Humoral and Cellular Response and Associated Variables Nine Months following BNT162b2 Vaccination in Healthcare Workers
Abstract
1. Introduction
2. Materials and Methods
2.1. Population and Study Design
2.2. Data Extraction
2.3. Blood Collection Four and Nine Months Post Full Vaccination
2.4. Laboratory Methods
2.4.1. Anti-SARS-CoV-2 Antibodies
2.4.2. IGRA
2.5. Ongoing Disease Surveillance
2.6. Statistical Analysis
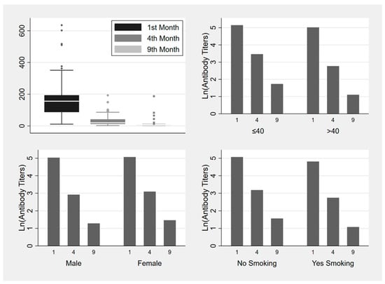
3. Results
3.1. Mixed Linear Regression Analysis
3.2. Original SP Index
3.3. Variant SP Index
4. Discussion
5. Conclusions
Author Contributions
Funding
Institutional Review Board Statement
Informed Consent Statement
Data Availability Statement
Acknowledgments
Conflicts of Interest
References
- Baden, L.R.; El Sahly, H.M.; Essink, B.; Kotloff, K.; Frey, S.; Novak, R.; Diemert, D.; Spector, S.A.; Rouphael, N.; Creech, C.B.; et al. Efficacy and Safety of the mRNA-1273 SARS-CoV-2 Vaccine. N. Engl. J. Med. 2021, 384, 403–416. [Google Scholar] [CrossRef] [PubMed]
- Thompson, M.G.; Burgess, J.L.; Naleway, A.L.; Tyner, H.L.; Yoon, S.K.; Meece, J.; Olsho, L.; Caban-Martinez, A.; Fowlkes, D.; Lutrick, K.; et al. Interim Estimates of Vaccine Effectiveness of BNT162b2 and mRNA-1273 COVID-19 Vaccines in Preventing SARS-CoV-2 Infection among Health Care Personnel, First Responders, and Other Essential and Frontline Workers—Eight U.S. Locations, December 2020–March 2021. Morb. Mortal. Wkly. Rep. 2021, 70, 495–500. [Google Scholar]
- Vasileiou, E.; Simpson, C.R.; Shi, T.; Kerr, S.; Agrawal, U.; Akbari, A.; Bedston, S.; Beggs, J.; Bradley, D.; Chuter, A.; et al. Interim findings from first-dose mass COVID-19 vaccination roll-out and COVID-19 hospital admissions in Scotland: A national prospective cohort study. Lancet 2021, 397, 1646–1657. [Google Scholar] [CrossRef] [PubMed]
- Haas, E.J.; Angulo, F.J.; McLaughlin, J.M.; Anis, E.; Singer, S.R.; Khan, F.; Brooks, N.; Smaja, M.; Mircus, G.; Pan, K.; et al. Impact and effectiveness of mRNA BNT162b2 vaccine against SARS-CoV-2 infections and COVID-19 cases, hospitalisations, and deaths following a nationwide vaccination campaign in Israel: An observational study using national surveillance data. Lancet 2021, 397, 1819–1829. [Google Scholar] [CrossRef]
- Tang, L.; Hijano, D.R.; Gaur, A.H.; Geiger, T.L.; Neufeld, E.J.; Hoffman, J.M.; Hayden, R.T. Asymptomatic and Symptomatic SARS-CoV-2 Infections After BNT162b2 Vaccination in a Routinely Screened Workforce. JAMA 2021, 325, 2500–2502. [Google Scholar] [CrossRef]
- Furer, V.; Eviatar, T.; Zisman, D.; Peleg, H.; Paran, D.; Levartovsky, D.; Zisapel, M.; Elalouf, O.; Kaufman, I.; Meidan, R.; et al. Immunogenicity and safety of the BNT162b2 mRNA COVID-19 vaccine in adult patients with autoimmune inflammatory rheumatic diseases and in the general population: A multicentre study. Ann. Rheum. Dis. 2021, 80, 1330–1338. [Google Scholar] [CrossRef]
- Lipsitch, M.; Krammer, F.; Regev-Yochay, G.; Lustig, Y.; Balicer, R.D. SARS-CoV-2 breakthrough infections in vaccinated individuals: Measurement, causes and impact. Nat. Rev. Immunol. 2022, 22, 57–65. [Google Scholar] [CrossRef]
- Bergwerk, M.; Gonen, T.; Lustig, Y.; Amit, S.; Lipsitch, M.; Cohen, C.; Mandelboim, M.; Levin, E.G.; Rubin, C.; Indenbaum, V.; et al. COVID-19 Breakthrough Infections in Vaccinated Health Care Workers. N. Engl. J. Med. 2021, 385, 1474–1484. [Google Scholar] [CrossRef]
- Mizrahi, B.; Lotan, R.; Kalkstein, N.; Peretz, A.; Perez, G.; Ben-Tov, A.; Chodick, G.; Gazit, S.; Patalon, T. Correlation of SARS-CoV-2-breakthrough infections to time-from-vaccine. Nat. Commun. 2021, 12, 6379. [Google Scholar] [CrossRef]
- Hall, V.J.; Foulkes, S.; Charlett, A.; Atti, A.; Monk, E.J.M.; Simmons, R.; Wellington, E.; Cole, M.; Saei, A.; Oguti, B.; et al. SARS-CoV-2 infection rates of antibody-positive compared with antibody-negative health-care workers in England: A large, multicentre, prospective cohort study (SIREN). Lancet Lond. Engl. 2021, 397, 1459–1469. [Google Scholar] [CrossRef]
- Uysal, E.B.; Gümüş, S.; Bektöre, B.; Bozkurt, H.; Gözalan, A.; Evaluation of antibody response after COVID-19 vaccination of healthcare workers. J. Med. Virol. Available online: https://onlinelibrary.wiley.com/doi/abs/10.1002/jmv.27420 (accessed on 2 January 2022).
