Morbidity Associated with Chronic Hyponatremia
Abstract
1. Introduction
2. Symptoms of Acute (<48 h) Hyponatremia (and Complications of Its Treatment)
3. Asymptomatic Hyponatremia Is Not Really Asymptomatic
3.1. Mild Chronic Hyponatremia Is Associated with Unsteadiness and Attention Deficits
3.2. Epidemiology of Falls, Bone Fractures, and Other Symptoms in Patients with Chronic Hyponatremia
3.3. Sarcopenia
3.4. Osteoporosis and Hypercalciuria
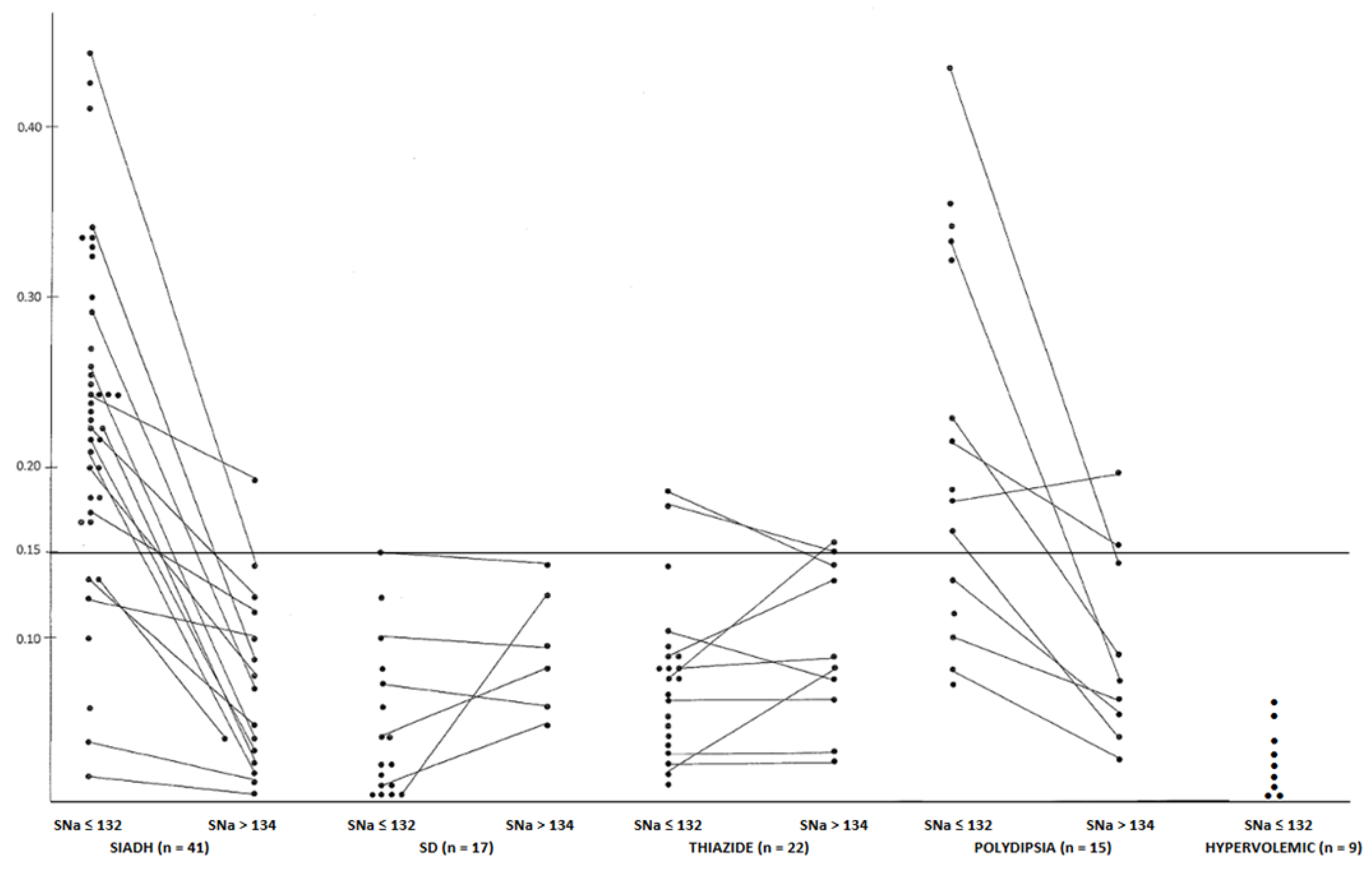
3.5. Excess Mortality in Chronic Hyponatremia
3.6. Hyponatremia and Cancer
4. Conclusions
Funding
Institutional Review Board Statement
Informed Consent Statement
Data Availability Statement
Conflicts of Interest
References
- Verbalis, J.G. Hyponatremia and hypoosmolar disorders. In National Kidney Foundation’s Primer on Kidney Diseases, 4th ed.; Gilbert, S.J., Weiner, D.E., Eds.; Elseiver: Amsterdam, The Netherlands, 2018; pp. 68–76. [Google Scholar]
- Arieff, A.I. Hyponatremia, convulsions, respiratory arrest and permanent brain damage after elective surgery in healthy women. N. Engl. J. Med. 1986, 314, 1529–1535. [Google Scholar] [CrossRef] [PubMed]
- Ayus, J.C.; Wheeler, J.M.; Arieff, A.I. Postoperative hyponatremic encephalopathy in menstruant woman. Ann. Intern. Med. 1992, 117, 891–897. [Google Scholar] [CrossRef]
- Sterns, R.H.; Riggs, J.E.; Schochet, S.S. Osmotic demyelination syndrome following correction of hyponatremia. N. Engl. J. Med. 1986, 314, 1535–1541. [Google Scholar] [CrossRef]
- Gankam Kengne, F.; Decaux, G. Hyponatremia and the brain. Kidney Int. Rep. 2017, 3, 24–35. [Google Scholar] [CrossRef]
- Renneboog, B.; Musch, W.; Vandemergel, X.; Manto, M.U.; Decaux, G. Mild chronic hyponatremia is associated with falls, unsteadiness and attention deficits. Am. J. Med. 2006, 119, 571–578. [Google Scholar] [CrossRef] [PubMed]
- Musch, W.; Xhaet, O.; Heldeshi, A.; Decaux, G. Fall is a frequent motif of admission in patients with chronic hyponatremia (Abstract). J. Am. Soc. Nephrol. 2003, 14, 748. [Google Scholar]
- Gankam Kengne, F.; Andres, C.; Sattar, L.; Melot, C.; Decaux, G. Mild hyponatremia and risk of fracture in the ambulatory elderly. Q. J. Med. 2008, 101, 583–588. [Google Scholar] [CrossRef] [PubMed]
- Kinsella, S.; Moran, S.; Sullivan, M.O.; Molloy, M.G.; Eustace, J.A. Hyponatremia independent of osteoporosis is associated with fracture occurrence. Clin. J. Am. Soc. Nephrol. 2010, 5, 275–280. [Google Scholar] [CrossRef]
