Physiological Changes in QRS Fragmentation in Athletes and Nonathletes without Cardiac Disease
Abstract
1. Introduction
2. Materials and Methods
2.1. Sample
2.2. Data Collection
2.2.1. Electrocardiography
2.2.2. Echocardiography
2.2.3. Exercise Testing
2.3. Statistical Analysis
3. Results
3.1. Characterization of QRS Fragmentation on Resting Electrocardiogram
3.2. The Impact of Deep Inspiration on QRS Fragmentation
3.3. The Influence on QRS Fragmentation by the Change in Posture from Supine to Standing
3.4. Exercise-Related Changes in QRS Fragmentation
3.5. Serial Changes in QRS Fragmentation during Follow-Up
4. Discussion
4.1. Distribution of QRS Fragmentation in the Leads of Electrocardiogram
4.2. QRS Fragmentation in Athletes
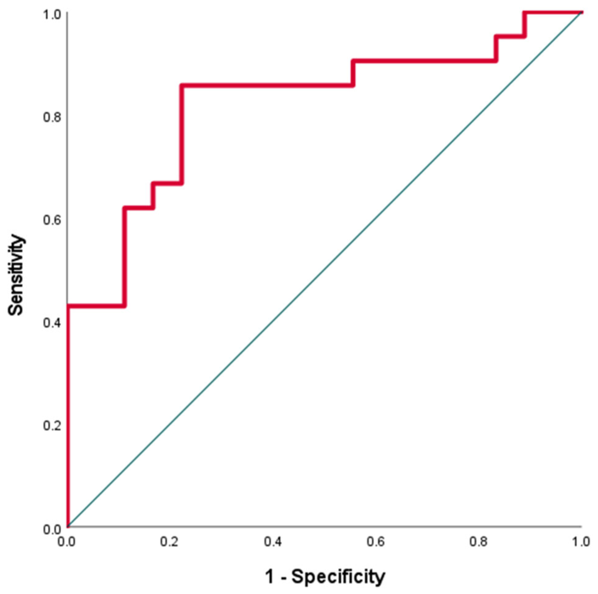
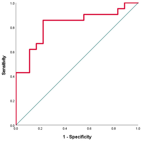
4.3. BMI Influence on QRS Fragmentation
4.4. QRS Fragmentation after Deep Inspiration
4.5. QRS Fragmentation upon Standing
4.6. Exercise-Related Changes in QRS Fragmentation
4.7. Study Strengths and Limitations
5. Conclusions
Author Contributions
Funding
Institutional Review Board Statement
Informed Consent Statement
Data Availability Statement
Conflicts of Interest
References
- Orlandi, G.; Corsi, M.; Casatori, L.; Stefani, L. Frequency of fragmented QRS in sports activity: A pilot study. J. Sports Med. Phys. Fit. 2022, 62, 1748–1753. [Google Scholar] [CrossRef] [PubMed]
- Take, Y.; Morita, H. Fragmented QRS: What Is The Meaning? Indian Pacing Electrophysiol. J. 2012, 12, 213–225. [Google Scholar] [CrossRef] [PubMed]
- Das, M.K.; Khan, B.; Jacob, S.; Kumar, A.; Mahenthiran, J. Significance of a fragmented QRS complex versus a Q wave in patients with coronary artery disease. Circulation 2006, 113, 2495–2501. [Google Scholar] [CrossRef] [PubMed]
- Boineau, J.P.; Cox, J.L. Slow ventricular activation in acute myocardial infarction. A source of re-entrant premature ventricular contractions. Circulation 1973, 48, 702–713. [Google Scholar] [CrossRef] [PubMed]
- Celikyurt, U.; Karauzum, K.; Sahin, T.; Agacdiken, A.; Vural, A.; Ural, D. Association between resolution of fragmented QRS and response to cardiac resynchronization therapy. Ann. Noninvasive Electrocardiol. 2015, 20, 126–131. [Google Scholar] [CrossRef] [PubMed]
- Terho, H.K.; Tikkanen, J.T.; Junttila, J.M.; Anttonen, O.; Kenttä, T.V.; Aro, A.L.; Kerola, T.; Rissanen, H.A.; Reunanen, A.; Huikuri, H.V. Prevalence and prognostic significance of fragmented QRS complex in middle-aged subjects with and without clinical or electrocardiographic evidence of cardiac disease. Am. J. Cardiol. 2014, 114, 141–147. [Google Scholar] [CrossRef] [PubMed]
- Haukilahti, M.A.; Eranti, A.; Kenttä, T.; Huikuri, H.V. QRS Fragmentation Patterns Representing Myocardial Scar Need to Be Separated from Benign Normal Variants: Hypotheses and Proposal for Morphology based Classification. Front. Physiol. 2016, 7, 653. [Google Scholar] [CrossRef] [PubMed]
- Sharma, S.; Drezner, J.A.; Baggish, A.; Papadakis, M.; Wilson, M.G.; Prutkin, J.M.; La Gerche, A.; Ackerman, M.J.; Borjesson, M.; Salerno, J.C.; et al. International Recommendations for Electrocardiographic Interpretation in Athletes. J. Am. Coll. Cardiol. 2017, 69, 1057–1075. [Google Scholar] [CrossRef]
