Early Initiation of Adalimumab Significantly Diminishes Postoperative Crohn’s Disease Endoscopic Recurrence and Is Superior to 6-Mercaptopurine Therapy: An Open-Label, Randomized Controlled Study
Abstract
:1. Introduction
2. Materials and Methods
2.1. Study Design and Population
2.2. Study Interventions
2.3. Follow-Up
2.4. Study Outcomes
2.5. Statistical Analysis
3. Results
3.1. Study Timeline
3.2. ePOR at Week 32
3.3. Endoscopic Recurrence at Week 58
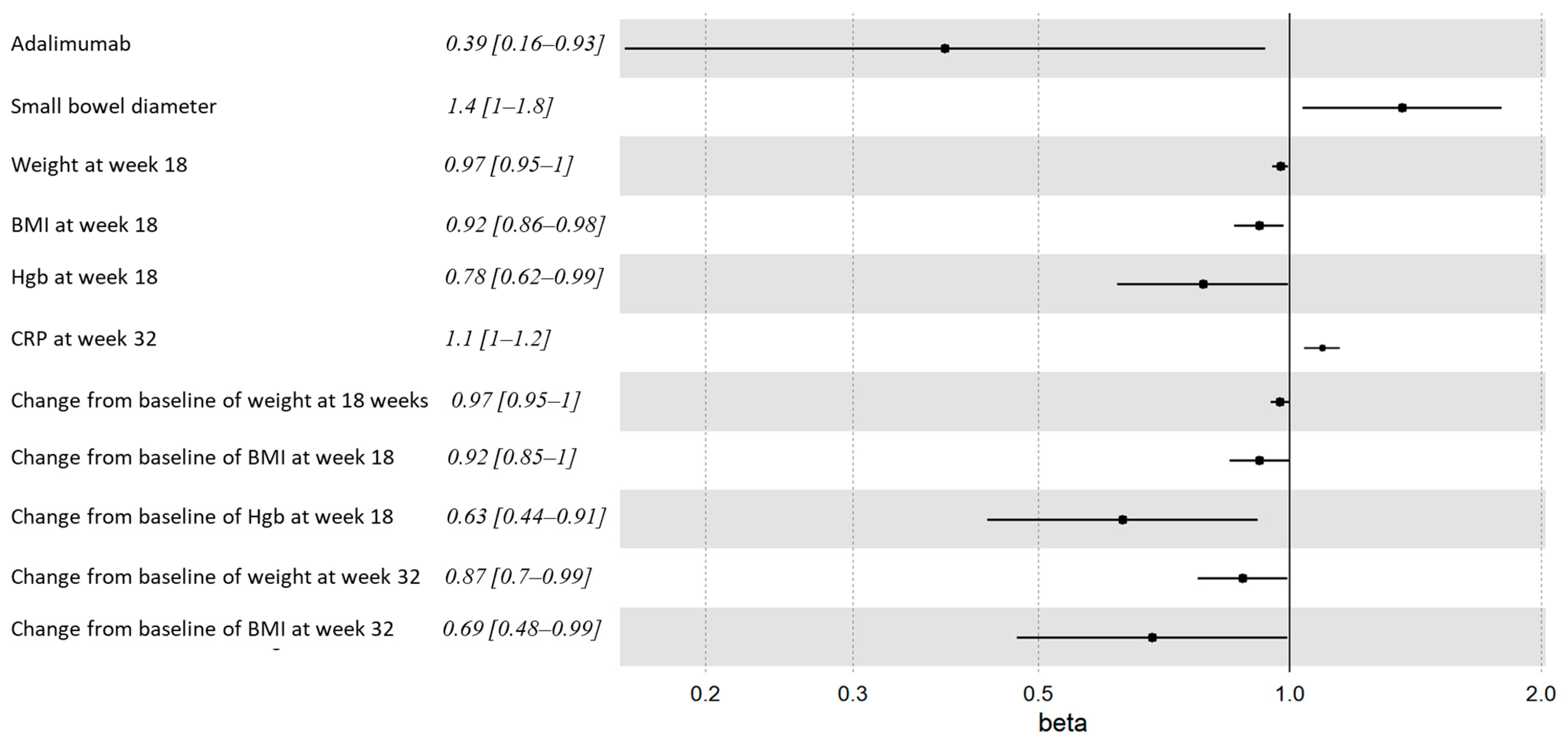
3.4. Factors Associated with Endoscopic POR
3.4.1. Small Bowel Diameter
3.4.2. Inflammatory Indices
3.4.3. Weight and BMI
3.4.4. Hemoglobin
3.4.5. Alanine Aminotransferase
3.5. Clinical Recurrence
3.6. Safety
4. Discussion
5. Conclusions
Author Contributions
Funding
Institutional Review Board Statement
Informed Consent Statement
Data Availability Statement
Conflicts of Interest
Appendix A
| Study Population (n = 35) | Rutgeerts < i2 (n = 14) | Rutgeerts ≥ i2 (n = 21) | HR (95% CI) |
|---|---|---|---|
| Study drug n (%) | |||
| 6 MP | 4 (25) | 12 (75) | 0.39 (0.16–0.93) |
| adalimumab | 10 (53) | 9 (47) | |
| Small bowel diameter [cm] [median ± SD] | 3.25 ± 0.9 | 3.5 ± 1.6 | 1.4 (1–1.8) |
| Week 18 | |||
| Weight [Kg] [median ± SD] | 71 ± 13.8 | 61 ± 19.1 | 0.97 (0.95–1) |
| BMI [Kg/m2] [median ± SD] | 24 ± 3 | 20.5 ± 6 | 0.92 (0.86–0.98) |
| Hemoglobin [g/dL] [mean ± SE] | 13.7 ± 0.5 | 12.5 ± 0.4 | 0.78 (0.62–0.99) |
| Week 32 | |||
| CRP [mg/dL] [median ± SD] | 1.5 ± 1.9 | 2.1 ± 6 | 1.1 (1–1.2) |
| Change from baseline at week 18 | |||
| Weight [Kg] [median ± SD] | 4.6 ± 2.5 | 2.8 ± 15.5 | 0.97 (0.95–1) |
| BMI [Kg2/m] [median ± SD] | 1.7 ± 0.8 | 1 ± 5 | 0.92 (0.85–1) |
| Hemoglobin [g/dL] [mean ± SE] | 1 ± 0.3 | 0.16 ± 0.3 | 0.63 (0.44–0.91) |
| Change from baseline at week 32 | |||
| Weight [Kg] [mean ± SE] | 6.7 ± 1 | 3.6 ± 0.8 | 0.87 (0.77–0.99) |
| BMI [Kg2/m] [mean ± SE] | 2.2 ± 0.3 | 1.3 ± 0.3 | 0.69 (0.48–0.99) |
| Change from week 18 at week 32 | |||
| Hemoglobin [g/dL] [mean ± SE] | 0.17 ± 0.2 | 1 ± 0.2 | 1.8 (1.2–2.6) |
| Study Population (n = 35) | Rutgeerts < i2 (n = 20) | Rutgeerts ≥ i2 (n = 15) | p-Value |
|---|---|---|---|
| BMI delta from baseline [Kg/m2] [median ± SD] | 1.7 ± 1 | 0.9 ± 6 | 0.1 |
