Characteristics, Outcomes, and Factors Affecting Mortality in Hospitalized Patients with CAP Due to Different Variants of SARS-CoV-2 and Non-COVID-19 CAP
Abstract
:1. Introduction
2. Methodology
2.1. Study Design and Population
2.2. Inclusion and Exclusion Criteria
2.3. Definition and Diagnosis Criteria
2.4. Sample Collection and Pathogen Identification
2.5. Statistical Analyses
2.6. Ethical Statement
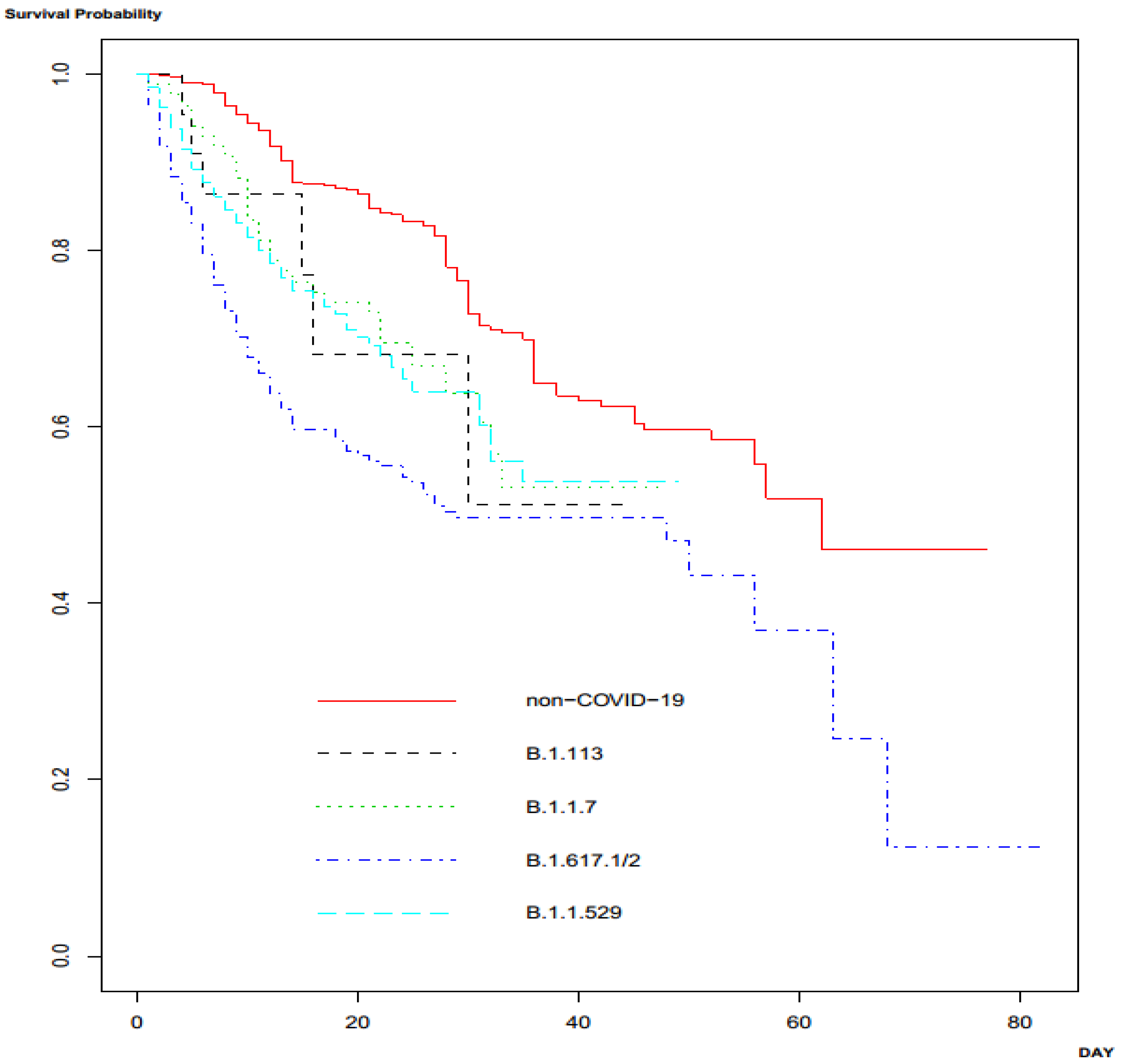
3. Results
4. Discussion
Supplementary Materials
Author Contributions
Funding
Institutional Review Board Statement
Informed Consent Statement
Data Availability Statement
Acknowledgments
Conflicts of Interest
References
- GBD Results Tool. GHDx. Available online: http://ghdx.healthdata.org/gbd-results-tool (accessed on 17 June 2020).
- Salah, H.M.; Minhas, A.M.K.; Khan, M.S.; Pandey, A.; Michos, E.D.; Mentz, R.J.; Fudim, M. Causes of hospitalization in the USA between 2005 and 2018. Eur. Heart J. Open. 2021, 1, oeab001. [Google Scholar] [CrossRef] [PubMed]
- Campling, J.; Wright, H.F.; Hall, G.C.; Mugwagwa, T.; Vyse, A.; Mendes, D.; Slack, M.P.E.; Ellsbury, G.F. Hospitalization costs of adult community-acquired pneumonia in England. J. Med. Econ. 2022, 25, 912–918. [Google Scholar] [CrossRef] [PubMed]
- Angus, D.C.; Marrie, T.J.; Obrosky, D.S.; Clermont, G.; Dremsizov, T.T.; Coley, C.; Fine, M.J.; Singer, D.E.; Kapoor, W.N. Severe community-acquired pneumonia: Use of intensive care services and evaluation of American and British Thoracic Society Diagnostic criteria. Am. J. Respir. Crit. Care Med. 2002, 166, 717–723. [Google Scholar] [CrossRef] [PubMed]
- Pfuntner, A.; Wier, L.M.; Steiner, C. Costs for Hospital Stays in the United States, 2011. In Healthcare Cost and Utilization Project (HCUP) Statistical Briefs; Agency for Healthcare Research and Quality (US): Rockville, MD, USA, 2006. Available online: http://www.ncbi.nlm.nih.gov/books/NBK179289 (accessed on 24 October 2022).