- Maron, B.J.; Pelliccia, A. The heart of trained athletes: Cardiac remodeling and the risks of sports, including sudden death. Circulation 2006, 114, 1633–1644. [Google Scholar] [CrossRef]
- Christou, G.A.; Vlahos, A.P.; Christou, K.A.; Mantzoukas, S.; Drougias, C.A.; Christodoulou, D.K. Prolonged QT Interval in Athletes: Distinguishing between Pathology and Physiology. Cardiology 2022, 147, 578–586. [Google Scholar] [CrossRef]
- Ollitrault, P.; Pellissier, A.; Champ-Rigot, L.; Junqua, N.; Chequel, M.; Reboursiere, E.; Saloux, É.; Milliez, P.; Hodzic, A. Prevalence and significance of fragmented QRS complex in lead V1 on the surface electrocardiogram of healthy athletes. Europace 2020, 22, 649–656. [Google Scholar] [CrossRef] [PubMed]
- Vecchiato, M.; Quinto, G.; Borasio, N.; Palermi, S.; Berton, G.; Battista, F.; Gasperetti, A.; Ermolao, A.; Neunhaeuserer, D. The Fragmented QRS Complex in Lead V1: Time for an Update of the Athlete’s ECG? J. Cardiovasc. Transl. Res. 2024, 17, 24–32. [Google Scholar] [CrossRef] [PubMed]
- Kurisu, S.; Nitta, K.; Sumimoto, Y.; Ikenaga, H.; Ishibashi, K.; Fukuda, Y.; Kihara, Y. Effects of deep inspiration on QRS axis, T-wave axis and frontal QRS-T angle in the routine electrocardiogram. Heart Vessels 2019, 34, 1519–1523. [Google Scholar] [CrossRef]
- Reddy, V.; Sharma, S.; Cobanoglu, A. What dictates the position of the diaphragm–the heart or the liver? A review of sixty-five cases. J. Thorac. Cardiovasc. Surg. 1994, 108, 687–691. [Google Scholar] [CrossRef] [PubMed]
- Norimatsu, T.; Nakahara, T.; Yamada, Y.; Yokoyama, Y.; Yamada, M.; Narita, K.; Jinzaki, M. Anatomical cardiac and electrocardiographic axes correlate in both upright and supine positions: An upright/supine CT study. Sci. Rep. 2023, 13, 18170. [Google Scholar] [CrossRef] [PubMed]
- Goldberger, A.L.; Bhargava, V. Effect of exercise on QRS duration in healthy men: A computer ECG analysis. J. Appl. Physiol. Respir. Environ. Exerc. Physiol. 1983, 54, 1083–1088. [Google Scholar] [CrossRef]
- Christou, G.A.; Christou, M.A.; Žiberna, L.; Christou, K.A. Indirect clinical markers for the detection of anabolic steroid abuse beyond the conventional doping control in athletes. Eur. J. Sport. Sci. 2019, 19, 1276–1286. [Google Scholar] [CrossRef]
- Christou, G.A.; Deligiannis, A.P.; Kouidi, E.J. The role of cardiac computed tomography in pre-participation screening of mature athletes. Eur. J. Sport. Sci. 2022, 22, 636–649. [Google Scholar] [CrossRef]
- Lang, R.M.; Badano, L.P.; Mor-Avi, V.; Afilalo, J.; Armstrong, A.; Ernande, L.; Flachskampf, F.A.; Foster, E.; Goldstein, S.A.; Kuznetsova, T.; et al. Recommendations for cardiac chamber quantification by echocardiography in adults: An update from the American Society of Echocardiography and the European Association of Cardiovascular Imaging. J. Am. Soc. Echocardiogr. 2015, 28, 1–39.e14. [Google Scholar] [CrossRef]
- Nagueh, S.F.; Smiseth, O.A.; Appleton, C.P.; Byrd, B.F., III; Dokainish, H.; Edvardsen, T.; Flachskampf, F.A.; Gillebert, T.C.; Klein, A.L.; Lancellotti, P.; et al. Recommendations for the Evaluation of Left Ventricular Diastolic Function by Echocardiography: An Update from the American Society of Echocardiography and the European Association of Cardiovascular Imaging. J. Am. Soc. Echocardiogr. 2016, 29, 277–314. [Google Scholar] [CrossRef]
