Usefulness of 18F-Fluorodeoxyglucose Positron Emission Tomography in Diagnosing Polymyalgia Rheumatica and Large-Vessel Vasculitis: A Case-Control Study
Abstract
1. Introduction
2. Patients and Methods
2.1. Study Design and Patient Recruitment
2.2. Study Protocol
2.2.1. Patient Disease Assessment
2.2.2. FDG-PET/CT Equipment and Protocol
2.3. Statistical Analysis
3. Results
3.1. Patients and Controls
3.2. Comparison of FDG Uptake Score and Number of Sites with Score ≥ 2
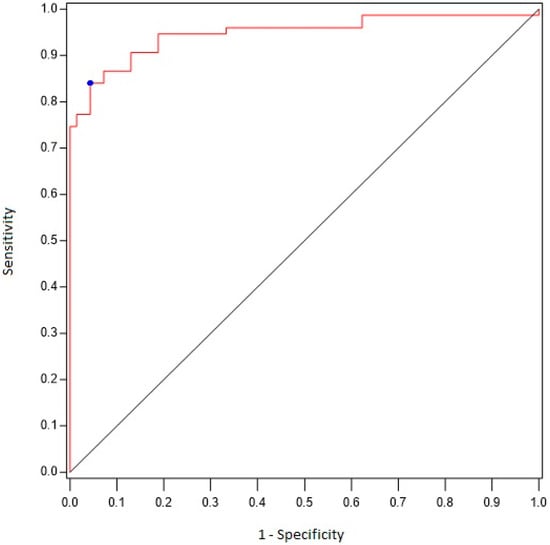
3.3. Sensitivity and Specificity of FDG-PET/CT Findings for the Differential Diagnosis of PMR Compared to Controls
3.4. Subgroup Analysis of the Effect of Corticosteroids on FDG Uptake
3.5. Comparison of FDG Vascular Uptake Score and Number of Patients with Score ≥ 2
4. Discussion
5. Significance and Innovation
- -
- FDG-PET/CT might be an important diagnostic tool in patients with suspected polymyalgia rheumatica;
- -
- No significant differences in the global FDG vascular uptake scores were found between the patients who were considered to have isolated PMR and the control groups.
Supplementary Materials
Author Contributions
Funding
Informed Consent Statement
Data Availability Statement
Conflicts of Interest
References
- Gonzalez-Gay, M.A.; Vazquez-Rodriguez, T.R.; Lopez-Diaz, M.J.; Miranda-Filloy, J.A.; Gonzalez-Juanatey, C.; Martin, J.; Llorca, J. Epidemiology of giant cell arteritis and polymyalgia rheumatica. Arthritis Rheum. 2009, 61, 1454–1461. [Google Scholar] [CrossRef] [PubMed]
- González-Gay, M.A.; Matteson, E.L.; Castañeda, S. Polymyalgia rheumatica. Lancet 2017, 390, 1700–1712. [Google Scholar] [CrossRef] [PubMed]
- Masson, C.; Gonzalez-Gay, M.A. Polymyalgia rheumatica and giant cell arteritis. In EULAR Textbook on Rheumatic Diseases, 2nd ed.; Bijlsma, J.W.J., Hachulla, E., Eds.; BMJ Publishing Group: London, UK, 2015; pp. 754–778. [Google Scholar]
- Chuang, T.Y.; Hunder, G.G.; Ilstrup, D.M.; Kurland, L.T. Polymyalgia rheumatica: A 10-year epidemiologic and clinical study. Ann. Intern. Med. 1982, 97, 672–680. [Google Scholar] [CrossRef] [PubMed]
- Pease, C.T.; Haugeberg, G.; Montague, B.; Hensor, E.M.A.; Bhakta, B.B.; Thomson, W.; Ollier, W.E.R.; Morgan, A.W. Polymyalgia rheumatica can be distinguished from late onset rheumatoid arthritis at baseline: Results of a 5-yr prospective study. Rheumatology 2009, 48, 123–127. [Google Scholar] [CrossRef]
- Gran, J.T.; Myklebust, G. The incidence and clinical characteristics of peripheral arthritis in polymyalgia rheumatica and temporal arteritis: A prospective study of 231 cases. Rheumatology 2000, 39, 283–287. [Google Scholar] [CrossRef] [PubMed]
- Salvarani, C.; Cantini, F.; Hunder, G.G. Polymyalgia rheumatica and giant-cell arteritis. Lancet 2008, 372, 234–245. [Google Scholar] [CrossRef]
