Abstract
All chronic and treatment-resistant acute rejections are “difficult-to-treat” and lead to progressive loss of graft function in kidney transplant recipients (KTR), as no effective treatment exists for such rejections to date. We review our experience with a novel strategy to treat such rejections by adding everolimus as a “rescue” to conventional triple maintenance therapy with prednisolone, mycophenolate mofetil and calcineurin inhibitor. We retrospectively analysed data in 28 KTR who received everolimus-based quadruple therapy at our institution for biopsy-proven chronic active T cell-mediated or antibody-mediated rejection (n = 19) or treatment-resistant acute rejections (n = 9) between 2011–2017. The primary outcome was 5-year death-censored graft survival. Main secondary outcomes were response to treatment defined by stable or improved graft function, 5-year patient survival and discontinuation rate of treatment. The Kaplan–Meier estimate for 5-year death-censored graft survival was 79% in all patients, 90% for patients with chronic active T cell-mediated rejections, 78% for chronic active antibody-mediated rejection and 67% for acute rejections. Response to treatment was achieved in 43% and 5-year patient survival was 94%. Treatment was stopped in 12 (43%) patients due to adverse events. Everolimus-based maintenance quadruple therapy, despite high rate of everolimus discontinuation due to adverse events, may be a valid approach in a subset of kidney transplant recipients with such difficult-to-treat rejections, which otherwise would lead to a high rate of graft loss.
1. Introduction
Despite significant advances in immunosuppressive therapy in kidney transplant recipients (KTR), some acute rejections are resistant to the available anti-rejection treatments. Steroid-resistant acute T cell-mediated rejections (aTCMR) are traditionally treated with anti-thymocyte globulin (ATG) [,] with a success rate of 60–70% []; however, ATG may be contraindicated in some patients. No effective treatment exists to date for such aTCMR. Active antibody-mediated rejections (aABMR) are treated extensively with repeated plasmapheresis, high-dose intravenous immunoglobulins (IVIG) and B-cell depleting agents []. Despite having received intensive therapy and multiple plasmapheresis treatments, these patients are at high risk for the development of chronic active antibody-mediated rejection (caABMR) and accelerated graft loss. Chronic active T cell-mediated rejections (caTCMR) and caABMR are difficult-to-treat and usually irreversible in nature []. Currently, optimizing baseline immunosuppression with steroids + calcineurin inhibitor (CNI) + anti-proliferative agent mycophenolate acid (MPA) is considered the standard of care for patients with chronic rejections. The refractory aTCMR, aABMR as well as all chronic rejections are associated with progressive loss of graft function and eventual graft failure in KTR. No optimal treatment exists for such rejections to date, especially for chronic rejections [,].
Everolimus is a mammalian target of rapamycin (mTOR) inhibitor and its potent immunosuppressive action is mediated by impairment of dendritic cell maturation and function, and inhibition of T-cell proliferation []. Everolimus is used for the prophylaxis of graft rejection in solid organ transplant recipients []. It has a more divergent mode of action than that of CNIs and has been shown to be a potent inhibitor of antibody-mediated immunity []. Moreover, it also has antiviral as well as anticarcinogenic properties and is licensed for the treatment of several solid cancers [,,]. Everolimus has proven to be a good substitute for other immunosuppressive drugs in triple maintenance combination therapies in regard to efficacy and safety [,,,,,,]. Everolimus is known to have synergistic immunosuppressive activity with CNI and has been used in CNI minimization or elimination strategies to reduce CNI exposure and improve graft function after kidney transplantation, mostly in low-risk populations without any rejection [,,,,,]. Efficacy and safety of a quadruple regimen with low doses of both tacrolimus and everolimus has been shown even in lung transplant recipients at five years in a randomized controlled trial []. Addition of low-dose everolimus to the conventional triple immunosuppressive therapy, consisting of steroids + CNI + MPA, i.e., quadruple maintenance therapy, may allow CNI minimization, achieving a synergistic immunosuppressive effect that is less nephrotoxic and sufficiently potent to treat difficult rejections in kidney transplant recipients.
We have used this strategy with quadruple maintenance treatment as “rescue therapy” to treat difficult-to-treat acute as well as chronic rejections in KTR at Sahlgrenska University Hospital (SU), Gothenburg, Sweden, since 2011 to enhance overall immunosuppression while reducing toxicity by using lower individual dosage of both CNI and everolimus. We share our experience with this regimen here with a focus on its efficacy and safety.
2. Materials and Methods
2.1. Study Design and Patients
This retrospective study analysed all KTR who had a diagnosis of biopsy-proven treatment-resistant acute and/or chronic rejections between 2011 and 2017 and received quadruple maintenance immunosuppressive treatment at our centre. The follow-up was performed up to July 2021. Treatment-resistant acute rejections were those that failed to respond, i.e., when serum creatinine failed to return to within 25% of the baseline value within 1 week of completion of treatment and/or had persistent changes of rejection in repeat biopsy after conventional anti-rejection therapy.
2.2. Data Collection
Patient demographics, pre-transplant characteristics, post-transplant clinical course, lab values and immunosuppression data were collected using electronic charts and the local electronic registry. Missing values from patients living outside the region were obtained using a national registry. All biopsies after transplantation to the last follow-up were collected using electronic pathology registry. All index biopsies before treatment start were re-evaluated by a renal pathologist in a blinded fashion and diagnosed according to the latest Banff-2019 classification, and cases were categorized as aABMR, aTCMR, caTCMR or caABMR [].
HLA-antibody analyses were performed using LABScreen®Single Antigen assay (One Lambda Inc., Canoga Park, CA, USA), according to the manufacturer’s instructions. Test results were analysed using HLA Fusion 2.0.0 software (One Lambda Inc., Los Angeles, CA, USA). A positive result was defined as a mean fluorescence intensity (MFI) of ≥1000. Donor specific antibodies (DSA) were defined at the antigenic level. In cases where the donor was not HLA typed on all loci, non-typed loci, when possible, were inferred by genetic linkage to typed loci. All DSA-positive (DSA+) patients were identified and the cumulative MFI (cMFI) of each DSA+ test was collected from the local immunology lab database.