- Jain, S.; Self, W.H.; Wunderink, R.G.; Fakhran, S.; Balk, R.; Bramley, A.M.; Chappell, J.D. Community-acquired pneumonia requiring hospitalization among U.S. adults. N. Engl. J. Med. 2015, 373, 415–427. [Google Scholar] [CrossRef]
- Ramirez, J.A.; Wiemken, T.L.; Peyrani, P.; Arnold, F.W.; Kelley, R.; A Mattingly, W.; Nakamatsu, R.; Pena, S.; Guinn, B.E.; Furmanek, S.P.; et al. Adults Hospitalized with Pneumonia in the United States: Incidence, Epidemiology, and Mortality. Clin. Infect. Dis. 2017, 65, 1806–1812. [Google Scholar] [CrossRef]
- Griffin, M.R.; Zhu, Y.; Moore, M.R.; Whitney, C.G.; Grijalva, C.G.U.S. Hospitalizations for Pneumonia after a Decade of Pneumococcal Vaccination. N. Engl. J. Med. 2013, 369, 155–163. [Google Scholar] [CrossRef]
- Eshwara, V.; Mukhopadhyay, C.; Rello, J. Community-acquired bacterial pneumonia in adults: An update. Indian J. Med. Res. 2020, 151, 287–302. [Google Scholar] [CrossRef]
- Mandell, L.A. Community-acquired pneumonia: An overview. Postgrad. Med. 2015, 127, 607–615. [Google Scholar] [CrossRef]
- Apisarnthanarak, A.; Mundy, L.M. Etiology of community-acquired pneumonia. Clin. Chest Med. 2005, 26, 47–55. [Google Scholar] [CrossRef]
- Metlay, J.P.; Waterer, G.W.; Long, A.C.; Anzueto, A.; Brozek, J.; Crothers, K.; Cooley, L.A.; Dean, N.C.; Fine, M.J.; Flanders, S.A.; et al. Diagnosis and treatment of adults with community-acquired pneumonia. An official clinical practice guideline of the american thoracic society and infectious diseases society of America. Am. J. Respir. Crit. Care Med. 2019, 200, e45–e67. [Google Scholar] [CrossRef]
- Woodhead, M.; Blasi, F.; Ewig, S.; Garau, J.; Huchon, G.; Ieven, M.; Ortqvist, A.; Schaberg, T.; Torres, A.; van der Heijden, G.; et al. Guidelines for the management of adult lower respiratory tract infections—Full version. Clin. Microbiol. Infect. 2011, 17, E1–E59. [Google Scholar] [CrossRef] [PubMed]
- Summary of Probable SARS Cases with Onset of Illness from 1 November 2002 to 31 July 2003. Available online: https://www.who.int/publications/m/item/summary-of-probable-sars-cases-with-onset-of-illness-from-1-november-2002-to-31-july-2003 (accessed on 27 October 2022).
- CDC Novel H1N1 Flu. The 2009 H1N1 Pandemic: Summary Highlights, April 2009–April 2010. Available online: https://www.cdc.gov/h1n1flu/cdcresponse.htm (accessed on 27 October 2022).
- CSR. MERS Outbreaks. World Health Organization—Regional Office for the Eastern Mediterranean. Available online: http://www.emro.who.int/health-topics/mers-cov/mers-outbreaks.html (accessed on 27 October 2022).
- Huang, C.; Wang, Y.; Li, X.; Ren, L.; Zhao, J.; Hu, Y.; Zhang, L.; Fan, G.; Xu, J.; Gu, X.; et al. Clinical features of patients infected with 2019 novel coronavirus in Wuhan, China. Lancet 2020, 395, 497–506. [Google Scholar] [CrossRef] [PubMed]
- Guan, W.J.; Ni, Z.Y.; Hu, Y.; Liang, W.H.; Qu, C.Q.; He, J.X.; Liu, L.; Shan, H.; Lei, C.L.; Hui, D.S.C.; et al. Clinical Characteristics of coronavirus disease 2019 in China. N. Engl. J. Med. 2020, 382, 1708–1720. [Google Scholar] [CrossRef]
- Weekly Epidemiological Update on COVID-19, 31 August 2022. Available online: https://www.who.int/publications/m/item/weekly-epidemiological-update-on-covid-19---31-august-2022 (accessed on 28 October 2022).
- Hui, D.S.; Azhar, E.I.; Madani, T.A.; Ntoumi, F.; Kock, R.; Dar, O.; Ippolito, G.; McHugh, T.D.; Memish, Z.A.; Drosten, C.; et al. The continuing 2019-nCoV epidemic threat of novel coronaviruses to global health—The latest 2019 novel coronavirus outbreak in Wuhan, China. Int. J. Infect. Dis. IJID Off. Publ. Int. Soc. Infect. Dis. 2020, 91, 264–266. [Google Scholar] [CrossRef] [PubMed]
- Wang, D.; Hu, B.; Hu, C.; Zhu, F.; Liu, X.; Zhang, J.; Wang, B.; Xiang, H.; Cheng, Z.; Xiong, Y.; et al. Clinical Characteristics of 138 Hospitalized Patients With 2019 Novel Coronavirus—Infected Pneumonia in Wuhan, China. JAMA 2020, 323, 1061–1069. [Google Scholar] [CrossRef] [PubMed]
- Zheng, Z.; Peng, F.; Xu, B.; Zhao, J.; Liu, H.; Peng, J.; Li, Q.; Jiang, C.; Zhou, Y.; Liu, S.; et al. Risk factors of critical & mortal COVID-19 cases: A systematic literature review and meta-analysis. J. Infect. 2020, 81, e16–e25. [Google Scholar] [CrossRef] [PubMed]
- Thakur, B.; Dubey, P.; Benitez, J.; Torres, J.P.; Reddy, S.; Shokar, N.; Aung, K.; Mukherjee, D.; Dwivedi, A.K. A systematic review and meta-analysis of geographic differences in comorbidities and associated severity and mortality among individuals with COVID-19. Sci. Rep. 2021, 11, 8562. [Google Scholar] [CrossRef]
- Parohan, M.; Yaghoubi, S.; Seraji, A.; Javanbakht, M.H.; Sarraf, P.; Djalali, M. Risk factors for mortality in patients with Coronavirus disease 2019 (COVID-19) infection: A systematic review and meta-analysis of observational studies. Aging Male 2020, 23, 1416–1424. [Google Scholar] [CrossRef]
- Horan, T.C.; Andrus, M.; Dudeck, M.A. CDC/NHSN surveillance definition of health care–associated infection and criteria for specific types of infections in the acute care setting. Am. J. Infect. Control. 2008, 36, 309–332. [Google Scholar] [CrossRef]
- American Thoracic Society; Infectious Diseases Society of America. Guidelines for the Management of Adults with Hospital-acquired, Ventilator-associated, and Healthcare-associated Pneumonia. Am. J. Respir. Crit. Care Med. 2005, 171, 388–416. [Google Scholar] [CrossRef]