- Dejaco, C.; Singh, Y.P.; Perel, P.; Hutchings, A.; Camellino, D.; Mackie, S.; Abril, A.; Bachta, A.; Balint, P.; Barraclough, K.; et al. 2015 recommendations for the management of polymyalgia rheumatica: A European League Against Rheumatism/American College of Rheumatology collaborative initiative. Arthritis Rheum. 2015, 67, 2569–2580. [Google Scholar] [CrossRef]
- Devauchelle-Pensec, V.; Berthelot, J.M.; Cornec, D.; Renaudineau, Y.; Marhadour, T.; Jousse-Joulin, S.; Querellou, S.; Garrigues, F.; De Bandt, M.; Gouillou, M.; et al. Efficacy of first-line tocilizumab therapy in early polymyalgia rheumatica: A prospective longitudinal study. Ann. Rheum. Dis. 2016, 75, 1506–1510. [Google Scholar] [CrossRef]
- Dasgupta, B.; Cimmino, M.A.; Kremers, H.M.; Schmidt, W.A.; Schirmer, M.; Salvarani, C.; Bachta, A.; Dejaco, C.; Duftner, C.; Jensen, H.S.; et al. 2012 Provisional classification criteria for polymyalgia rheumatica: A European League Against Rheumatism/American College of Rheumatology collaborative initiative. Arthritis Rheum. 2012, 64, 943–954. [Google Scholar] [CrossRef]
- Sondag, M.; Guillot, X.; Verhoeven, F.; Blagosklonov, O.; Prati, C.; Boulahdour, H.; Wendling, D. Utility of 18F-fluoro-dexoxyglucose positron emission tomography for the diagnosis of polymyalgia rheumatica: A controlled study. Rheumatology 2016, 55, 1452–1457. [Google Scholar] [CrossRef]
- Blockmans, D.; De Ceuninck, L.; Vanderschueren, S.; Knockaert, D.; Mortelmans, L.; Bobbaers, H. Repetitive 18-fluorodeoxyglucose positron emission tomography in isolated polymyalgia rheumatica: A prospective study in 35 patients. Rheumatology 2007, 46, 672–677. [Google Scholar] [CrossRef] [PubMed]
- Palard-Novello, X.; Querellou, S.; Gouillou, M.; Saraux, A.; Marhadour, T.; Garrigues, F.; Abgral, R.; Salaün, P.Y.; Devauchelle-Pensec, V. Value of (18)F-FDG PET/CT for therapeutic assessment of patients with polymyalgia rheumatica receiving tocilizumab as first-line treatment. Eur. J. Nucl. Med. Mol. Imaging 2016, 43, 773–779. [Google Scholar] [CrossRef] [PubMed]
- Narváez, J.; Estrada, P.; López-Vives, L.; Ricse, M.; Zacarías, A.; Heredia, S.; Gómez-Vaquero, C.; Nolla, J.M. Prevalence of ischemic complications in patients with giant cell arteritis presenting with apparently isolated polymyalgia rheumatica. Semin. Arthritis Rheum. 2015, 45, 328–333. [Google Scholar] [CrossRef] [PubMed]
- Henckaerts, L.; Gheysens, O.; Vanderschueren, S.; Goffin, K.; Blockmans, D. Use of 18F-fluorodeoxyglucose positron emission tomography in the diagnosis of polymyalgia rheumatica-A prospective study of 99 patients. Rheumatology 2018, 57, 1908–1916. [Google Scholar] [CrossRef] [PubMed]
