Anesthesia Management via an Automated Control System for Propofol, Remifentanil, and Rocuronium Compared to Management by Anesthesiologists: An Investigator-Initiated Study
Abstract
:1. Introduction
2. Materials and Methods
2.1. Ethics Approval
- (1)
- Patients ≥20 years old at the time of providing informed consent;
- (2)
- Patients with an American Society of Anesthesiologists Physical Status (ASA-PS) 1–3.
- (1)
- A history of hypersensitivity to propofol, remifentanil, rocuronium, or sugammadex;
- (2)
- Patients scheduled to undergo surgery with hypothermia;
- (3)
- Patients scheduled to undergo cardiovascular surgery;
- (4)
- Patients scheduled to receive a nerve block or epidural anesthesia;
- (5)
- Pregnancy or breastfeeding.
2.2. Anesthesia Procedures
2.3. Manual Group
2.4. Automatic Group
3. Propofol Control Algorithm
- Increase the target propofol concentration through the TCI over time when the BIS measurement precision is low (i.e., when electromyography exceeds the upper limit, the signal quality index is below the lower limit, or the BIS values are invalid);
- Temporarily increase the target propofol concentration when BIS values increase;
- Set a lower limit for the target propofol concentration (1.4 µg·mL−1 for patients <80 years old and 1.0 µg·mL−1 for patients ≥80 years old).
3.1. Remifentanil Control Algorithm
- The remifentanil infusion rate is changed to 0.5 µg·kg−1·min−1 at the start of surgical incision;
- A bolus of 50–100 μg of remifentanil is administered when the estimated maximal individual concentration (esMIC) (the details of the esMIC are described in our previous publication [14]) value increases suddenly;
- The propofol concentration is increased and the target remifentanil concentration is temporarily increased to 4.0 ng·mL−1 when the BIS is ≥70;
- When the esMIC decreases, the remifentanil concentration is lowered more gradually than in the previous study [14].
3.2. Rocuronium Control Algorithm
4. Evaluations
4.1. Evaluation of Sedation
4.2. Evaluation of Analgesia
4.3. Evaluation of Muscle Relaxation
4.4. Evaluation of the Three Components
4.5. Efficacy Outcome Measures
4.6. Safety Outcome Measures
4.7. Sample Size Calculation
4.8. Statistical Analysis
5. Results
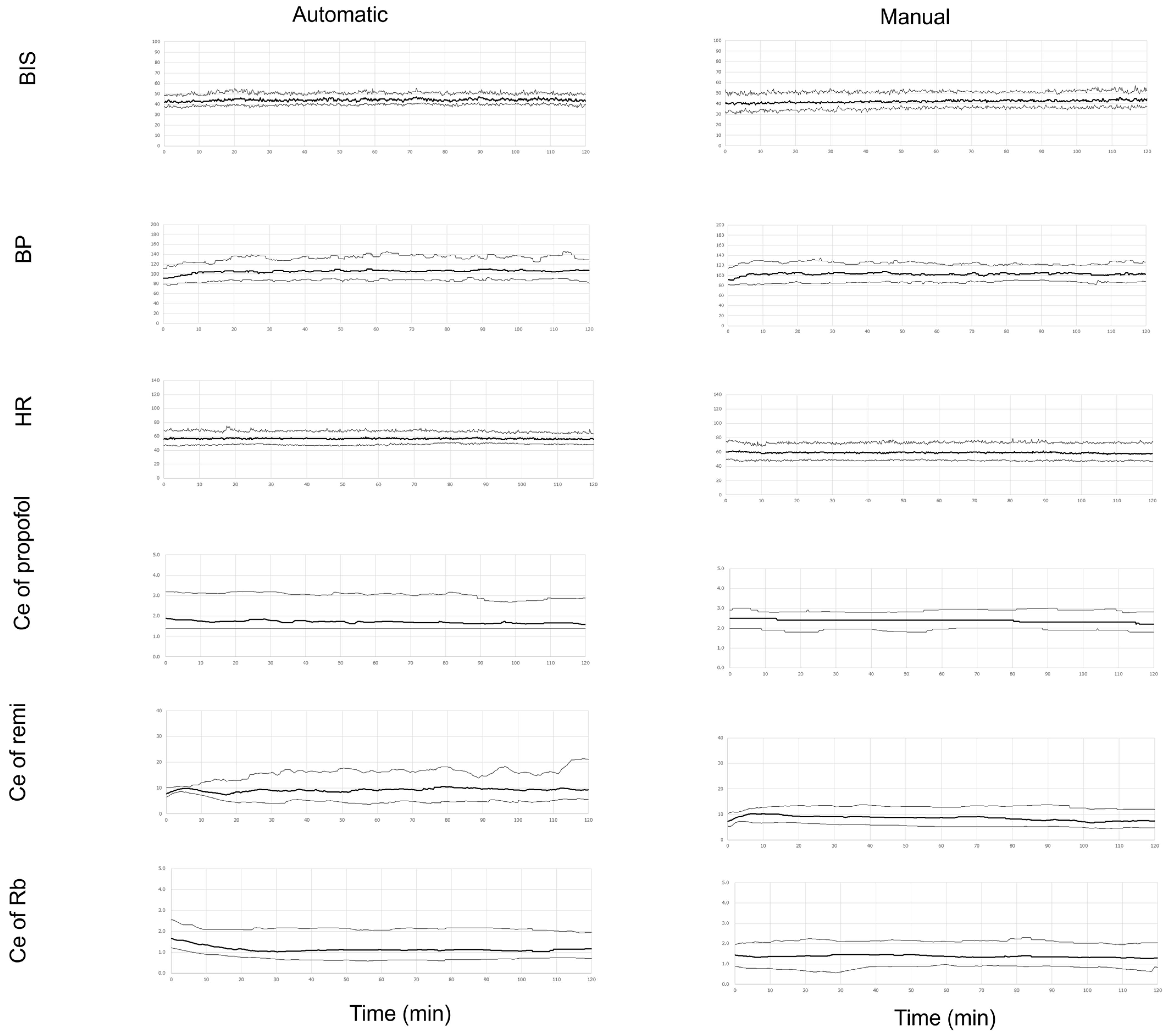
5.1. Anesthetic Management Provided by the Automatic Control System
5.2. Efficacy Outcomes
6. Discussion
7. Conclusions
Author Contributions
Funding
Institutional Review Board Statement
Informed Consent Statement
Data Availability Statement
Acknowledgments
Conflicts of Interest
References
- Schwilden, H.; Stoeckel, H.; Schuttler, J. Closed-loop feedback control of propofol anesthesia by quantitative EEG analysis in humans. Br. J. Anaesth. 1989, 62, 290–296. [Google Scholar] [CrossRef] [PubMed]