- Reechaipichitkul, W.; Thavornpitak, Y.; Sutra, S. Burden of adult pneumonia in Thailand: A nationwide hospital admission data 2010. J. Med. Assoc. Thail. 2014, 97, 283–292. [Google Scholar]
- Cilloniz, C.; Ewig, S.; Polverino, E.; Marcos, M.A.; Esquinas, C.; Gabarrús, A.; Mensa, J.; Torres, A. Microbial aetiology of community-acquired pneumonia and its relation to severity. Thorax 2011, 66, 340–346. [Google Scholar] [CrossRef] [PubMed]
- Restrepo, M.I.; Mortensen, E.M.; Velez, J.A.; Frei, C.; Anzueto, A. A Comparative Study of Community-Acquired Pneumonia Patients Admitted to the Ward and the ICU. Chest 2008, 133, 610–617. [Google Scholar] [CrossRef] [PubMed]
- Poovieng, J.; Sakboonyarat, B.; Nasomsong, W. Bacterial etiology and mortality rate in community-acquired pneumonia, healthcare-associated pneumonia and hospital-acquired pneumonia in Thai university hospital. Sci. Rep. 2022, 12, 9004. [Google Scholar] [CrossRef] [PubMed]
- Rand, K.H.; Beal, S.G.; Cherabuddi, K.; Couturier, B.; Lingenfelter, B.; Rindlisbacher, C.; Jones, J.; Houck, H.J.; Lessard, K.J.; Tremblay, E.E. Performance of a Semiquantitative Multiplex Bacterial and Viral PCR Panel Compared with Standard Microbiological Laboratory Results: 396 Patients Studied with the BioFire Pneumonia Panel. Open Forum Infect. Dis. 2021, 8, ofaa560. [Google Scholar] [CrossRef] [PubMed]
- Edin, A.; Eilers, H.; Allard, A. Evaluation of the Biofire Filmarray Pneumonia panel plus for lower respiratory tract infections. Infect. Dis. 2020, 52, 479–488. [Google Scholar] [CrossRef]
- Huh, K.; Chung, D.R.; Song, J.-H. Community-Acquired Pneumonia in the Asia-Pacific Region. Semin. Respir. Crit. Care Med. 2016, 37, 839–854. [Google Scholar] [CrossRef]
- Marchello, C.; Dale, A.; Thai, T.N.; Han, D.S.; Ebell, M.H. Prevalence of Atypical Pathogens in Patients with Cough and Community-Acquired Pneumonia: A Meta-Analysis. Ann. Fam. Med. 2016, 14, 552–566. [Google Scholar] [CrossRef]
- Prapphal, N.; Suwanjutha, S.; Durongkaveroj, P.; Lochindarat, S.; Kunakorn, M.; Deerojanawong, J.; Chantarojanasiri, T.; Supanitayaonon, Y.; Janedittakarn, P. Prevalence and clinical presentations of atypical pathogens infection in community acquired pneumonia in Thailand. J. Med. Assoc. Thail. 2006, 89, 1412–1419. [Google Scholar]
- Kuderer, N.M.; Choueiri, T.K.; Shah, D.P.; Shyr, Y.; Rubinstein, S.M.; Rivera, D.R.; Shete, S.; Hsu, C.-Y.; Desai, A.; de Lima Lopes, G., Jr.; et al. Clinical impact of COVID-19 on patients with cancer (CCC19): A cohort study. Lancet 2020, 395, 1907–1918. [Google Scholar] [CrossRef]
- Lee, L.Y.W.; Cazier, J.-B.; Starkey, T.; Briggs, S.E.W.; Arnold, R.; Bisht, V.; Booth, S.; Campton, N.A.; Cheng, V.W.T.; Collins, G.; et al. COVID-19 prevalence and mortality in patients with cancer and the effect of primary tumour subtype and patient demographics: A prospective cohort study. Lancet Oncol. 2020, 21, 1309–1316. [Google Scholar] [CrossRef] [PubMed]
- Liang, W.; Guan, W.; Chen, R.; Wang, W.; Li, J.; Xu, K.; Li, C.; Ai, Q.; Lu, W.; Liang, H.; et al. Cancer patients in SARS-CoV-2 infection: A nationwide analysis in China. Lancet Oncol. 2020, 21, 335–337. [Google Scholar] [CrossRef] [PubMed]
- Sengar, M.; Chinnaswamy, G.; Ranganathan, P.; Ashok, A.; Bhosale, S.; Biswas, S.; Chaturvedi, P.; Dhamne, C.; Divatia, J.; D’Sa, K.; et al. Outcomes of COVID-19 and risk factors in patients with cancer. Nat. Cancer 2022, 3, 547–551. [Google Scholar] [CrossRef] [PubMed]
- Li, Y.; Wang, X.; Wang, W. The Impact of COVID-19 on Cancer. Infect. Drug Resist. 2021, 14, 3809–3816. [Google Scholar] [CrossRef]
- Gottschalk, G.; Knox, K.; Roy, A. ACE2: At the crossroad of COVID-19 and lung cancer. Gene Rep. 2021, 23, 101077. [Google Scholar] [CrossRef]
- Walter, J.; Sellmer, L.; Kahnert, K.; Kiefl, R.; Syunyaeva, Z.; Kauffmann-Guerrero, D.; Manapov, F.; Schneider, C.; Behr, J.; Tufman, A. Consequences of the COVID-19 pandemic on lung cancer care and patient health in a German lung cancer center: Results from a cross-sectional questionnaire. Respir. Res. 2022, 23, 18. [Google Scholar] [CrossRef]
- Guan, W.-J.; Liang, W.-H.; Zhao, Y.; Liang, H.-R.; Chen, Z.-S.; Li, Y.-M.; Liu, X.-Q.; Chen, R.-C.; Tang, C.-L.; Wang, T.; et al. Comorbidity and its impact on 1590 patients with COVID-19 in China: A nationwide analysis. Eur. Respir. J. 2020, 55, 2000547. [Google Scholar] [CrossRef]
- Henry, B.M.; Lippi, G. Chronic kidney disease is associated with severe coronavirus disease 2019 (COVID-19) infection. Int. Urol. Nephrol. 2020, 52, 1193–1194. [Google Scholar] [CrossRef]
- Mohamed, N.E.; Benn, E.K.T.; Astha, V.; Okhawere, K.E.; Korn, T.G.; Nkemdirim, W.; Rambhia, A.; Ige, O.A.; Funchess, H.; Mihalopoulos, M.; et al. Association between chronic kidney disease and COVID-19-related mortality in New York. World J. Urol. 2021, 39, 2987–2993. [Google Scholar] [CrossRef]
- Cohen, G. Immune Dysfunction in Uremia 2020. Toxins 2020, 12, 439. [Google Scholar] [CrossRef]
- Koelman, L.; Pivovarova-Ramich, O.; Pfeiffer, A.F.H.; Grune, T.; Aleksandrova, K. Cytokines for evaluation of chronic inflammatory status in ageing research: Reliability and phenotypic characterisation. Immun. Ageing 2019, 16, 11. [Google Scholar] [CrossRef]