2.3. Treatment
As shown in Figure 1, aTCMR in KTR was treated first with conventional intravenous (iv) methyl-prednisolone bolus at a dose of 500 mg for 3 days. Steroid-resistant aTCMR was treated with anti-thymocyte globulin (ATG) if not contraindicated, the total dose being 2–6 mg/kg iv divided over 3–6 days. Active ABMR (aABMR) was treated with iv methyl-prednisolone, iv immunoglobulin (IVIG) ±iv anti-CD20 monoclonal antibody rituximab ± plasmapheresis. The doses used were as follows: IVIG for a total dose of 2 g/kg over 5–10 days, plasmapheresis for 5–6 treatments within 5–10 days and rituximab as a single iv infusion at 375 mg/m2 body surface area. For acute rejections, if there was a contraindication to ATG in cases of steroid-resistant aTCMR, or the creatinine failed to return to within 25% of the baseline value or signs of rejection persisted on repeat biopsy even after the treatment outlined above for aTCMR or aABMR, a quadruple maintenance therapy with addition of everolimus together with slight reduction in the dose of CNI was commenced in these patients. For chronic rejection, if iv methyl-prednisolone/high-dose oral prednisolone with optimization of immunosuppression did not lead to stabilization or improvement in graft function, then quadruple maintenance treatment was introduced. The initial dose of everolimus was 0.5 mg twice daily and thereafter adjusted to reach trough levels of 3–5 ng/mL. At the same time, the tacrolimus dose was decreased to maintain trough levels of approximately 5 ± 1 ng/mL, with the cumulative everolimus and tacrolimus trough levels targeted to a range of 8–10 ng/mL.

Figure 1.
Flow diagram of patients included in the study, their classification according to the type of rejection and the anti-rejection treatment received within 3 months prior to the start of quadruple therapy. * Classified as aAMR at the time of biopsy, re-classified as aTCMR according to Banff-2019 classification. aTCMR, acute T cell-mediated rejection; aABMR, acute antibody-mediated rejection; caTCMR, chronic active T cell-mediated rejection; caABMR, chronic active antibody-mediated rejection; MP, methylprednisolone; ATG, anti-thymocyte globulin; IVIG, intravenous immunoglobulin; PE, plasmapheresis; Rtx, Rituximab.
2.4. Outcomes
The primary outcome was the 5-year death-censored graft survival after start of treatment. Death-censored graft loss was defined as return to dialysis or re-transplantation. The secondary outcomes were patient survival, safety, rate of discontinuation of treatment and changes in albuminuria and hyperlipidemia (as everolimus may adversely affect these parameters) and patients’ response to treatment assessed by the estimated glomerular filtration rate (eGFR) slope/year from start of treatment to the end of the treatment, calculated using the Chronic Kidney Disease Epidemiology Collaboration (CKD-EPI) Creatinine Equation []. The eGFR was calculated at start of treatment, 3 months, 6 months and then yearly until the last follow-up. The patients’ response to treatment was categorized into stable, improved or decreased graft function. An improvement was defined as an eGFR slope of >1 mL/min/1.73 m2/year, a decrease was defined as an eGFR slope of <−1 mL/min/1.73 m2/year and a stabilisation was defined as the range in between those two []. Since the graft function of a patient with refractory rejection is expected to decline with time, a stable function was also considered as a positive result. Thus, response to treatment was defined if the eGFR slope was stable or improved, i.e., the eGFR slope was ≥−1 mL/min/1.73 m2/year at the end of treatment from start of treatment.
Regarding safety, emphasis was placed on incidence of infections requiring medical intervention and blood and lymphatic system disorders, which were analysed during the treatment period, and malignancies, which were assessed from the start of the treatment until the most recent follow-up available. Data on infections were collected directly from the electronic medical charts, excluding cytomegalovirus (CMV) and BK virus (BKV), where an event was defined as a clinically symptomatic CMV infection or BKV infection (defined as BKV titers in Geq/mL 10 log > 3), as reported in the medical charts. Blood and lymphatic system disorders included anaemia, thrombocytopenia and leukopenia; each one of which was defined as any event with values below the reference interval from the laboratory performing the analysis and lasting for at least one week. If a value was abnormal at the start of treatment, the first event was counted after the serum level had first returned to normal. If the serum level did not return to normal at the end of treatment, it was defined as persistent. Data on malignancies were collected until the last follow-up, even after discontinuation of the quadruple therapy.
Information on discontinuation of the quadruple therapy regarding the date of discontinuation and the reason for the same was collected by reviewing the medical charts. Albuminuria values were collected at 0, 3, 6 months and then yearly until the last follow-up. The values of cholesterol and triglycerides were analysed at start of treatment, 3 months and then at the end of the treatment. The use of statins at the start of the treatment and any initiation during the treatment was also registered.
2.5. Subgroups
All patients were divided into either an acute or a chronic subgroup based on their biopsy-verified rejection type at the time of treatment start. Patients with combined acute and chronic rejection components were placed into the chronic group because of the irreversible nature of the chronic state. The chronic subgroup was further subdivided into caTCMR and caABMR. Comparisons were made between the acute and chronic subgroups and also between acute, caTCMR and caABMR subgroups for all variables and analyses.
2.6. Statistical Analysis
Data were analysed using SPSS for windows release 26.0 (SPSS Inc., Chicago, IL, USA). Results of continuous measured data are presented as means ± standard deviation if not stated otherwise. For continuous variables, a paired two sample t-test for means was used when analysing all patients and an unpaired two-sample t-test assuming unequal variance was used when comparing the two subgroups. Fisher’s Exact Test was used for comparing categorical variables. One-way ANOVA and Chi-square tests were used when comparing acute, caABMR and caTCMR subgroups. Patient and graft survival were analysed using the Kaplan–Meier curves with a log-rank test. A two-sided value of p < 0.05 was considered statistically significant.
