Peripheral Artery Disease Diagnosed by Pulse Palpation as a Predictor of Coronary Artery Disease in Patients with Chronic Kidney Disease
Abstract
:1. Introduction
2. Materials and Methods
2.1. Patient Selection
2.2. Study Protocol
2.3. Statistical Analysis
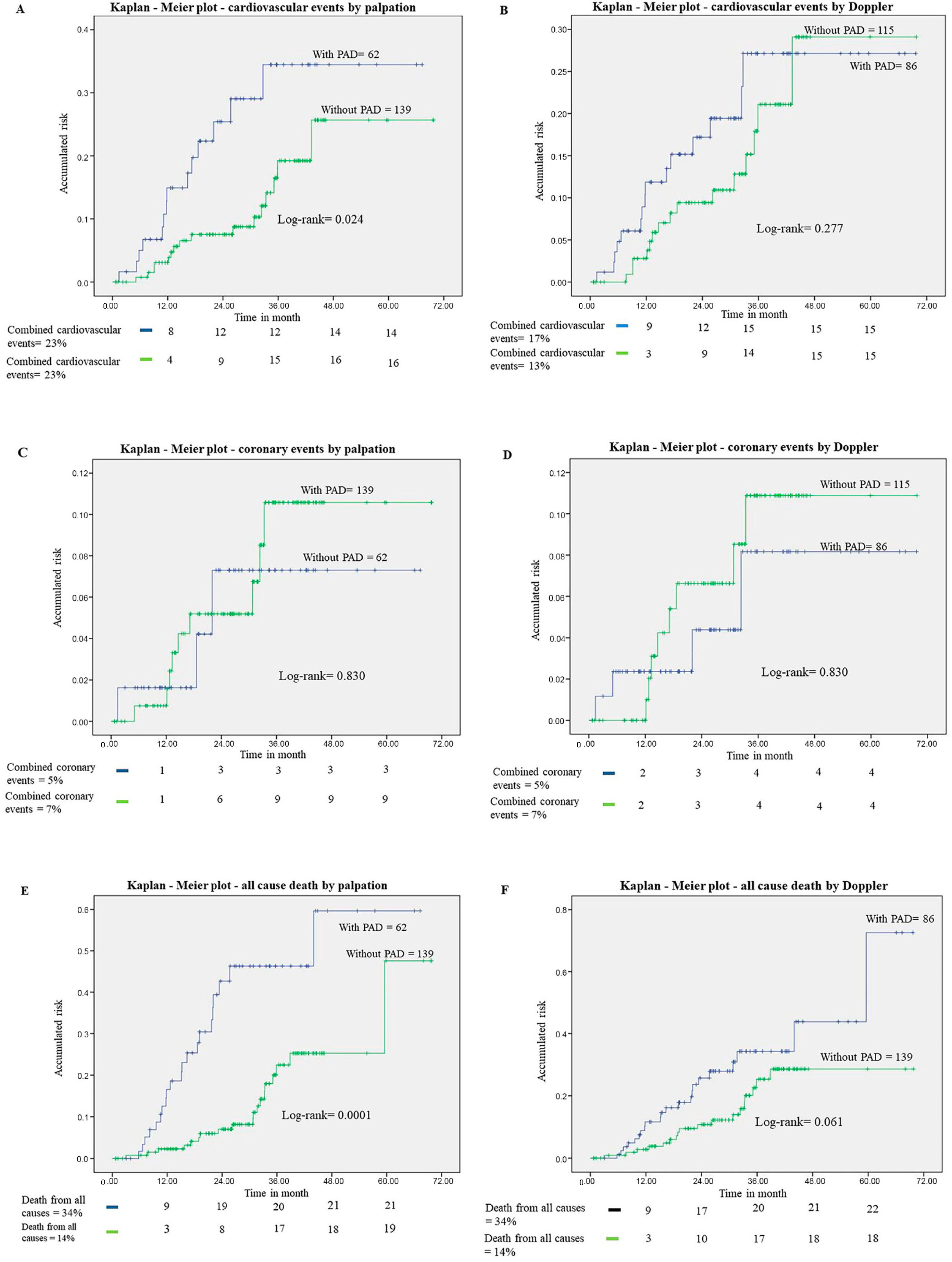
3. Results
4. Discussion
4.1. Usefulness of PAD to Predict CAD
4.2. Impact of PAD and CAD on Prognosis
4.3. Limitations
5. Conclusions
Author Contributions
Funding
Institutional Review Board Statement
Informed Consent Statement
Data Availability Statement
Acknowledgments
Conflicts of Interest
References
- Serra, R.; Bracale, U.M.; Ielapi, N.; Del Guercio, L.; Di Taranto, M.D.; Sodo, M.; Michael, A.; Faga, T.; Bevacqua, E.; Jiritano, F.; et al. The Impact of Chronic Kidney Disease on Peripheral Artery Disease and Peripheral Revascularization. Int. J. Gen. Med. 2021, 14, 3749–3759. [Google Scholar] [CrossRef]
- Matsushita, K.; Ballew, S.H.; Wang, A.Y.-M.; Kalyesubula, R.; Schaeffner, E.; Agarwal, R. Epidemiology and risk of cardiovascular disease in populations with chronic kidney disease. Nat. Rev. Nephrol. 2022, 18, 696–707. [Google Scholar] [CrossRef]
- Seixas, E.d.A.; Carmello, B.L.; Kojima, C.A.; Contti, M.M.; de Andrade, L.G.M.; Maiello, J.R.; Almeida, F.A.; Martin, L.C. Frequency and clinical predictors of coronary artery disease in chronic renal failure renal transplant candidates. Ren. Fail. 2015, 37, 597–600. [Google Scholar] [CrossRef]
- Seliger, S.L.; Gillen, D.L.; Longstreth, W., Jr.; Kestenbaum, B.; Stehman-Breen, C.O. Elevated risk of stroke among patients with end-stage renal disease. Kidney Int. 2003, 64, 603–609. [Google Scholar] [CrossRef] [PubMed]
- Maini, R.; Wong, D.B.; Addison, D.; Chiang, E.; Weisbord, S.D.; Jneid, H. Persistent Underrepresentation of Kidney Disease in Randomized, Controlled Trials of Cardiovascular Disease in the Contemporary Era. J. Am. Soc. Nephrol. 2018, 29, 2782–2786. [Google Scholar] [CrossRef] [PubMed]
- Bangalore, S.; Maron, D.J.; O’brien, S.M.; Fleg, J.L.; Kretov, E.I.; Briguori, C.; Kaul, U.; Reynolds, H.R.; Mazurek, T.; Sidhu, M.S.; et al. ISCHEMIA-CKD Research Group. Management of Coronary Disease in Patients with Advanced Kidney Disease. N. Engl. J. Med. 2020, 382, 1608–1618. [Google Scholar] [CrossRef]
- De Lima, J.J.G.; Gowdak, L.H.W.; de Paula, F.J.; Muela, H.C.S.; David-Neto, E.; Bortolotto, L.A. Evaluation of a protocol for coronary artery disease investigation in asymptomatic elderly hemodialysis patients. Int. J. Nephrol. Renov. Dis. 2018, 14, 303–311. [Google Scholar] [CrossRef] [PubMed]