- Hall, V.; Foulkes, S.; Insalata, F.; Kirwan, P.; Saei, A.; Atti, A.; Wellington, E.; Khawam, J.; Munro, K.; Cole, M.; et al. Protection against SARS-CoV-2 after COVID-19 Vaccination and Previous Infection. N. Engl. J. Med. 2022, 386, 1207–1220. [Google Scholar] [CrossRef]
- Karachaliou, M.; Moncunill, G.; Espinosa, A.; Castaño-Vinyals, G.; Rubio, R.; Vidal, M.; Jiménez, A.; Prados, E.; Carreras, A.; Cortés, B.; et al. SARS-CoV-2 infection, vaccination, and antibody response trajectories in adults: A cohort study in Catalonia. BMC Med. 2022, 20, 347. [Google Scholar] [CrossRef]
- Yu, Y.; Esposito, D.; Kang, Z.; Lu, J.; Remaley, A.T.; De Giorgi, V.; Chen, L.; West, K.; Cao, L. mRNA vaccine-induced antibodies more effective than natural immunity in neutralizing SARS-CoV-2 and its high affinity variants. Sci. Rep. 2022, 12, 2628. [Google Scholar] [CrossRef]
- Koch, T.; Mellinghoff, S.C.; Shamsrizi, P.; Addo, M.M.; Dahlke, C. Correlates of Vaccine-Induced Protection against SARS-CoV-2. Vaccines 2021, 9, 238. [Google Scholar] [CrossRef]
- Thomas, S.J.; Moreira, E.D., Jr.; Kitchin, N.; Absalon, J.; Gurtman, A.; Lockhart, S.; Perez, J.L.; Pérez Marc, G.; Polack, F.P.; Zerbini, C.; et al. Safety and Efficacy of the BNT162b2 mRNA COVID-19 Vaccine through 6 Months. N. Engl. J. Med. 2021, 385, 1761–1773. [Google Scholar] [CrossRef]
- Terpos, E.; Trougakos, I.P.; Karalis, V.; Ntanasis-Stathopoulos, I.; Apostolakou, F.; Gumeni, S.; Sklirou, A.D.; Skourti, S.; Gavriatopoulou, M.; Kastritis, E.; et al. Kinetics of Anti-SARS-CoV-2 Antibody Responses 3 Months Post Complete Vaccination with BNT162b2; A Prospective Study in 283 Health Workers. Cells 2021, 10, 1942. [Google Scholar] [CrossRef]
- Grupel, D.; Gazit, S.; Schreiber, L.; Nadler, V.; Wolf, T.; Lazar, R.; Lia, S.-R.; Perez, G.; Peretz, A.; Tov, A.; et al. Kinetics of SARS-CoV-2 anti-S IgG after BNT162b2 vaccination. Vaccine 2021, 39, 5337–5340. [Google Scholar] [CrossRef]
- Coppeta, L.; Ferrari, C.; Somma, G.; Mazza, A.; D’Ancona, U.; Marcuccilli, F.; Grelli, S.; Aurilio, M.T.; Pietroiusti, A.; Magrini, A.; et al. Reduced Titers of Circulating Anti-SARS-CoV-2 Antibodies and Risk of COVID-19 Infection in Healthcare Workers during the Nine Months after Immunization with the BNT162b2 mRNA Vaccine. Vaccines 2022, 10, 141. [Google Scholar] [CrossRef]
- Stellini, R.; Gianello, R.; Gomarasca, W. Durability of anti-spike antibodies after vaccination with mRNA SARS-CoV-2 vaccine is longer in subjects with previous infection: Could the booster dose be delayed? Infection 2022, 50, 1573–1577. [Google Scholar] [CrossRef]
- Khoury, D.S.; Cromer, D.; Reynaldi, A.; Schlub, T.E.; Wheatley, A.K.; Juno, J.A.; Subbarao, K.; Kent, S.; Triccas, J.; Davenport, M. Neutralizing antibody levels are highly predictive of immune protection from symptomatic SARS-CoV-2 infection. Nat. Med. 2021, 27, 1205–1211. [Google Scholar] [CrossRef]
- Novello, S.; Terzolo, M.; Paola, B.; Gianetta, M.; Bianco, V.; Arizio, F.; Brero, D.; Perini, A.; Boccuzzi, A.; Caramello, V.; et al. Humoral immune response to SARS-CoV-2 in five different groups of individuals at different environmental and professional risk of infection. Sci. Rep. 2021, 11, 24503. [Google Scholar] [CrossRef] [PubMed]
- Chia, W.N.; Zhu, F.; Ong, S.W.X.; Young, B.E.; Fong, S.W.; Le Bert, N.; Tan, C.; Tiu, C.; Zhang, J.; Tan, S.; et al. Dynamics of SARS-CoV-2 neutralising antibody responses and duration of immunity: A longitudinal study. Lancet Microbe 2021, 2, e240–e249. [Google Scholar] [CrossRef] [PubMed]
- Tartof, S.Y.; Slezak, J.M.; Fischer, H.; Hong, V.; Ackerson, B.K.; Ranasinghe, O.N.; Frankland, T.B.; Ogun, O.A.; Zamparo, J.M.; Gray, S.; et al. Effectiveness of mRNA BNT162b2 COVID-19 vaccine up to 6 months in a large integrated health system in the USA: A retrospective cohort study. Lancet 2021, 398, 1407–1416. [Google Scholar] [CrossRef] [PubMed]
- Seow, J.; Graham, C.; Merrick, B.; Acors, S.; Pickering, S.; Steel, K.J.A.; Hemmings, O.; O’Byrne, A.; Kouphou, N.; Galao, R.; et al. Longitudinal observation and decline of neutralizing antibody responses in the three months following SARS-CoV-2 infection in humans. Nat. Microbiol. 2020, 5, 1598–1607. [Google Scholar] [CrossRef] [PubMed]
- Hu, J.; Wang, Y. The Clinical Characteristics and Risk Factors of Severe COVID-19. Gerontology 2021, 67, 255–266. [Google Scholar] [CrossRef]
- Maximiano Sousa, F.; Roelens, M.; Fricker, B.; Thiabaud, A.; Iten, A.; Cusini, A.; Flury, D.; Buettcher, M.; Zukol, F.; Balmelli, C.; et al. Risk factors for severe outcomes for COVID-19 patients hospitalised in Switzerland during the first pandemic wave, February to August 2020: Prospective observational cohort study. Swiss Med. Wkly. 2021, 151, w20547. [Google Scholar] [CrossRef]
- Gong, X.; Guo, X.; Kang, S.; Li, Y.; Gao, H.; Yuan, Y. Associated risk factors with disease severity and antiviral drug therapy in patients with COVID-19. BMC Infect. Dis. 2021, 21, 549. [Google Scholar] [CrossRef]
- Li, Y.; Ashcroft, T.; Chung, A.; Dighero, I.; Dozier, M.; Horne, M.; McSwiggan, E.; Shamsuddin, A.; Nair, H. Risk factors for poor outcomes in hospitalised COVID-19 patients: A systematic review and meta-analysis. J. Glob. Health 2021, 11, 10001. [Google Scholar] [CrossRef]
- Halem, K.; van Bruyndonckx, R.; Hilst, J.; van der Cox, J.; Driesen, P.; Opsomer, M.; Van Steenkiste, E.; Stessel, B.; Dubois, J.; Messiaen, P. Risk factors for mortality in hospitalized patients with COVID-19 at the start of the pandemic in Belgium: A retrospective cohort study. BMC Infect. Dis. 2021, 20, 1–10. Available online: https://covid19.elsevierpure.com/en/publications/risk-factors-for-mortality-in-hospitalized-patients-with-covid-19 (accessed on 20 July 2021).