3. Results
3.1. Patient Disposition and Immunosuppression
In total, 33 patients who received quadruple therapy for treatment-resistant acute or chronic rejection between 2011–2017 based on the biopsy diagnoses according to the valid Banff-classification at the time were identified. Based on a critical and blinded re-evaluation of these biopsies by the pathologist according to Banff-2019 classification, five patients were found not to fulfil all the diagnostic criteria for rejection diagnosis and were therefore excluded and the remaining 28 patients were included in the current analysis. The demographics, pre-transplant and baseline characteristics of the 28 patients are summarised in Table 1 and the anti-rejection treatment received within three months prior to the start of quadruple therapy in Figure 1. Five patients in the acute rejection subgroup could not receive ATG because of contraindications such as CMV or BK viremia, other severe infection, leukopenia, patient frailty or having received thymoglobulin in the past. The median time from Tx to the start of quadruple treatment was 10.5 months (range 1–87 months). The median exposure to the treatment was 36 months (range 3–117 months) and the median follow-up time after initiation of the quadruple therapy was 80.5 months (range 47–121) in all patients. Two patients were between 14–17 years of age at the time of treatment start, all others were adults. All patients were hepatitis B- and C-negative. Two patients were Epstein Barr virus-negative and six had negative CMV serology before Tx. In four patients, quadruple treatment was temporarily stopped due to adverse events (AE) (n = 3) and pregnancy desire (n = 1) before starting again (with duration until resuming therapy again of 2, 3, 3 and 8 months, respectively). The relevant clinical characteristics at start of treatment and until the end of treatment stratified by acute and chronic subgroups are shown in Table 2.

Table 1.
Pre-transplant and baseline characteristics *.

Table 2.
Clinical characteristics at start of treatment and during treatment.
3.2. Histopathology and DSA
Nine patients had biopsy-confirmed acute rejection at the start of intervention (8 aTCMR and 1 aABMR). Among the 8 aTCMR, 5 were grade IA, 1 IIA, 1 IB and 1 IIB. Of the 19 patients with chronic rejection, 9 had caABMR (all DSA+) and the remaining 10 had caTCMR (Figure 1). All 10 patients with caTCMR were grade II. Five patients in the caABMR group also had a component of caTCMR grade II. The pathological features including Banff scoring for the chronic subgroups and DSA data are summarized in Table 3.

Table 3.
Pathological features and DSA data related to the index biopsies of chronic rejection based on Banff 2019 classification.
3.3. Primary Outcome (Death-Censored Graft Survival)
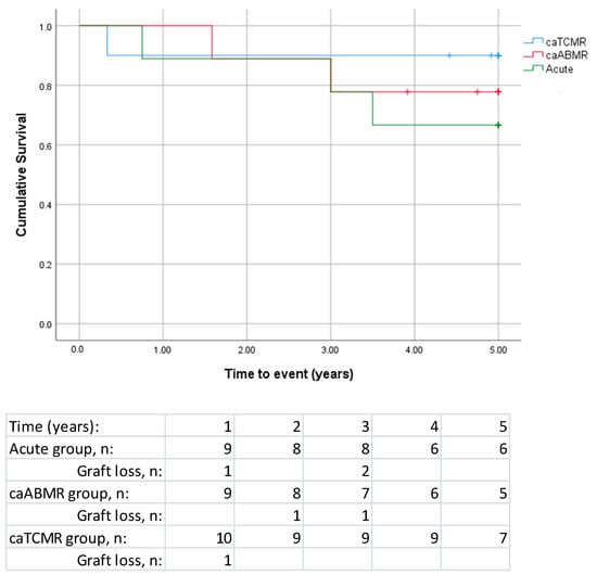
In total, 10 grafts were lost during the entire follow-up period and 4 were lost during the treatment period. The death-censored graft survival for all patients at five years was 79%: 90% for patients with caTCMR, 78% for caABMR and 67% for acute rejection (Figure 2). The patients experiencing graft loss during the treatment period had a mean eGFR of 31.0 ± 8.8 at start of treatment whereas those who did not lose their graft had a mean eGFR of 42.9 ± 18.9. The overall graft survival (not censored for deaths) at five years was 74% for all patients, 90% for caTCMR, 62% for patients with caABMR and 67% for the acute rejection subgroup.

Figure 2.
5-year death-censored graft survival in different subgroups: acute rejection (n = 9, including 8 with aTCMR and 1 with aABMR), caABMR (n = 9) and caTCMR (n = 10). The table below the graph shows the number of patients and graft losses for each year. Log-rank p-value = 0.53.
3.4. Secondary Outcomes
3.4.1. Response to Treatment
In the entire cohort of 28 patients, the mean eGFR (±SD) at start of treatment was 41.2 ± 18.2 mL/min/1.73 m2 which declined to 40.6 ± 15.0 mL/min/1.73 m2 at one year and 34.6 ± 17.2 mL/min/1.73 m2 (n = 8) at five years after start of treatment. The mean eGFR values in acute, caTCMR and caABMR groups are shown in Supplementary Figure S1. The mean eGFR values in individual patients in each group are shown in Supplementary Figure S2. Response to treatment as assessed with eGFR slope/year was observed in 43% (12/28) of all patients at the end of treatment. Five patients improved their eGFR, seven were stable and a decrease was experienced by 16/28 (57%) of all patients. In patients who had DSA at the start of treatment (n = 11), five (46%) responded to treatment, and in patients who were DSA-negative (n = 17), three (18%) responded to treatment. The responders had significantly longer duration of treatment (Table 4). The responders tended to be slightly older and more responders tended to have continued the treatment as compared to the non-responders. Other characteristics were not statistically significant in the two groups. No significant differences were found in the Banff histologic grade or scores between the groups.

Table 4.
Variables comparing patients who responded to treatment versus non-responders.
3.4.2. Patient Survival
The patient survival was 94% at 5 years for all patients, 80% for caABMR subgroup and 100% for the acute and caTCMR subgroups. In total, five patients died during the median follow up of 80.5 months (all with functioning grafts). Two patients died during the treatment period: one because of cerebral herpes zoster encephalitis (62 months after treatment start) and the other at home (cause of death not known, 82 months after treatment start). The remaining three patients died more than two years after completion of the treatment; the causes of death included pancreatic cancer with liver metastasis 58 months after the stop of treatment (total duration of treatment 3 months) and unspecified in the remaining two.
3.4.3. Safety
The following AE were noted among the patients (Table 5):

Table 5.
Adverse events during treatment (cumulative exposure = 1188 months) *.