- De Lima, J.J.G.; Gowdak, L.H.W.; de Paula, F.J.; Muela, H.C.S.; David-Neto, E.; Bortolotto, L.A. Coronary Artery Disease Assessment and Intervention in Renal Transplant Patients: Analysis from the KiHeart Cohort. Transplantation 2016, 100, 1580–1587. [Google Scholar] [CrossRef]
- Kanigicherla, D.A.K.; Bhogal, T.; Stocking, K.; Chinnadurai, R.; Gray, S.; Javed, S.; Fortune, C.; Augustine, T.; Kalra, P.A. Non-invasive cardiac stress studies may not offer significant benefit in pre-kidney transplant evaluation: A retrospective cohort study. PLoS ONE 2020, 15, e0240912. [Google Scholar] [CrossRef]
- Steinmetz, T.; Perl, L.; Zvi, B.R.; Atamna, M.; Kornowski, R.; Shiyovich, A.; Hamdan, A.; Nesher, E.; Rahamimov, R.; Ben Gal, T.; et al. The prognostic value of pre-operative coronary evaluation in kidney transplanted patients. Front. Cardiovasc. Med. 2022, 9, 974158. [Google Scholar] [CrossRef]
- Lioudaki, E.; Androvitsanea, A.; Petrakis, I.; Bakogiannis, C.; Androulakis, E. Cardiac Imaging and Management of Cardiac Disease in Asymptomatic Renal Transplant Candidates: A Current Update. Diagnostics 2022, 12, 2332. [Google Scholar] [CrossRef]
- Kassab, K.; Doukky, R. Cardiac imaging for the assessment of patients being evaluated for kidney transplantation. J. Nucl. Cardiol. 2022, 29, 543–557. [Google Scholar] [CrossRef] [PubMed]
- Vijayan, S.; Ho, Q.Y.; Koh, C.H.; Liew, I.T.; Thangaraju, S.; Wong, N.; Keh, Y.S.; Ong, Z.H.S.; Tan, J.Q.; Yeo, K.K.; et al. Cardiac evaluation for end-stage kidney disease patients on the transplant waitlist: A single-center cohort study. Korean J. Transplant. 2022, 36, 187–196. [Google Scholar] [CrossRef]
- Gowdak, L.H.W.; de Paula, F.J.; César, L.A.M.; Bortolotto, L.A.; de Lima, J.J.G. A new risk score model to predict the presence of significant coronary artery disease in renal transplant candidates. Transplant. Res. 2013, 2, 18. [Google Scholar] [CrossRef]
- Wang, L.W.; Fahim, M.A.; Hayen, A.; Mitchell, R.L.; Lord, S.W.; Baines, L.A.; Craig, J.C.; Webster, A.C. Cardiac testing for coronary artery disease in potential kidney transplant recipients: A systematic review of test accuracy studies. Am. J. Kidney Dis. 2011, 57, 476–487. [Google Scholar] [CrossRef] [PubMed]