- Sandhu, H.S.; Gilles, E.; DeVita, M.V.; Panagopoulos, G.; Michelis, M.F. Hyponatremia associated with large-bone fracture in elderly patients. Intern Urol. Nephrol. 2009, 41, 733–737. [Google Scholar] [CrossRef]
- Corona, G.; Norello, D.; Parenti, G.; Sforza, A.; Maggi, M.; Peri, A. Hyponatremia, fall and bone fractures: A systematic review and meta-analysis. Clin. Endocrinol. 2018, 89, 505–513. [Google Scholar] [CrossRef]
- Hoorn, E.J.; Rivadeneira, F.; van Meurs, J.B.; Ziere, G.; Stricker, B.H.; Hofman, A.; Pols, H.A.; Zietse, R.; Uitterlinden, A.G.; Zillikens, M.C. Mild hyponatremia as a risk factor for fractures: The Rotterdam study. J. Bone Miner. Res. 2011, 26, 1822–1828. [Google Scholar] [CrossRef] [PubMed]
- Potasso, L.; Refardt, J.; Meier, C.; Christ-Crain, M. Effect of hyponatremia normalization on osteoblast function in patient with SIAD. Eur. J. Endocrinol. 2022, 186, 1–8. [Google Scholar] [CrossRef] [PubMed]
- Ayus, J.C.; Fuentes, N.A.; Negri, A.L.; Moritz, M.L.; Giunta, D.H.; Kalantar-Zadeh, K.; Nigwekar, S.U.; Thadhani, R.I.; Go, A.S.; De Quiros, F.G.B. Mild prolonged chronic hyponatremia and risk of hip fracture in the elderly. Nephrol. Dial. Transplant. 2016, 31, 1662–1669. [Google Scholar] [CrossRef]
- Ahamed, S.; Anpalahan, M.; Savvas, S.; Gibson, S.; Torres, J.; Janus, E. Hyponatremia in older medical patients: Implications for fall and adverse outcomes of hospitalization. Intern. Med. J. 2014, 44, 991–997. [Google Scholar] [CrossRef] [PubMed]
- Renneboog, B.; Sattar, L.; Decaux, G. Attention and postural balance are much more affected in older than younger adults with mild or moderate chronic hyponatremia. Eur. J. Intern. Med. 2017, 41, e25–e26. [Google Scholar] [CrossRef] [PubMed]
- Brinkkoetter, P.T.; Grundmann, F.; Ghassabeh, P.J.; Becker, I.; Johnsen, M.; Suaréz, V.; Schulz, R.-J.; Streichert, T.; Burst, V. Impact of resolution of hyponatremia on neurocognitive and motor performance in geriatric patients. Sci. Rep. 2019, 9, 12526. [Google Scholar] [CrossRef]
- Berghuis, B.; Hulst, J.; Sonsma, A.; McCormack, M.; de Haan, G.; Sander, J.W.; Lindhout, D.; Koeleman, B.P.C. Symptomatology of carbamazepine and oxcarbazepine-induced hyponatremia in people with epilepsy. Epilepsia 2021, 62, 778–784. [Google Scholar] [CrossRef]
- Vandergheynst, F.; Gombeir, Y.; Bellante, F.; Perrotta, G.; Remiche, G.; Mélot, C.; Mavroudakis, N.; Decaux, G. Impact of hyponatremia on nerve conduction and muscle strength. Eur. J. Clin. Invest. 2016, 46, 328–333. [Google Scholar] [CrossRef]