- Infections: Over a cumulative treatment exposure of 1188 months, bacterial infections were the most common infection type with 2 events in 11 patients. Fifteen infection events in 10 patients were considered serious and required hospitalization. Among the 14 events of sepsis, one patient alone had 6 episodes. There were 20 events of viral infection in 20 patients and 3 were considered serious and required hospitalization;
- Hematologic and lymphatic disorders: Over a cumulative treatment exposure of 1188 months, the most common haematological disorder was anaemia. A total of 4 patients had a haemoglobin value below normal from study start until the end and 25 patients developed anaemia short- or long-term during the follow up. As regards leukopenia, there was only one patient with persistent leukopenia and in total 15 events in nine patients. Out of the 24 events in the 11 patients with thrombocytopenia, 5 had persistent thrombocytopenia. Six patients had serious cytopenias, of which two were admitted for severe leukopenia, and the other four received 1–3 units of blood for severe anaemia;
- Malignancies: Over a cumulative follow-up of 2262 months (up to the last follow-up or death, which included period even after stopping the treatment), twelve patients (43%) developed a malignancy at some point after having started quadruple treatment (Table 5). Two patients developed serious malignancies, of which both were fatal—one developed amelanotic melanoma and pancreatic cancer, and the other one developed lymph node metastasis from a carcinoma (possibly renal origin). The patient with amelanotic melanoma and pancreatic cancer was only on treatment for three months, developed the malignancies 48 months after discontinuation of treatment and died later from liver metastasis. The other patient was diagnosed with lymph node metastasis from a carcinoma 81 months after discontinuation and later died.
3.4.4. Discontinuation of Quadruple Treatment
In 12/28 patients (43%), the quadruple treatment (everolimus in all and MMF as well in 2 patients) had to be discontinued because of AE [leukopenia, n = 1; albuminuria, n = 1; chronic norovirus infection, n = 1; deep vein thrombosis/pulmonary embolism, n = 1; vomiting/nausea, n = 1; multiple infections, n = 1; interstitial lung disease, n = 1; elevated transaminases, n = 1; low-grade rectal cancer, n = 1; fulminant nephrotic syndrome, n = 1; tiredness, n = 1; varicella zoster virus encephalitis, n = 1]. The median duration of treatment before terminating treatment due to AE was 27 (range 3–87) months. Three of these 12 patients improved their eGFR slope and two were stable compared to start of treatment while on treatment. No Significant differences were found when comparing patients who continued treatment compared to those who stopped treatment (Supplementary Table S1).
3.4.5. Albuminuria
Only 19/28 (68%) patients had data for albuminuria available before and after quadruple treatment, as measured with a urine albumin/creatinine ratio (UACR) (Table 3). No significant difference was found between start of treatment and end of treatment values. However, treatment had to be discontinued in one patient due to significant albuminuria after the start of treatment.
3.4.6. Lipid Profile
In total, 17 and 16 patients had measurements available for cholesterol and triglycerides, respectively (Table 3). No significant difference was found between start of treatment and end of treatment values. However, the number of patients that were receiving lipid-lowering drugs at the start of intervention was nine (32%) and an additional nine patients (32%) initiated lipid-lowering treatment during the intervention period.
3.5. Comparison of Subgroups
When comparing the acute and chronic subgroups, no significant differences in death-censored/overall graft and patient survival, response rate, as well as AE were found (Figure 2 and Table 3 and Table 5). The number of patients who responded to treatment as assessed with the annual eGFR slope was five (50%) in the caTCMR group, three (33%) in the caABMR group and four (44%) in the acute group (p = NS). When analysing the caTCMR, caABMR and acute subgroups, mean eGFR, and DSA-positivity at start of treatment were significantly higher in the caABMR subgroup as compared to the other subgroups (Table 6 and Figure S1).

Table 6.
Variables comparing caTCMR, caABMR and acute rejection subgroups.
4. Discussion
In this study, we report in 28 kidney transplant recipients the long-term clinical outcomes of the use of everolimus-based quadruple immunosuppressive regimen for treatment-resistant acute rejections and/or chronic rejections, both of which are difficult-to-treat. The 5-year death-censored graft survival for all patients was 79%: 90% for patients with caTCMR, 78% for caABMR and 67% for acute rejection subgroups. In total, 43% of patients responded to the treatment as determined by a stable or improved annual eGFR slope. The number of responders in the caTCMR, caABMR and acute rejection subgroups were 50%, 33% and 44%, respectively. However, the difference was not statistically significant.
Notably, the 5-year death-censored graft survival of 78% observed in the caABMR subgroup (n = 9) in our cohort is significantly better as compared to that reported in other studies. Redfield et al. have shown in a larger cohort of patients (n = 123) with caABMR (with both presence of DSA and C4d and/or microvascular inflammation apart from chronic changes in biopsy) a median graft survival of only 1.9 years and even worse if no anti-rejection treatment with steroids and IVIG was given []. Another multicentre study that included 91 patients with caABMR observed death-censored graft survival of 36.4% at 5 years []. Other studies in patients with caABMR have observed a graft survival of 50% at 1–2 years and 32% at five years after diagnosis [,,]. DSA+ KTR have been proven to have a higher risk of graft loss [,]; however, all our patients in the caABMR group had DSA. Moreover, all the patients in our cohort had a cg score ≥ 1 and ifta ≥ 30%; 67% (6 of 9) had a g+ptc score ≥ 3, 44% (5 of 9) had I + t scores ≥ 3 and 56% (5 of 9) were C4d positive (on paraffin). Thus, the severity of the caABMR phenotype in our cohort appears at least not milder than that reported in the previous studies. Our results suggest that everolimus-based quadruple therapy may be an option also for patients with caABMR. However, because of the small numbers and retrospective nature of the study, more data are needed to corroborate our findings. Regarding caTCMR, the data on graft survival are sparse since the histologic diagnosis of caTCMR has been incorporated into the Banff classification only in 2017 and further clarified in 2019 [,]. In a previous study that classified all rejections according to Banff 2013 classification, the graft survival at 21 months after biopsy-proven diagnosis of any TCMR, where probably both acute and chronic TCMR were grouped together, was reported to be 54%, which appears to be significantly worse than the 90% found in our study for caTCMR alone at five years []. Pertaining to steroid-resistant aTCMR, the 5-year graft survival rate of 67% observed in our study is slightly lower than the 70-80% reported in several past studies where thymoglobulin was used for steroid-resistant rejections [,,]. However, the majority (63%) of our aTCMR patients included here had a contraindication for the use of thymoglobulin, which may explain the slightly lower rates observed in our study.