- Moderbacher, C.R.; Ramirez, S.I.; Dan, J.M.; Grifoni, A.; Hastie, K.M.; Weiskopf, D.; Belanger, S.; Abbott, R.K.; Kim, C.; Choi, J.; et al. Antigen-Specific Adaptive Immunity to SARS-CoV-2 in Acute COVID-19 and Associations with Age and Disease Severity. Cell 2020, 183, 996–1012.e19. [Google Scholar] [CrossRef] [PubMed]
- Wan, Y.; Shang, J.; Graham, R.; Baric, R.S.; Li, F. Receptor Recognition by the Novel Coronavirus from Wuhan: An Analysis Based on Decade-Long Structural Studies of SARS Coronavirus. J. Virol. 2020, 94, e00127-20. [Google Scholar] [CrossRef] [PubMed]
- Fang, L.; Karakiulakis, G.; Roth, M. Are patients with hypertension and diabetes mellitus at increased risk for COVID-19 infection? Lancet Respir. Med. 2020, 8, e21. [Google Scholar] [CrossRef] [PubMed]
- Skarbinski, J.; Wood, M.S.; Chervo, T.C.; Schapiro, J.M.; Elkin, E.P.; Valice, E.; Amsden, L.B.; Hsiao, C.; Quesenberry, C.; Corley, D.A.; et al. Risk of severe clinical outcomes among persons with SARS-CoV-2 infection with differing levels of vaccination during widespread Omicron (B.1.1.529) and Delta (B.1.617.2) variant circulation in Northern California: A retrospective cohort study. Lancet Reg. Heal. Am. 2022, 12, 100297. [Google Scholar] [CrossRef]
- Li, L.-Q.; Huang, T.; Wang, Y.-Q.; Wang, Z.-P.; Liang, Y.; Huang, T.-B.; Zhang, H.-Y.; Sun, W.; Wang, Y. COVID-19 patients’ clinical characteristics, discharge rate, and fatality rate of meta-analysis. J. Med. Virol. 2020, 92, 577–583. [Google Scholar] [CrossRef]
- Peñaloza, H.F.; Lee, J.S.; Ray, P. Neutrophils and lymphopenia, an unknown axis in severe COVID-19 disease. PLOS Pathog. 2021, 17, e1009850. [Google Scholar] [CrossRef]
- Zheng, Y.; Wang, L.; Ben, S. Meta-analysis of chest CT features of patients with COVID-19 pneumonia. J. Med. Virol. 2021, 93, 241–249. [Google Scholar] [CrossRef]
- Bao, C.; Liu, X.; Zhang, H.; Li, Y.; Liu, J. Coronavirus Disease 2019 (COVID-19) CT Findings: A Systematic Review and Meta-analysis. J. Am. Coll. Radiol. 2020, 17, 701–709. [Google Scholar] [CrossRef]
- Yang, H.; Lan, Y.; Yao, X.; Lin, S.; Xie, B. The chest CT features of coronavirus disease 2019 (COVID-19) in China: A meta-analysis of 19 retrospective studies. Virol. J. 2020, 17, 159. [Google Scholar] [CrossRef]
- Mason, R.J. Pathogenesis of COVID-19 from a cell biology perspective. Eur. Respir. J. 2020, 55, 2000607. [Google Scholar] [CrossRef]
- Baden, L.R.; El Sahly, H.M.; Essink, B.; Kotloff, K.; Frey, S.; Novak, R.; Diemert, D.; Spector, S.A.; Rouphael, N.; Creech, C.B.; et al. Efficacy and Safety of the mRNA-1273 SARS-CoV-2 Vaccine. N. Engl. J. Med. 2021, 384, 403–416. [Google Scholar] [CrossRef]
- Polack, F.P.; Thomas, S.J.; Kitchin, N.; Absalon, J.; Gurtman, A.; Lockhart, S.; Perez, J.L.; Pérez Marc, G.; Moreira, E.D.; Zerbini, C.; et al. Safety and efficacy of the BNT162b2 mRNA COVID-19 vaccine. N. Engl. J. Med. 2020, 383, 2603–2615. [Google Scholar] [CrossRef]
- Voysey, M.; Clemens, S.A.C.; Madhi, S.A.; Weckx, L.Y.; Folegatti, P.M.; Aley, P.K.; Angus, B.; Baillie, V.L.; Barnabas, S.L.; Bhorat, Q.E.; et al. Safety and efficacy of the ChAdOx1 nCoV-19 vaccine (AZD1222) against SARS-CoV-2: An interim analysis of four randomised controlled trials in Brazil, South Africa, and the UK. Lancet 2021, 397, 99–111. [Google Scholar] [CrossRef] [PubMed]
- Jara, A.; Undurraga, E.A.; González, C.; Paredes, F.; Fontecilla, T.; Jara, G.; Pizarro, A.; Acevedo, J.; Leo, K.; Leon, F.; et al. Effectiveness of an Inactivated SARS-CoV-2 Vaccine in Chile. N. Engl. J. Med. 2021, 385, 875–884. [Google Scholar] [CrossRef] [PubMed]
- Sritipsukho, P.; Khawcharoenporn, T.; Siribumrungwong, B.; Damronglerd, P.; Suwantarat, N.; Satdhabudha, A.; Chaiyakulsil, C.; Sinlapamongkolkul, P.; Tangsathapornpong, A.; Bunjoungmanee, P.; et al. Comparing real-life effectiveness of various COVID-19 vaccine regimens during the delta variant-dominant pandemic: A test-negative case-control study. Emerg. Microbes Infect. 2022, 11, 585–592. [Google Scholar] [CrossRef] [PubMed]
- Wichaidit, M.; Nopsopon, T.; Sunan, K.; Phutrakool, P.; Ruchikachorn, P.; Wanvarie, D.; Pratanwanich, P.N.; Cheewaruangroj, N.; Punyabukkana, P.; Pongpirul, K. Breakthrough infections, hospital admissions, and mortality after major COVID-19 vaccination profiles: A prospective cohort study. Lancet Reg. Heal. Southeast Asia 2023, 8, 100106. [Google Scholar] [CrossRef]
- Keller, M.D.; Harris, K.M.; Jensen-Wachspress, M.A.; Kankate, V.V.; Lang, H.; Lazarski, C.A.; Durkee-Shock, J.; Lee, P.-H.; Chaudhry, K.; Webber, K.; et al. SARS-CoV-2–specific T cells are rapidly expanded for therapeutic use and target conserved regions of the membrane protein. Blood 2020, 136, 2905–2917. [Google Scholar] [CrossRef] [PubMed]
- Guo, L.; Wang, G.; Wang, Y.; Zhang, Q.; Ren, L.; Gu, X.; Huang, T.; Zhong, J.; Wang, X.; Huang, L.; et al. SARS-CoV-2-specific antibody and T-cell responses 1 year after infection in people recovered from COVID-19: A longitudinal cohort study. Lancet Microbe 2022, 3, e348–e356. [Google Scholar] [CrossRef]
- Capoor, M.N.; Ahmed, F.S.; McDowell, A.; Slaby, O. Is the “Common Cold” Our Greatest Ally in the Battle Against SARS-CoV-2? Front. Cell. Infect. Microbiol. 2020, 10, 605334. [Google Scholar] [CrossRef]
- Lipsitch, M.; Grad, Y.H.; Sette, A.; Crotty, S. Cross-reactive memory T cells and herd immunity to SARS-CoV-2. Nat. Rev. Immunol. 2020, 20, 709–713. [Google Scholar] [CrossRef]
