Invasive Phenoprofiling of Acute-Myocardial-Infarction-Related Cardiogenic Shock
Abstract
:1. Introduction
2. Materials and Methods
2.1. Classifications and Definitions
2.2. Cardiometabolic Phenotype
2.3. Complications
3. Statistical Analysis
4. Results
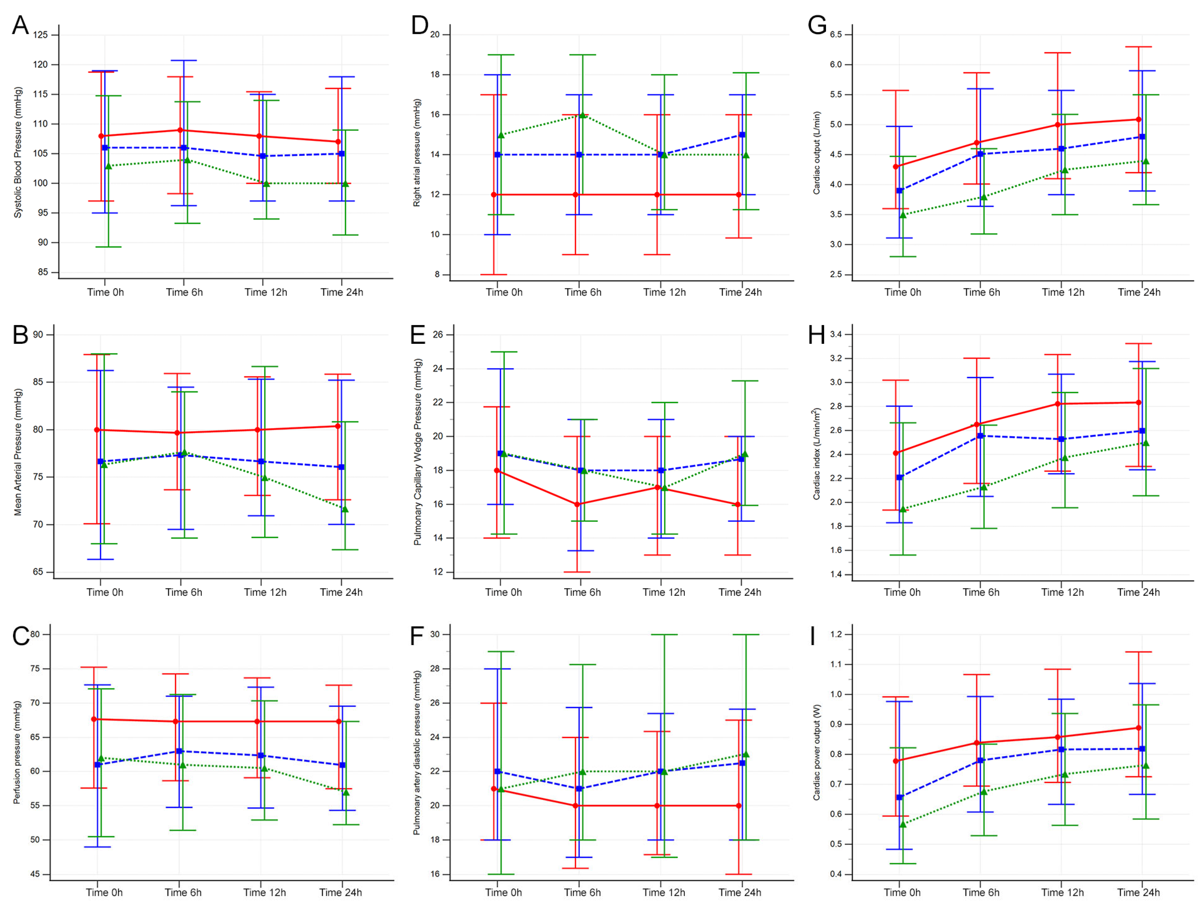
4.1. Hemodynamic Variables and CS phenotypes
4.2. Hemodynamic Variables and Multi-Organ Failure, AKI, and Ventricular Arrhythmias
4.3. Survival Analysis
4.4. Multivariate Analysis
5. Discussion
6. Conclusions
Supplementary Materials
Author Contributions
Funding
Institutional Review Board Statement
Informed Consent Statement
Data Availability Statement
Acknowledgments
Conflicts of Interest
References
- Naidu, S.S.; Baran, D.A.; Jentzer, J.C.; Hollenberg, S.M.; van Diepen, S.; Basir, M.B.; Grines, C.L.; Diercks, D.B.; Hall, S.; Kapur, N.K.; et al. SCAI SHOCK Stage Classification Expert Consensus Update: A Review and Incorporation of Validation Studies. J. Am. Coll. Cardiol. 2022, 79, 933–946. [Google Scholar] [CrossRef] [PubMed]
- Zweck, E.; Thayer, K.L.; Helgestad, O.K.L.; Kanwar, M.; Ayouty, M.; Garan, A.R.; Hernandez-Montfort, J.; Mahr, C.; Wencker, D.; Sinha, S.S.; et al. Phenotyping Cardiogenic Shock. J. Am. Heart Assoc. 2021, 10, 20085. [Google Scholar] [CrossRef] [PubMed]
- Zweck, E.; Kanwar, M.; Li, S.; Sinha, S.S.; Garan, A.R.; Hernandez-Montfort, J.; Zhang, Y.; Li, B.; Baca, P.; Dieng, F.; et al. Clinical Course of Patients in Cardiogenic Shock Stratified by Phenotype. JACC Heart Fail. 2023, in press. [CrossRef] [PubMed]
- Ortega-Hernández, J.A.; González-Pacheco, H.; Gopar-Nieto, R.; de la Cruz, J.L.B.; Sierra-Lara, D.; Araiza-Garaygordobil, D.; Eid-Lidt, G.; Mendoza-García, S.; Manzur-Sandoval, D.; Altamirano-Castillo, A.; et al. Dynamic Invasive Hemodynamic Congestion Profile Impacts Acute Myocardial Infarction Complicated by Cardiogenic Shock Outcomes: A Real-World Single-Center Study. J. Card. Fail. 2022, 29, 745–756. [Google Scholar] [CrossRef]
- Garan, A.R.; Kanwar, M.; Thayer, K.L.; Whitehead, E.; Zweck, E.; Hernandez-Montfort, J.; Mahr, C.; Haywood, J.L.; Harwani, N.M.; Wencker, D.; et al. Complete Hemodynamic Profiling with Pulmonary Artery Catheters in Cardiogenic Shock Is Associated with Lower In-Hospital Mortality. JACC Heart Fail. 2020, 8, 903–913. [Google Scholar] [CrossRef]
- Thayer, K.L.; Zweck, E.; Ayouty, M.; Garan, A.R.; Hernandez-Montfort, J.; Mahr, C.; Morine, K.J.; Newman, S.; Jorde, L.; Haywood, J.L.; et al. Invasive Hemodynamic Assessment and Classification of In-Hospital Mortality Risk Among Patients with Cardiogenic Shock. Circ. Heart Fail. 2020, 13, e007099. [Google Scholar] [CrossRef]
- Vandyck, T.J.; Pinsky, M.R. Hemodynamic Monitoring in Cardiogenic Shock. Curr. Opin. Crit. Care 2021, 27, 454. [Google Scholar] [CrossRef]
- Jones, T.L.; Nakamura, K.; McCabe, J.M. Cardiogenic Shock: Evolving Definitions and Future Directions in Management. Open Heart 2019, 6, e000960. [Google Scholar] [CrossRef]
- Kellum, J.A.; Lameire, N. KDIGO Clinical Practice Guideline for Acute Kidney Injury. Kidney Int. Suppl. 2012, 2, 1–138. [Google Scholar]
- Bota, D.P.; Melot, C.; Ferreira, F.L.; Ba, V.N.; Vincent, J.L. The Multiple Organ Dysfunction Score (MODS) versus the Sequential Organ Failure Assessment (SOFA) Score in Outcome Prediction. Intensive Care Med. 2002, 28, 1619–1624. [Google Scholar] [CrossRef]
- Baldetti, L.; Pagnesi, M.; Gallone, G.; Barone, G.; Fierro, N.; Calvo, F.; Gramegna, M.; Pazzanese, V.; Venuti, A.; Sacchi, S.; et al. Prognostic Value of Right Atrial Pressure-Corrected Cardiac Power Index in Cardiogenic Shock. ESC Heart Fail. 2022, 9, 3920–3930. [Google Scholar] [CrossRef] [PubMed]
- Jentzer, J.C.; Anavekar, N.S.; Burstein, B.J.; Borlaug, B.A.; Oh, J.K. Noninvasive Echocardiographic Left Ventricular Stroke Work Index Predicts Mortality in Cardiac Intensive Care Unit Patients. Circ. Cardiovasc. Imaging 2020, 13, E011642. [Google Scholar] [CrossRef] [PubMed]