- Fujisawa, H.; Sugimura, Y.; Takagi, H.; Mizoguchi, H.; Takeuchi, H.; Izumida, H.; Nakashima, K.; Ochiai, H.; Takeuchi, S.; Kiyota, A.; et al. Chronic hypontremia causes neurological and psychological impairments. J. Am. Soc. Nephrol. 2015. [Google Scholar] [CrossRef]
- Stetson, D.; Alberts, J.W.; Silverstein, B.A.; Wolfe, R.A. Effects of age, sex and anthropometric factors on nerve conduction measures. Muscle Nerve 1992, 15, 1095–1104. [Google Scholar] [CrossRef]
- Decaux, G.; Musch, W.; Gankam Kengue, F. Low-solute in chronic asymptomatic hyponatremia related to SIADH: Think about food beyond water intake. Nephrol. Dial. Transplant. 2020, 35, 2013–2014. [Google Scholar] [CrossRef]
- Decaux, G. Measurement of urinary-creatinine in chronic SIADH can be used to estimate solute and fluid intake. Nephrol. Dial. Transplant. 2021, 36, 1551–1553. [Google Scholar] [CrossRef] [PubMed]
- Barsony, J.; Manigrasso, M.B.; Xu, Q.; Tam, H.; Verbalis, J.G. Chronic hyponatremia exacerbation multiple manifestations of senescence in males rats. Age 2013, 35, 271–288. [Google Scholar] [CrossRef] [PubMed]
- Fujisawa, C.; Umegaki, H.; Sugimoto, T.; Samizo, S.; Huang, C.H.; Fujisawa, H.; Sugimura, Y.; Kuzuya, M.; Toba, K.; Sakurai, T. Mild hyponatremia is associated with low skeletal muscle mass, physical function impairrment, and depressive mood in the elderly. BMC Geriatr. 2021, 36, 1551–1553. [Google Scholar]
- Wu, C.-H.; Yang, K.-C.; Chang, H.-H.; Yen, J.-F.; Tsai, K.-S.; Huang, K.-C. Sarcopenia is related to increased risk for low bone mineral density. J. Clin. Densitom. 2013, 16, 98–103. [Google Scholar] [CrossRef]
- Decaux, G. Low creatininuria due to hyponatremia is reversible in many patients. Nephron 2002, 146, 40–44. [Google Scholar] [CrossRef]
- Usala, R.L.; Fernandez, S.J.; Mete, M.; Cowen, L.; Shara, N.M.; Barsony, J.; Verbalis, J.G. Hyponatremia is associated with increased osteoporosis and bone fractures in a large US health system population. J. Clin. Endocrinol. Metab. 2015, 100, 3021–3031. [Google Scholar] [CrossRef] [PubMed]
- Verbalis, J.G.; Barsony, J.; Sugimura, Y.; Tian, Y.; Adams, D.J.; Carter, E.A.; Resnick, H.E. Hyponatremia-induced osteoporosis. J. Bone Miner. Res. 2010, 25, 554–563. [Google Scholar] [CrossRef] [PubMed]
- Barsony, J.; Verbalis, J.G.; Sugimura, Y. Osteoclast response to low extracellular sodium and the mechanisms of hyponatremia-induced bone loss. J. Biol. Chem. 2011, 286, 10864–10875. [Google Scholar] [CrossRef]
- Tamma, R.; Sun, L.; Cuscito, C.; Lu, P.; Corcelli, M.; Li, J.; Colaianni, G.; Moonga, S.S.; Di Benedetto, A.; Grano, M.; et al. Regulation of bone remodeling by vasopressin explains the bone loss in hyponatremia. Proc. Natl. Acad. Sci. USA 2013, 110, 18644–18649. [Google Scholar] [CrossRef]