- Levin, E.G.; Lustig, Y.; Cohen, C.; Fluss, R.; Indenbaum, V.; Amit, S.; Doolman, R.; Asraf, K.; Mendelson, E.; Ziv, A.; et al. Waning Immune Humoral Response to BNT162b2 COVID-19 Vaccine over 6 Months. N. Engl. J. Med. 2021, 385, e84. [Google Scholar] [CrossRef]
- Favresse, J.; Bayart, J.-L.; Mullier, F.; Elsen, M.; Eucher, C.; Van Eeckhoudt, S.; Roy, T.; Wieers, G.; Laurent, C.; Dogné, J.-M.; et al. Antibody titres decline 3-month post-vaccination with BNT162b2. Emerg. Microbes Infect. 2021, 10, 1495–1498. [Google Scholar] [CrossRef]
- Erice, A.; Varillas-Delgado, D.; Caballero, C. Decline of antibody titres 3 months after two doses of BNT162b2 in non-immunocompromised adults. Clin. Microbiol. Infect. 2021, 28, 139.e1–139.e4. [Google Scholar] [CrossRef]
- Tanner, R.; Villarreal-Ramos, B.; Vordermeier, H.M.; McShane, H. The Humoral Immune Response to BCG Vaccination. Front. Immunol. 2019, 10, 1317. [Google Scholar] [CrossRef]
- Zollner, A.; Watschinger, C.; Rössler, A.; Farcet, M.R.; Penner, A.; Böhm, V.; Kiechl, S.; Stampfel, G.; Hintenberger, R.; Tilg, H.; et al. B and T cell response to SARS-CoV-2 vaccination in health care professionals with and without previous COVID-19. eBioMedicine 2021, 70, 103539. Available online: https://www.thelancet.com/journals/ebiom/article/PIIS2352-3964(21)00332-7/fulltext (accessed on 2 January 2023). [CrossRef]
- Dan, J.M.; Mateus, J.; Kato, Y.; Hastie, K.M.; Yu, E.D.; Faliti, C.E.; Grifoni, A.; Ramirez, S.I.; Haupt, S.; Frazier, A.; et al. Immunological memory to SARS-CoV-2 assessed for up to 8 months after infection. Science 2021, 371, eabf4063. Available online: https://www.science.org/doi/10.1126/science.abf4063 (accessed on 3 October 2021). [CrossRef]
- Ansari, A.; Arya, R.; Sachan, S.; Jha, S.N.; Kalia, A.; Lall, A.; Sette, A.; Grifoni, A.; Weiskopf, D.; Coshic, P.; et al. Immune Memory in Mild COVID-19 Patients and Unexposed Donors Reveals Persistent T Cell Responses After SARS-CoV-2 Infection. Front. Immunol. 2021, 12, 749. [Google Scholar] [CrossRef]
- Bonifacius, A.; Tischer-Zimmermann, S.; Dragon, A.C.; Gussarow, D.; Vogel, A.; Krettek, U.; Gödecke, N.; Yilmaz, M.; Kraft, A.R.; Hoeper, M.M.; et al. COVID-19 immune signatures reveal stable antiviral T cell function despite declining humoral responses. Immunity 2021, 54, 340–354.e6. [Google Scholar] [CrossRef]
- Le Bert, N.; Tan, A.T.; Kunasegaran, K.; Tham, C.Y.L.; Hafezi, M.; Chia, A.; Chng, M.; Lin, M.; Tan, N.; Linster, M.; et al. SARS-CoV-2-specific T cell immunity in cases of COVID-19 and SARS, and uninfected controls. Nature 2020, 584, 457–462. [Google Scholar] [CrossRef]
- Karlsson, A.C.; Humbert, M.; Buggert, M. The known unknowns of T cell immunity to COVID-19. Sci. Immunol. 2020, 5, eabe8063. [Google Scholar] [CrossRef]
- Woldemeskel, B.A.; Garliss, C.C.; Blankson, J.N. SARS-CoV-2 mRNA vaccines induce broad CD4+ T cell responses that recognize SARS-CoV-2 variants and HCoV-NL63. J. Clin. Investig. 2021, 131, 149335. [Google Scholar] [CrossRef]
- Kalimuddin, S.; Tham, C.Y.L.; Qui, M.; de Alwis, R.; Sim, J.X.Y.; Lim, J.M.E.; Tan, H.-C.; Syenina, A.; Zhang, S.L.; Le Bert, N.; et al. Early T cell and binding antibody responses are associated with COVID-19 RNA vaccine efficacy onset. Med 2021, 2, 682–688.e4. [Google Scholar] [CrossRef] [PubMed]
- Tarke, A.; Sidney, J.; Methot, N.; Zhang, Y.; Dan, J.M.; Goodwin, B. Negligible impact of SARS-CoV-2 variants on CD4 + and CD8 + T cell reactivity in COVID-19 exposed donors and vaccinees. bioRxiv 2021. [Google Scholar] [CrossRef]
- Marc, G.P.; Alvarez-Paggi, D.; Polack, F.P. Mounting evidence for immunizing previously infected subjects with a single dose of SARS-CoV-2 vaccine. J. Clin. Investig. 2021, 131, e150135. [Google Scholar] [CrossRef] [PubMed]
- Papadopoulou, A.; Stavridou, F.; Giannaki, M.; Paschoudi, K.; Chatzopoulou, F.; Gavriilaki, E.; Georgolopoulos, G.; Anagnostopoulos, A.; Yannaki, E. Robust SARS-CoV-2-specific T-cell immune memory persists long-term in immunocompetent individuals post BNT162b2 double shot. Heliyon 2022, 8, e09863. [Google Scholar] [CrossRef] [PubMed]
- Reynolds, C.J.; Pade, C.; Gibbons, J.M.; Butler, D.K.; Otter, A.D.; Menacho, K.; Fontana, M.; Smit, A.; Sackville-West, J.; Cutino-Moguel, T.; et al. Prior SARS-CoV-2 infection rescues B and T cell responses to variants after first vaccine dose. Science 2021, 372, 1418–1423. [Google Scholar] [CrossRef]
- Moss, P. The T cell immune response against SARS-CoV-2. Nat. Immunol. 2022, 23, 186–193. [Google Scholar] [CrossRef]
- Primorac, D.; Brlek, P.; Matišić, V.; Molnar, V.; Vrdoljak, K.; Zadro, R.; Parčina, M. Cellular Immunity-The Key to Long-Term Protection in Individuals Recovered from SARS-CoV-2 and after Vaccination. Vaccines 2022, 10, 442. [Google Scholar] [CrossRef]
- Bertoletti, A.; Le Bert, N.; Qui, M.; Tan, A.T. SARS-CoV-2-specific T cells in infection and vaccination. Cell Mol. Immunol. 2021, 18, 2307–2312. [Google Scholar] [CrossRef]
- Murugesan, K.; Jagannathan, P.; Pham, T.D.; Pandey, S.; Bonilla, H.F.; Jacobson, K.; Parsonnet, J.; Andrews, J.R.; Weiskopf, D.; Sette, A.; et al. Interferon-γ Release Assay for Accurate Detection of Severe Acute Respiratory Syndrome Coronavirus 2 T-Cell Response. Clin. Infect. Dis. 2021, 73, e3130–e3132. [Google Scholar] [CrossRef]
- Petrone, L.; Petruccioli, E.; Vanini, V.; Cuzzi, G.; Najafi Fard, S.; Alonzi, T.; Castilletti, C.; Palmieri, F.; Gualano, G.; Vittozzi, P.; et al. A whole blood test to measure SARS-CoV-2-specific response in COVID-19 patients. Clin. Microbiol. Infect. 2021, 27, e7–e286. [Google Scholar] [CrossRef]
- Malipiero, G.; Moratto, A.; Infantino, M.; D’Agaro, P.; Piscianz, E.; Manfredi, M.; Grossi, V.; Benvenuti, E.; Bulgaresi, M.; Benucci, M.; et al. Assessment of humoral and cellular immunity induced by the BNT162b2 SARS-CoV-2 vaccine in healthcare workers, elderly people, and immunosuppressed patients with autoimmune disease. Immunol. Res. 2021, 69, 576–583. [Google Scholar] [CrossRef]
- Tormo, N.; Giménez, E.; Martínez-Navarro, M.; Albert, E.; Navalpotro, D.; Torres, I.; Gimeno, C.; Navarro, D. Performance comparison of a flow cytometry immunoassay for intracellular cytokine staining and the QuantiFERON® SARS-CoV-2 test for detection and quantification of SARS-CoV-2-Spike-reactive-IFN-γ-producing T cells after COVID-19 vaccination. Eur. J. Clin. Microbiol. Infect. Dis. 2022, 41, 657–662. [Google Scholar] [CrossRef]