| Labs (change from baseline at week 18) | |||
| Hemoglobin [g/dL] [mean ± SE] | 1.1 ± 0.3 | −0.4 ± 0.3 | 0.0005 |
| WBC [10 × 103/µL] [median ± SD] | −0.55 ± 2 | −1.1 ± 3.3 | 0.5 |
| PLT [10 × 103/µL] [median ± SD] | −20 ± 67 | −7.5 ± 31 | 0.3 |
| ALT [U/L] [mean ± SE] | -5 ± 4 | −12 ± 3.4 | 0.2 |
| AST [U/L] [median ± SD] | −1 ± 9.4 | −7.5 ± 7.3 | 0.3 |
| CRP [mg/dL] [median ± SD] | −2.42 ± 4.2 | −0.3 ± 18.8 | 0.6 |
| Stool calprotectin [µg/gr] [mean ± SE] | −155.3 ± 24.2 | −18.8 ± 83 | 0.4 |
| Clinical scores delta from baseline at week 18 | |||
| IBDQ [mean ± SE] | 6.4 ± 4.4 | 2.6 ± 6.8 | 0.7 |
| SF36 [mean ± SE] | 367 ± 137 | 192 ± 137 | 0.4 |
| CDAI [median ± SD] | −14 ± 42.3 | −10 ± 59.2 | 0.5 |
References
- Dittrich, A.E.; Sutton, R.T.; Haynes, K.; Wang, H.; Fedorak, R.N.; Kroeker, K.I. Incidence Rates for Surgery in Crohn’s Disease Have Decreased: A Population-based Time-trend Analysis. Inflamm. Bowel Dis. 2020, 26, 1909–1916. [Google Scholar] [CrossRef] [PubMed]
- Stoss, C.; Stöss, C.; Berlet, M.; Reischl, S.; Nitsche, U.; Weber, M.C.; Friess, H.; Wilhelm, D.; Neumann, P.A. Crohn’s disease: A population-based study of surgery in the age of biological therapy. Int. J. Colorectal. Dis. 2021, 36, 2419–2426. [Google Scholar] [CrossRef] [PubMed]
- Peyrin-Biroulet, L.; Harmsen, S.W.; Tremaine, W.J.; Zinsmeister, A.R.; Sandborn, W.J.; Loftus, E.V., Jr. Surgery in a population-based cohort of Crohn’s disease from Olmsted County, Minnesota (1970–2004). Am. J. Gastroenterol. 2012, 107, 1693–1701. [Google Scholar] [CrossRef] [PubMed]
- Szanto, K.; Nyári, T.; Balint, A.; Bor, R.; Milassin, Á.; Rutka, M.; Fábián, A.; Szepes, Z.; Nagy, F.; Molnar, T.; et al. Biological therapy and surgery rates in inflammatory bowel diseases—Data analysis of almost 1000 patients from a Hungarian tertiary IBD center. PLoS ONE 2018, 13, e0200824. [Google Scholar] [CrossRef] [PubMed]
- Rutgeerts, P.; Geboes, K.; Vantrappen, G.; Beyls, J.; Kerremans, R.; Hiele, M. Predictability of the postoperative course of Crohn’s disease. Gastroenterology 1990, 99, 956–963. [Google Scholar] [CrossRef] [PubMed]