- Durant, C.; Hervier, B.; Ansquer, C.; Masseau, A.; Hamidou, M. Occult Hodgkin lymphoma presenting as polymyalgia rheumatica: Value of [18F]-FDG positron emission tomography. Ann. Hematol. 2010, 89, 11–12. [Google Scholar] [CrossRef] [PubMed]
- Verhoeven, F.; Guillot, X.; Chouk, M.; Prati, C.; Wendling, D. Polymyalgia Rheumatica Revealing a Lymphoma: A Two-Case Report. Case Rep. Rheumatol. 2016, 2016, 2986297. [Google Scholar] [CrossRef] [PubMed]
- Slart, R.H.J.A.; Writing Group; Reviewer Group; Members of EANM Cardiovascular; Members of EANM Infection & Inflammation; Members of Committees, SNMMI Cardiovascular; Members of Council, PET Interest Group; Members of ASNC; EANM Committee Coordinator. FDG-PET/CT(A) imaging in large vessel vasculitis and polymyalgia rheumatica: Joint procedural recommendation of the EANM, SNMMI, and the PET Interest Group (PIG), and endorsed by the ASNC. Eur. J. Nucl. Med. Mol. Imaging 2018, 45, 1250–1269. [Google Scholar] [CrossRef]
- Takahashi, H.; Yamashita, H.; Kubota, K.; Miyata, Y.; Okasaki, M.; Morooka, M.; Takahashi, Y.; Kaneko, H.; Kano, T.; Mimori, A. Differences in fluorodeoxyglucose positron emission tomography/computed tomography findings between elderly onset rheumatoid arthritis and polymyalgia rheumatica. Mod. Rheumatol. 2015, 25, 546–551. [Google Scholar] [CrossRef]
- Prieto-Peña, D.; Martínez-Rodríguez, I.; Loricera, J.; Banzo, I.; Calderón-Goercke, M.; Calvo-Río, V.; González-Vela, C.; Corrales, A.; Castañeda, S.; Blanco, R.; et al. Predictors of positive 18F-FDG PET/CT-scan for large vessel vasculitis in patients with persistent polymyalgia rheumatica. Semin. Arthritis Rheum. 2019, 48, 720–727. [Google Scholar] [CrossRef]
- Camellino, D.; Paparo, F.; Morbelli, S.D.; Pesce, G.; Bauckneht, M.; Bagnasco, M.; Cutolo, M.; Sambuceti, G.; Cimmino, M.A. Clinical and FDG-PET/CT correlates in patients with polymyalgia rheumatica. Clin. Exp. Rheumatol. 2022, 40, 78–85. [Google Scholar] [CrossRef]
- Cimmino, M.A.; Zampogna, G.; Parodi, M. Is FDG-PET useful in the evaluation of steroid-resistant PMR patients? Rheumatology 2008, 6, 926–927. [Google Scholar] [CrossRef] [PubMed]
- Prieto-Peña, D.; Castañeda, S.; Martínez-Rodríguez, I.; Atienza-Mateo, B.; Blanco, R.; González-Gay, M.A. Imaging Tests in the Early Diagnosis of Giant Cell Arteritis. J. Clin. Med. 2021, 10, 3704. [Google Scholar] [CrossRef] [PubMed]

| PMR Group | Control Group | |||
|---|---|---|---|---|
| N | Mean ± SD Median [IQR] or Number (%) | N | Mean ± SD Median [IQR] or Number (%) | |
| Age at inclusion, years | 81 | 70.8 ± 9.7 71.0 [62.9; 79.1] | 81 | 70.7 ± 9.9 71.0 [61.7; 78.4] |
| Female sex | 81 | 37 (45.7) | 81 | 37 (45.7) |
| Body Mass Index, kg/m2 | 64 | 26.9 ± 4.8 26.5 [23.3; 30.1] | 40 | 25.5 ± 6.1 24.9 [21.9; 27.2] |
| Hypertension | 77 | 54 (70.1) | 81 | 55 (67.9) |