- Krüttgen, A.; Klingel, H.; Haase, G.; Haefner, H.; Imöhl, M.; Kleines, M. Evaluation of the QuantiFERON SARS-CoV-2 interferon-ɣ release assay in mRNA-1273 vaccinated health care workers. J. Virol. Methods 2021, 298, 114295. [Google Scholar] [CrossRef]
- Pal, R.; Bhadada, S.K.; Misra, A. COVID-19 vaccination in patients with diabetes mellitus: Current concepts, uncertainties and challenges. Diabetes Metab. Syndr. Clin. Res. Rev. 2021, 15, 505–508. [Google Scholar] [CrossRef]
- Watanabe, M.; Balena, A.; Tuccinardi, D.; Tozzi, R.; Risi, R.; Masi, D.; Caputi, A.; Rossetti, R.; Spoltore, M.; Filippi, V.; et al. Central obesity, smoking habit, and hypertension are associated with lower antibody titres in response to COVID-19 mRNA vaccine. Diabetes Metab. Res. Rev. 2022, 38, e3465. [Google Scholar] [CrossRef]
- Mehraeen, E.; Karimi, A.; Barzegary, A.; Vahedi, F.; Afsahi, A.M.; Dadras, O.; Moradmand-Badie, B.; Alinaghi, S.A.S.; Jahanfar, S. Predictors of mortality in patients with COVID-19—A systematic review. Eur. J. Integr. Med. 2020, 40, 101226. [Google Scholar] [CrossRef]
- Palaiodimos, L.; Kokkinidis, D.G.; Li, W.; Karamanis, D.; Ognibene, J.; Arora, S.; Southern, W.N.; Mantzoros, C.S. Severe obesity, increasing age and male sex are independently associated with worse in-hospital outcomes, and higher in-hospital mortality, in a cohort of patients with COVID-19 in the Bronx, New York. Metabolism 2020, 108, 154262. [Google Scholar] [CrossRef]
- Palaiodimos, L.; Ali, R.; Teo, H.O.; Parthasarathy, S.; Karamanis, D.; Chamorro-Pareja, N.; Kokkinidis, D.G.; Kaur, S.; Kladas, M.; Sperling, J.; et al. Obesity, Inflammation, and Mortality in COVID-19: An Observational Study from the Public Health Care System of New York City. J. Clin. Med. 2022, 11, 622. [Google Scholar] [CrossRef]
- Mahase, E. COVID-19: Pfizer vaccine’s efficacy declined from 96% to 84% four months after second dose, company reports. BMJ 2021, 374, n1920. [Google Scholar] [CrossRef]
- Bernal, J.L.; Andrews, N.; Gower, C.; Robertson, C.; Stowe, J.; Tessier, E.; Simmons, R.; Cottrell, S.; Roberts, R.; O’Doherty, M.; et al. Effectiveness of the Pfizer-BioNTech and Oxford-AstraZeneca vaccines on COVID-19 related symptoms, hospital admissions, and mortality in older adults in England: Test negative case-control study. BMJ 2021, 373, n1088. [Google Scholar] [CrossRef]
- Pellini, R.; Venuti, A.; Pimpinelli, F.; Abril, E.; Blandino, G.; Campo, F.; Conti, L.; De Virgilio, A.; De Marco, F.; Di Domenico, E.; et al. Initial observations on age, gender, BMI and hypertension in antibody responses to SARS-CoV-2 BNT162b2 vaccine. EClinicalMedicine 2021, 36, 100928. Available online: https://www.thelancet.com/journals/eclinm/article/PIIS2589-5370(21)00208-X/abstract (accessed on 2 September 2021). [CrossRef] [PubMed]
- Sonani, B.; Aslam, F.; Goyal, A.; Patel, J.; Bansal, P. COVID-19 vaccination in immunocompromised patients. Clin. Rheumatol. 2021, 40, 797–798. [Google Scholar] [CrossRef] [PubMed]
- Townsend, M.J.; Kyle, T.K.; Stanford, F.C. COVID-19 Vaccination and Obesity: Optimism and Challenges. Obesity 2021, 29, 634–635. [Google Scholar] [CrossRef] [PubMed]
- Campo, F.; Venuti, A.; Pimpinelli, F.; Abril, E.; Blandino, G.; Conti, L.; De Virgilio, A.; De Marco, F.; Di Noia, V.; Di Domenico, E.G.; et al. Antibody Persistence 6 Months Post-Vaccination with BNT162b2 among Health Care Workers. Vaccines 2021, 9, 1125. [Google Scholar] [CrossRef] [PubMed]
- Van Praet, J.T.; Vandecasteele, S.; De Roo, A.; Vynck, M.; De Vriese, A.S.; Reynders, M. Dynamics of the cellular and humoral immune response after BNT162b2 mRNA COVID-19 vaccination in COVID-19 naive nursing home residents. J. Infect. Dis. 2021, 13, 1690–1693. [Google Scholar]
- Bayart, J.-L.; Douxfils, J.; Gillot, C.; David, C.; Mullier, F.; Elsen, M.; Eucher, C.; Van Eeckhoudt, S.; Roy, T.; Gerin, V.; et al. Waning of IgG, Total and Neutralizing Antibodies 6 Months Post-Vaccination with BNT162b2 in Healthcare Workers. Vaccines 2021, 9, 1092. [Google Scholar] [CrossRef]
- Cho, A.; Muecksch, F.; Schaefer-Babajew, D.; Wang, Z.; Finkin, S.; Gaebler, C.; Ramos, V.; Cipolla, M.; Mendoza, P.; Agudelo, M.; et al. Anti-SARS-CoV-2 receptor-binding domain antibody evolution after mRNA vaccination. Nature 2021, 600, 517–522. [Google Scholar] [CrossRef]
- Ferrari, D.; Clementi, N.; Criscuolo, E.; Ambrosi, A.; Corea, F.; Di Resta, C.; Tomaiuolo, R.; Mancini, N.; Locatelli, M.; Plebani, M.; et al. Antibody Titer Kinetics and SARS-CoV-2 Infections Six Months after Administration with the BNT162b2 Vaccine. Vaccines 2021, 9, 1357. [Google Scholar] [CrossRef]
- Israel, A.; Shenhar, Y.; Green, I.; Merzon, E.; Golan-Cohen, A.; Schäffer, A.A.; Ruppin, E.; Vinker, S.; Magen, E. Large-scale study of antibody titer decay following BNT162b2 mRNA vaccine or SARS-CoV-2 infection. Vaccines 2022, 10, 64. [Google Scholar] [CrossRef]
- Painter, E.M. Demographic Characteristics of Persons Vaccinated During the First Month of the COVID-19 Vaccination Program—United States, 14 December 2020–14 January 2021. Morb. Mortal. Wkly. Rep. 2021, 70, 174–177. Available online: https://www.cdc.gov/mmwr/volumes/70/wr/mm7005e1.htm (accessed on 12 March 2021). [CrossRef]
- Rossi, C.P.; Cash, E.; Aubert, C.; Coutinho, A. Role of the humoral immune response in resistance to Theiler’s virus infection. J. Virol. 1991, 65, 3895–3899. Available online: https://journals.asm.org/doi/abs/10.1128/jvi.65.7.3895-3899.1991 (accessed on 2 January 2022). [CrossRef]
- Tychala, A.; Meletis, G.; Katsimpourlia, E.; Gkeka, I.; Dimitriadou, R.; Sidiropoulou, E.; Skoura, L. Evaluation of the QuantiFERON SARS-CoV-2 assay to assess cellular immunogenicity of the BNT162b2 mRNA COVID-19 vaccine in individuals with low and high humoral response. Hum. Vaccines Immunother. 2021, 17, 5148–5149. [Google Scholar] [CrossRef]
- Melin, J.; Svensson, M.K.; Albinsson, B.; Winqvist, O.; Pauksens, K. Humoral and cellular response to SARS-CoV-2 BNT162b2 mRNA vaccine in hemodialysis patients. BMC Immunol. 2021, 22, 70. [Google Scholar] [CrossRef]