- Harjola, V.P.; Lassus, J.; Sionis, A.; Køber, L.; Tarvasmäki, T.; Spinar, J.; Parissis, J.; Banaszewski, M.; Silva-Cardoso, J.; Carubelli, V.; et al. Clinical Picture and Risk Prediction of Short-Term Mortality in Cardiogenic Shock. Eur. J. Heart Fail. 2015, 17, 501–509. [Google Scholar] [CrossRef]
- Harjola, V.P.; Mullens, W.; Banaszewski, M.; Bauersachs, J.; Brunner-La Rocca, H.P.; Chioncel, O.; Collins, S.P.; Doehner, W.; Filippatos, G.S.; Flammer, A.J.; et al. Organ Dysfunction, Injury and Failure in Acute Heart Failure: From Pathophysiology to Diagnosis and Management. A Review on Behalf of the Acute Heart Failure Committee of the Heart Failure Association (HFA) of the European Society of Cardiology (ESC). Eur. J. Heart Fail. 2017, 19, 821–836. [Google Scholar] [CrossRef] [PubMed]
- Lala, A.; Guo, Y.; Xu, J.; Esposito, M.; Morine, K.; Karas, R.; Katz, S.D.; Hochman, J.S.; Burkhoff, D.; Kapur, N.K. Right Ventricular Dysfunction in Acute Myocardial Infarction Complicated by Cardiogenic Shock: A Hemodynamic Analysis of the Should We Emergently Revascularize Occluded Coronaries for Cardiogenic Shock (SHOCK) Trial and Registry. J. Card. Fail. 2018, 24, 148–156. [Google Scholar] [CrossRef] [PubMed]
- Mullens, W.; Abrahams, Z.; Francis, G.S.; Sokos, G.; Taylor, D.O.; Starling, R.C.; Young, J.B.; Tang, W.H.W. Importance of Venous Congestion for Worsening of Renal Function in Advanced Decompensated Heart Failure. J. Am. Coll. Cardiol. 2009, 53, 589–596. [Google Scholar] [CrossRef]
- Hanberg, J.S.; Sury, K.; Perry Wilson, F.; Brisco, M.A.; Ahmad, T.; Ter Maaten, J.M.; Samuel Broughton, J.; Assefa, M.; Wilson Tang, W.H.; Parikh, C.R.; et al. Reduced Cardiac Index Is Not the Dominant Driver of Renal Dysfunction in Heart Failure. J. Am. Coll. Cardiol. 2016, 67, 2199–2208. [Google Scholar] [CrossRef]
- Santangeli, P.; Rame, J.E.; Birati, E.Y.; Marchlinski, F.E. Management of Ventricular Arrhythmias in Patients with Advanced Heart Failure. J. Am. Coll. Cardiol. 2017, 69, 1842–1860. [Google Scholar] [CrossRef]
- Zeymer, U.; Freund, A.; Hochadel, M.; Ostadal, P.; Belohlavek, J.; Rokyta, R.; Massberg, S.; Brunner, S.; Lüsebrink, E.; Flather, M.; et al. Venoarterial Extracorporeal Membrane Oxygenation in Patients with Infarct-Related Cardiogenic Shock: An Individual Patient Data Meta-Analysis of Randomised Trials. Lancet 2023. [Google Scholar] [CrossRef]
- Thiele, H.; de Waha-Thiele, S.; Freund, A.; Zeymer, U.; Desch, S.; Fitzgerald, S. Management of Cardiogenic Shock. EuroIntervention 2021, 17, 451–465. [Google Scholar] [CrossRef]
- Do, C.B.; Batzoglou, S. What Is the Expectation Maximization Algorithm? Nat. Biotechnol. 2008, 26, 897–899. [Google Scholar] [CrossRef] [PubMed]
- Lou, W.; Wan, L.; Abner, E.L.; Fardo, D.W.; Dodge, H.H.; Kryscio, R.J. Multi-State Models and Missing Covariate Data: Expectation-Maximization Algorithm for Likelihood Estimation. Biostat. Epidemiol. 2017, 1, 20. [Google Scholar] [CrossRef] [PubMed]
- Cannon, C.P.; Brindis, R.G.; Chaitman, B.R.; Cohen, D.J.; Cross, J.T.; Drozda, J.P.; Fesmire, F.M.; Fintel, D.J.; Fonarow, G.C.; Fox, K.A.; et al. 2013 ACCF/AHA Key Data Elements and Definitions for Measuring the Clinical Management and Outcomes of Patients with Acute Coronary Syndromes and Coronary Artery Disease. J. Am. Coll. Cardiol. 2013, 61, 992–1025. [Google Scholar] [CrossRef] [PubMed]
- Vasilevskis, E.E.; Pandharipande, P.P.; Graves, A.J.; Shintani, A.; Tsuruta, R.; Ely, E.W.; Girard, T.D. Validity of a Modified Sequential Organ Failure Assessment Score Using the Richmond Agitation-Sedation Scale. Crit. Care Med. 2016, 44, 138–146. [Google Scholar] [CrossRef] [PubMed]