- Kenny, G.N.; Mantzaridis, H. Closed-loop control of propofol anaesthesia. Br. J. Anaesth. 1999, 83, 223–228. [Google Scholar] [CrossRef] [PubMed]
- De Smet, T.; Struys, M.M.R.F.; Greenwald, S.; Mortier, E.P.; Shafer, S.L. Estimation of Optimal Modeling Weights for a Bayesian-Based Closed-Loop System for Propofol Administration Using the Bispectral Index as a Controlled Variable: A Simulation Study. Anesth. Analg. 2007, 105, 1629–1638. [Google Scholar] [CrossRef] [PubMed]
- Hegde, H.V.; Puri, G.D.; Kumar, B.; Behera, A. Bi-spectral index guided closed-loop anaesthesia delivery system (CLADS™) in pheochromocytoma. J. Clin. Monit. Comput. 2009, 23, 189–196. [Google Scholar] [CrossRef] [PubMed]
- Simanski, O.; Janda, M.; Schubert, A.; Bajorat, J.; Hofmockel, R.; Lampe, B. Progress of automatic drug delivery in anesthesia: The ‘Rostock assistant system for anesthesia control (RAN)’. Int. Adapt. Control Signal Process. 2009, 23, 504–521. [Google Scholar] [CrossRef]
- Liu, N.; Chazot, T.; Hamada, S.; Landais, A.; Boichut, N.; Dussaussoy, C.; Trillat, B.; Beydon, L.; Samain, E.; Sessler, D.I.; et al. Closed-loop coadministration of propofol and remifentanil guided by bispectral index: A randomized multi-center study. Anesth. Analg. 2011, 112, 546–557. [Google Scholar] [CrossRef] [PubMed]
- Liu, N.; Guen, M.; Benabbes-Lambert, F.; Chazot, T.; Trillat, B.; Sessler, D.I.; Fischler, M. Feasibility of closed-loop titration of propofol and remifentanil guided by the spectral M-Entropy monitor. Anesthesiology 2012, 116, 286–295. [Google Scholar] [CrossRef] [PubMed]
- Hemmerling, T.M.; Arbeid, E.; Wehbe, M.; Cyr, S.; Taddei, R.; Zaouter, C. Evaluation of a novel closed-loop total intra-venous anesthesia during delivery system: A randomized controlled trial. Br. J. Anaesth. 2013, 110, 1031–1039. [Google Scholar] [CrossRef] [PubMed]
- Wehbe, M.; Arbeid, E.; Cyr, S.; Mathieu, P.A.; Taddei, R.; Morse, J.; Hemmerling, T.M. A technical description of a novel pharmacological anesthesia robot. J. Clin. Monit. Comput. 2014, 28, 27–34. [Google Scholar] [CrossRef] [PubMed]
- Orliaguet, G.A.; Lambert, F.B.; Chazot, T.; Glasman, P.; Fischler, M.; Liu, N. Feasibility of Closed-loop Titration of Propofol and Remifentanil Guided by the Bispectral Monitor in Pediatric and Adolescent Patients. A prospective randomized study. Anesthesiology 2015, 122, 759–767. [Google Scholar] [CrossRef] [PubMed]
- Matsuki, Y.; Nagata, O.; Ogino, Y.; Nakanishi, Y.; Shigemi, K. Comparison of propofol administration regulation by pharmacodynamic indicator esTEC (estimated target-effect-site concentration) versus BIS value. Anaesth. Pain Intensive Care 2019, 23, 387–391. [Google Scholar] [CrossRef]