- Stepanova, M.; Lam, B.; Younossi, E.; Felix, S.; Ziayee, M.; Price, J.; Pham, H.; de Avila, L.; Terra, K.; Austin, P.; et al. The impact of variants and vaccination on the mortality and resource utilization of hospitalized patients with COVID-19. BMC Infect. Dis. 2022, 22, 702. [Google Scholar] [CrossRef]
- Ward, I.L.; Bermingham, C.; Ayoubkhani, D.; Gethings, O.J.; Pouwels, K.B.; Yates, T.; Khunti, K.; Hippisley-Cox, J.; Banerjee, A.; Walker, A.S.; et al. Risk of covid-19 related deaths for SARS-CoV-2 omicron (B.1.1.529) compared with delta (B.1.617.2): Retrospective cohort study. BMJ 2022, 378, e070695. [Google Scholar] [CrossRef]
- Twohig, K.A.; Nyberg, T.; Zaidi, A.; Thelwall, S.; Sinnathamby, M.A.; Aliabadi, S.; Seaman, S.R.; Harris, R.J.; Hope, R.; Lopez-Bernal, J.; et al. Hospital admission and emergency care attendance risk for SARS-CoV-2 delta (B.1.617.2) compared with alpha (B.1.1.7) variants of concern: A cohort study. Lancet Infect. Dis. 2022, 22, 35–42. [Google Scholar] [CrossRef]
- Nyberg, T.; Ferguson, N.M.; Nash, S.G.; Webster, H.H.; Flaxman, S.; Andrews, N.; Hinsley, W.; Bernal, J.L.; Kall, M.; Bhatt, S.; et al. Comparative analysis of the risks of hospitalisation and death associated with SARS-CoV-2 omicron (B.1.1.529) and delta (B.1.617.2) variants in England: A cohort study. Lancet 2022, 399, 1303–1312. [Google Scholar] [CrossRef] [PubMed]
- Ito, N.; Kitahara, Y.; Miwata, K.; Okimoto, M.; Takafuta, T. Comparison of COVID-19 pneumonia during the SARS-CoV-2 Omicron wave and the previous non-Omicron wave in a single facility. Respir. Investig. 2022, 60, 772–778. [Google Scholar] [CrossRef] [PubMed]
- Ong, S.W.X.; Chiew, C.J.; Ang, L.W.; Mak, T.M.; Cui, L.; Toh, M.P.H.S.; Lim, Y.D.; Lee, P.H.; Lee, T.H.; Chia, P.Y.; et al. Clinical and Virological Features of Severe Acute Respiratory Syndrome Coronavirus 2 (SARS-CoV-2) Variants of Concern: A Retrospective Cohort Study Comparing B.1.1.7 (Alpha), B.1.351 (Beta), and B.1.617.2 (Delta). Clin. Infect. Dis. 2022, 75, e1128–e1136. [Google Scholar] [CrossRef] [PubMed]
- Esper, F.P.; Adhikari, T.M.; Tu, Z.J.; Cheng, Y.-W.; El-Haddad, K.; Farkas, D.H.; Bosler, D.; Rhoads, D.; Procop, G.W.; Ko, J.S.; et al. Alpha to Omicron: Disease Severity and Clinical Outcomes of Major SARS-CoV-2 Variants. J. Infect. Dis. 2022, 227, 344–352. [Google Scholar] [CrossRef]
- Magazine, N.; Zhang, T.; Wu, Y.; McGee, M.C.; Veggiani, G.; Huang, W. Mutations and Evolution of the SARS-CoV-2 Spike Protein. Viruses 2022, 14, 640. [Google Scholar] [CrossRef]
- Tian, F.; Tong, B.; Sun, L.; Shi, S.; Zheng, B.; Wang, Z.; Dong, X.; Zheng, P. N501Y mutation of spike protein in SARS-CoV-2 strengthens its binding to receptor ACE2. Elife 2021, 10, e69091. [Google Scholar] [CrossRef]
- Chakraborty, C.; Saha, A.; Sharma, A.R.; Bhattacharya, M.; Lee, S.-S.; Agoramoorthy, G. D614G mutation eventuates in all VOI and VOC in SARS-CoV-2: Is it part of the positive selection pioneered by Darwin? Mol. Ther. Nucleic Acids 2021, 26, 237–241. [Google Scholar] [CrossRef] [PubMed]
- Bhattacharya, M.; Chatterjee, S.; Sharma, A.R.; Lee, S.-S.; Chakraborty, C. Delta variant (B.1.617.2) of SARS-CoV-2: Current understanding of infection, transmission, immune escape, and mutational landscape. Folia Microbiol. 2022, 12, 1–12. [Google Scholar] [CrossRef] [PubMed]
- Liu, Y.; Liu, J.; Johnson, B.A.; Xia, H.; Ku, Z.; Schindewolf, C.; Widen, S.G.; An, Z.; Weaver, S.C.; Menachery, V.D.; et al. Delta spike P681R mutation enhances SARS-CoV-2 fitness over Alpha variant. Cell Rep. 2021, 39, 110829. [Google Scholar] [CrossRef] [PubMed]
- Dimopoulos, G.; Almyroudi, M.-P.; Myrianthefs, P.; Rello, J. COVID-19-Associated Pulmonary Aspergillosis (CAPA). J. Intensiv. Med. 2021, 1, 71–80. [Google Scholar] [CrossRef] [PubMed]
- Wagner, C.; Griesel, M.; Mikolajewska, A.; Mueller, A.; Nothacker, M.; Kley, K.; Metzendorf, M.-I.; Fischer, A.-L.; Kopp, M.; Stegemann, M.; et al. Systemic corticosteroids for the treatment of COVID-19. Cochrane Database Syst. Rev. 2021, 8, CD014963. [Google Scholar] [CrossRef]
- Beigel, J.H.; Tomashek, K.M.; Dodd, L.E.; Mehta, A.K.; Zingman, B.S.; Kalil, A.C.; Hohmann, E.; Chu, H.Y.; Luetkemeyer, A.; Kline, S.; et al. Remdesivir for the Treatment of COVID-19—Preliminary report. N. Engl. J. Med. 2020, 383, 1813–1826. [Google Scholar] [CrossRef]
- Ali, K.; Azher, T.; Baqi, M.; Binnie, A.; Borgia, S.; Carrier, F.M.; Cavayas, Y.A.; Chagnon, N.; Cheng, M.P.; Conly, J.; et al. Remdesivir for the treatment of patients in hospital with COVID-19 in Canada: A randomized controlled trial. Can. Med. Assoc. J. 2022, 194, E242–E251. [Google Scholar] [CrossRef]
- Ghosn, L.; Chaimani, A.; Evrenoglou, T.; Davidson, M.; Graña, C.; Schmucker, C.; Bollig, C.; Henschke, N.; Sguassero, Y.; Nejstgaard, C.H.; et al. Interleukin-6 blocking agents for treating COVID-19: A living systematic review. Cochrane Database Syst. Rev. 2021, 2021, CD013881. [Google Scholar] [CrossRef]
- Kramer, A.; Prinz, C.; Fichtner, F.; Fischer, A.-L.; Thieme, V.; Grundeis, F.; Spagl, M.; Seeber, C.; Piechotta, V.; Metzendorf, M.-I.; et al. Janus kinase inhibitors for the treatment of COVID-19. Cochrane Database Syst. Rev. 2022, 6, CD015209. [Google Scholar] [CrossRef]

| Causative Pathogens | Frequency (%) (n = 1511) |
|---|---|
| Bacterial pathogens | |