| Variables | Cardiac-Only (n = 135) | Cardiorenal (n = 99) | Cardiometabolic (n = 75) | p-Value | |
|---|---|---|---|---|---|
| Gender | Male | 115 (85.2%) | 78 (78.8) | 61 (81.3) | 0.439 |
| Female | 20 (14.8%) | 21 (21.2) | 14 (18.7) | ||
| Age (years) | 57 (50–64) | 64 (58–69) | 62 (56–69) | <0.001 | |
| Weight (kg) | 76 (68–85) | 75 (65–85) | 75 (68–80) | 0.534 | |
| Height (m) | 1.68 (1.61–1.7) | 1.67 (1.6–1.71) | 1.68 (1.6–1.7) | 0.516 | |
| BMI (kg/m2) | 27.49 (24.51–29.39) | 26.86 (24.2–29.05) | 26.64 (24.49–29.41) | 0.683 | |
| BSA (m2) | 1.8 (1.7–1.9) | 1.8 (1.68–1.92) | 1.77 (1.67–1.9) | 0.129 | |
| Smoking history (%) | 88 (65.2) | 59 (59.6) | 42 (56) | 0.394 | |
| Hypertension (%) | 57 (42.2) | 59 (59.6) | 44 (58.7) | 0.012 | |
| COPD (%) | 2 (1.5) | 5 (5.1) | 2 (2.7) | 0.286 | |
| Previous HF episodes (%) | 9 (6.7) | 5 (5.1) | 8 (10.7) | 0.348 | |
| Previous CKD (%) | 0 | 12 (12.1) | 5 (6.7) | <0.001 | |
| Diabetes mellitus (%) | 58 (43) | 56 (56.6) | 35 (46.7) | 0.115 | |
| Previous MI (%) | 25 (18.5) | 13 (13.1) | 11 (14.7) | 0.51 | |
| Previous PCI (%) | 8 (5.9) | 8 (8.1) | 6 (8) | 0.772 | |
| Previous CABG (%) | 2 (1.5) | 1 (1) | 3 (4) | 0.494 | |
| Type of AMI (%) | NSTEMI | 28 (20.7) | 20 (20.2) | 5 (6.7) | 0.022 |
| STEMI | 107 (79.3) | 79 (79.8) | 70 (93.3) | ||
| Out-of-hospital cardiac arrest (%) | 4 (3) | 3 (3) | 3 (4) | 0.92 | |
| Killip–Kimball (%) | I | 31 (23) | 10 (10.1) | 5 (6.7) | <0.001 |
| II | 55 (40.7) | 21 (21.2) | 13 (17.3) | ||
| III | 33 (24.4) | 30 (30.3) | 13 (17.3) | ||
| IV | 16 (11.9) | 38 (38.4) | 44 (58.7) | ||
| LVEF (%) | 35 (30–43) | 32 (26–40) | 30 (20–45) | 0.073 | |
| Heart rate (bpm) | 96 (85–110) | 97 (84–110) | 101 (81–117) | 0.552 | |
| SBP (mmHg) | 108 (97–119) | 106 (95–119) | 103 (89–115) | 0.143 | |
| DBP (mmHg) | 65 (56–74) | 60 (52–72) | 65 (54–75) | 0.25 | |
| Hemoglobin (g/dL) | 14.5 (12.6–16.3) | 14 (12.1–16) | 14.2 (12.8–16.3) | 0.756 | |
| WBC (cell/mm3) | 12 (9.4–15.4) | 13.6 (10.5–17.5) | 14.7 (11.8–18.5) | <0.001 | |
| Neutrophils (%) | 79.35 (71.5–85.1) | 82.75 (78–86.6) | 82 (76.6–86) | 0.024 | |
| Lymphocytes (%) | 13.25 (8.6–17.1) | 10.5 (7.2–15) | 11 (7–16.5) | 0.024 | |
| Platelets (cell/mm3) | 224 (179–287) | 241 (194–285) | 195 (144–274) | 0.005 | |
| PT (sec) | 13.5 (12.1–15) | 14 (12.4–16.1) | 13.9 (12–18) | 0.154 | |
| PTT (sec) | 33.6 (29.8–39) | 35.25 (30.1–45) | 34.2 (30.1–43) | 0.37 | |
| Glucose (mg/dL) | 153 (128–248) | 213 (130–324) | 217 (146–308) | 0.007 | |
| BUN (mg/dL) | 18 (13–24) | 30 (23–40.8) | 35.21 (24–50) | <0.001 | |
| Creatinine (mg/dL) | 1 (0.9–1.1) | 1.8 (1.5–2.5) | 2 (1.5–2.61) | <0.001 | |
| eGFR by CKD-EPI (mL/min/m2) | 81.78 (69.59–95.14) | 39.18 (26.59–49.5) | 32.1 (24.38–47.84) | <0.001 | |
| Chloride (mEq/L) | 104 (101–107) | 104 (100–108) | 102 (98–105) | 0.04 | |
| Sodium (mEq/L) | 136 (133–138) | 136 (132–140) | 136 (133–139.1) | 0.859 | |
| Potassium (mEq/L) | 4.1 (3.8–4.4) | 4.6 (4.2–5.2) | 4.4 (4.09–5.2) | <0.001 | |
| Magnesium (mg/dL) | 2.28 (2–2.5) | 2.3 (2.04–2.5) | 2.1 (2–2.33) | 0.131 | |
| Albumin (g/dL) | 3.4 (2.99–3.88) | 3.27 (2.9–3.7) | 3.3 (2.9–3.6) | 0.159 | |
| AST (U/L) | 76.5 (41–249) | 83.35 (40–229) | 700 (325–992) | <0.001 | |
| ALT (U/L) | 61.5 (34.8–103.5) | 51.3 (36.2–84.5) | 450 (204.4–1257) | <0.001 | |
| LDH (U/L) | 635 (330–1248) | 545 (324–1244) | 1290 (715–2250) | <0.001 | |
| Hs-C-reactive protein (mg/L) | 63.25 (21.2–130.5) | 56.8 (20.2–153) | 102.3 (35.4–150.8) | 0.353 | |
| Maximum creatinine (mg/dL) | 1.1 (0.99–1.48) | 2.3 (1.7–3.19) | 2.94 (1.93–3.74) | <0.001 | |
| Maximum AST (U/L) | 129 (56.9–406) | 128 (54–424) | 832 (465–1951) | <0.001 | |
| Maximum ALT (U/L) | 68.75 (37.95–111.85) | 54.85 (36.4–84.7) | 468.3 (210–1257) | <0.001 | |
| Bilirubin (mg/dL) | 0.96 (0.66–1.61) | 0.99 (0.54–1.58) | 1.46 (0.96–2.37) | 0.006 | |