- Matsuki, Y.; Nagata, O.; Ogino, Y.; Shigemi, K. Impact of aging on interactions between opioid and propofol concen-trations during total intravenous anesthesia. J. Clin. Anesth. 2021, 71, 110245–110247. [Google Scholar] [CrossRef] [PubMed]
- Matsuki, Y.; Nagata, O.; Ogino, Y.; Shigemi, K. Development of an automated rocuronium infusion system and evaluation of its accuracy. J. Clin. Anesth. 2021, 73, 110334. [Google Scholar] [CrossRef] [PubMed]
- Nagata, O.; Matsuki, Y.; Ogino, Y.; Shigemi, K. Safety and efficacy of an automated anesthesia delivery system for total intravenous anesthesia with propofol, remifentanil, and rocuronium: A non-inferiority randomized controlled trial versus manually controlled anesthesia. J. Anesth. 2022, 36, 96–106. [Google Scholar] [CrossRef] [PubMed]
- Minto, C.F.; Schnider, T.W.; Egan, T.D.; Youngs, E.; Lemmens, H.J.; Gambus, P.L.; Billard, V.; Hoke, J.F.; Moore, K.H.; Hermann, D.J.; et al. Influence of age and gender on the pharmacokinetics and pharmacodynamics of remifentanil. I. Model development. Anesthesiology 1997, 86, 10–23. [Google Scholar] [CrossRef] [PubMed]
- Wierda, J.M.; Kleef, U.W.; Lambalk, L.M.; Kloppenburg, W.D.; Agoston, S. The pharmacodynamics and pharmacoki-netics of Org. 9426, a new non-depolarizing neuromuscular blocking agent, in patients anaesthetized with nitrous oxide, halothane and fentanyl. Can. J. Anaesth. 1991, 38, 430–435. [Google Scholar] [CrossRef] [PubMed]
- Huiku, M.; Uutela, K.; van Gils, M.; Korhonen, I.; Kymäläinen, M.; Meriläinen, P.; Paloheimo, M.; Rantanen, M.; Takala, P.; Viertiö-Oja, H.; et al. Assessment of surgical stress during general anaesthesia. Br. J. Anaesth. 2007, 98, 447–455. [Google Scholar] [CrossRef] [PubMed]
- Chen, X.; Thee, C.; Gruenewald, M.; Wnent, J.; Illies, C.; Hoecker, J.; Hanss, R.; Steinfath, M.; Bein, B. Comparison of surgical stress index-guided analgesia with standard clinical practice during routine general anesthesia: A pilot study. Anesthesiology 2010, 112, 1175–1183. [Google Scholar] [CrossRef] [PubMed]
- Gruenewald, M.; Ilies, C.; Herz, J.; Schoenherr, T.; Fudickar, A.; Höcker, J.; Bein, B. Influence of nociceptive stimulation on analgesia nociception index (ANI) during propofol–remifentanil anaesthesia. Br. J. Anaesth. 2013, 110, 1024–1030. [Google Scholar] [CrossRef] [PubMed]
- Edry, R.; Recea, V.; Dikust, Y.I.; Sessler, D. Preliminary intraoperative validation of the nociception level index: A noninvasive nociception monitor. Anesthesiology 2016, 125, 193–203. [Google Scholar] [CrossRef] [PubMed]
- Guideline Drug Administration Control Program. Available online: https://anesth.or.jp/files/pdf/guideline_drug_administration_control_program.pdf (accessed on 6 March 2023).