- Danthu, C.; Hantz, S.; Dahlem, A.; Duval, M.; Ba, B.; Guibbert, M.; El Ouafi, Z.; Ponsard, S.; Berrahal, I.; Achard, J.-M.; et al. Humoral Response after SARS-CoV-2 mRNA Vaccination in a Cohort of Hemodialysis Patients and Kidney Transplant Recipients. J. Am. Soc. Nephrol. 2021, 32, 2153–2158. [Google Scholar] [CrossRef]
- Collier, D.A.; Ferreira, I.A.T.M.; Kotagiri, P.; Datir, R.P.; Lim, E.Y.; Touizer, E.; Meng, B.; Abdullahi, A.; The CITIID-NIHR BioResource COVID-19 Collaboration; Elmer, A.; et al. Age-related immune response heterogeneity to SARS-CoV-2 vaccine BNT162b2. Nature 2021, 596, 417–422. [Google Scholar] [CrossRef]
- Coggins, S.A.; Laing, E.D.; Olsen, C.H.; Goguet, E.; Moser, M.; Jackson-Thompson, B.M.; Samuels, E.C.; Pollett, S.D.; Tribble, D.R.; Davies, J.; et al. Adverse effects and antibody titers in response to the bnt162b2 mrna COVID-19 vaccine in a prospective study of healthcare workers. Open Forum. Infect. Dis. 2021, 9, ofab575. [Google Scholar] [CrossRef]
- Müller, L.; Andrée, M.; Moskorz, W.; Drexler, I.; Walotka, L.; Grothmann, R.; Ptok, J.; Hillebrandt, J.; Ritchie, A.; Rabl, D.; et al. Age-dependent Immune Response to the Biontech/Pfizer BNT162b2 Coronavirus Disease 2019 Vaccination. Clin. Infect. Dis. 2021, 73, 2065–2072. [Google Scholar] [CrossRef]
- Nomura, Y.; Sawahata, M.; Nakamura, Y.; Kurihara, M.; Koike, R.; Katsube, O.; Hagiwara, K.; Niho, S.; Masuda, N.; Tanaka, T.; et al. Age and Smoking Predict Antibody Titres at 3 Months after the Second Dose of the BNT162b2 COVID-19 Vaccine. Vaccines 2021, 9, 1042. [Google Scholar] [CrossRef]
- Brockman, M.A.; Mwimanzi, F.; Lapointe, H.R.; Sang, Y.; Agafitei, O.; Cheung, P.K.; Ennis, S.; Ng, K.; Basra, S.; Lim, L.Y.; et al. Reduced magnitude and durability of humoral immune responses to COVID-19 mrna vaccines among older adults. J. Infect. Dis. 2021, 225, 1129–1140. [Google Scholar] [CrossRef]
- Ikezaki, H.; Nomura, H.; Shimono, N. Dynamics of anti-Spike IgG antibody level after the second BNT162b2 COVID-19 vaccination in health care workers. J. Infect. Chemother. 2022, 28, 802–805. [Google Scholar] [CrossRef]
- Zimmermann, P.; Curtis, N. Why is COVID-19 less severe in children? A review of the proposed mechanisms underlying the age-related difference in severity of SARS-CoV-2 infections. Arch. Dis. Child. 2020, 106, 429–439. [Google Scholar] [CrossRef] [PubMed]
- Ferrara, P.; Ponticelli, D.; Agüero, F.; Caci, G.; Vitale, A.; Borrelli, M.; Schiavone, B.; Antonazzo, I.; Mantovani, L.; Tomaselli, V.; et al. Does smoking have an impact on the immunological response to COVID-19 vaccines? Evidence from the VASCO study and need for further studies. Public Health 2022, 203, 97–99. [Google Scholar] [CrossRef] [PubMed]
- Qiu, F.; Liang, C.L.; Liu, H.; Zeng, Y.Q.; Hou, S.; Huang, S.; Lai, X.; Dai, Z. Impacts of cigarette smoking on immune responsiveness: Up and down or upside down? Oncotarget 2017, 8, 268–284. [Google Scholar] [CrossRef] [PubMed]
- Terpos, E.; Trougakos, I.P.; Apostolakou, F.; Charitaki, I.; Sklirou, A.D.; Mavrianou, N.; Papanagnou, E.-D.; Liacos, C.-I.; Gumeni, S.; Rentziou, G.; et al. Age-dependent and gender-dependent antibody responses against SARS-CoV-2 in health workers and octogenarians after vaccination with the BNT162b2 mRNA vaccine. Am. J. Hematol. 2021, 96, E257–E259. [Google Scholar] [CrossRef] [PubMed]
- Kageyama, T.; Ikeda, K.; Tanaka, S.; Taniguchi, T.; Igari, H.; Onouchi, Y.; Kaneda, A.; Matsushita, K.; Hanaoka, H.; Nakada, T.-A.; et al. Antibody responses to BNT162b2 mRNA COVID-19 vaccine and their predictors among healthcare workers in a tertiary referral hospital in Japan. Clin. Microbiol. Infect. 2021, 27, e1–e1861. [Google Scholar] [CrossRef]
- Kontou, E.; Ranellou, K.; Zoulas, D.; Bletsa, A.; Rompola, E.; Piperaki, E.-T.; Athanasiou, N.; Ampelakiotou, K.; Pratikaki, M.; Stergiopoulou, C.; et al. Antibody Response Following a Two-Dose mRNA Vaccination Regimen, in Health Care Workers of a Tertiary Hospital in Athens, Greece. J. Pers. Med. 2021, 11, 576. [Google Scholar] [CrossRef]
- Lo Sasso, B.; Giglio, R.V.; Vidali, M.; Scazzone, C.; Bivona, G.; Gambino, C.M.; Ciaccio, A.M.; Agnello, L.; Ciaccio, M. Evaluation of Anti-SARS-CoV-2 S-RBD IgG Antibodies after COVID-19 mRNA BNT162b2 Vaccine. Diagnostics 2021, 11, 1135. [Google Scholar] [CrossRef]
- Parthymou, A.; Habeos, E.E.; Habeos, G.I.; Deligakis, A.; Livieratos, E.; Marangos, M.; Chartoumpekis, D.V. Factors associated with anti-SARS-CoV-2 antibody titres 3 months post—Vaccination with the second dose of BNT162b2 vaccine: A longitudinal observational cohort study in western Greece. BMJ Open 2022, 12, e057084. [Google Scholar] [CrossRef]
- Padoan, A.; Dall’olmo, L.; della Rocca, F.; Barbaro, F.; Cosma, C.; Basso, D.; Cattelan, A.; Cianci, V.; Plebani, M. Antibody response to first and second dose of BNT162b2 in a cohort of characterized healthcare workers. Clin. Chim. Acta 2021, 519, 60–63. [Google Scholar] [CrossRef]
- Boyarsky, B.J.; Werbel, W.A.; Avery, R.K.; Tobian, A.A.R.; Massie, A.B.; Segev, D.L.; Garonzik-Wang, J.M. Immunogenicity of a Single Dose of SARS-CoV-2 Messenger RNA Vaccine in Solid Organ Transplant Recipients. JAMA 2021, 325, 1784–1786. [Google Scholar] [CrossRef]
- Abu Jabal, K.; Ben-Amram, H.; Beiruti, K.; Batheesh, Y.; Sussan, C.; Zarka, S.; Edelstein, M. Impact of age, ethnicity, sex and prior infection status on immunogenicity following a single dose of the BNT162b2 mRNA COVID-19 vaccine: Real-world evidence from healthcare workers, Israel, December 2020 to January 2021. Eurosurveillance 2021, 26, 2100096. [Google Scholar] [CrossRef]
- Ponticelli, D.; Antonazzo, I.C.; Caci, G.; Vitale, A.; Della Ragione, G.; Romano, M.L.; Borrelli, M.; Schiavone, B.; Polosa, R.; Ferrara, P. Dynamics of antibody response to BNT162b2 mRNA COVID-19 vaccine after 6 months. J. Travel Med. 2021, 28, taab173. [Google Scholar] [CrossRef]
- Lustig, Y.; Sapir, E.; Regev-Yochay, G.; Cohen, C.; Fluss, R.; Olmer, L.; Indenbaum, V.; Mandelboim, M.; Doolman, R.; Amit, S.; et al. BNT162b2 Vaccine-Induced Immune Responses and Dynamics Vary among Age Groups, Sex and Co-Morbidities: A Longitudinal Prospective Cohort Study. SSRN Electron. J. 2021. Available online: https://papers.ssrn.com/sol3/papers.cfm?abstract_id=3790408 (accessed on 12 February 2022).