| Minimum PaO2/FiO2 ratio | 247.62 (146–304.76) | 200 (120–300) | 152.8 (100–257) | 0.004 | |
| Lactate | 2.1 (1.45–3.3) | 2.95 (1.7–6) | 4.35 (2.8–6) | <0.001 | |
| Base excess | −5.19 (−8.21; −3.12) | −8.78 (−13.23; −5.51) | −10.66 (−14.87; −7.59) | <0.001 | |
| pH | 7.37 (7.32–7.42) | 7.29 (7.23–7.37) | 7.28 (7.22–7.35) | <0.001 | |
| Minimum 24 h MAP | 72 (65.33–78.33) | 67.67 (61.57–74) | 68 (60–72) | 0.003 | |
| Minimum 24 h SBP | 98 (90–104) | 96 (86–101) | 91 (81–102) | 0.01 | |
| Time of delay symptom to ER (hr:min) | 12:16 (5:05–60:39) | 16:21 (7:00–58:37) | 28:42 (11:50–47:00) | 0.253 | |
| Primary reperfusion (<12 h, %) | PI | 27 (20.1) | 17 (17.2) | 5 (6.7) | 0.005 |
| PCI | 47 (34.8) | 27 (27.3) | 16 (21.3) | ||
| NR | 61 (45.5) | 55 (55.6) | 54 (72) | ||
| Angiography (%) | 126 (93.3) | 78 (78.8) | 67 (89.3) | 0.003 | |
| Total PCI (%) | 103 (76.3) | 59 (59.6) | 53 (70.7) | 0.023 | |
| Mechanical ventilation (%) | 82 (60.7) | 72 (72.7) | 60 (80) | 0.01 | |
| Hemodialysis (%) | 6 (4.4) | 17 (17.2) | 21 (28) | <0.001 | |
| Norepinephrine (%) | 100 (74.1) | 82 (82.8) | 66 (88) | 0.039 | |
| Vasopressin (%) | 62 (45.9) | 56 (56.6) | 55 (73.3) | 0.001 | |
| Dobutamine (%) | 103 (76.3) | 83 (83.8) | 73 (97.3) | <0.001 | |
| Levosimendan (%) | 35 (25.9) | 27 (27.3) | 36 (48) | 0.002 | |
| Number of vasoactive drugs (%) | None | 17 (12.6) | 4 (4) | 1 (1.3) | <0.001 |
| 1 | 17 (12.6) | 15 (15.2) | 3 (4) | ||
| 2 | 39 (28.9) | 24 (24.2) | 13 (17.3) | ||
| 3 | 43 (31.9) | 39 (39.4) | 31 (41.3) | ||
| 4 | 19 (14.1) | 17 (17.2) | 27 (36) | ||
| Mechanical support (%) | 72 (53.3) | 57 (57.6) | 48 (64) | 0.325 | |
| Acute kidney injury (%) | 58 (43) | 82 (82.8) | 69 (92) | <0.001 | |
| AKIN stage (%) | None | 77 (57) | 17 (17.2) | 6 (8) | <0.001 |
| 1 | 32 (23.7) | 33 (33.3) | 24 (32) | ||
| 2 | 13 (9.6) | 18 (18.2) | 12 (16) | ||
| 3 | 13 (9.6) | 31 (31.3) | 33 (44) | ||
| VT/VF (%) | 44 (32.6) | 27 (27.3) | 30 (40) | 0.208 | |
| Multi-organ failure (%) | 56 (41.5) | 62 (62.6) | 60 (80) | <0.001 | |
| Number of organ failures (%) | 0–1 | 79 (58.5) | 37 (37.4) | 15 (20) | <0.001 |
| 2–3 | 47 (34.8) | 44 (44.4) | 35 (46.7) | ||
| 4–5 | 9 (6.7) | 18 (18.2) | 25 (33.3) | ||
| MODS score | 0–4 | 66 (48.9) | 31 (31.3) | 10 (13.3) | <0.001 |
| 5–10 | 49 (36.3) | 36 (36.4) | 26 (34.7) | ||
| ≥11 | 20 (14.8) | 32 (32.3) | 39 (52) | ||
| SCAI score | C | 31 (23) | 10 (10.1) | 0 | <0.001 |
| D | 76 (56.3) | 45 (45.5) | 31 (41.3) | ||
| E | 28 (20.7) | 44 (44.4) | 44 (58.7) | ||
| Mortality (%) | 45 (33.3) | 52 (52.5) | 53 (70.7) | <0.001 | |
| Hemodynamic Parameter | Cardiac-Only (n = 135) | Cardiorenal (n = 99) | Cardiometabolic (n = 75) | p-Value |
|---|---|---|---|---|
| Time 0 h | ||||
| Heart rate (bpm) | 96 (85–110) | 97 (84–110) | 101 (81–117) | 0.552 |
| SBP (mmHg) | 108 (97–119) | 106 (95–119) | 103 (89–115) | 0.143 |
| DBP (mmHg) | 65 (56–74) | 60 (52–72) | 65 (54–75) | 0.25 |
| MAP (mmHg) | 80 (70–88) | 76.67 (66.3–86.33) | 76.33 (68–88) | 0.247 |
| RAP (mmHg) | 12 (8–17) | 14 (10–18) | 15 (11–19) | 0.02 |
| PCWP (mmHg) | 18 (14–22) | 19 (16–24) | 19 (14–25) | 0.068 |
| PASP (mmHg) | 36 (29–43) | 37 (30–46) | 37 (28–45) | 0.71 |
| PADP (mmHg) | 21 (18–26) | 22 (18–28) | 21 (16–29) | 0.611 |
| mPAP (mmHg) | 26 (21–31) | 29 (22–34) | 27 (21–35) | 0.199 |
| Cardiac output (L/min) | 4.3 (3.6–5.6) | 3.9 (3.1–5) | 3.5 (2.8–4.5) | <0.001 |
| Cardiac index (L/min/m2) | 2.41 (1.93–3.02) | 2.21 (1.82–2.81) | 1.95 (1.56–2.67) | 0.002 |
| Cardiac power (W) | 0.78 (0.59–0.99) | 0.66 (0.48–0.98) | 0.57 (0.43–0.83) | <0.001 |
| Cardiac power index (W/m2) | 0.44 (0.32–0.51) | 0.37 (0.29–0.54) | 0.34 (0.25–0.47) | 0.002 |
| CPI(RAP) (W) | 0.38 (0.26–0.44) | 0.3 (0.21–0.45) | 0.27 (0.19–0.39) | 0.001 |
| Perfusion pressure (mmHg) | 67.67 (57.33–75.33) | 61 (49–72.67) | 62 (50.33–72.33) | 0.035 |