| Variable | Automatic (n = 60) | Manual (n = 60) | p Value |
|---|---|---|---|
| Sex | 1.000 | ||
| Male | 18 (30.0%) | 17 (28.3%) | |
| Female | 42 (70.0%) | 43 (71.7%) | |
| Age (year) | 54.5 ± 14.9 | 55.7 ± 14.9 | 0.638 |
| Height (cm) | 160.52 ± 8.28 | 159.56 ± 9.13 | 0.548 |
| Weight (kg) | 60.37 ± 12.79 | 59.97 ± 11.92 | 0.860 |
| BMI (kg·m−2) | 23.29 ± 3.82 | 23.42 ± 3.58 | 0.843 |
| ASA-PS | 0.886 | ||
| 1 | 23 (38.3%) | 20 (33.3%) | |
| 2 | 35 (58.3%) | 38 (63.3%) | |
| 3 | 2 (3.3%) | 2 (3.3%) |
| Automatic (n = 59) | Manual (n = 60) | Point Estimation | 97.5% One-Tailed Confidence Interval | p Value | |
|---|---|---|---|---|---|
| Ratio of time during which adequate control of all three factors was achieved (%) | 87.21 ± 12.79 | 65.19 ± 20.16 | 22.03 | 15.87 | <0.001 |
| 96.39 ± 4.49 | 89.94 ± 13.98 | 6.54 | 2.67 | <0.001 |
| 99.56 ± 1.86 | 99.93 ± 0.41 | −0.37 | −0.85 | <0.001 |
| 90.84 ± 12.60 | 72.34 ± 20.03 | 18.51 | 12.42 | <0.001 |
| 96.05 ± 4.73 | 89.87 ± 13.95 | 6.19 | 2.39 | <0.001 |
| 87.53 ± 12.81 | 65.26 ± 20.19 | 22.27 | 16.12 | <0.001 |
| Automatic (n = 59) | Manual (n = 60) | p Value | |
|---|---|---|---|
| 96.23 ± 4.93 | 88.08 ± 17.47 | <0.001 |
| 2.51 ± 1.17 | 2.49 ± 1.16 | 0.909 |
| 9.42 ± 3.64 | 8.40 ± 4.35 | 0.171 |
Disclaimer/Publisher’s Note: The statements, opinions and data contained in all publications are solely those of the individual author(s) and contributor(s) and not of MDPI and/or the editor(s). MDPI and/or the editor(s) disclaim responsibility for any injury to people or property resulting from any ideas, methods, instructions or products referred to in the content. |
© 2023 by the authors. Licensee MDPI, Basel, Switzerland. This article is an open access article distributed under the terms and conditions of the Creative Commons Attribution (CC BY) license (https://creativecommons.org/licenses/by/4.0/).
Share and Cite
Nagata, O.; Matsuki, Y.; Matsuda, S.; Hazama, K.; Fukunaga, S.; Nakatsuka, H.; Yasuma, F.; Maehara, Y.; Fujioka, S.; Tajima, K.; et al. Anesthesia Management via an Automated Control System for Propofol, Remifentanil, and Rocuronium Compared to Management by Anesthesiologists: An Investigator-Initiated Study. J. Clin. Med. 2023, 12, 6611. https://doi.org/10.3390/jcm12206611
Nagata O, Matsuki Y, Matsuda S, Hazama K, Fukunaga S, Nakatsuka H, Yasuma F, Maehara Y, Fujioka S, Tajima K, et al. Anesthesia Management via an Automated Control System for Propofol, Remifentanil, and Rocuronium Compared to Management by Anesthesiologists: An Investigator-Initiated Study. Journal of Clinical Medicine. 2023; 12(20):6611. https://doi.org/10.3390/jcm12206611
Chicago/Turabian StyleNagata, Osamu, Yuka Matsuki, Shuko Matsuda, Keita Hazama, Saiko Fukunaga, Hideki Nakatsuka, Fumiyo Yasuma, Yasuhiro Maehara, Shoko Fujioka, Karin Tajima, and et al. 2023. "Anesthesia Management via an Automated Control System for Propofol, Remifentanil, and Rocuronium Compared to Management by Anesthesiologists: An Investigator-Initiated Study" Journal of Clinical Medicine 12, no. 20: 6611. https://doi.org/10.3390/jcm12206611
APA StyleNagata, O., Matsuki, Y., Matsuda, S., Hazama, K., Fukunaga, S., Nakatsuka, H., Yasuma, F., Maehara, Y., Fujioka, S., Tajima, K., Kondo, I., Ginoza, I., Hayashi, M., Kakinohana, M., & Shigemi, K. (2023). Anesthesia Management via an Automated Control System for Propofol, Remifentanil, and Rocuronium Compared to Management by Anesthesiologists: An Investigator-Initiated Study. Journal of Clinical Medicine, 12(20), 6611. https://doi.org/10.3390/jcm12206611