- Decaux, G.; Van Laethem, Y.; Vankuyck, M.; Mockel, J. Hypercalciuria in the syndrome of inappropriate secretion of antidiuretic hormone. Miner. Electrolyte Metab. 1982, 7, 192–196. [Google Scholar] [PubMed]
- Grellier, J.; Jaafar, A.; Martin, A.; El Alaoui, M.; Lebely, C.; Tack, I.; Vallet, M. Syndrome of inappropriate anti-diuresis induces volume-dependent hypercalciuria. Osteoporos. Int. 2017, 28, 3161–3168. [Google Scholar] [CrossRef] [PubMed]
- Zerwekh, J.E. Bone disease and idiopathic hypercalciuria. Sem. Nephrol. 2008, 28, 133–142. [Google Scholar] [CrossRef] [PubMed]
- Tominaga, N.; Fernandez, S.J.; Mete, M.; Shara, N.M.; Verbalis, J.G. Hyponatremia and the risk of kidney stones: A matched case-control study in a large US health system. PLoS ONE 2018, 13, e0203942. [Google Scholar] [CrossRef]
- Decaux, G.; Musch, W. The urine calcium/creatinine ratio and uricemia during hyponatremia of different origins: Clinical implications. J. Clin. Med. 2023, 12, 723. [Google Scholar] [CrossRef]
- Peri, A. Morbidity and mortality of hyponatremia. Front. Horm. Res. 2019, 52, 36–48. [Google Scholar]
- Hoorn, E.J.; Zietse, R. Hyponatremia and mortality: Moving beyond associations. Am. J. Kidney Dis. 2013, 62, 139–149. [Google Scholar] [CrossRef]
- Gankam-Kengne, F.; Ayers, C.; Khera, A.; De Lemos, J.; Maalouf, N.M. Mild hyponatremia is associated with an increased risk of death in an ambulatory setting. Kidney Int. 2013, 83, 700–706. [Google Scholar] [CrossRef]
- Waikar, S.S.; Mount, D.B.; Cirhan, G.C. Mortality after hospitalization with mild, moderate and severe hyponatremia. Am. J. Med. 2009, 122, 857–865. [Google Scholar] [CrossRef]
- Holland-Bill, L.; Christiansen, C.F.; Heide-Jørgensen, U.; Ulrichsen, S.P.; Ring, T.; Jørgensen, J.O.L.; Sørensen, H.T. Hyponatremia and mortality risk: A Danish Cohort Study of 279508 Acutely hospitalized patients. Eur. J. Endocrinol. 2015, 137, 71–81. [Google Scholar] [CrossRef]
- Corona, G.; Giuliani, C.; Verbalis, J.G.; Forti, G.; Maggi, M.; Peri, A. Hyponatremia improvement is associated with a reduced risk of mortality: Evidence from a meta-analysis. PLoS ONE 2015, 10, e0124105. [Google Scholar] [CrossRef] [PubMed]
- Selmer, C.; Madsen, J.C.; Torp-Pedersen, C.; Gislason, G.H.; Faber, J. Hyponatremia, all-cause mortality and risk of cancer diagnosis in the primary care setting: A large population study. Eur. J. Intern. Med. 2016, 36, 36–43. [Google Scholar] [CrossRef] [PubMed]