| PAPi | 1.13 (0.67–1.77) | 0.93 (0.61–1.5) | 0.89 (0.65–1.48) | 0.114 |
| Stroke volume (mL) | 46.44 (34.67–57.74) | 42.42 (32.95–55.95) | 35.9 (28.1–46.43) | 0.001 |
| Stroke volume index (mL/m2) | 25.32 (18.72–32.58) | 23.33 (18.75–30.12) | 21.49 (15.76–27.31) | 0.003 |
| SVR (dynes/sec/cm−5) | 1224.69 (907.26–1476.92) | 1221.18 (935.38–1529.95 | 1363.81 (1059.36–1752.38) | 0.078 |
| PVR (dynes/sec/cm−5) | 160 (86.25–247.42) | 163.64 (66.67–293.88) | 185.71 (107.46–311.69) | 0.243 |
| SVRi (dynes/sec·m2/cm−5) | 2163.09 (1699.2–2784.83) | 2266.67 (1666.42–2741.78) | 2372.83 (1792–2979.24) | 0.187 |
| PVRi (dynes/sec·m2/cm−5) | 274.07 (166.39–421.05) | 302.22 (115.2–495.16) | 335.19 (185.14–529.87) | 0.35 |
| LVSWi (gm-m/m2/beat) | 22.24 (14.49–27.77) | 18.74 (11.74–28.05) | 15.2 (10.65–22.09) | 0.001 |
| RVSWi (gm-m/m2/beat) | 4.41 (2.29–7.53) | 4.15 (2.04–7.32) | 3.16 (1.6–5.61) | 0.048 |
| Time 6 h | ||||
| Heart rate (bpm) | 98 (90–107) | 98.25 (86.22–112) | 100 (81–115) | 0.971 |
| SBP (mmHg) | 109 (98–118) | 106 (96–121) | 104 (93–114) | 0.117 |
| DBP (mmHg) | 66 (57–73) | 62 (52.84–71) | 62 (54–72) | 0.175 |
| MAP (mmHg) | 79.67 (73.67–86) | 77.33 (69.33–84.67) | 77.67 (68.33–84) | 0.134 |
| RAP (mmHg) | 12 (9–16) | 14 (11–17) | 16 (12–19) | <0.001 |
| PCWP (mmHg) | 16 (12–20) | 18 (13–21) | 18 (15–21) | 0.089 |
| PASP (mmHg) | 34 (29–39) | 35 (30–44) | 36 (29–44) | 0.132 |
| PADP (mmHg) | 20 (16–24) | 21 (17–26) | 22 (18–28) | 0.074 |
| mPAP (mmHg) | 25 (20–28) | 26 (22–31) | 27 (22–34) | 0.038 |
| Cardiac output (L/min) | 4.7 (4–5.9) | 4.51 (3.62–5.6) | 3.8 (3.18–4.6) | <0.001 |
| Cardiac index (L/min/m2) | 2.65 (2.16–3.21) | 2.56 (2.05–3.05) | 2.13 (1.78–2.66) | <0.001 |
| Cardiac power (W) | 0.84 (0.69–1.07) | 0.78 (0.6–0.99) | 0.68 (0.53–0.84) | <0.001 |
| Cardiac power index (W/m2) | 0.46 (0.39–0.58) | 0.45 (0.34–0.56) | 0.39 (0.3–0.49) | <0.001 |
| CPI(RAP) (W) | 0.39 (0.32–0.48) | 0.37 (0.27–0.48) | 0.3 (0.23–0.41) | <0.001 |
| Perfusion pressure (mmHg) | 67.33 (58.67–74.33) | 63 (54.67–71) | 61 (51.33–71.33) | 0.003 |
| PAPi | 1.13 (0.63–1.86) | 1.15 (0.69–1.5) | 0.92 (0.48–1.53) | 0.09 |
| Stroke volume (mL) | 48.05 (39.26–61.96) | 45.87 (35.63–58.97) | 38.67 (30.94–50.62) | <0.001 |
| Stroke volume index (mL/m2) | 26.49 (22.07–34.97) | 24.59 (19.08–33.82) | 21.97 (18.46–28.22) | 0.001 |
| SVR (dynes/sec/cm−5) | 1130.98 (869.57–1377.78) | 1160.78 (897.35–1412.14) | 1276.19 (1000–1630.48) | 0.011 |
| PVR (dynes/sec/cm−5) | 138.27 (86.49–196.49) | 150.94 (88.08–266.67) | 172.97 (106.67–316.28) | 0.017 |
| SVRi (dynes/sec·m2/cm−5) | 2008.33 (1613.54–2431.73) | 2059.71 (1596.27–2470.83) | 2284.8 (1739.15–2763.24) | 0.041 |
| PVRi (dynes/sec·m2/cm−5) | 251.45 (160–328.21) | 271.7 (162.16–427.33) | 310.4 (182.86–560) | 0.028 |
| LVSWi (gm-m/m2/beat) | 22.6 (17.54–30.54) | 20.5 (14.93–29.11) | 16.63 (12.51–25.56) | 0.001 |
| RVSWi (gm-m/m2/beat) | 4.18 (2.49–6.15) | 4.23 (2.15–6.81) | 3.47 (1.37–5.89) | 0.149 |
| Time 12 h | ||||
| Heart rate (bpm) | 96 (87–106) | 99 (88–112) | 98 (86–114) | 0.543 |
| SBP (mmHg) | 108 (100–115) | 105 (97–115) | 100 (94–114) | 0.155 |
| DBP (mmHg) | 66 (57–73) | 62 (56–70) | 62 (55–74) | 0.147 |
| MAP (mmHg) | 80 (73–85.67) | 76.67 (70.67–85.33) | 74.96 (68.67–86.67) | 0.118 |
| RAP (mmHg) | 12 (9–16) | 14 (11–17) | 14 (11–18) | 0.006 |
| PCWP (mmHg) | 17 (13–20) | 18 (14–21) | 17 (14–22) | 0.278 |
| PASP (mmHg) | 36 (28–41) | 37 (31–48) | 39 (29–48) | 0.117 |
| PADP (mmHg) | 20 (17–24) | 22 (18–26) | 22 (17–30) | 0.088 |
| mPAP (mmHg) | 25 (20–30) | 27 (22–32) | 27 (21–35) | 0.092 |
| Cardiac output (L/min) | 5 (4.1–6.2) | 4.6 (3.81–5.6) | 4.25 (3.5–5.2) | 0.002 |
| Cardiac index (L/min/m2) | 2.82 (2.25–3.24) | 2.53 (2.24–3.07) | 2.37 (1.95–2.93) | 0.003 |