- Keven, A.; Durmaz, M.S. The importance of community screening of asymptomatic elderly for peripheral arterial disease by Doppler ultrasound and ankle-brachial index. J. Ultrason. 2017, 17, 235–240. [Google Scholar] [CrossRef] [PubMed]
- Smith, S.C., Jr.; Allen, J.; Blair, S.N.; Bonow, R.O.; Brass, L.M.; Fonarow, G.C.; Grundy, S.M.; Hiratzka, L.; Jones, D.; Krumholz, H.M.; et al. AHA/ACC; National Heart, Lung, and Blood Institute. AHA/ACC guidelines for secondary prevention for patients with coronary and other atherosclerotic vascular disease: 2006 update: Endorsed by the National Heart, Lung, and Blood Institute. Circulation 2006, 113, 2363–2372. [Google Scholar] [CrossRef]
- Amin, A.; Younis, G.; El-Khatib, M.; Ali, I. Patients with end-stage renal disease: Optimal diagnostic and prognostic performance of myocardial gated-SPECT, initial results. Nucl. Med. Commun. 2013, 34, 314–321. [Google Scholar] [CrossRef]
- Hwang, J.Y. Doppler ultrasonography of the lower extremity arteries: Anatomy and scanning guidelines. Ultrasonography 2017, 36, 111–119. [Google Scholar] [CrossRef]
- Morooka, H.; Tanaka, A.; Inaguma, D.; Maruyama, S. Peripheral artery disease at the time of dialysis initiation and mortality: A prospective observational multicenter study. BMJ Open 2020, 10, e042315. [Google Scholar] [CrossRef]
- Hur, D.J.; Kizilgul, M.; Aung, W.W.; Roussillon, K.C.; Keeley, E.C. Frequency of coronary artery disease in patients undergoing peripheral artery disease surgery. Am. J. Cardiol. 2012, 110, 736–740. [Google Scholar] [CrossRef] [PubMed]
- Cho, S.W.; Kim, B.G.; Kim, D.H.; Byun, Y.S.; Rhee, K.J.; Lee, B.K.; Goh, C.W. Prediction of coronary artery disease in patients with lower extremity peripheral artery disease. Int. Heart J. 2015, 56, 209–212. [Google Scholar] [CrossRef] [PubMed]
- Furuhashi, T.; Moroi, M.; Awaya, T.; Minakawa, M.; Masai, H.; Kunimasa, T.; Fukuda, H. Usefulness of stress myocardial perfusion imaging and baseline clinical factors for predicting cardiovascular events in patients with prior coronary artery disease. Circ. J. 2014, 78, 1676–1683. [Google Scholar] [CrossRef]

| Variable | Pulse by Palpation | p | Ultrasonography with Doppler | p | Total | ||
|---|---|---|---|---|---|---|---|
| Absent n = 62 | Present n = 139 | Arteries with Obstruction ≥ 50% n = 86 | Normal Arteries or Obstruction < 50% n = 115 | ||||
| n (%) | n (%) | n (%) | n (%) | n = 201 | |||
| Age (years) | 57.1 ± 10.9 | 54.4 ± 12.1 | 0.148 a | 58.9 ± 10.2 | 52.5 ± 12.1 | <0.001 | 55.2 ± 11.8 |