- Ble, A.; Renzulli, C.; Cenci, F.; Grimaldi, M.; Barone, M.; Sedano, R.; Chang, J.; Nguyen, T.M.; Hogan, M.; Zou, G.; et al. The Relationship Between Endoscopic and Clinical Recurrence in Postoperative Crohn’s Disease: A Systematic Review and Meta-analysis. J. Crohn’s Colitis 2022, 16, 490–499. [Google Scholar] [CrossRef] [PubMed]
- Cottone, M.; Rosselli, M.; Orlando, A.; Oliva, L.; Puleo, A.; Cappello, M.; Traina, M.; Tonelli, F.; Pagliaro, L. Smoking habits and recurrence in Crohn’s disease. Gastroenterology 1994, 106, 643–648. [Google Scholar] [CrossRef] [PubMed]
- McLeod, R.S.; Wolff, B.G.; Ross, S.; Parkes, R.; McKenzie, M. Recurrence of Crohn’s disease after ileocolic resection is not affected by anastomotic type: Results of a multicenter, randomized, controlled trial. Dis. Colon Rectum 2009, 52, 919–927. [Google Scholar] [CrossRef] [PubMed]
- Avidan, B.; Sakhnini, E.; Lahat, A.; Lang, A.; Koler, M.; Zmora, O.; Bar-Meir, S.; Chowers, Y. Risk factors regarding the need for a second operation in patients with Crohn’s disease. Digestion 2005, 72, 248–253. [Google Scholar] [CrossRef] [PubMed]
- Pascua, M.; Su, C.; Lewis, J.D.; Brensinger, C.; Lichtenstein, G.R. Meta-analysis: Factors predicting post-operative recurrence with placebo therapy in patients with Crohn’s disease. Aliment. Pharmacol. Ther. 2008, 28, 545–556. [Google Scholar] [CrossRef] [PubMed]
- Adamina, M.; Bonovas, S.; Raine, T.; Spinelli, A.; Warusavitarne, J.; Armuzzi, A.; Bachmann, O.; Bager, P.; Biancone, L.; Bokemeyer, B.; et al. ECCO Guidelines on Therapeutics in Crohn’s Disease: Surgical Treatment. J. Crohn’s Colitis 2020, 14, 155–168. [Google Scholar] [CrossRef] [PubMed]
- De Cruz, P.; Kamm, M.A.; Hamilton, A.L.; Ritchie, K.J.; Krejany, E.O.; Gorelik, A.; Liew, D.; Prideaux, L.; Lawrance, I.C.; Andrews, J.M.; et al. Crohn’s disease management after intestinal resection: A randomised trial. Lancet 2015, 385, 1406–1417. [Google Scholar] [CrossRef] [PubMed]
- Armuzzi, A.; Felice, C.; Papa, A.; Marzo, M.; Pugliese, D.; Andrisani, G.; Federico, F.; De Vitis, I.; Rapaccini, G.L.; Guidi, L. Prevention of postoperative recurrence with azathioprine or infliximab in patients with Crohn’s disease: An open-label pilot study. J. Crohn’s Colitis 2013, 7, e623–e629. [Google Scholar] [CrossRef] [PubMed]