- Benvenuti, S.; Deledda, C.; Luciani, P.; Modi, G.; Bossio, A.; Giuliani, C.; Fibbi, B.; Peri, A. Low extracellular sodium causes neuronal distress independly of reduced osmolality in an experimental model of chronic hyponatremia. Neuromolecular Med. 2013, 15, 493–503. [Google Scholar] [CrossRef] [PubMed]
- Marroncini, G.; Anceschi, C.; Naldi, L.; Fibbi, B.; Baldanzi, F.; Martinelli, S.; Polvani, S.; Maggi, M.; Peri, A. Low sodium and tolvaptan have opposite effects in human Small Cell Lung Cancer. Mol. Cell. Endocrinol. 2021, 537, 111419. [Google Scholar] [CrossRef] [PubMed]



| Na 128–134 (254) (%) | Na > 134 (300) (%) | p-Value | |
|---|---|---|---|
| Cognitive slowing | 18 (7.1) | 0 | <0.001 |
| Concentration problems | 15 (5.9) | 4 (1.37) | <0.001 |
| Confusion | 8 (3.1) | 2 (0.7) | <0.001 |
| Diplopia | 33 (13) | 12 (4.0) | <0.001 |
| Dizziness | 61 (24) | 19 (6.30) | <0.001 |
| Falls | 16 (6.3) | 1 (0.3) | <0.001 |
| Gait disturbance | 6 (2.4) | 2 (0.7) | 0.002 |
| Headache | 14 (6.7) | 9 (3) | <0.001 |
| Increased seizure frequency | 16 (6.3) | 0 | <0.001 |
| Instability | 43 (16.9) | 8 (2.7) | <0.001 |
| Nausea/vomiting | 14 (5.5) | 1 (0.3) | <0.001 |
| Somnolence | 21 (8.3) | 6 (2) | <0.001 |
| Tiredness | 44 (17.3) | 20 (6.7) | <0.01 |
Disclaimer/Publisher’s Note: The statements, opinions and data contained in all publications are solely those of the individual author(s) and contributor(s) and not of MDPI and/or the editor(s). MDPI and/or the editor(s) disclaim responsibility for any injury to people or property resulting from any ideas, methods, instructions or products referred to in the content. |
© 2023 by the author. Licensee MDPI, Basel, Switzerland. This article is an open access article distributed under the terms and conditions of the Creative Commons Attribution (CC BY) license (https://creativecommons.org/licenses/by/4.0/).
Share and Cite
Decaux, G. Morbidity Associated with Chronic Hyponatremia. J. Clin. Med. 2023, 12, 978. https://doi.org/10.3390/jcm12030978
Decaux G. Morbidity Associated with Chronic Hyponatremia. Journal of Clinical Medicine. 2023; 12(3):978. https://doi.org/10.3390/jcm12030978
Chicago/Turabian StyleDecaux, Guy. 2023. "Morbidity Associated with Chronic Hyponatremia" Journal of Clinical Medicine 12, no. 3: 978. https://doi.org/10.3390/jcm12030978
APA StyleDecaux, G. (2023). Morbidity Associated with Chronic Hyponatremia. Journal of Clinical Medicine, 12(3), 978. https://doi.org/10.3390/jcm12030978