The treatment with everolimus-based quadruple therapy was well-tolerated by approximately 57% patients in our study with treatment discontinuations due to AEs in the remaining 43% after a median duration of 27 (3–87) months. A randomized study comparing everolimus conversion approximately 7 years after transplantation versus cyclosporine continuation as maintenance therapy also showed high rate of discontinuation in the everolimus-arm (32.6%) after one year []. On the other hand, another randomized study with CNI minimization and conversion to everolimus in stable kidney transplant recipients 5.6 years after transplantation showed a discontinuation rate of only 16.7% []. However, our patient population was much more immunosuppressed owing to several, and more intensive, anti-rejection treatments received in the past for their difficult-to-treat rejections, which may explain the higher discontinuation rate in our study. The AE profile observed in this study also appears similar to those in other studies [,,,]. A retrospective study comparing conversion to either mTORi or belatacept in 79 difficult-to-treat patients on CNI-based or mTORi-based maintenance immunosuppression (mainly because of CNI toxicity or mTOR-inhibitors-induced AEs) had similar outcomes in terms of safety and cumulative survival as our study []. Previous studies have also pointed out a higher incidence of anaemia when using everolimus [].
Two 12-months randomized studies comparing everolimus to CNI regimen as maintenance therapy found a rate of serious infections of 5.8% and 17.4%, respectively [,]. Patients receiving quadruple therapy in the current study had a 36% rate of serious infections, but here a less strict definition was used compared to the other two studies and the treatment duration was much longer. The two studies included only fatal and life-threatening incidents, whereas the present study included all those who required hospitalization. Furthermore, our patient population was much more immunosuppressed owing to several and more intensive anti-rejection treatments in the past for their difficult-to-treat rejections. Thus, more data from prospective randomized studies are needed to better assess the safety of the everolimus-based quadruple treatment. Analysis of other major AEs, such as cardiac and gastrointestinal disorders as well as other serious events requiring hospitalisation would also be of value.
Kidney transplant recipients are known to have a higher risk of cancer than the general population, especially skin cancers and Kaposi’s sarcoma [,]. Paradoxically, CNIs are associated with an increased risk of cancer, while everolimus has been proven to have antioncogenic effects []. In the present study, 24 events of malignancy occurred in 12 patients and 2 patients developed life-threatening malignancies long after discontinuation of quadruple treatment []. This increased risk of malignancies may be due to increased overall immunosuppression these patients received due to prior repeated treatments for rejection and not necessarily due to quadruple treatment per se. In a retrospective study analysing a cohort with 3537 Italian KTR receiving various combinations of immunosuppression, 263 (7.5%) patients developed a non-melanoma skin cancer and 253 (7.2%) developed another type of cancer []. In the present study, 8/28 (28.6%) developed a non-melanoma skin cancer and 4/28 (14.3%) patients developed another type of cancer. However, the different definitions used in the two studies and different post-transplant factors, such as follow-up time and immunosuppression/anti-rejection treatments received, make the comparison difficult.
The mean albuminuria appeared to increase at the end of treatment, even though not statistically significant. This supports the notion that everolimus is associated with a higher rate of albuminuria, as also described in other studies [,]. Albuminuria has been found to be a negative predictor of patient and graft survival, yet the patient and graft survival outcomes in this study were fairly good despite increased albuminuria [,,]. Cardiovascular risk factors, including hyperlipidaemia, have also shown to affect patient and graft survival [,]. In the present study, substantial increase in hypercholesterolemia when using everolimus, as reported in other studies, did not seem to occur [], which could also be explained by the increased use of statins in our patients. However, it should also be admitted that both albuminuria and lipid analyses suffered from missing values (patients with complete data were n = 19 and n = 16, respectively) and therefore, conclusive statements cannot be made.
Our study has several strengths. To our knowledge, this is the first study to evaluate a novel approach with everolimus-based quadruple maintenance therapy in patients with treatment-resistant acute rejections as well as chronic rejections in whom no established therapy exists to date. Furthermore, a comprehensive and thorough investigation of multiple clinical, laboratory and histopathological factors was performed over long-term in these patients. There are also some limitations of the study that need to be mentioned. Some of the limitations are those that are inherently associated with the retrospective analysis study design, the most important of which is lack of a control group for comparison. We acknowledge that it is difficult to draw any conclusions regarding the treatment response and adverse events given the limitations in our study design, as it was not randomized, and as such, subjected to selection bias. Another limitation is the heterogeneous and small sample size which limits the power of the study. Moreover, follow-up biopsies were not available in many of the patients and the data on albuminuria and lipid profile were missing in some patients.
5. Conclusions
The results of this study suggest that quadruple maintenance therapy with low-dose everolimus and minimization of CNI may be a viable rescue treatment for a subgroup of patients with difficult-to-treat chronic rejections who would otherwise lose their graft due to lack of further treatment options and those treatment-resistant acute rejections with contraindications to a second line of treatment with thymoglobulin. The responders were found to have significantly longer duration of treatment as compared to non-responders, indicating that those who could tolerate and continue the treatment for a longer duration had beneficial effects. However, discontinuation of treatment in 43% of patients due to AEs is of concern and warrants very careful selection and monitoring of these patients. Randomized controlled trials are needed to further evaluate this regimen in terms of efficacy and safety for which our results may form an important basis.
Supplementary Materials
The following supporting information can be downloaded at: https://www.mdpi.com/article/10.3390/jcm12206667/s1, Figure S1: Mean eGFR at the start of treatment and the first 5 follow-up years in the subgroup of patients with acute rejection (n = 9, including 8 with aTCMR and 1 with aABMR), caTCMR (n = 10) and caABMR (n = 9). The dotted line shows the mean eGFR in all patients. After graft loss, eGFR was imputed to 10 ml/min/1.73m²; Figure S2: Individual eGFR curves based on rejection subgroups; Table S1: Variables comparing patients who continued versus discontinued treatment.
Author Contributions
P.L., B.E. and J.E. provided substantial contributions to data acquisition and analysis. P.L., B.E., J.E., M.F. and S.B.-A. provided substantial contributions to study design, interpretation of the data, critical revision of the work for important intellectual content and drafting of the manuscript. V.B. provided substantial contribution to evaluation and interpretation of all the biopsies. P.L., B.E., J.E., M.F., V.B., L.M. and S.B.-A. provided substantial contributions to review and editing of the manuscript. All authors have read and agreed to the published version of the manuscript.