- De Cruz, P.; Kamm, M.A.; Hamilton, A.L.; Ritchie, K.J.; Krejany, E.O.; Gorelik, A.; Liew, D.; Prideaux, L.; Lawrance, I.C.; Andrews, J.M.; et al. Efficacy of thiopurines and adalimumab in preventing Crohn’s disease recurrence in high-risk patients—A POCER study analysis. Aliment. Pharmacol. Ther. 2015, 42, 867–879. [Google Scholar] [CrossRef] [PubMed]
- Lopez-Sanroman, A.; Vera-Mendoza, I.; Domènech, E.; Taxonera, C.; Vega Ruiz, V.; Marín-Jiménez, I.; Guardiola, J.; Castro, L.; Esteve, M.; Iglesias, E.; et al. Adalimumab vs Azathioprine in the Prevention of Postoperative Crohn’s Disease Recurrence. A GETECCU Randomised Trial. J. Crohn’s Colitis 2017, 11, 1293–1301. [Google Scholar] [CrossRef] [PubMed]
- Savarino, E.; Bodini, G.; Dulbecco, P.; Assandri, L.; Bruzzone, L.; Mazza, F.; Frigo, A.C.; Fazio, V.; Marabotto, E.; Savarino, V. Adalimumab is more effective than azathioprine and mesalamine at preventing postoperative recurrence of Crohn’s disease: A randomized controlled trial. Am. J. Gastroenterol. 2013, 108, 1731–1742. [Google Scholar] [CrossRef] [PubMed]
- Nguyen, G.C.; Loftus, E.V.; Hirano, I.; Falck–Ytter, Y.; Singh, S.; Sultan, S.; Flamm, S.L.; Lim, J.K.; Rubenstein, J.H.; Smalley, W.E.; et al. American Gastroenterological Association Institute Guideline on the Management of Crohn’s Disease After Surgical Resection. Gastroenterology 2017, 152, 271–275. [Google Scholar] [CrossRef] [PubMed]
- Wright, E.K.; Kamm, M.A.; De Cruz, P.; Hamilton, A.L.; Ritchie, K.J.; Krejany, E.O.; Leach, S.; Gorelik, A.; Liew, D.; Prideaux, L.; et al. Measurement of fecal calprotectin improves monitoring and detection of recurrence of Crohn’s disease after surgery. Gastroenterology 2015, 148, 938–947.e1. [Google Scholar] [CrossRef] [PubMed]
- Boube, M.; Laharie, D.; Nancey, S.; Hebuterne, X.; Fumery, M.; Pariente, B.; Roblin, X.; Peyrin-Biroulet, L.; Minet-Quinard, R.; Pereira, B.; et al. Variation of faecal calprotectin level within the first three months after bowel resection is predictive of endoscopic postoperative recurrence in Crohn’s disease. Dig. Liver Dis. 2020, 52, 740–744. [Google Scholar] [CrossRef] [PubMed]
- Veyre, F.; Boschetti, G.; Meunier, C.; Cuerq, C.; Gay, C.; Charlois, A.L.; Duclaux-Loras, R.; Danion, P.; Cotte, E.; Kepenekian, V.; et al. Low Levels of Fecal Calprotectin 3 Months After Surgery Predict Subsequent Endoscopic Postoperative Remission in Crohn’s Disease. Dig. Dis. Sci. 2021, 66, 4429–4435. [Google Scholar] [CrossRef] [PubMed]