- Pellini, R.; Venuti, A.; Pimpinelli, F.; Abril, E.; Blandino, G.; Campo, F.; Conti, L.; De Virgilio, A.; De Marco, F.; Di Domenico, E.G.; et al. Early Onset of SARS-CoV-2 Antibodies after First Dose of BNT162b2: Correlation with Age, Gender and BMI. Vaccines 2021, 9, 685. [Google Scholar] [CrossRef]
- Piernas, C.; Patone, M.; Astbury, N.M.; Gao, M.; Sheikh, A.; Khunti, K.; Shankar-Hari, M.; Dixon, S.; Coupland, C.; Aveyard, P.; et al. Associations of BMI with COVID-19 vaccine uptake, vaccine effectiveness, and risk of severe COVID-19 outcomes after vaccination in England: A population-based cohort study. Lancet Diabetes Endocrinol. 2022, 10, 571–580. [Google Scholar] [CrossRef]
- Oyaert, M.; De Scheerder, M.A.; Van Herrewege, S.; Laureys, G.; Van Assche, S.; Cambron, M.; Naesens, L.; Hoste, L.; Claes, K.; Haerynck, F.; et al. Evaluation of Humoral and Cellular Responses in SARS-CoV-2 mRNA Vaccinated Immunocompromised Patients. Front. Immunol. 2022, 13, 858399. [Google Scholar] [CrossRef]
- Schramm, R.; Costard-Jäckle, A.; Rivinius, R.; Fischer, B.; Müller, B.; Boeken, U.; Haneya, A.; Provaznik, Z.; Knabbe, C.; Gummert, J. Poor humoral and T-cell response to two-dose SARS-CoV-2 messenger RNA vaccine BNT162b2 in cardiothoracic transplant recipients. Clin. Res. Cardiol. 2021, 110, 1142–1149. [Google Scholar] [CrossRef]


| Cellular Immunity Original Spike Protein | Cellular Immunity Variant Spike Protein | |||||||
|---|---|---|---|---|---|---|---|---|
| Initial Sample | Final Sample | Inactive | Active | Inactive | Active | |||
| Characteristic | n = 290 | n = 189 | n = 106 | n = 83 | p-Value | n = 138 | n = 51 | p-Value |
| Age—median (IQR) | 44.00 (36.00–51.00) | 43.00 (36.00–50.00) | 44.00 (36.00–51.00) | 43.00 (35.00–50.00) | 0.436 | 44.00 (36.00–50.00) | 41.00 (35.00–51.00) | 0.508 |
| Age Category-no. (%) | ||||||||
| ≤40 | 102 (35.17) | 71 (37.57) | 36 (33.96) | 35 (42.17) | 0.248 | 48 (34.78) | 23 (45.10) | 0.194 |
| >40 | 188 (64.83) | 118 (62.43) | 70 (66.04) | 48 (57.83) | 90 (65.22) | 28 (54.90) | ||
| Gender | ||||||||
| Male | 145 (50.00) | 92 (48.68) | 45 (42.45) | 47 (56.63) | 0.053 | 65 (47.10) | 27 (52.94) | 0.476 |
| Female | 145 (50.00) | 97 (51.32) | 61 (57.55) | 36 (43.37) | 73 (52.90) | 24 (47.06) | ||
| BMI-median (IQR) | 25.35 (22.50–28.65) | 25.35 (22.50–28.40) | 25.12 (22.46–28.37) | 25.86 (22.84–28.69) | 0.492 | 25.20 (22.46–28.40) | 25.88 (23.51–28.65) | 0.762 |
| BMI Category—no. (%) | ||||||||
| Underweight/Normal | 134 (46.21) | 87 (46.03) | 52 (49.06) | 35 (42.17) | 0.599 | 66 (47.83) | 21 (41.18) | 0.713 |
| Overweight | 104 (35.86) | 74 (39.15) | 40 (37.74) | 34 (40.96) | 52 (37.68) | 22 (43.14) | ||
| Obese/Extreme Obese | 52 (17.93) | 28 (14.81) | 14 (13.21) | 14 (16.87) | 20 (14.49) | 8 (15.69) | ||
| Smoking—no. (%) | ||||||||
| No | 195 (67.24) | 129 (68.25) | 68 (64.15) | 61 (73.49) | 0.171 | 92 (66.67) | 37 (72.55) | 0.441 |
| Yes | 95 (32.76) | 60 (31.75) | 38 (35.85) | 22 (26.51) | 46 (33.33) | 14 (27.45) | ||
| Hypertension—no. (%) | ||||||||
| No | 268 (92.41) | 175 (92.59) | 99 (93.40) | 76 (91.57) | 0.634 | 130 (94.20) | 45 (88.24) | 0.164 |
| Yes | 22 (7.59) | 14 (7.41) | 7 (6.60) | 7 (8.43) | 8 (5.80) | 6 (11.76) | ||
| Immunosuppression—no. (%) | ||||||||
| No | 282 (97.24) | 185 (97.88) | 103 (97.17) | 82 (98.80) | 0.441 | 135 (97.83) | 50 (98.04) | 0.928 |
| Yes | 8 (2.76) | 4 (2.12) | 3 (2.83) | 1 (1.20) | 3 (2.17) | 1 (1.96) | ||
| Dyslipidemia—no. (%) | ||||||||
| No | 265 (91.38) | 178 (94.18) | 100 (94.34) | 78 (93.98) | 0.916 | 130 (94.20) | 48 (94.12) | 0.982 |
| Yes | 25 (8.62) | 11 (5.82) | 6 (5.66) | 5 (6.02) | 8 (5.80) | 3 (5.88) | ||
| Autoimmune—no. (%) | ||||||||
| No | 262 (90.34) | 172 (91.01) | 96 (90.57) | 76 (91.57) | 0.811 | 124 (89.86) | 48 (94.12) | 0.363 |
| Yes | 28 (9.66) | 17 (8.99) | 10 (9.43) | 7 (8.43) | 14 (10.14) | 3 (5.88) | ||
| Antibody Measurements | ||||||||
| 1st month | ||||||||
| Median (IQR) | 154.50 (69.00–189.00) | 156.00 (77.00–194.00) | 154.50 (61.00–188.00) | 160.00 (100.00–201.00) | 0.031 | 155.50 (73.00–191.00) | 164.00 (114.00–195.00) | 0.082 |
| Mean (sd) | 146.08 (100.16) | 153.49 (97.24) | 140.52 (91.15) | 170.05 (102.68) | 146.63 (94.35) | 172.04 (103.33) | ||
| 4th month | ||||||||
| Median (IQR) | 18.50 (11.00–38.00) | 20.00 (12.00–41.00) | 18.00 (11.00–34.00) | 26.00 (13.00–53.00) | 0.007 | 19.00 (11.00–39.00) | 26.00 (13.00–60.00) | 0.038 |
| Mean (sd) | 32.45 (37.52) | 32.38 (32.22) | 26.26 (25.33) | 40.19 (38.07) | 29.08 (28.71) | 41.31 (39.18) | ||
| 9th month | ||||||||
| Median (IQR) | - | 3.98 (2.46–6.95) | 3.48 (2.38–5.99) | 5.49 (2.80–8.82) | 0.058 | 3.59 (2.31–6.40) | 5.38 (2.87–8.44) | 0.069 |
| Mean (sd) | 19.65 (109.17) | 6.37 (18.36) | 36.61 (162.40) | 10.89 (56.09) | 43.37 (188.17) | |||
| INDEX OSP | - | 0.72 (0.33–1.95) | 0.36 (0.22–0.52) | 2.14 (1.53–3.11) | <0.001 | 0.46 (0.26–1.03) | 2.47 (1.74–4.75) | <0.001 |
| INDEX VSP | - | 0.43 (0.17–1.15) | 0.19 (0.10–0.38) | 1.24 (0.72–1.95) | <0.001 | 0.24 (0.12–0.47) | 1.79 (1.41–2.88) | <0.001 |
| INDEX Nucleocapsid Protein | - | 0.04 (0.00–0.09) | 0.05 (0.02–0.11) | 0.00 (−0.04–0.07) | 0.001 | 0.04 (0.01–0.09) | 0.01 (−0.03–0.09) | 0.715 |