| Streptococcus pneumoniae | 284 (18.8) |
| Staphylococcus aureus | 59 (3.9) |
| Klebsiella pneumoniae | 53 (3.5) |
| Other Enterobacteriaceae | 31 (2.1) |
| Pseudomonas aeruginosa | 13 (0.9) |
| Streptococcus spp. | 9 (0.6) |
| Acinetobacter baumannii | 9 (0.6) |
| Burkhodelia pseudomallei | 8 (0.5) |
| Hemophilus influenzae | 4 (0.3) |
| Mycoplasma pneumoniae | 2 (0.1) |
| Viral pathogens | |
| SARS-CoV-2 | 408 (27.0) |
| Influenza A | 107 (7.1) |
| Influenza B | 61 (4.0) |
| Respiratory syncytial virus A | 12 (0.8) |
| Respiratory syncytial virus B | 11 (0.7) |
| Adenovirus | 9 (0.6) |
| Enterovirus | 9 (0.6) |
| Parainfluenza virus | 8 (0.5) |
| Coronavirus 229E | 7 (0.5) |
| Coronavirus NL63 | 6 (0.4) |
| Coronavirus OC43 | 6 (0.4) |
| Bocavirus | 3 (0.2) |
| Metapneumovirus | 3 (0.2) |
| Rhinovirus | 1 (0.1) |
| Unknown cause | 374 (24.8) |
| Characteristics | Patients with CAP (n = 1511) | Patients with COVID-19 CAP (n = 408) | Patients with Non-COVID-19 CAP (n = 1103) | p Value A | Patients with CAP Due to B.1.113 (n = 22) | Patients with CAP Due to B.1.1.7 (n = 85) | Patients with CAP Due to B.1.617.1/2 (n = 171) | Patients with CAP Due to B.1.1.529 (n = 130) | p Value B |
|---|---|---|---|---|---|---|---|---|---|
| Demographic data | |||||||||
| Age; median (IQR) | 61 (50.73) | 61 (51.73) | 60 (49.72) | 0.877 | 60 (52.74) | 62 (55.75) | 60 (50.69) | 61 (52.68) | 0.568 |
| Male sex | 824 (55) | 229 (56) | 595 (54) | 0.449 | 11 (50) | 49 (58) | 94 (55) | 75 (58) | 0.860 |
| Living in an urban area | 663 (44) | 167 (41) | 496 (45) | 0.161 | 10 (45) | 33 (39) | 72 (42) | 52 (40) | 0.417 |
| Healthcare occupation | 26 (2) | 8 (2) | 18 (2) | 0.663 | 1 (5) | 1 (1) | 3 (2) | 3 (2) | 0.760 |
| Current smokers | 559 (37) | 151 (37) | 408 (37) | 0.994 | 7 (32) | 34 (40) | 62 (36) | 48 (37) | 0.878 |
| COVID-19 vaccination | 364 (24) | 69 (17) | 295 (27) | <0.001 | 2 (9) | 11 (13) | 26 (15) | 30 (23) | 0.117 |
| Recent Influenza vaccination | 212 (14) | 52 (13) | 160 (15) | 0.382 | 2 (9) | 12 (14) | 24 (14) | 14 (11) | 0.785 |
| Pneumococcal vaccination | 53 (4) | 13 (3) | 40 (4) | 0.680 | 1 (5) | 3 (4) | 6 (4) | 4 (3) | 0.987 |
| Household contact with COVID-19 | 406 (27) | 293 (72) | 113 (10) | <0.001 | 13 (59) | 60 (70) | 123 (72) | 97 (75) | 0.507 |
| Workplace contact with COVID-19 | 98 (6) | 78 (19) | 20 (2) | <0.001 | 3 (14) | 14 (16) | 35 (20) | 26 (20) | 0.782 |
| Comorbidities | |||||||||
| Obesity | 417 (28) | 117 (29) | 300 (27) | 0.568 | 5 (23) | 25 (29) | 50 (29) | 37 (28) | 0.933 |
| Diabetes mellitus | 467 (31) | 156 (38) | 311 (30) | 0.002 | 8 (36) | 31 (36) | 66 (39) | 51 (39) | 0.976 |
| Hypertension | 616 (41) | 163 (40) | 453 (41) | 0.694 | 9 (41) | 38 (45) | 65 (38) | 51 (39) | 0.776 |
| Dyslipidemia | 616 (41) | 165 (40) | 451 (41) | 0.875 | 10 (45) | 37 (44) | 68 (40) | 50 (38) | 0.847 |
| Chronic kidney disease | 490 (32) | 150 (37) | 340 (31) | 0.028 | 6 (27) | 26 (31) | 54 (32) | 64 (49) | 0.005 |
| Cardiovascular disease | 242 (16) | 70 (17) | 172 (16) | 0.462 | 4 (18) | 13 (15) | 30 (18) | 23 (18) | 0.966 |
| Cerebrovascular disease | 148 (10) | 39 (10) | 109 (10) | 0.851 | 3 (14) | 9 (11) | 15 (9) | 12 (9) | 0.881 |
| Pulmonary disease | 412 (27) | 107 (26) | 301 (27) | 0.679 | 5 (23) | 23 (27) | 50 (29) | 29 (22) | 0.572 |
| Liver disease | 106 (7) | 31 (8) | 77 (7) | 0.674 | 4 (18) | 7 (8) | 11 (6) | 9 (7) | 0.264 |
| Malignancy | 225 (15) | 85 (20) | 140 (13) | <0.001 | 3 (14) | 13 (15) | 28 (16) | 41 (32) | 0.004 |
| HIV infection | 44 (3) | 13 (3) | 31 (3) | 0.700 | 1 (5) | 3 (4) | 4 (2) | 5 (4) | 0.862 |
| Rheumatologic disease | 63 (4) | 21 (5) | 41 (4) | 0.216 | 1 (5) | 4 (5) | 10 (6) | 6 (5) | 0.981 |
| Immunocompromised status | 103 (7) | 29 (7) | 74 (7) | 0.784 | 2 (9) | 7 (8) | 13 (8) | 7 (5) | 0.815 |
| Charlson comorbidity index, median (IQR) | 6 (5,8) | 6 (5,8) | 6 (5,9) | 0.768 | 6 (4,7) | 6 (5,8) | 6 (5,7) | 6 (5,8) | 0.943 |
| At least one comorbidity | 1128 (75) | 301 (74) | 827 (75) | 0.633 | 17 (77) | 67 (79) | 123 (72) | 94 (72) | 0.636 |
| Clinical data | |||||||||
| Fever | 1337 (88) | 356 (87) | 981 (89) | 0.362 | 20 (91) | 70 (82) | 157 (92) | 109 (84) | 0.084 |
| Upper respiratory tract prior to pneumonia | 749 (50) | 209 (51) | 540 (49) | 0.434 | 13 (59) | 43 (51) | 89 (52) | 64 (49) | 0.847 |
| Initial respiratory failure/ Initial mechanical ventilator | 164 (11) | 45 (11) | 119 (11) | 0.984 | 1 (5) | 6 (7) | 29 (17) | 9 (7) | 0.013 |
| Initial APACHE II score | 17 (15,20) | 17 (15,20) | 17 (14,20) | 0.805 | 16 (14,19) | 16 (14,20) | 18 (15,21) | 15 (14,19) | 0.052 |
| Initial multiorgan failure | 30 (2) | 11 (3) | 19 (2) | 0.232 | 1 (5) | 2 (2) | 5 (3) | 3 (2) | 0.133 |
| Initial ICU admission | 71 (5) | 34 (8) | 37 (3) | <0.001 | 2 (1) | 4 (5) | 20 (12) | 6 (5) | <0.001 |
| Initial vasopressor | 15 (1) | 6 (1) | 9 (1) | 0.768 | 1 (5) | 1 (1) | 3 (2) | 1 (1) | 0.675 |
| Laboratory data | |||||||||
| Anemia | 122 (8) | 32 (8) | 90 (8) | 0.841 | 2 (9) | 6 (7) | 15 (9) | 9 (7) | 0.924 |
| Leukopenia | 154 (10) | 113 (28) | 41 (3) | <0.001 | 3 (14) | 18 (21) | 62 (36) | 30 (23) | 0.008 |
| Lymphocytopenia | 107 (7) | 81 (20) | 26 (2) | <0.001 | 3 (14) | 13 (15) | 49 (29) | 16 (12) | 0.002 |
| Thrombocytopenia | 76 (5) | 25 (6) | 51 (5) | 0.236 | 2 (9) | 5 (6) | 11 (6) | 7 (5) | 0.920 |