| Dyslipidemia | 80 | 33 (41.3) | 81 | 43 (53.1) |
| Diabetes mellitus | 81 | 17 (21.0) | 81 | 23 (28.4) |
| History of neoplasia | 81 | 20 (24.7) | 81 | 13 (16.0) |
| Clinical characteristics | ||||
| Fever (temperature ≥ 38 °C) | 74 | 7 (9.5) | - | - |
| Weight loss (≥5%) | 67 | 32 (47.8) | - | - |
| Morning stiffness (≥30 min) | 52 | 40 (76.9) | - | - |
| Shoulder girdle pain | 79 | 69 (87.3) | - | - |
| Hip girdle pain | 79 | 45 (57.0) | - | - |
| Peripheral joint involvement | 79 | 22 (27.9) | - | - |
| Laboratory values | ||||
| ESR, mm/h | 61 | 42 ± 28 39 [24; 52] | - | - |
| CRP, mg/L | 81 | 60 ± 53 42 [15; 102] | - | - |
| Treatment | ||||
| Current corticosteroids | 81 | 45 (55.6) | - | - |
| Corticosteroids dose | 45 | 15.3 ± 10.8 14.0 [6.8; 20.0] | - | - |
| Current NSAID | 81 | 22 (27.2) | - | - |
| Current MTX | 81 | 4 (4.9) | - | - |
| PMR Group (n = 81) | Control Group (n = 81) | p-Value | |
|---|---|---|---|
| Total skeletal score (0–51), FDG uptake (0–3) for each site | 31 [21 to 37] | 6 [3 to 10] | <0.001 |
| Number of sites (0–17) with significant uptake (≥2) | 11 [7 to 13] | 1 [0 to 2] | <0.001 |
| Location * | FDG Uptake Score (0–3) | Patients with Significant Uptake (≥2) | ||||
|---|---|---|---|---|---|---|
| PMR Group (n = 81) | Control Group (n = 81) | p-Value | PMR Group (n = 81) | Control Group (n = 81) | p-Value | |
| Acromioclavicular joints | 1.5 [1 to 2] | 1 [0 to 1] | <0.001 | 31 (38.3) | 6 (7.4) | <0.001 |
| Glenohumeral joints | 2.5 [2 to 3] | 1 [0 to 1.5] | <0.001 | 65 (81.3) | 9 (11.1) | <0.001 |
| Sternoclavicular joints | 1 [0 to 2.5] | 0 [0 to 0] | <0.001 | 31 (38.3) | 0 (0) | NA |
| Greater trochanters | 2 [1 to 2.5] | 1 [0.5 to 1] | <0.001 | 51 (63.0) | 6 (7.4) | <0.001 |
| Hips | 3 [2 to 3] | 0 [0 to 1] | <0.001 | 58 (77.3) | 3 (4.3) | <0.001 |
| Ischial tuberosities | 2 [1 to 3] | 0 [0 to 0] | <0.001 | 55 (67.9) | 2 (2.5) | <0.001 |
| Iliopectineal bursae | 1 [0 to 2] | 0 [0 to 0] | <0.001 | 23 (30.7) | 0 (0) | NA |
| Pubic symphysis entheses | 0 [0 to 1.5] | 0 [0 to 0] | <0.001 | 19 (23.5) | 1 (1.2) | 0.003 |
| Interspinous process | 2 [0 to 3] | 0 [0 to 1] | <0.001 | 48 (59.3) | 7 (8.6) | <0.001 |
| Location * | Area under the Curve ** | Optimal Cut-Off Values for FDG Uptake Score | Sensitivity | Specificity |
|---|---|---|---|---|
| Acromioclavicular joints | 0.73 | 1.5 | 0.56 | 0.77 |
| Glenohumeral joints | 0.89 | 2 | 0.81 | 0.89 |
| Sternoclavicular joints | 0.80 | 0.5 | 0.72 | 0.81 |
| Greater trochanters | 0.84 | 1.5 | 0.74 | 0.83 |
| Hips | 0.92 | 2 | 0.77 | 0.96 |
| Ischial tuberosities | 0.89 | 1 | 0.84 | 0.83 |
| Iliopectineal bursae | 0.81 | 0.5 | 0.64 | 0.96 |
| Pubic symphysis entheses | 0.71 | 0.5 | 0.49 | 0.90 |
| Interspinous process | 0.78 | 2 | 0.59 | 0.91 |