| Cellular immunity OSP—no. (%) | ||||||||
| No | - | 106 (56.08) | 106 (100.00) | 0 (0.00) | <0.001 | 103 (74.64) | 3 (5.88) | <0.001 |
| Yes | - | 83 (43.92) | 0 (0.00) | 83 (100.00) | 35 (25.36) | 48 (94.12) | ||
| Cellular immunity VSP—no. (%) | ||||||||
| No | - | 138 (73.02) | 103 (97.17) | 35 (42.17) | <0.001 | 138 (100.00) | 0 (0.00) | <0.001 |
| Yes | - | 51 (26.98) | 3 (2.83) | 48 (57.83) | 0 (0.00) | 51 (100.00) | ||
| Characteristic | First Month—Median (IQR) | p-Value | Fourth Month—Median (IQR) | p-Value | Ninth Month—Median (IQR) | p-Value |
|---|---|---|---|---|---|---|
| Age Category | ||||||
| ≤40 | 172.00 (106.00–210.00) | 0.003 | 32.00 (17.00–52.00) | <0.001 | 5.66 (3.45–8.65) | <0.001 |
| >40 | 151.50 (67.00–184.00) | 16.00 (10.00–33.00) | 3.01 (1.92–6.30) | |||
| Gender | ||||||
| Male | 153.50 (75.50–192.50) | 0.425 | 18.50 (11.50–33.00) | 0.151 | 3.60 (2.68–6.31) | 0.515 |
| Female | 159.00 (84.00–198.00) | 22.00 (12.00–52.00) | 4.32 (2.34–8.25) | |||
| BMI Category | ||||||
| Underweight/Normal | 156.00 (87.00–202.00) | 0.877 | 22.00 (13.00–41.00) | 0.372 | 4.32 (2.67–7.51) | 0.086 |
| Overweight | 155.50 (69.00–191.00) | 18.00 (11.00–42.00) | 3.49 (2.26–6.89) | |||
| Obese/Extreme Obese | 161.00 (80.50–198.50) | 24.00 (13.00–43.50) | 3.59 (2.30–6.80) | |||
| Smoking | ||||||
| No | 159.00 (100.00–195.00) | 0.009 | 24.00 (13.00–49.00) | <0.001 | 4.78 (2.84–8.22) | <0.001 |
| Yes | 123.00 (58.00–184.00) | 15.50 (10.00–29.50) | 2.94 (1.61–5.54) | |||
| Hypertension | ||||||
| No | 156.00 (77.00–194.00) | 0.915 | 20.00 (12.00–42.00) | 0.564 | 3.98 (2.53–7.14) | 0.581 |
| Yes | 156.50 (61.00–212.00) | 20.50 (7.00–35.00) | 3.58 (1.37–6.95) | |||
| Immunosuppression | ||||||
| No | 156.00 (77.00–194.00) | 0.494 | 20.00 (12.00–41.00) | 0.413 | 3.98 (2.46–6.95) | 0.732 |
| Yes | 179.00 (126.00–196.50) | 44.50 (13.50–109.50) | 5.08 (2.36–10.79) | |||
| Dyslipidemia | ||||||
| No | 156.00 (74.00–194.00) | 0.681 | 20.00 (12.00–41.00) | 0.705 | 3.97 (2.53–6.95) | 0.842 |
| Yes | 156.00 (94.00–224.00) | 20.00 (10.00–69.00) | 4.93 (2.00–7.51) | |||
| Autoimmune | ||||||
| No | 156.00 (80.00–194.50) | 0.488 | 21.00 (12.00–43.50) | 0.172 | 4.16 (2.50–7.45) | 0.245 |
| Yes | 154.00 (77.00–180.00) | 18.00 (9.00–28.00) | 3.02 (2.23–5.78) |
| Univariate Mixed Linear Model | Multivariate Mixed Linear Model | ||||
|---|---|---|---|---|---|
| (1) | (2) | (3) | (4) | ||
| n = 567 | n = 378 | n = 378 | n = 567 | n = 567 | |
| Months 1 to 9 | Months 1 to 4 | Months 4 to 9 | Months 1 to 9 | Months 1 to 9 | |
| Dependent Variable: Ln (Antibodies) | β Estimate, 95% CI, p-Value | β Estimate, 95% CI, p-Value | β Estimate, 95% CI, p-Value | β Estimate, 95% CI, p-Value | β Estimate, 95% CI, p-Value |
| Age > 40 | −0.467 (−0.742–−0.193) p = 0.001 | −0.454 (−0.717–−0.192) p = 0.001 | −0.537 (−0.815–−0.258) p < 0.001 | −0.466 (−0.765–−0.167) p = 0.002 | - |
| Female gender | 0.067 (−0.201–0.336) p = 0.622 | 0.132 (−0.127–0.391) p = 0.317 | 0.069 (−0.205–0.344) p = 0.620 | 0.071 (−0.224–0.365) p = 0.638 | 0.073 (−0.223–0.369) p = 0.628 |
| BMI (ref < 25) Overweight | −0.062 (−0.354–0.229) p = 0.676 | −0.014 (−0.296–0.268) p = 0.923 | −0.004 (−0.303–0.296) p = 0.981 | −0.010 (−0.332–0.311) p = 0.950 | −0.009 (−0.331 –0.313) p = 0.958 |
| Obese/Extreme Obese | 0.141 (−0.259–0.542) p = 0.490 | 0.262 (−0.114–0.638) p = 0.171 | 0.397 (−0.002–0.796) p = 0.051 | 0.317 (−0.111–0.746) p = 0.146 | 0.313 (−0.119–0.745) p = 0.155 |
| Smoking | −0.408 (−0.694–−0.122) p = 0.005 | −0.287 (−0.545–−0.028) p = 0.030 | −0.378 (−0.652–−0.103) p = 0.007 | −0.328 (−0.623–−0.033) p = 0.029 | - |
| Hypertension | −0.106 (−0.619–0.406) p = 0.684 | 0.046 (−0.421–0.513) p = 0.847 | 0.074 (−0.422–0.570) p = 0.769 | 0.066 (−0.467–0.598) p = 0.809 | 0.068 (−0.465–0.602) p = 0.802 |
| Immunosuppression | 0.232 (−0.700–1.164) p = 0.626 | 0.335 (−0.505–1.175) p = 0.435 | 0.283 (−0.608–1.174) p = 0.534 | 0.243 (−0.714–1.199) p = 0.619 | 0.242 (−0.715–1.200) p = 0.620 |
| Dyslipidemia | 0.102 (−0.471–0.675) p = 0.728 | 0.294 (−0.221–0.809) p = 0.263 | 0.320 (−0.227–0.866) p = 0.252 | 0.286 (−0.301–0.872) p = 0.340 | 0.284 (−0.304–0.872) p = 0.344 |
| Autoimmune | −0.273 (−0.742–0.195) p = 0.253 | −0.267 (−0.700–0.166) p = 0.226 | −0.372 (−0.831–0.087) p = 0.112 | −0.292 (−0.785–0.201) p = 0.246 | −0.291 (−0.785–0.203) p = 0.248 |
| Interaction Effect | |||||
| (ref: Age ≤ 40 and No Smoking) | |||||
| Age ≤ 40 and Smoking | −0.289 (−0.820 –0.241) p = 0.285 | ||||
| Age > 40 and No Smoking | −0.451 (−0.797 –−0.106) p = 0.010 | ||||
| Age > 40 and Smoking | −0.796 (−1.177 –−0.416) p < 0.001 | ||||
| Variable | Univariate Analysis | Multivariate Analysis | |
|---|---|---|---|
| (1) | (2) | ||
| n = 189 | n = 189 | n = 189 | |
| OR, 95% CI, p-Value | OR, 95% CI, p-Value | OR, 95% CI, p-Value | |
| Part A: Cellular immunity OSP | |||
| Age > 40 | 0.705 (0.390–1.276) p = 0.248 | 0.931 (0.458–1.894) p = 0.844 | 0.939 (0.463–1.906) p = 0.862 |
| Female gender | 0.565 (0.316–1.010) p = 0.054 | 0.477 (0.238–0.956) p = 0.037 | 0.515 (0.260–1.021) p = 0.057 |