| Abnormal liver function test | 171 (11) | 48 (12) | 124 (11) | 0.776 | 2 (9) | 12 (14) | 20 (12) | 14 (11) | 0.866 |
| Abnormal renal function test | 513 (34) | 161 (39) | 352 (32) | 0.006 | 6 (27) | 27 (32) | 58 (34) | 70 (54) | <0.001 |
| Chest radiological findings | |||||||||
| Bilateral infiltration | 859 (57) | 239 (59) | 620 (56) | 0.409 | 13 (59) | 52 (61) | 103 (60) | 71 (55) | 0.735 |
| Peripheral infiltration | 322 (21) | 207 (51) | 115 (10) | <0.001 | 10 (45) | 46 (54) | 84 (49) | 67 (52) | 0.838 |
| Multi-lobar infiltration | 857 (57) | 250 (61) | 647 (59) | 0.358 | 11 (50) | 54 (64) | 107 (63) | 78 (60) | 0.488 |
| Ground glass opacity | 184 (12) | 51 (13) | 133 (12) | 0.212 | 4 (18) | 11 (13) | 25 (15) | 11 (8) | 0.347 |
| Selected Variables | Patients with COVID-19 CAP n = 408 (%) | Patients with Non-COVID-19 CAP n = 1103 (%) | Crude OR (95% CI) | Adjusted OR (95% CI) | p Value A |
|---|---|---|---|---|---|
| Living in an urban area | 167 (41) | 496 (45) | 0.85 (0.67–1.07) | 0.78 (0.54–1.03) | 0.231 |
| COVID-19 vaccination | 69 (17) | 295 (27) | 0.56 (0.42–0.75) | 0.67 (0.51–0.88) | 0.002 |
| Household contact with COVID-19 | 293 (72) | 113 (10) | 22.32 (16.69–29.85) | 16.52 (9.11–20.98) | <0.001 |
| Workplace contact with COVID-19 | 78 (19) | 20 (2) | 12.80 (7.71–21.24) | 9.07 (6.55–17.34) | <0.001 |
| Diabetes mellitus | 156 (38) | 311 (30) | 1.44 (1.14–1.83) | 1.26 (1.03–1.56) | 0.021 |
| Chronic kidney disease | 150 (37) | 340 (31) | 1.30 (1.03–1.66) | 1.12 (1.01–1.42) | 0.042 |
| Malignancy | 85 (20) | 140 (13) | 1.81 (1.34–2.44) | 1.45 (1.17–2.00) | 0.004 |
| Leukopenia | 113 (28) | 41 (3) | 9.92 (6.78–14.51)) | 4.08 (0.92–6.65) | 0.086 |
| Lymphocytopenia | 81 (20) | 26 (2) | 10.26 (6.48–16.23) | 5.51 (1.97–7.71) | 0.003 |
| Abnormal renal function test | 161 (39) | 352 (32) | 1.39 (1.10–1.76) | 1.07 (0.82–1.20) | 0.089 |
| Chest radiological finding with peripheral infiltration | 207 (51) | 115 (10) | 8.85 (6.73–11.63) | 4.43 (2.17–7.93) | 0.002 |
| Outcomes | Patients with COVID-19 CAP (n = 408) | Patients with Non-COVID-19 CAP (n = 1103) | p Value A | Patients with CAP Due to B.1.113 (n = 22) | Patients with CAP Due to B.1.1.7 (n = 85) | Patients with CAP Due to B.1.617.1/2 (n = 171) | Patients with CAP Due to B.1.1.529 (n = 130) | p Value B |
|---|---|---|---|---|---|---|---|---|
| Mortality | ||||||||
| 14-day | 124 (30) | 109 (10) | <0.001 | 3 (14) | 20 (24) | 69 (40) | 32 (25) | <0.001 |
| 30-day | 163 (40) | 162 (15) | <0.001 | 7 (32) | 29 (34) | 85 (50) | 42 (32) | <0.001 |
| In-hospital | 176 (43) | 199 (18) | <0.001 | 8 (32) | 30 (35) | 90 (53) | 48 (37) | <0.001 |
| Length of ICU stay, median (IQR) | 17 (14,39) | 9 (7.14) | <0.001 | 15 (14,16) | 15 (14,20) | 19 (14.40) | 14 (14.17) | 0.031 |
| Length of hospital stay, median (IQR) after survival | 14 (11.26) | 25 (21.34) | <0.001 | 21 (21,25) | 24 (21,33) | 38 (33,45) | 24 (21.38) | 0.026 |
| Hospital cost, median (IQR) | 97,007 (82,876–107,664) | 87,158 (64,009–97,425) | <0.001 | 85,662 (69,557–96,457) | 99,623 (85,965–100,885) | 99,881 (85,988–110,231) | 98,997 (85,923–99,227) | 0.042 |
| Antimicrobials cost | 35,001 (31,732–44,013) | 20,884 (17,654–23,112) | <0.001 | 33,881 (30,445–42,985) | 35,998 (32,878–45,954) | 36,112 (33,454–46,009) | 35,080 (33,656–46,543) | 0.087 |
| Non-antimicrobials cost | 66,881 (55,054–74,992) | 64,903 (54,243–73,775) | 0.002 | 60,201 (52,881–70,320) | 66,995 (57,884–76,362) | 68,990 (61,332–79,881) | 66,121 (58,098–77,441) | 0.019 |
| Causative Pathogens | Number (%) (n = 176) |
|---|---|
| Ventilator association pneumonia due to | 85 (48) |
| Acinetobacter bauamnnii | 52 (30) |
| Carbapenem-resistant A. bauamnnii | 52 (30) |
| Staphylococcus aureus | 12 (7) |
| Methicillin-resistant S. aureus | 2 (1) |
| Pseudomonas aeruginosa | 7 (4) |
| Carbapenem-resistant P. aeruginosa | 7 (4) |
| Klebsiella pneumoniae | 3 (2) |
| Extended-spectrum beta-lactamase K. pneumoniae | 1 (1) |
| Carbapenem-resistant K. pneumoniae | 2 (1) |
| Unknown pathogen | 11 (6) |
| Bloodstream infection due to | 50 (28) |
| Staphylococcus Aureus | 14 (8) |
| Methicillin-resistant S. aureus | 3 (2) |
| Acinetobacter bauamnnii | 13 (7) |
| Carbapenem-resistant A. bauamnnii | 13 (7) |
| Pseudomonas aeruginosa | 11 (6) |
| Carbapenem-resistant P. aeruginosa | 9 (5) |
| Klebsiella pneumoniae | 9 (5) |
| Extended-spectrum beta-lactamase K. pneumoniae | 3 (2) |
| Carbapenem-resistant K. pneumoniae | 6 (3) |
| Candida spp. | 3 (2) |
| Invasive mold infection | 9 (5) |
| Paranasal sinusitis due to | 5 (3) |
| Aspergillus spp. | 2 (1) |
| Mucor spp. | 2 (1) |
| Cunninghamella spp. | 1 (0.5) |
| Brain abscess due to | 2 (1) |
| Aspergillus spp. | 1 (0.5) |
| Rhizopus spp. | 1 (0.5) |
| Pulmonary infection due to | 2 (1) |
| Aspergillus spp. | 1 (0.5) |
| Mucor spp. | 1 (0.5) |
| Bleeding disorder | 8 (5) |
| Gastrointestinal bleeding | 3 (2) |
| Intracranial bleeding | 3 (2) |
| Pulmonary bleeding | 2 (1) |
| Thromboembolism | 8 (5) |
| Pulmonary embolism | 3 (2) |
| Myocardial infarction | 3 (2) |
| Cerebral infarction | 2 (1) |
| Unknown cause | 16 (9) |
| Variables | Survivors n = 1136 (%) | Non-Survivors n = 375 (%) | Crude OR (95% CI) | Adjusted OR (95% CI) | p Value A |
|---|---|---|---|---|---|
| Age (years) [median (IQR)] | 63 (52.69) | 64 (54.73) | 1.61 (1.11, 2.08) | 1.05 (0.94, 1.76) | 0.076 |