| Cardiac power (W) | 0.86 (0.71–1.09) | 0.82 (0.63–0.99) | 0.73 (0.56–0.94) | 0.003 |
| Cardiac power index (W/m2) | 0.49 (0.39–0.6) | 0.46 (0.38–0.56) | 0.4 (0.32–0.53) | 0.007 |
| CPI(RAP) (W) | 0.41 (0.31–0.5) | 0.38 (0.31–0.46) | 0.32 (0.25–0.44) | 0.002 |
| Perfusion pressure (mmHg) | 67.33 (59–73.67) | 62.33 (54.67–72.33) | 60.51 (52.67–70.33) | 0.009 |
| PAPi | 1.16 (0.76–1.7) | 1.17 (0.8–1.89) | 1 (0.67–1.86) | 0.517 |
| Stroke volume (mL) | 50.57 (40.2–64.58) | 47.22 (36.39–58.54) | 44.92 (36.07–52.17) | 0.003 |
| Stroke volume index (mL/m2) | 29.55 (23.68–34.54) | 26.54 (20.34–34.2) | 24.8 (20.27–30.69) | 0.008 |
| SVR (dynes/sec/cm−5) | 1021.14 (885.19–1341.14) | 1078.79 (880–1377.39) | 1139.39 (915.94–1474.51) | 0.319 |
| PVR (dynes/sec/cm−5) | 136.36 (80–202.81) | 150.94 (84.75–233.11) | 183.61 (105.26–266.67) | 0.05 |
| SVRi (dynes/sec·m2/cm−5) | 1860.55 (1629.4–2311.95) | 1993.85 (1543.11–2426.67) | 1928.91 (1665.23–2580.39) | 0.521 |
| PVRi (dynes/sec·m2/cm−5) | 247.27 (152–379.23) | 273.68 (147.69–417.28) | 317.29 (184.32–466.67) | 0.101 |
| LVSWi (gm-m/m2/beat) | 24.37 (17.93–31.18) | 22.9 (15.24–27.7) | 19.15 (15.28–26.19) | 0.003 |
| RVSWi (gm-m/m2/beat) | 4.85 (3.2–6.75) | 4.33 (2.32–7.6) | 4.02 (2.04–7.14) | 0.381 |
| Time 24 h | ||||
| Heart rate (bpm) | 96 (86–109) | 97 (87–111) | 99 (80–115) | 0.867 |
| SBP (mmHg) | 107 (100–116) | 105 (97–118) | 100 (91–109) | 0.008 |
| DBP (mmHg) | 65 (58–71) | 61 (55–69) | 59 (53–69) | 0.007 |
| MAP (mmHg) | 80.37 (72.6–85.91) | 76.07 (69.81–85.33) | 71.67 (67.33–81.33) | 0.002 |
| RAP (mmHg) | 12 (10–16) | 15 (12–17) | 14 (11–18) | 0.006 |
| PCWP (mmHg) | 16 (13–20) | 19 (15–20) | 19 (16–24) | 0.001 |
| PASP (mmHg) | 35 (29–42) | 38 (31–50) | 40 (30–50) | 0.03 |
| PADP (mmHg) | 20 (16–25) | 22 (18–26) | 23 (18–30) | 0.001 |
| mPAP (mmHg) | 25 (21–30) | 28 (23–33) | 27 (23–34) | 0.025 |
| Cardiac output (L/min) | 5.09 (4.2–6.3) | 4.8 (3.89–5.9) | 4.4 (3.65–5.5) | 0.021 |
| Cardiac index (L/min/m2) | 2.83 (2.29–3.33) | 2.6 (2.27–3.18) | 2.5 (2.05–3.14) | 0.045 |
| Cardiac power (W) | 0.89 (0.72–1.15) | 0.82 (0.67–1.04) | 0.76 (0.58–0.97) | 0.001 |
| Cardiac power index (W/m2) | 0.5 (0.4–0.64) | 0.44 (0.38–0.57) | 0.43 (0.31–0.53) | 0.003 |
| CPI(RAP) (W) | 0.41 (0.33–0.52) | 0.36 (0.3–0.46) | 0.33 (0.25–0.43) | 0.001 |
| Perfusion pressure (mmHg) | 67.33 (57.34–72.67) | 60.95 (54.33–69.67) | 57 (52–67.67) | <0.001 |
| PAPi | 1.25 (0.85–1.79) | 1.2 (0.73–1.81) | 1.05 (0.64–1.62) | 0.129 |
| Stroke volume (mL) | 53.68 (41.18–65.79) | 49.47 (40.43–61.06) | 45.45 (37.63–57.27) | 0.047 |
| Stroke volume index (mL/m2) | 29.35 (23.65–36.11) | 27.82 (23.09–35.28) | 25.81 (21.37–32.58) | 0.081 |
| SVR (dynes/sec/cm−5) | 1041.86 (813.05–1365.99) | 1056.74 (834.57–1360) | 1066.67 (871.79–1310.64) | 0.825 |
| PVR (dynes/sec/cm−5) | 136.17 (84.21–209.84) | 148.15 (92.41–216.75) | 163.64 (103.63–215.38) | 0.246 |
| SVRi (dynes/sec·m2/cm−5) | 1875.17 (1541.33–2380.26) | 1946.06 (1491.67–2317.73) | 1942.86 (1525.33–2261.35) | 0.995 |
| PVRi (dynes/sec·m2/cm−5) | 253.33 (150.77–374) | 267.52 (172.73–372.13) | 278.98 (179.73–409.23) | 0.42 |
| LVSWi (gm-m/m2/beat) | 25.04 (18.92–31.43) | 21.94 (16.85–28.51) | 19.54 (14.53–25.61) | 0.002 |
| RVSWi (gm-m/m2/beat) | 4.95 (3.02–6.88) | 4.8 (2.92–7.75) | 4.34 (2.73–6.54) | 0.63 |
| Hemodynamic Parameter | No MOF (n = 131) | MOF (n = 178) | p-Value | No AKI (n = 100) | AKI (n = 209) | p-Value | No VT/VF (n = 208) | VT/VF (n = 101) | p-Value |
|---|---|---|---|---|---|---|---|---|---|
| Time 0 h | |||||||||
| Heart rate (bpm) | 93 (84–109) | 99 (84–113) | 0.088 | 99 (86–113) | 97 (82–110) | 0.278 | 97 (82–110) | 98 (88–113) | 0.173 |
| SBP (mmHg) | 109 (99–124) | 102 (90–115) | 0.001 | 108 (96–121) | 104 (93–116) | 0.16 | 108 (95–119) | 102 (90–115) | 0.093 |
