kokkoris, S.; Angelopoulos, E.; Gkoufa, A.; Christodouli, F.; Ntaidou, T.; Theodorou, E.; Dimopoulou, G.; Vasileiadis, I.; Kremmydas, P.; Routsi, C. The Diagnostic Accuracy of Procalcitonin and Its Combination with Other Biomarkers for Candidemia in Critically Ill Patients. J. Clin. Med. 2024, 13, 3557. https://doi.org/10.3390/jcm13123557
Kokkoris S, Angelopoulos E, Gkoufa A, Christodouli F, Ntaidou T, Theodorou E, Dimopoulou G, Vasileiadis I, Kremmydas P, Routsi C. The Diagnostic Accuracy of Procalcitonin and Its Combination with Other Biomarkers for Candidemia in Critically Ill Patients. Journal of Clinical Medicine. 2024; 13(12):3557. https://doi.org/10.3390/jcm13123557
Chicago/Turabian StyleKokkoris, Stelios, Epameinondas Angelopoulos, Aikaterini Gkoufa, Foteini Christodouli, Theodora Ntaidou, Evangelia Theodorou, Georgia Dimopoulou, Ioannis Vasileiadis, Panagiotis Kremmydas, and Christina Routsi. 2024. "The Diagnostic Accuracy of Procalcitonin and Its Combination with Other Biomarkers for Candidemia in Critically Ill Patients" Journal of Clinical Medicine 13, no. 12: 3557. https://doi.org/10.3390/jcm13123557
APA StyleKokkoris, S., Angelopoulos, E., Gkoufa, A., Christodouli, F., Ntaidou, T., Theodorou, E., Dimopoulou, G., Vasileiadis, I., Kremmydas, P., & Routsi, C. (2024). The Diagnostic Accuracy of Procalcitonin and Its Combination with Other Biomarkers for Candidemia in Critically Ill Patients. Journal of Clinical Medicine, 13(12), 3557. https://doi.org/10.3390/jcm13123557