| FDG Uptake Score (0–3) | Patients with Significant Uptake (≥2) | |||
|---|---|---|---|---|
| PMR Group (n = 71) | Control Group (n = 71) | PMR Group (n = 71) | Control Group (n = 71) | |
| Ascending thoracic aorta | 0 [0 to 0] | 0 [0 to 0] | 0 (0) | 0 (0) |
| Aortic arch | 0 [0 to 0] | 0 [0 to 0] | 0 (0) | 0 (0) |
| Descending thoracic aorta | 0 [0 to 0] | 0 [0 to 0] | 1 (1.4) | 0 (0) |
| Abdominal aorta | 0 [0 to 0] | 1 [0 to 0] | 1 (1.4) | 0 (0) |
| Pulmonary arteries | 0 [0 to 0] | 0 [0 to 0] | 0 (0) | 0 (0) |
| Subclavian arteries | 0 [0 to 1] | 0 [0 to 1] | 3 (4.2) | 7 (9.8) |
| Axillary arteries | 0 [0 to 1] | 1 [0 to 1] | 2 (2.8) | 4 (5.6) |
| Vertebral arteries | 0 [0 to 0] | 0 [0 to 0] | 1 (1.4) | 0 (0) |
| Carotid arteries | 0 [0 to 0] | 0 [0 to 0] | 0 (0) | 1 (1.4) |
Disclaimer/Publisher’s Note: The statements, opinions and data contained in all publications are solely those of the individual author(s) and contributor(s) and not of MDPI and/or the editor(s). MDPI and/or the editor(s) disclaim responsibility for any injury to people or property resulting from any ideas, methods, instructions or products referred to in the content. |
© 2023 by the authors. Licensee MDPI, Basel, Switzerland. This article is an open access article distributed under the terms and conditions of the Creative Commons Attribution (CC BY) license (https://creativecommons.org/licenses/by/4.0/).
Share and Cite
Desvages, A.; Hives, F.; Deprez, X.; Pierache, A.; Béhal, H.; Flipo, R.-M.; Paccou, J. Usefulness of 18F-Fluorodeoxyglucose Positron Emission Tomography in Diagnosing Polymyalgia Rheumatica and Large-Vessel Vasculitis: A Case-Control Study. J. Clin. Med. 2023, 12, 2844. https://doi.org/10.3390/jcm12082844
Desvages A, Hives F, Deprez X, Pierache A, Béhal H, Flipo R-M, Paccou J. Usefulness of 18F-Fluorodeoxyglucose Positron Emission Tomography in Diagnosing Polymyalgia Rheumatica and Large-Vessel Vasculitis: A Case-Control Study. Journal of Clinical Medicine. 2023; 12(8):2844. https://doi.org/10.3390/jcm12082844
Chicago/Turabian StyleDesvages, Anne, Florent Hives, Xavier Deprez, Adeline Pierache, Hélène Béhal, René-Marc Flipo, and Julien Paccou. 2023. "Usefulness of 18F-Fluorodeoxyglucose Positron Emission Tomography in Diagnosing Polymyalgia Rheumatica and Large-Vessel Vasculitis: A Case-Control Study" Journal of Clinical Medicine 12, no. 8: 2844. https://doi.org/10.3390/jcm12082844
APA StyleDesvages, A., Hives, F., Deprez, X., Pierache, A., Béhal, H., Flipo, R.-M., & Paccou, J. (2023). Usefulness of 18F-Fluorodeoxyglucose Positron Emission Tomography in Diagnosing Polymyalgia Rheumatica and Large-Vessel Vasculitis: A Case-Control Study. Journal of Clinical Medicine, 12(8), 2844. https://doi.org/10.3390/jcm12082844