| DBP (mmHg) | 66 (57–73) | 61 (52–74) | 0.108 | 66 (56–74) | 62 (53–74) | 0.228 | 64 (55–75) | 60 (50–71) | 0.109 |
| MAP (mmHg) | 80 (71.33–88) | 75.67 (65.67–86) | 0.005 | 78.83 (70.33–88.17) | 76.67 (68–86.67) | 0.193 | 78.67 (70–88.17) | 76.67 (66.67–84.33) | 0.083 |
| RAP (mmHg) | 13 (9–17) | 15 (10–18) | 0.093 | 14 (10–18) | 14 (10–18) | 0.788 | 13 (10–18) | 15 (10–18) | 0.764 |
| PCWP (mmHg) | 17 (13–22) | 19 (16–23) | 0.035 | 18 (13–23) | 19 (15–23) | 0.082 | 18 (14–22) | 19 (15–24) | 0.071 |
| PASP (mmHg) | 36 (30–45) | 37 (29–45) | 0.477 | 36 (29–44) | 37 (30–45) | 0.611 | 36 (29–44) | 38 (30–46) | 0.532 |
| PADP (mmHg) | 21 (17–28) | 22 (18–27) | 0.966 | 20 (17–28) | 22 (18–28) | 0.593 | 21 (17–27) | 23 (18–29) | 0.433 |
| mPAP (mmHg) | 26.1 (21–34) | 27 (22–33) | 0.963 | 25.5 (21–32.5) | 27 (22–34) | 0.248 | 27 (21–33) | 28 (22–35) | 0.261 |
| Cardiac output (L/min) | 4.3 (3.54–5.6) | 3.83 (3–4.8) | 0.001 | 4.35 (3.5–5.55) | 3.9 (3.1–5) | 0.024 | 4.2 (3.28–5.45) | 3.81 (3–4.48) | 0.012 |
| Cardiac index (L/min/m2) | 2.47 (1.94–3.11) | 2.15 (1.69–2.72) | 0.001 | 2.49 (1.93–3.11) | 2.21 (1.78–2.76) | 0.02 | 2.4 (1.86–3.11) | 2.14 (1.73–2.52) | 0.004 |
| Cardiac power (W) | 0.79 (0.62–0.99) | 0.61 (0.47–0.9) | <0.001 | 0.79 (0.54–1) | 0.66 (0.48–0.9) | 0.025 | 0.73 (0.52–1) | 0.64 (0.48–0.84) | 0.003 |
| Cardiac power index (W/m2) | 0.45 (0.34–0.53) | 0.35 (0.27–0.49) | <0.001 | 0.45 (0.31–0.53) | 0.38 (0.28–0.49) | 0.021 | 0.43 (0.3–0.53) | 0.36 (0.27–0.45) | 0.001 |
| CPI(RAP) (W) | 0.38 (0.27–0.45) | 0.28 (0.21–0.41) | <0.001 | 0.38 (0.23–0.44) | 0.3 (0.22–0.41) | 0.049 | 0.36 (0.23–0.46) | 0.27 (0.21–0.38) | 0.001 |
| Perfusion pressure (mmHg) | 68 (58–75.67) | 62 (50–72.33) | 0.002 | 65 (53.83–74) | 64.33 (52.67–73.67) | 0.37 | 65.33 (53.33–75.33) | 64.33 (51–71.33) | 0.17 |
| PAPi | 1.08 (0.67–1.75) | 0.94 (0.63–1.58) | 0.109 | 1 (0.64–1.74) | 1 (0.65–1.6) | 0.925 | 1 (0.65–1.7) | 1 (0.67–1.5) | 0.854 |
| Stroke volume (mL) | 46.43 (36.82–58.1) | 38 (29.19–51.22) | 0.001 | 44.81 (33.14–56.41) | 41.12 (31.06–54.62) | 0.255 | 45.08 (32.95–57.51) | 37.47 (29.39–47.63) | 0.002 |
| Stroke volume index (mL/m2) | 25.36 (20.57–32.77) | 22.44 (16.77–28.79) | <0.001 | 24.41 (18.18–30.67) | 23.21 (17.26–30.13) | 0.293 | 24.71 (18.74–31.7) | 21.03 (16.33–27.49) | 0.001 |
| SVR (dynes/sec/cm−5) | 1224.24 (904.76–1575.38) | 1276.61 (1026.67–1535.63) | 0.413 | 1205.86 (900.25–1476.92) | 1300 (1019.05–1574.6) | 0.08 | 1249.95 (933.46–1519.69) | 1236.3 (1052.99–1608.89) | 0.297 |
| PVR (dynes/sec/cm−5) | 163.64 (88.89–266.67) | 167.45 (102.86–260.16) | 0.816 | 166.67 (78.13–254.83) | 166.67 (102.86–266.67) | 0.757 | 162.99 (88.96–253.66) | 175 (96–293.88) | 0.213 |
| SVRi (dynes/sec·m2/cm−5) | 2215.38 (1662.22–2818.33) | 2260.34 (1813.33–2845.33) | 0.404 | 2106.44 (1646.41–2602.21) | 2278.6 (1792–2871.11) | 0.058 | 2224.9 (1673.51–2801.78) | 2270.12 (1851.71–2948.41) | 0.207 |
| PVRi (dynes/sec·m2/cm−5) | 294.85 (160–493.71) | 304.79 (180.4–453.33) | 0.903 | 304.79 (159.22–441.35) | 298.54 (178.18–493.71) | 0.793 | 300.38 (175.11–454.56) | 310.48 (170.67–528.81) | 0.214 |
| LVSWi (gm-m/m2/beat) | 22.91 (15.47–28.38) | 15.84 (11.45–24.53) | <0.001 | 21.11 (13.38–28.28) | 17.8 (12.6–26.18) | 0.117 | 21.47 (13.86–28.22) | 14.61 (11.21–23.85) | <0.001 |
| RVSWi (gm-m/m2/beat) | 4.52 (2.01–7.72) | 3.69 (2.15–6.01) | 0.026 | 3.92 (1.72–7.23) | 4.11 (2.29–6.91) | 0.762 | 4.28 (2.03–7.23) | 3.83 (2.29–6.88) | 0.742 |
| Time 6 h | |||||||||
| Heart rate (bpm) | 98 (88–110) | 98.85 (88–111) | 0.817 | 100 (90.9–111.5) | 98 (86–110) | 0.099 | 98 (88–110) | 99 (88–110) | 0.581 |
| SBP (mmHg) | 109 (100–120.73) | 105 (95–116) | 0.012 | 108.96 (99.5–120.37) | 105 (95–117) | 0.075 | 107.49 (99–119.91) | 104 (95–117) | 0.079 |
| DBP (mmHg) | 66 (57–73) | 61 (54–71) | 0.058 | 66 (56.77–71) | 62 (55–71) | 0.342 | 65.5 (56.77–73.5) | 60 (53–70) | 0.018 |