Funding
This research received no external funding.
Institutional Review Board Statement
The study was conducted according to the guidelines of the Declaration of Helsinki and approved by the Regional Ethical Review Board in Gothenburg (Dnr 238-18).
Informed Consent Statement
The requirement for informed consent was waived because of the retrospective nature of the study and no intervention performed.
Data Availability Statement
The data presented in this study are available on request from the corresponding author. The data are not publicly available due to data protection and ethical restrictions.
Conflicts of Interest
The authors declare no conflict of interest.
References
- Boratynska, M.; Banasik, M.; Patrzalek, D.; Klinger, M. Conversion from cyclosporine-based immunosuppression to tacrolimus/mycophenolate mofetil in patients with refractory and ongoing acute renal allograft rejection. Ann. Transplant. 2006, 11, 51–56. [Google Scholar]
- Najafian, B.; Kasiske, B.L. Chronic allograft nephropathy. Curr. Opin. Nephrol. Hypertens. 2008, 17, 149–155. [Google Scholar] [CrossRef] [PubMed]
- Bock, H.A. Steroid-resistant kidney transplant rejection: Diagnosis and treatment. J. Am. Soc. Nephrol. 2001, 12 (Suppl. S17), S48–S52. [Google Scholar] [CrossRef]
- Moreau, A.; Varey, E.; Anegon, I.; Cuturi, M.-C. Effector Mechanisms of Rejection. Cold Spring Harb. Perspect. Med. 2013, 3, a015461. [Google Scholar] [CrossRef] [PubMed]
- Mulley, W.R.; Huang, L.L.; Ramessur Chandran, S.; Longano, A.; Amos, L.A.R.; Polkinghorne, K.R.; Nikolic-Paterson, D.J.; Kanellis, J. Long-term graft survival in patients with chronic antibody-mediated rejection with persistent peritubular capillaritis treated with intravenous immunoglobulin and rituximab. Clin. Transplant. 2017, 31, e13037. [Google Scholar] [CrossRef] [PubMed]
- Schinstock, C.A.; Mannon, R.B.; Budde, K.; Chong, A.S.; Haas, M.; Knechtle, S.; Lefaucheur, C.; Montgomery, R.A.; Nickerson, P.; Tullius, S.G.; et al. Recommended Treatment for Antibody-mediated Rejection After Kidney Transplantation: The 2019 Expert Consensus From the Transplantion Society Working Group. Transplantation 2020, 104, 911–922. [Google Scholar] [CrossRef]
- Thomson, A.W.; Turnquist, H.R.; Raimondi, G. Immunoregulatory functions of mTOR inhibition. Nat. Rev. Immunol. 2009, 9, 324–337. [Google Scholar] [CrossRef]
- Holdaas, H.; De Simone, P.; Zuckermann, A. Everolimus and Malignancy after Solid Organ Transplantation: A Clinical Update. J. Transplant. 2016, 2016, 4369574. [Google Scholar] [CrossRef]
- Avila, C.L.; Zimmerer, J.M.; Elzein, S.M.; Pham, T.A.; Abdel-Rasoul, M.; Bumgardner, G.L. mTOR Inhibition Suppresses Posttransplant Alloantibody Production Through Direct Inhibition of Alloprimed B Cells and Sparing of CD8+ Antibody-Suppressing T cells. Transplantation 2016, 100, 1898–1906. [Google Scholar] [CrossRef]
- Imamura, R.; Tanaka, R.; Taniguchi, A.; Nakazawa, S.; Kato, T.; Yamanaka, K.; Namba-Hamano, T.; Kakuta, Y.; Abe, T.; Tsutahara, K.; et al. Everolimus Reduces Cancer Incidence and Improves Patient and Graft Survival Rates after Kidney Transplantation: A Multi-Center Study. J. Clin. Med. 2022, 11, 249. [Google Scholar] [CrossRef]
- Tedesco-Silva, H.; Felipe, C.; Ferreira, A.; Cristelli, M.; Oliveira, N.; Sandes-Freitas, T.; Aguiar, W.; Campos, E.; Gerbase-DeLima, M.; Franco, M.; et al. Reduced Incidence of Cytomegalovirus Infection in Kidney Transplant Recipients Receiving Everolimus and Reduced Tacrolimus Doses. Am. J. Transplant. 2015, 15, 2655–2664. [Google Scholar] [CrossRef] [PubMed]
- Albano, L.; Alamartine, E.; Toupance, O.; Moulin, B.; Merville, P.; Rerolle, J.P.; Tetaz, R.; Moal, M.C.; Kamar, N.; Legendre, C.; et al. Conversion from everolimus with low-exposure cyclosporine to everolimus with mycophenolate sodium maintenance therapy in kidney transplant recipients: A randomized, open-label multicenter study. Ann. Transplant. 2012, 17, 58–67. [Google Scholar] [PubMed]
- Budde, K.; Sommerer, C.; Rath, T.; Reinke, P.; Haller, H.; Witzke, O.; Suwelack, B.; Baeumer, D.; Sieder, C.; Porstner, M.; et al. Renal function to 5 years after late conversion of kidney transplant patients to everolimus: A randomized trial. J. Nephrol. 2015, 28, 115–123. [Google Scholar] [CrossRef]
- He, L.; Deng, J.; Yang, B.; Jiang, W. Efficacy and safety of everolimus plus low-dose calcineurin inhibitor vs. mycophenolate mofetil plus standard-dose calcineurin inhibitor in renal transplant recipients: A systematic review and meta-analysis. Clin. Nephrol. 2018, 89, 336. [Google Scholar] [CrossRef] [PubMed]
- Peddi, V.R.; Wiseman, A.; Chavin, K.; Slakey, D. Review of combination therapy with mTOR inhibitors and tacrolimus minimization after transplantation. Transplant. Rev. 2013, 27, 97–107. [Google Scholar] [CrossRef] [PubMed]