| Men | 40 (64.5) | 78 (56.1) | 0.282 | 58 (67.4) | 60 (52.2) | 0.031 | 118 (58.7) |
| White | 43 (69.4) | 107 (77.0) | 0.293 | 60 (69.8) | 90 (78.3) | 0.192 | 150 (74.6) |
| BMI Kg/m2 * | 27.7 ± 4.8 | 26.9 ± 5.5 | 0.310 | 27.1 ± 4.7 | 27.2 ± 5.7 | 0.809 a | 27.1 ± 5.3 |
| Dyslipidemia | 22 (35.4) | 43 (31) | 0.515 | 31 (36.9) | 34 (29.6) | 0.288 | 65 (32.3) |
| Smoking | 35 (56.5) | 70 (50.4) | 0.448 | 57 (49.6) | 57 (49.6) | 0.395 | 105 (52.2) |
| Diabetes | 52 (83.9) | 62 (44.6) * | <0.001 | 72 (83.7) | 42 (36.5) | <0.001 | 114 (56.7) |
| Hypertension | 34 (54.8) | 82(59) | 0.644 | 47 (54.7) | 69 (60.0) | 0.473 | 116 (57.7) |
| Stroke | 9 (14.5) | 10 (7.2) | 0.120 | 9 (10.5) | 10 (8.7) | 0.808 | 19 (9.5) |
| AMI Ж | 10 (16.1) | 19 (13.7) | 0.667 | 9 (10.5) | 20 (17.4) | 0.224 | 29 (14.4) |
| Heart failure | 4 (6.5) | 18 (12.9) | 0.224 | 6 (7) | 16 (13.9) | 0.170 | 22 (10.9) |
| LVMI ю | 114.8 ± 27.3 | 123.9 ± 43.6 | 0.094 | 113.4 ± 28.5 | 126.7 ± 45.1 | 0.079 a | 121.0 ± 39.4 |
| LVPW ӧ | 10.8 ± 1.5 | 10.6 ± 1.6 | 0.512 a | 10.6 ± 1.5 | 10.7 ± 1.6 | 0.813 a | 10.7 ± 1.6 |
| LVDD ҂ | 49.3 ± 6.5 | 49.5 ± 6.3 | 0.840 a | 49.4 ± 6.5 | 49.6 ± 6.2 | 0.697 a | 49.5 ± 6.3 |
| LVEF ¥ | 0.6 ± 0.1 | 0.6 ± 0.1 | 0.233 a | 0.6 ± 0.1 | 0.6 ± 0.1 | 0.563 a | 0.6 ± 0.1 |
| Hemodialysis ∞ | 28.6 ± 26.3 | 45.4 ± 51.3 | 0.038 a | 28.6 ± 26.7 | 49 ± 54.3 | 0.005 a | 40.2 ± 45.6 |
| Creatinine | 8.1 ± 3.3 | 8.4 ± 2.8 | 0.524 | 8.1 ± 3.3 | 8.6 ± 2.7 | 0.265 | 8.4 ± 3.0 |
| T-cholesterol ± | 158.1 ± 49.4 | 165.3 ± 46.8 | 0.200 a | 165.5 ± 47.6 | 161,3 ± 47.7 | 0.561 a | 163.1 ± 47.6 |
| LDL ꝑ | 82.6 ± 39.9 | 86.9 ± 37.9 | 0.320 a | 85.7 ± 38.2 | 85.5 ± 38.9 | 0.992 a | 85.6 ± 38.5 |
| HDL ꝩ | 45.8 ± 18.5 | 47.6 ± 14.8 | 0.148 a | 44.8 ± 17.7 | 48.6 ± 14.4 | 0.017 a | 47.0 ± 16.0 |
| Triglycerides ± | 156 ± 98.7 | 165.8 ± 110.5 | 0.693 a | 173.7 ± 128.1 | 154.9 ± 87.9 | 0.642 a | 162.8 ± 106.8 |
| Method | Specificity | Sensitivity | PPV a | NPV b |
|---|---|---|---|---|
| Palpation | 76% | 45% | 80% | 30% |
| USD Doppler | 60% | 66% | 79% | 43% |
| Variable | OR | 95% CI | p-Value |
|---|---|---|---|
| Age ≥ 50 years | 1.605 | 0.602–4.280 | 0.344 |
| White race | 1.751 | 0.667–4.492 | 0.259 |
| Male sex | 1.041 | 0.468–2.315 | 0.922 |
| Smoking | 0.494 | 0.225–1.084 | 0.079 |
| Diabetes | 0.653 | 0.280–1.525 | 0.325 |
| Hypertension | 1.464 | 0.674–3.183 | 0.335 |
| PAD (palpation) | 3.214 | 1.160–8.906 | 0.025 |