| BMI (ref < 25) Overweight | 1.263 (0.675–2.363) p = 0.465 | 0.972 (0.465–2.033) p = 0.940 | 1.065 (0.514–2.209) p = 0.866 |
| Obese/Extreme Obese | 1.486 (0.631–3.496) p = 0.365 | 0.889 (0.325–2.434) p = 0.819 | 1.073 (0.404–2.852) p = 0.888 |
| Smoking | 0.645 (0.344–1.210) p = 0.172 | 0.720 (0.362–1.432) p = 0.349 | 0.731 (0.367–1.458) p = 0.374 |
| Hypertension | 1.303 (0.438–3.872) p = 0.634 | 1.519 (0.459–5.027) p = 0.493 | 1.419 (0.428–4.706) p = 0.567 |
| Immunosuppression | 0.419 (0.043–4.100) p = 0.455 | 0.235 (0.018–3.004) p = 0.265 | 0.369 (0.034–4.011) p = 0.412 |
| Dyslipidemia | 1.068 (0.314–3.630) p = 0.916 | 1.070 (0.266–4.301) p = 0.924 | 1.204 (0.308–4.704) p = 0.790 |
| Autoimmune | 0.884 (0.322–2.432) p = 0.812 | 1.293 (0.418–3.995) p = 0.656 | 1.151 (0.372–3.557) p = 0.807 |
| Antibodies 1st month | 1.003 (1.000–1.006) p = 0.044 | 1.001 (0.997–1.005) p = 0.775 | |
| Antibodies 4th month | 1.015 (1.004–1.025) p = 0.005 | 1.016 (1.002–1.031) p = 0.028 | |
| Antibodies 9th month | 1.007 (0.994–1.021) p = 0.276 | 1.005 (0.997–1.013) p = 0.224 | |
| Ln (Antibodies 1st month) | 1.645 (1.073–2.523) p = 0.023 | 1.139 (0.594–2.187) p = 0.695 | |
| Ln (Antibodies 4th month) | 1.601 (1.135–2.258) p = 0.007 | 1.309 (0.694–2.470) p = 0.406 | |
| Ln (Antibodies 9th month) | 1.545 (1.125–2.124) p = 0.007 | 1.253 (0.866–1.812) p = 0.232 | |
| Part B: Cellular immunity VSP | |||
| Age > 40 | 0.649 (0.338–1.248) p = 0.195 | 0.677 (0.311–1.474) p = 0.326 | 0.719 (0.328–1.574) p = 0.409 |
| Female gender | 0.791 (0.416–1.506) p = 0.476 | 0.828 (0.385–1.778) p = 0.628 | 0.848 (0.396–1.815) p = 0.671 |
| BMI (ref < 25) Overweight | 1.330 (0.660–2.677) p = 0.425 | 1.265 (0.561–2.851) p = 0.570 | 1.332 (0.593–2.992) p = 0.488 |
| Obese/Extreme Obese | 1.257 (0.483–3.269) p = 0.639 | 0.833 (0.261–2.658) p = 0.757 | 1.006 (0.330–3.074) p = 0.991 |
| Smoking | 0.757 (0.372–1.539) p = 0.441 | 0.893 (0.413–1.931) p = 0.773 | 0.904 (0.416–1.963) p = 0.799 |
| Hypertension | 2.167 (0.713–6.584) p = 0.173 | 3.518 (1.077–12.102) p = 0.054 | 3.162 (0.920–10.860) p = 0.067 |
| Immunosuppression | 0.900 (0.091–8.855) p = 0.928 | 0.730 (0.053–10.020) p = 0.814 | 0.966 (0.078–11.892) p = 0.978 |
| Dyslipidemia | 1.016 (0.259–3.987) p = 0.982 | 1.086 (0.240–4.924) p = 0.915 | 1.158 (0.260–5.165) p = 0.847 |
| Autoimmune | 0.554 (0.152–2.012) p = 0.369 | 0.660 (0.157–2.768) p = 0.570 | 0.609 (0.145–2.546) p = 0.496 |
| Antibodies 1st month | 1.003 (0.999–1.006) p = 0.118 | 1.001 (0.997–1.005) p = 0.766 | |
| Antibodies 4th month | 1.011 (1.001–1.020) p = 0.026 | 1.010 (0.997–1.023) p = 0.123 | |
| Antibodies 9th month | 1.003 (0.999–1.006) p = 0.153 | 1.003 (0.999–1.006) p = 0.116 | |
| Ln (Antibodies 1st month) | 1.607 (0.982–2.631) p = 0.059 | 1.231 (0.580–2.614) p = 0.589 | |
| Ln (Antibodies 4th month) | 1.534 (1.053–2.235) p = 0.026 | 1.113 (0.562–2.204) p = 0.759 | |
| Ln (Antibodies 9th month) | 1.455 (1.076–1.968) p = 0.015 | 1.294 (0.909–1.843) p = 0.152 | |
Disclaimer/Publisher’s Note: The statements, opinions and data contained in all publications are solely those of the individual author(s) and contributor(s) and not of MDPI and/or the editor(s). MDPI and/or the editor(s) disclaim responsibility for any injury to people or property resulting from any ideas, methods, instructions or products referred to in the content. |
© 2023 by the authors. Licensee MDPI, Basel, Switzerland. This article is an open access article distributed under the terms and conditions of the Creative Commons Attribution (CC BY) license (https://creativecommons.org/licenses/by/4.0/).
Share and Cite
Syrimi, N.; Sourri, F.; Giannakopoulou, M.-C.; Karamanis, D.; Pantousas, A.; Georgota, P.; Rokka, E.; Vladeni, Z.; Tsiantoula, E.; Soukara, E.; et al. Humoral and Cellular Response and Associated Variables Nine Months following BNT162b2 Vaccination in Healthcare Workers. J. Clin. Med. 2023, 12, 3172. https://doi.org/10.3390/jcm12093172
Syrimi N, Sourri F, Giannakopoulou M-C, Karamanis D, Pantousas A, Georgota P, Rokka E, Vladeni Z, Tsiantoula E, Soukara E, et al. Humoral and Cellular Response and Associated Variables Nine Months following BNT162b2 Vaccination in Healthcare Workers. Journal of Clinical Medicine. 2023; 12(9):3172. https://doi.org/10.3390/jcm12093172
Chicago/Turabian StyleSyrimi, Natalia, Flora Sourri, Maria-Christina Giannakopoulou, Dimitrios Karamanis, Asterios Pantousas, Persefoni Georgota, Eleni Rokka, Zoe Vladeni, Euaggelia Tsiantoula, Evangelia Soukara, and et al. 2023. "Humoral and Cellular Response and Associated Variables Nine Months following BNT162b2 Vaccination in Healthcare Workers" Journal of Clinical Medicine 12, no. 9: 3172. https://doi.org/10.3390/jcm12093172
APA StyleSyrimi, N., Sourri, F., Giannakopoulou, M.-C., Karamanis, D., Pantousas, A., Georgota, P., Rokka, E., Vladeni, Z., Tsiantoula, E., Soukara, E., Lavda, N., Gkaragkanis, D., Zisaki, A., Vakalidis, P., Goula, V., Loupou, E., Palaiodimos, L., & Hatzigeorgiou, D. (2023). Humoral and Cellular Response and Associated Variables Nine Months following BNT162b2 Vaccination in Healthcare Workers. Journal of Clinical Medicine, 12(9), 3172. https://doi.org/10.3390/jcm12093172