- Shihab, F.; Qazi, Y.; Mulgaonkar, S.; McCague, K.; Patel, D.; Peddi, V.R.; Shaffer, D. Association of Clinical Events with Everolimus Exposure in Kidney Transplant Patients Receiving Low Doses of Tacrolimus. Am. J. Transplant. 2017, 17, 2363–2371. [Google Scholar] [CrossRef] [PubMed]
- Sommerer, C.; Budde, K.; Zeier, M.; Wuthrich, R.P.; Reinke, P.; Eisenberger, U.; Muhlfeld, A.; Arns, W.; Stahl, R.; Heller, K.; et al. Early conversion from cyclosporine to everolimus following living-donor kidney transplantation: Outcomes at 5 years posttransplant in the randomized ZEUS trial. Clin. Nephrol. 2016, 85, 215–225. [Google Scholar] [CrossRef]
- Pascual, J.; Berger, S.P.; Witzke, O.; Tedesco, H.; Mulgaonkar, S.; Qazi, Y.; Chadban, S.; Oppenheimer, F.; Sommerer, C.; Oberbauer, R.; et al. Everolimus with Reduced Calcineurin Inhibitor Exposure in Renal Transplantation. J. Am. Soc. Nephrol. 2018, 29, 1979–1991. [Google Scholar] [CrossRef]
- Pascual, J.; Diekmann, F.; Fernandez-Rivera, C.; Gomez-Marques, G.; Gutierrez-Dalmau, A.; Perez-Saez, M.J.; Sancho-Calabuig, A.; Oppenheimer, F. Recommendations for the use of everolimus in de novo kidney transplantation: False beliefs, myths and realities. Nefrología 2017, 37, 253–266. [Google Scholar] [CrossRef]
- Holdaas, H.; Rostaing, L.; Serón, D.; Cole, E.; Chapman, J.; Fellstrøm, B.; Strom, E.H.; Jardine, A.; Midtvedt, K.; Machein, U.; et al. Conversion of Long-Term Kidney Transplant Recipients From Calcineurin Inhibitor Therapy to Everolimus: A Randomized, Multicenter, 24-Month Study. Transplantation 2011, 92, 410–418. [Google Scholar] [CrossRef]
- Sawinski, D.; Trofe-Clark, J.; Leas, B.; Uhl, S.; Tuteja, S.; Kaczmarek, J.L.; French, B.; Umscheid, C.A. Calcineurin Inhibitor Minimization, Conversion, Withdrawal, and Avoidance Strategies in Renal Transplantation: A Systematic Review and Meta-Analysis. Am. J. Transplant. 2016, 16, 2117–2138. [Google Scholar] [CrossRef] [PubMed]
- Su, L.; Tam, N.; Deng, R.; Chen, P.; Li, H.; Wu, L. Everolimus-based calcineurin-inhibitor sparing regimens for kidney transplant recipients: A systematic review and meta-analysis. Int. Urol. Nephrol. 2014, 46, 2035–2044. [Google Scholar] [CrossRef]
- Kneidinger, N.; Valtin, C.; Hettich, I.; Frye, B.C.; Wald, A.; Wilkens, H.; Bessa, V.; Gottlieb, J. Five-year Outcome of an Early Everolimus-based Quadruple Immunosuppression in Lung Transplant Recipients: Follow-up of the 4EVERLUNG Study. Transplantation 2022, 106, 1867–1874. [Google Scholar] [CrossRef] [PubMed]
- Loupy, A.; Haas, M.; Roufosse, C.; Naesens, M.; Adam, B.; Afrouzian, M.; Akalin, E.; Alachkar, N.; Bagnasco, S.; Becker, J.U.; et al. The Banff 2019 Kidney Meeting Report (I): Updates on and clarification of criteria for T cell- and antibody-mediated rejection. Am. J. Transplant. 2020, 20, 2318–2331. [Google Scholar] [CrossRef] [PubMed]
- Levey, A.S.; Stevens, L.A.; Schmid, C.H.; Zhang, Y.L.; Castro, A.F., 3rd; Feldman, H.I.; Kusek, J.W.; Eggers, P.; Van Lente, F.; Greene, T.; et al. A new equation to estimate glomerular filtration rate. Ann. Intern. Med. 2009, 150, 604–612. [Google Scholar] [CrossRef]
- Marcén, R.; Morales, J.M.; Fernández-Rodriguez, A.; Capdevila, L.; Pallardó, L.; Plaza, J.J.; Cubero, J.J.; Puig, J.M.; Sanchez-Fructuoso, A.; Arias, M.; et al. Long-term graft function changes in kidney transplant recipients. NDT Plus 2010, 3, ii2–ii8. [Google Scholar] [CrossRef]
- Redfield, R.R.; Ellis, T.M.; Zhong, W.; Scalea, J.R.; Zens, T.J.; Mandelbrot, D.; Muth, B.L.; Panzer, S.; Samaniego, M.; Kaufman, D.B.; et al. Current outcomes of chronic active antibody mediated rejection—A large single center retrospective review using the updated BANFF 2013 criteria. Hum. Immunol. 2016, 77, 346–352. [Google Scholar] [CrossRef]
- Irish, W.; Nickerson, P.; Astor, B.C.; Chong, E.; Wiebe, C.; Moreso, F.; Seron, D.; Crespo, M.; Gache, L.; Djamali, A. Change in Estimated GFR and Risk of Allograft Failure in Patients Diagnosed With Late Active Antibody-mediated Rejection Following Kidney Transplantation. Transplantation 2021, 105, 648–659. [Google Scholar] [CrossRef]
- Wu, K.; Schmidt, D.; López del Moral, C.; Osmanodja, B.; Lachmann, N.; Zhang, Q.; Halleck, F.; Choi, M.; Bachmann, F.; Ronicke, S.; et al. Poor Long-Term Renal Allograft Survival in Patients with Chronic Antibody-Mediated Rejection, Irrespective of Treatment— A Single Center Retrospective Study. J. Clin. Med. 2022, 11, 199. [Google Scholar]
- Budde, K.; Lehner, F.; Sommerer, C.; Reinke, P.; Arns, W.; Eisenberger, U.; Wuthrich, R.P.; Muhlfeld, A.; Heller, K.; Porstner, M.; et al. Five-year outcomes in kidney transplant patients converted from cyclosporine to everolimus: The randomized ZEUS study. Am. J. Transplant. 2015, 15, 119–128. [Google Scholar] [CrossRef]
- Tessari, G.; Naldi, L.; Boschiero, L.; Minetti, E.; Sandrini, S.; Nacchia, F.; Valerio, F.; Rugiu, C.; Sassi, F.; Gotti, E.; et al. Incidence of primary and second cancers in renal transplant recipients: A multicenter cohort study. Am. J. Transplant. 2013, 13, 214–221. [Google Scholar] [CrossRef]