| PAD (Doppler) | 0.863 | 0.303–2.463 | 0.783 |
| Variable | OR | 95% CI | p-Value |
|---|---|---|---|
| Age ≥ 50 years | 1.808 | 0.602–4.280 | 0.344 |
| White race | 1.741 | 0.667–4.492 | 0.259 |
| Male sex | 0.479 | 0.468–2.315 | 0.922 |
| Smoking | 0.988 | 0.506–1.977 | 0.997 |
| Diabetes | 1.475 | 0.697–3.124 | 0.310 |
| Hypertension | 0.469 | 0.240–0.916 | 0.027 |
| PAD (Palpation) | 2.653 | 1.158–6.080 | 0.021 |
| PAD (Doppler) | 0.816 | 0.352–1.891 | 0.635 |
Disclaimer/Publisher’s Note: The statements, opinions and data contained in all publications are solely those of the individual author(s) and contributor(s) and not of MDPI and/or the editor(s). MDPI and/or the editor(s) disclaim responsibility for any injury to people or property resulting from any ideas, methods, instructions or products referred to in the content. |
© 2023 by the authors. Licensee MDPI, Basel, Switzerland. This article is an open access article distributed under the terms and conditions of the Creative Commons Attribution (CC BY) license (https://creativecommons.org/licenses/by/4.0/).
Share and Cite
Dos Santos, D.B.C.; Gowdak, L.H.W.; David-Neto, E.; Nataniel, F.A.; De Lima, J.J.G.; Bortolotto, L.A. Peripheral Artery Disease Diagnosed by Pulse Palpation as a Predictor of Coronary Artery Disease in Patients with Chronic Kidney Disease. J. Clin. Med. 2023, 12, 5882. https://doi.org/10.3390/jcm12185882
Dos Santos DBC, Gowdak LHW, David-Neto E, Nataniel FA, De Lima JJG, Bortolotto LA. Peripheral Artery Disease Diagnosed by Pulse Palpation as a Predictor of Coronary Artery Disease in Patients with Chronic Kidney Disease. Journal of Clinical Medicine. 2023; 12(18):5882. https://doi.org/10.3390/jcm12185882
Chicago/Turabian StyleDos Santos, Daniel B. C., Luis Henrique W. Gowdak, Elias David-Neto, Felizardo A. Nataniel, José J. G. De Lima, and Luiz A. Bortolotto. 2023. "Peripheral Artery Disease Diagnosed by Pulse Palpation as a Predictor of Coronary Artery Disease in Patients with Chronic Kidney Disease" Journal of Clinical Medicine 12, no. 18: 5882. https://doi.org/10.3390/jcm12185882
APA StyleDos Santos, D. B. C., Gowdak, L. H. W., David-Neto, E., Nataniel, F. A., De Lima, J. J. G., & Bortolotto, L. A. (2023). Peripheral Artery Disease Diagnosed by Pulse Palpation as a Predictor of Coronary Artery Disease in Patients with Chronic Kidney Disease. Journal of Clinical Medicine, 12(18), 5882. https://doi.org/10.3390/jcm12185882