| Study Population (n = 35) | 6-MP (n = 16) | Adalimumab (n = 19) | p-Value |
|---|---|---|---|
| Age [years] [mean ± SE] | 31.3 ± 1.9 | 33.1 ± 2.1 | 0.5 |
| Males n (%) | 11 (69) | 14 (74) | 1 |
| Disease duration [years] [median ± SD] | 2.5 ± 6.7 | 5 ± 5.7 | 0.9 |
| Smoking n (%) | |||
| Never/Past | 11 (69) | 17 (89) | 0.3 |
| Current | 5 (31) | 2 (11) | |
| Preop therapy n (%) | |||
| 6MP | 7 (44) | 4 (21) | 0.16 |
| Anti-TNF | 2 (13) | 7 (36) | |
| Duration: surgery to therapy [days] [median ± SD] | 44 ± 18.8 | 46.7 ± 6.4 | 1 |
| Ethnicity n (%) | |||
| Ashkenazi | 6 (38) | 7 (36) | 1 |
| Non-Ashkenazi | 8 (50) | 10 (53) | |
| BMI [Kg/m2] [mean ± SE] | 20.3 ± 0.7 | 22.3 ± 0.9 | 0.1 |
| Lab at baseline | |||
| Hemoglobin [g/dL] [mean ± SE] | 12.5 ± 0.5 | 12.3 ± 0.4 | 0.7 |
| WBC [10 × 103/µL] [median ± SD] | 6.9 ± 2.5 | 6.75 ± 2 | 1 |
| PLT [10 × 103/µL] [median ± SD] | 275 ± 102.7 | 282 ± 178.2 | 0.6 |
| ALT [U/L] [mean ± SE] | 32 ± 33 | 39.5 ± 35.7 | 0.4 |
| AST [U/L] [median ± SD] | 23 ± 19 | 32 ± 12.4 | 0.6 |
| CRP [mg/dL] [median ± SD] | 1.8 ± 2.8 | 4.7 ± 6.8 | 0.1 |
| Stool calprotectin [µg/gr] [median ± SD] | 149 ± 316.1 | 234 ± 203 | 0.9 |
| Clinical scores | |||
| IBDQ [mean ± SE] | 183.9 ± 6.5 | 171.3 ± 6.8 | 0.2 |
| SF36 [mean ± SE] | 2484 ± 139.9 | 2075 ± 148.5 | 0.06 |
| CDAI [median ± SD] | 112 ± 41.1 | 112.4 ± 45.9 | 0.9 |
| Surgical variables | |||
| Small bowel resected length [cm] [median ± SD] | 12.5 ± 17 | 16 ± 7.6 | 0.8 |
| Small bowel diameter [cm] [median ± SD] | 3.5 ± 1.7 | 3.5 ± 1 | 0.1 |
| Colon resected length [cm] [median ± SD] | 8 ± 12 | 7 ± 2.3 | 0.1 |
| Appendiceal inflammation, n (%) | 6 (50) | 4 (29) | 0.5 |
| Proximal margin inflammation, n (%) | 4 (29) | 2 (12) | 0.5 |
| Distal margin inflammation, n (%) | 2 (14) | 1 (6) | 0.9 |
| Study Population (n = 35) | Rutgeerts < i2 (n = 20) | Rutgeerts ≥ i2 (n = 15) | p-Value |
|---|---|---|---|
| Study drug n (%) | |||
| 6 MP | 5 (25) | 11 (73) | 0.004 |
| adalimumab | 15 (75) | 4 (27) | |
| Age [years] [mean ± SE] | 33.2 ± 1.9 | 31 ± 2 | 0.4 |
| Males n (%) | 13 (65) | 12 (80) | 0.6 |
| Disease duration [years] [median ± SD] | 5 ± 6.1 | 2.5 ± 6.2 | 0.6 |