- Rudski, L.G.; Lai, W.W.; Afilalo, J.; Hua, L.; Handschumacher, M.D.; Chandrasekaran, K.; Solomon, S.D.; Louie, E.K.; Schiller, N.B. Guidelines for the echocardiographic assessment of the right heart in adults: A report from the American Society of Echocardiography endorsed by the European Association of Echocardiography, a registered branch of the European Society of Cardiology, and the Canadian Society of Echocardiography. J. Am. Soc. Echocardiogr. 2010, 23, 685–713. [Google Scholar] [PubMed]
- Christou, G.A.; Pagourelias, E.D.; Anifanti, M.A.; Sotiriou, P.G.; Koutlianos, N.A.; Tsironi, M.P.; Andriopoulos, P.I.; Christou, K.A.; Kouidi, E.J.; Deligiannis, A.P. Exploring the determinants of the cardiac changes after ultra-long duration exercise: The echocardiographic Spartathlon study. Eur. J. Prev. Cardiol. 2020, 27, 1467–1477. [Google Scholar] [CrossRef] [PubMed]
- Batterham, A.M.; George, K.P.; Whyte, G.; Sharma, S.; McKenna, W. Scaling cardiac structural data by body dimensions: A review of theory, practice, and problems. Int. J. Sports Med. 1999, 20, 495–502. [Google Scholar] [CrossRef] [PubMed]
- Christou, G.A.; O’Driscoll, J.M. The impact of demographic, anthropometric and athletic characteristics on left atrial size in athletes. Clin. Cardiol. 2020, 43, 834–842. [Google Scholar] [CrossRef] [PubMed]
- Du Bois, D.; Du Bois, E.F. A formula to estimate the approximate surface area if height and weight be known. 1916. Nutrition 1989, 5, 303–311. [Google Scholar] [PubMed]
- Christou, G.A.; Pagourelias, E.D.; Deligiannis, A.P.; Kouidi, E.J. Exploring the Anthropometric, Cardiorespiratory, and Haematological Determinants of Marathon Performance. Front. Physiol. 2021, 12, 693733. [Google Scholar] [CrossRef]
- Wade, O.L.; Gilson, J.C. The effect of posture on diaphragmatic movement and vital capacity in normal subjects with a note on spirometry as an aid in determining radiological chest volumes. Thorax 1951, 6, 103–126. [Google Scholar] [CrossRef]
- De Troyer, A. Effect of hyperinflation on the diaphragm. Eur. Respir. J. 1997, 10, 708–713. [Google Scholar] [CrossRef]
- Lennon, E.A.; Simon, G. The height of the diaphragm in the chest radiograph of normal adults. Br. J. Radiol. 1965, 38, 937–943. [Google Scholar] [CrossRef]
- Buckberg, G.D.; Clemente, C.; Cox, J.L.; Coghlan, H.C.; Castella, M.; Torrent-Guasp, F.; Gharib, M. The structure and function of the helical heart and its buttress wrapping. IV. Concepts of dynamic function from the normal macroscopic helical structure. Semin. Thorac. Cardiovasc. Surg. 2001, 13, 342–357. [Google Scholar] [CrossRef]
- Fedulaev, Y.; Makarova, I.; Pinchuk, T. Fragmented QRS as a marker of coronary atherosclerosis severity evaluated by the Gensini score. Ann. Cardiol. Angeiol. 2021, 70, 143–147. [Google Scholar] [CrossRef] [PubMed]
- Narayanan, K.; Zhang, L.; Kim, C.; Uy-Evanado, A.; Teodorescu, C.; Reinier, K.; Zheng, Z.J.; Gunson, K.; Jui, J.; Chugh, S.S. QRS fragmentation and sudden cardiac death in the obese and overweight. J. Am. Heart Assoc. 2015, 4, e001654. [Google Scholar] [CrossRef] [PubMed]
- Dougherty, J.D. The relation of respiratory changes in the horizontal QRS and T-wave axes to movement of the thoracic electrodes. J. Electrocardiol. 1970, 3, 77–85. [Google Scholar] [CrossRef]