| Male sex | 619 (54) | 205 (55) | 1.01 (0.80, 1.27) | 1.00 (0.65, 1.12) | 0.966 |
| Living in an urban area | 475 (42) | 188 (50) | 1.40 (1.11, 1.77) | 1.24 (0.98,1.52) | 0.063 |
| Obesity | 260 (23) | 157 (42) | 2.43 (1.89, 3.11) | 1.98 (1.27, 2.65) | 0.009 |
| Current smoking | 392 (35) | 167 (45) | 1.52 (1.20, 1.93) | 1.28 (0.97, 1.66) | 0.060 |
| COVID-19 vaccination | 298 (26) | 66 (18) | 0.60 (0.45, 0.81) | 0.91 (0.78, 1.02) | 0.059 |
| Recent influenza vaccination | 180 (16) | 32 (9) | 0.50 (0.33,0.74) | 0.82 (0.68, 1.04) | 0.058 |
| Charlson comorbidity index, median (IQR) | 4 (3,6) | 7 (5,8) | 1.57 (1.23, 1.88) | 1.25 (1.08, 1.59) | 0.039 |
| Immunocompromised status | 69 (6) | 34 (9) | 1.54 (1.00, 2.36) | 1.19 (0.84, 1.97) | 0.071 |
| Initial respiratory failure | 113 (10) | 51 (14) | 1.43 (0.99, 2.03) | 1.18 (0.87, 1.84) | 0.082 |
| Initial APACHE II score | 16 (14,17) | 17 (15.18) | 1.56 (1.08, 2.07) | 1.19 (1.00, 1.91) | 0.050 |
| CAP due to COVID-19 | 232 (20) | 176 (47) | 3.44 (2.69, 4.42) | 2.85 (1.97, 3.43) | <0.001 |
| Variables | Survivors n = 232 (%) | Non-Survivors n = 176 (%) | Crude OR (95% CI) | Adjusted OR (95% CI) | p Value A |
|---|---|---|---|---|---|
| Age (year) [median (IQR)] | 60 (50.71) | 61 (52.73) | 1.09 (0.76, 1.29) | 1.03 (0.87, 1.16) | 0.786 |
| Male sex | 133 (56) | 96 (55) | 0.89 (0.60, 1.33) | 0.75 (0.51, 1.10) | 0.674 |
| Living in an urban area | 91 (39) | 76 (43) | 1.18 (0.79, 1.75) | 1.05 (0.61, 1.23) | 0.577 |
| Obesity | 53 (23) | 64 (36) | 1.93 (1.25, 2.98) | 1.42 (1.04, 2.00) | 0.021 |
| Current smoking | 78 (34) | 73 (41) | 1.73 (1.15, 2.60) | 1.23 (0.87, 1.87) | 0.081 |
| COVID-19 vaccination | 49 (21) | 20 (11) | 0.48 (0.27, 0.84) | 0.76 (0.56, 0.91) | 0.037 |
| Recent influenza vaccination | 37 (16) | 15 (9) | 0.49 (0.26, 0.92) | 0.59 (0.42, 1.02) | 0.052 |
| Charlson comorbidity index, median (IQR) | 5 (4.7) | 7 (5.8) | 1.43 (1.21, 1.76) | 1.18 (1.03, 1.43) | 0.027 |
| Immunocompromised status | 15 (6) | 14 (8) | 1.25 (0.59, 2.66) | 1.09 (0.84, 1.98) | 0.713 |
| Initial respiratory failure | 18 (8) | 27 (15) | 2.15 (1.15, 4.05) | 1.54 (0.97, 2.84) | 0.064 |
| Initial APACHE II score | 15 (13.17) | 18 (14.19) | 1.37 (1.15, 2.08) | 1.18 (1.09, 1.64) | 0.018 |
| Infection due to B.1.617.1/2 | 83 (36) | 90 (52) | 1.88 (1.26, 2.80) | 1.22 (1.05, 1.94) | 0.030 |
| Receiving favipiravir within 5 days of symptoms prior to pneumonia | 125 (54) | 92 (52) | 0.94 (0.63–1.39) | 0.96 (0.71–1.56) | 0.823 |
| Receiving remdesivir during treatment | 222 (96) | 169 (96) | 1.09 (0.41–2.92) | 1.01 (0.31–2.24) | 0.991 |
| Receiving corticosteroid during treatment | 211 (91) | 154 (88) | 0.70 (0.37–1.31) | 0.81 (0.45–1.28) | 0.384 |
| Receiving Interleukin-6 Inhibitors/Janus Kinase inhibitors during treatment | 95 (41) | 65 (37) | 0.84 (0.56–1.26) | 0.89 (0.66–1.31) | 0.489 |
Disclaimer/Publisher’s Note: The statements, opinions and data contained in all publications are solely those of the individual author(s) and contributor(s) and not of MDPI and/or the editor(s). MDPI and/or the editor(s) disclaim responsibility for any injury to people or property resulting from any ideas, methods, instructions or products referred to in the content. |
© 2023 by the authors. Licensee MDPI, Basel, Switzerland. This article is an open access article distributed under the terms and conditions of the Creative Commons Attribution (CC BY) license (https://creativecommons.org/licenses/by/4.0/).
Share and Cite
Tongsengkee, N.; Surasombatpattana, S.; Tanomkiat, W.; Siripaitoon, P.; Kositpantawong, N.; Kanchanasuwan, S.; Navasakulpong, A.; Pinpathomrat, N.; Dechaphunkul, A.; Phongphithakchai, A.; et al. Characteristics, Outcomes, and Factors Affecting Mortality in Hospitalized Patients with CAP Due to Different Variants of SARS-CoV-2 and Non-COVID-19 CAP. J. Clin. Med. 2023, 12, 1388. https://doi.org/10.3390/jcm12041388
Tongsengkee N, Surasombatpattana S, Tanomkiat W, Siripaitoon P, Kositpantawong N, Kanchanasuwan S, Navasakulpong A, Pinpathomrat N, Dechaphunkul A, Phongphithakchai A, et al. Characteristics, Outcomes, and Factors Affecting Mortality in Hospitalized Patients with CAP Due to Different Variants of SARS-CoV-2 and Non-COVID-19 CAP. Journal of Clinical Medicine. 2023; 12(4):1388. https://doi.org/10.3390/jcm12041388
Chicago/Turabian StyleTongsengkee, Nonthanat, Smonrapat Surasombatpattana, Wiwatana Tanomkiat, Pisud Siripaitoon, Narongdet Kositpantawong, Siripen Kanchanasuwan, Asma Navasakulpong, Nawamin Pinpathomrat, Arunee Dechaphunkul, Atthaphong Phongphithakchai, and et al. 2023. "Characteristics, Outcomes, and Factors Affecting Mortality in Hospitalized Patients with CAP Due to Different Variants of SARS-CoV-2 and Non-COVID-19 CAP" Journal of Clinical Medicine 12, no. 4: 1388. https://doi.org/10.3390/jcm12041388
APA StyleTongsengkee, N., Surasombatpattana, S., Tanomkiat, W., Siripaitoon, P., Kositpantawong, N., Kanchanasuwan, S., Navasakulpong, A., Pinpathomrat, N., Dechaphunkul, A., Phongphithakchai, A., Hortiwakul, T., Charoenmak, B., & Chusri, S. (2023). Characteristics, Outcomes, and Factors Affecting Mortality in Hospitalized Patients with CAP Due to Different Variants of SARS-CoV-2 and Non-COVID-19 CAP. Journal of Clinical Medicine, 12(4), 1388. https://doi.org/10.3390/jcm12041388