| Smoking n (%) | |||
| Never/Past | 18 (90) | 10 (66) | 0.2 |
| Current | 2 (10) | 5 (34) | |
| Duration: surgery to therapy [days] [median+SD] | 46 ± 16.2 | 45 ± 8.1 | 0.4 |
| BMI [Kg2/m] [median ± SE] at baSEline | 22 ± 0.8 | 20.5 ± 0.9 | 0.2 |
| Labs at baseline | |||
| Hemoglobin [g/dL] [mean ± SE] | 12.2 ± 0.3 | 12.6 ± 0.5 | 0.6 |
| WBC [10 × 103/µL] [median ± SD] | 6.5 ± 1.6 | 7.5 ± 2.7 | 0.1 |
| PLT [10 × 103/µL] [median ± SD] | 299 ± 126 | 262.5 ± 176.5 | 0.8 |
| ALT [U/L] [median+SD] | 32 ± 30 | 38 ± 40.2 | 0.6 |
| AST [U/L] [median ± SD] | 27 ± 13.9 | 29.5 ± 18.1 | 0.7 |
| CRP [mg/dL] [median ± SD] | 2.4 ± 5 | 5.2 ± 7 | 0.5 |
| Stool calprotectin [µg/gr] [mean ± SE] | 169 ± 207 | 202 ± 299.5 | 0.3 |
| Clinical scores at baseline | |||
| IBDQ [mean ± SE] | 176 ± 6.5 | 179 ± 7.2 | 0.7 |
| SF36 [mean ± SE] | 2273 ± 145 | 2247 ± 165 | 0.9 |
| CDAI [median ± SD] | 102 ± 47.4 | 119 ± 36.3 | 0.3 |
| Surgical variables | |||
| Small bowel resected [cm] [median ± SD] | 15.75 ± 7.4 | 15 ± 17.5 | 0.4 |
| Small bowel diameter [cm] [median ± SD] | 3.1 ± 0.8 | 3.5 ± 1.8 | 0.05 |
| Colon resected [cm] [median ± SD] | 7 ± 2.8 | 7.5 ± 12.5 | 0.1 |
| Appendiceal inflammation n (%) | 6 (40) | 4 (36) | 1 |
| Resected margin inflammation n (%) | 4 (20) | 5 (33) | 0.4 |
| Study Population (n = 35) | Rutgeerts < i2 (n = 20) | Rutgeerts ≥ i2 (n = 15) | p-Value |
|---|---|---|---|
| BMI [Kg/m2] [median ± SD] at week 18 | 22.8 ± 3.6 | 20.5 ± 6.7 | 0.1 |
| Labs at week 18 | |||
| Hemoglobin [g%] [mean ± SE] | 13.6 ± 0.4 | 12.1 ± 0.5 | 0.03 |
| WBC [10 × 103/µL] [mean ± SE] | 6 ± 0.3 | 5.8 ± 0.6 | 0.7 |
| PLT [10 × 103/µL] [median ± SD] | 256 ± 69 | 262 ± 77 | 0.3 |
| ALT [U/L] [median ± SD] | 26 ± 18 | 19.5 ± 8.2 | 0.02 |
| AST [U/L] [median ± SD] | 23 ± 9.9 | 19 ± 5.8 | 0.09 |
| CRP [mg/dL] [median ± SD] | 0.6 ± 1.7 | 2.6 ± 14.2 | 0.07 |
| Stool calprotectin [µg/gr] [median ± SD] | 102 ± 145 | 303 ± 267 | 0.02 |
| Clinical scores at week 18 | |||
| IBDQ [median ± SD] | 190 ± 29.2 | 193 ± 33 | 0.6 |
| SF36 [mean ± SE] | 2593 ± 142 | 2382 ± 189 | 0.4 |
| CDAI [mean ± SE] | 76.4 ± 14.3 | 103.7 ± 16 | 0.2 |