| Athletes (n = 54) | Nonathletes (n = 109) | |
|---|---|---|
| Sex (men/women) | 45/9 | 69/40 |
| Age (years) | 28 ± 17 | 52 ± 19 |
| Classification of sports (skill/power/mixed/endurance) | 0/12/25/17 | - |
| Training age (years) | 12 ± 11 | - |
| Training volume (h/week) | 6.4 ± 3.4 | - |
| Body mass index (kg/m2) | 23.4 ± 5.0 | 27.3 ± 4.9 |
| Heart rate (bpm) | 67 ± 15 | 69 ± 12 |
| PR (ms) | 157 ± 28 | 161 ± 26 |
| QTc (ms) | 400 ± 21 | 410 ± 21 |
| QRS duration (ms) | 102 ± 14 | 98 ± 12 |
| QRS axis (°) | 44 ± 39 | 20 ± 31 |
| Classification of Sports | Sport Disciplines | Athletes |
|---|---|---|
| Skill | - | 0 |
| Power | Weight lifting | 6 |
| Ballet/rhythmic gymnastics | 3 | |
| Short-distance running | 1 | |
| Long jump | 1 | |
| Surfing | 1 | |
| Mixed | Soccer | 18 |
| Basketball | 3 | |
| Volleyball | 3 | |
| Tennis | 1 | |
| Endurance | Long/middle-distance running | 15 |
| Cycling | 1 | |
| Rowing | 1 |
| Athletes (n = 54) | Nonathletes (n = 109) | p Value | |
|---|---|---|---|
| I | 1 (1.9%) | 6 (5.5%) | 0.279 |
| II | 4 (7.4%) | 20 (18.3%) | 0.064 |
| III | 34 (63.0%) | 67 (61.5%) | 0.853 |
| aVR | 0 (0%) | 0 (0%) | 1.000 |
| aVL | 18 (33.3%) | 31 (28.4%) | 0.521 |
| aVF | 23 (42.6%) | 60 (55.0%) | 0.134 |
| V1 | 27 (50.0%) | 20 (18.3%) | <0.001 |
| V2 | 4 (7.4%) | 6 (5.5%) | 0.634 |
| V3 | 3 (5.6%) | 2 (1.8%) | 0.195 |
| V4 | 1 (1.9%) | 1 (0.9%) | 0.610 |
| V5 | 0 (0%) | 1 (0.9%) | 0.480 |
| V6 | 0 (0%) | 1 (0.9%) | 0.480 |
Disclaimer/Publisher’s Note: The statements, opinions and data contained in all publications are solely those of the individual author(s) and contributor(s) and not of MDPI and/or the editor(s). MDPI and/or the editor(s) disclaim responsibility for any injury to people or property resulting from any ideas, methods, instructions or products referred to in the content. |
© 2024 by the authors. Licensee MDPI, Basel, Switzerland. This article is an open access article distributed under the terms and conditions of the Creative Commons Attribution (CC BY) license (https://creativecommons.org/licenses/by/4.0/).
Share and Cite
Christou, G.A.; Christou, M.A.; Christou, K.A.; Christodoulou, D.K.; Kiortsis, D.N. Physiological Changes in QRS Fragmentation in Athletes and Nonathletes without Cardiac Disease. J. Clin. Med. 2024, 13, 2741. https://doi.org/10.3390/jcm13102741
Christou GA, Christou MA, Christou KA, Christodoulou DK, Kiortsis DN. Physiological Changes in QRS Fragmentation in Athletes and Nonathletes without Cardiac Disease. Journal of Clinical Medicine. 2024; 13(10):2741. https://doi.org/10.3390/jcm13102741
Chicago/Turabian StyleChristou, Georgios A., Maria A. Christou, Konstantinos A. Christou, Dimitrios K. Christodoulou, and Dimitrios N. Kiortsis. 2024. "Physiological Changes in QRS Fragmentation in Athletes and Nonathletes without Cardiac Disease" Journal of Clinical Medicine 13, no. 10: 2741. https://doi.org/10.3390/jcm13102741
APA StyleChristou, G. A., Christou, M. A., Christou, K. A., Christodoulou, D. K., & Kiortsis, D. N. (2024). Physiological Changes in QRS Fragmentation in Athletes and Nonathletes without Cardiac Disease. Journal of Clinical Medicine, 13(10), 2741. https://doi.org/10.3390/jcm13102741