- Loupy, A. The Banff 2015 Kidney Meeting Report: Current Challenges in Rejection Classification and Prospects for Adopting Molecular Pathology. Am. J. Transplant. 2017, 17, 28–41. [Google Scholar] [CrossRef] [PubMed]
- Arias-Cabrales, C.; Redondo-Pachón, D.; Pérez-Sáez, M.J.; Gimeno, J.; Sánchez-Güerri, I.; Bermejo, S.; Sierra, A.; Burballa, C.; Mir, M.; Crespo, M.; et al. Renal graft survival according to Banff 2013 classification in indication biopsies. Nefrología 2016, 36, 660–666. [Google Scholar] [CrossRef] [PubMed]
- Bouatou, Y.; Viglietti, D.; Pievani, D.; Louis, K.; Duong Van Huyen, J.P.; Rabant, M.; Aubert, O.; Taupin, J.L.; Glotz, D.; Legendre, C.; et al. Response to treatment and long-term outcomes in kidney transplant recipients with acute T cell-mediated rejection. Am. J. Transplant. 2019, 19, 1972–1988. [Google Scholar] [CrossRef] [PubMed]
- Awadain, W.; Gheith, O.; Hassan, A.; Hassan, N.; El-Deeb, S.; el-Agroudy, A.; Fouda, A.; Ghoneim, M.A. Risk factors for steroid-resistant T-cell-mediated acute cellular rejection and their effect on kidney graft and patient outcome. Exp. Clin. Transplant. 2012, 10, 446–453. [Google Scholar] [CrossRef] [PubMed][Green Version]
- Kwon, H.; Kim, Y.H.; Ko, Y.; Lim, S.J.; Jung, J.H.; Baek, C.H.; Kim, H.; Park, S.K.; Shin, S.; Cho, Y.P. Pure T-cell mediated rejection following kidney transplant according to response to treatment. PLoS ONE 2021, 16, e0256898. [Google Scholar] [CrossRef]
- Budde, K.; Rath, T.; Sommerer, C.; Haller, H.; Reinke, P.; Witzke, O.; Suwelack, B.; Baeumer, D.; May, C.; Porstner, M.; et al. Renal, efficacy and safety outcomes following late conversion of kidney transplant patients from calcineurin inhibitor therapy to everolimus: The randomized APOLLO study. Clin. Nephrol. 2015, 83, 11–21. [Google Scholar] [CrossRef]
- Brakemeier, S.; Kannenkeril, D.; Durr, M.; Braun, T.; Bachmann, F.; Schmidt, D.; Wiesener, M.; Budde, K. Experience with belatacept rescue therapy in kidney transplant recipients. Transpl. Int. 2016, 29, 1184–1195. [Google Scholar] [CrossRef]
- Liu, J.; Liu, D.; Li, J.; Zhu, L.; Zhang, C.; Lei, K.; Xu, Q.; You, R. Efficacy and Safety of Everolimus for Maintenance Immunosuppression of Kidney Transplantation: A Meta-Analysis of Randomized Controlled Trials. PLoS ONE 2017, 12, e0170246. [Google Scholar] [CrossRef]
- Mazzucotelli, V.; Piselli, P.; Verdirosi, D.; Cimaglia, C.; Cancarini, G.; Serraino, D.; Sandrini, S. De novo cancer in patients on dialysis and after renal transplantation: North-western Italy, 1997–2012. J. Nephrol. 2017, 30, 851–857. [Google Scholar] [CrossRef]
- Mallat, S.G.; Tanios, B.Y.; Itani, H.S.; Lotfi, T.; McMullan, C.; Gabardi, S.; Akl, E.A.; Azzi, J.R. CMV and BKPyV Infections in Renal Transplant Recipients Receiving an mTOR Inhibitor-Based Regimen Versus a CNI-Based Regimen: A Systematic Review and Meta-Analysis of Randomized, Controlled Trials. Clin. J. Am. Soc. Nephrol. CJASN 2017, 12, 1321–1336. [Google Scholar] [CrossRef] [PubMed]
- Diekmann, F.; Budde, K.; Oppenheimer, F.; Fritsche, L.; Neumayer, H.H.; Campistol, J.M. Predictors of success in conversion from calcineurin inhibitor to sirolimus in chronic allograft dysfunction. Am. J. Transplant. 2004, 4, 1869–1875. [Google Scholar] [CrossRef] [PubMed]
- Fernandez-Fresnedo, G.; Escallada, R.; Rodrigo, E.; De Francisco, A.L.; Cotorruelo, J.G.; Sanz De Castro, S.; Zubimendi, J.A.; Ruiz, J.C.; Arias, M. The risk of cardiovascular disease associated with proteinuria in renal transplant patients. Transplantation 2002, 73, 1345–1348. [Google Scholar] [CrossRef] [PubMed]
- Roodnat, J.I.; Mulder, P.G.; Rischen-Vos, J.; van Riemsdijk, I.C.; van Gelder, T.; Zietse, R.; Ijzermans, J.N.M.; Weimar, W. Proteinuria after renal transplantation affects not only graft survival but also patient survival. Transplantation 2001, 72, 438–444. [Google Scholar] [CrossRef]
- Jardine, A.G.; Gaston, R.S.; Fellstrom, B.C.; Holdaas, H. Prevention of cardiovascular disease in adult recipients of kidney transplants. Lancet 2011, 378, 1419–1427. [Google Scholar] [CrossRef]
- Nankivell, B.J.; Kuypers, D.R. Diagnosis and prevention of chronic kidney allograft loss. Lancet 2011, 378, 1428–1437. [Google Scholar] [CrossRef]
Disclaimer/Publisher’s Note: The statements, opinions and data contained in all publications are solely those of the individual author(s) and contributor(s) and not of MDPI and/or the editor(s). MDPI and/or the editor(s) disclaim responsibility for any injury to people or property resulting from any ideas, methods, instructions or products referred to in the content. |
© 2023 by the authors. Licensee MDPI, Basel, Switzerland. This article is an open access article distributed under the terms and conditions of the Creative Commons Attribution (CC BY) license (https://creativecommons.org/licenses/by/4.0/).