Disclaimer/Publisher’s Note: The statements, opinions and data contained in all publications are solely those of the individual author(s) and contributor(s) and not of MDPI and/or the editor(s). MDPI and/or the editor(s) disclaim responsibility for any injury to people or property resulting from any ideas, methods, instructions or products referred to in the content. |
© 2023 by the authors. Licensee MDPI, Basel, Switzerland. This article is an open access article distributed under the terms and conditions of the Creative Commons Attribution (CC BY) license (https://creativecommons.org/licenses/by/4.0/).
Share and Cite
Hirsch, A.; Scapa, E.; Fliss-Isakov, N.; Tulchinsky, H.; Itzkowitz, E.; Kariv, Y.; Ron, Y.; Yanai, H.; White, I.; Yassin, S.; et al. Early Initiation of Adalimumab Significantly Diminishes Postoperative Crohn’s Disease Endoscopic Recurrence and Is Superior to 6-Mercaptopurine Therapy: An Open-Label, Randomized Controlled Study. J. Clin. Med. 2023, 12, 7600. https://doi.org/10.3390/jcm12247600
Hirsch A, Scapa E, Fliss-Isakov N, Tulchinsky H, Itzkowitz E, Kariv Y, Ron Y, Yanai H, White I, Yassin S, et al. Early Initiation of Adalimumab Significantly Diminishes Postoperative Crohn’s Disease Endoscopic Recurrence and Is Superior to 6-Mercaptopurine Therapy: An Open-Label, Randomized Controlled Study. Journal of Clinical Medicine. 2023; 12(24):7600. https://doi.org/10.3390/jcm12247600
Chicago/Turabian StyleHirsch, Ayal, Erez Scapa, Naomi Fliss-Isakov, Hagit Tulchinsky, Eran Itzkowitz, Yehuda Kariv, Yulia Ron, Henit Yanai, Ian White, Sharief Yassin, and et al. 2023. "Early Initiation of Adalimumab Significantly Diminishes Postoperative Crohn’s Disease Endoscopic Recurrence and Is Superior to 6-Mercaptopurine Therapy: An Open-Label, Randomized Controlled Study" Journal of Clinical Medicine 12, no. 24: 7600. https://doi.org/10.3390/jcm12247600
APA StyleHirsch, A., Scapa, E., Fliss-Isakov, N., Tulchinsky, H., Itzkowitz, E., Kariv, Y., Ron, Y., Yanai, H., White, I., Yassin, S., Cohen, N. A., Brazovski, E., Dotan, I., & Maharshak, N. (2023). Early Initiation of Adalimumab Significantly Diminishes Postoperative Crohn’s Disease Endoscopic Recurrence and Is Superior to 6-Mercaptopurine Therapy: An Open-Label, Randomized Controlled Study. Journal of Clinical Medicine, 12(24), 7600. https://doi.org/10.3390/jcm12247600