| MAP (mmHg) | 80 (73.67–86.67) | 77.17 (69.33–84) | 0.007 | 80.5 (71.81–86.46) | 77.67 (70–84.33) | 0.081 | 79.33 (71.15–85.83) | 76 (69.33–84) | 0.014 |
| RAP (mmHg) | 13 (10–17) | 14 (10–18) | 0.167 | 13 (10–16) | 14 (10–18) | 0.026 | 14 (10–18) | 14 (10–17) | 0.731 |
| PCWP (mmHg) | 17 (12–22) | 18 (14–20) | 0.135 | 16 (12–20) | 18 (14–21) | 0.007 | 17 (13–21) | 17 (15–21) | 0.618 |
| PASP (mmHg) | 34 (28–42) | 35 (30–42) | 0.562 | 33 (28–40) | 36 (30–43) | 0.012 | 35 (29–42) | 35 (30–42) | 0.707 |
| PADP (mmHg) | 20 (16–24) | 21 (17–26) | 0.08 | 20 (16–24) | 21 (17–26) | 0.033 | 20 (17–25) | 21 (17–25) | 0.233 |
| mPAP (mmHg) | 25 (21–30) | 26 (22–30) | 0.386 | 24 (20–28) | 26 (22–31) | 0.004 | 25 (21–30) | 36 (22–31) | 0.117 |
| Cardiac output (L/min) | 4.7 (3.91–5.77) | 4.14 (3.6–5.2) | 0.002 | 4.8 (3.89–5.9) | 4.24 (3.6–5.3) | 0.005 | 4.56 (3.7–5.7) | 4.1 (3.6–5.1) | 0.063 |
| Cardiac index (L/min/m2) | 2.71 (2.28–3.15) | 2.34 (1.96–2.91) | 0.001 | 2.71 (2.2–3.26) | 2.4 (2.03–2.94) | 0.004 | 2.58 (2.07–3.17) | 2.37 (1.96–2.76) | 0.023 |
| Cardiac power (W) | 0.84 (0.68–1.06) | 0.74 (0.56–0.93) | 0.001 | 0.85 (0.69–1.1} | 0.76 (0.59–0.93) | 0.003 | 0.82 (0.64–1.05) | 0.73 (0.59–0.9) | 0.01 |
| Cardiac power index (W/m2) | 0.48 (0.39–0.58) | 0.4 (0.32–0.53) | <0.001 | 0.5 (0.37–0.59) | 0.41 (0.33–53) | 0.003 | 0.46 (0.36–0.58) | 0.4 (0.32–0.5) | 0.003 |
| CPI(RAP) (W) | 0.4 (0.32–0.49) | 0.33 (0.26–0.44) | <0.001 | 0.41 (0.31–0.52) | 0.35 (0.27–0.44) | 0.001 | 0.39 (0.28–0.49) | 0.33 (0.26–0.41) | 0.001 |
| Perfusion pressure (mmHg) | 67 (58.33–75.67) | 61.88 (55.33–71) | 0.002 | 67.65 (58.17–75.33) | 62 (55.33–72) | 0.009 | 66.5 (57–74) | 61.33 (54–69.67) | 0.007 |
| PAPi | 1.18 (0.6–1.91) | 1.07 (0.63–1.41) | 0.114 | 1.08 (0.62–1.65) | 1.12 (0.63–1.6) | 0.846 | 1.11 (0.64–1.72) | 1.1 (0.58–1.54) | 0.312 |
| Stroke volume (mL) | 48.75 (38.91–61.26) | 42.54 (34.56–57.14) | 0.008 | 47.65 (38.95–61.88) | 43.75 (35.66–57.66) | 0.085 | 47.1 (35.97–61.76) | 43.41 (36.13–53.54) | 0.062 |
| Stroke volume index (mL/m2) | 27.24 (21.79–34.29) | 23.28 (18.83–32.19) | 0.006 | 26.55 (21.06–34.73) | 23.53 (19.57–32.79) | 0.113 | 25.73 (20.3–34.07) | 22.85 (19.76–30.07) | 0.021 |
| SVR (dynes/secs/cm−5) | 1125.93 (869.57–1377.78) | 1200.23 (913.68–1500.95) | 0.118 | 1131.34 (859.82–1394.2) | 1190.7 (945.74–1468.64) | 0.145 | 1168.51 (901.64–1458.96) | 1171.93 (916.36–1422.22) | 0.902 |
| PVR (dynes/sec/cm−5) | 145.45 (88.08–222.22) | 156.67 (97.56–239.81) | 0.296 | 131.8 (80.27–204.76) | 158.84 (95.52–240) | 0.096 | 139.36 (82.69–209.11) | 172.55 (102.56–266.67) | 0.017 |
| SVRi (dynes/sec·m2/cm−5) | 2000 (1627.69–2423.19) | 2122.67 (1761.82–2581.9) | 0.132 | 1980.2 (1567.28–2432.84) | 2117.87 (1761.82–2544.57) | 0.111 | 2057.57 (1625.84–2512.94) | 2117.87 (1741.22–2470.83) | 0.653 |
| PVRi (dynes/sec·m2/cm−5) | 256.6 (160–406.76) | 273.12 (171.94–443.48) | 0.31 | 239.75 (157.42–360.72) | 274.54 (174.55–438.3) | 0.114 | 252.11 (151.3–362.51) | 304 (193.85–469.24) | 0.012 |
| LVSWi (gm-m/m2/beat) | 24.26 (17.18–30.54) | 18.97 (14.42–26.06) | <0.001 | 23.85 (16.17–31.06) | 20.38 (14.99–27.38) | 0.017 | 22.35 (15.83–30.95) | 19.34 (14.37–24.38) | 0.004 |
| RVSWi (gm-m/m2/beat) | 4.66 (2.49–6.52) | 3.74 (2.03–5.47) | 0.054 | 3.9 (2.42–5.92) | 4.24 (2.15–6.13) | 0.841 | 4.13 (2.04–6.77) | 4.01 (2.44–5.27) | 0.867 |
| Time 12 h | |||||||||
| Heart rate (bpm) | 98 (86–110) | 96 (87–112) | 0.942 | 98 (87–111) | 96 (88–111) | 0.832 | 96 (88–111) | 98 (87–113) | 0.807 |
| SBP (mmHg) | 108 (100–119) | 104 (95–114) | 0.025 | 108 (100–116) | 104 (96–115) | 0.102 | 108 (99–120) | 102 (94–110) | 0.001 |
| DBP (mmHg) | 66 (58–74) | 63 (56–71) | 0.109 | 66 (55–72) | 63 (56–72) | 0.335 | 64 (57–74) | 63 (55–69) | 0.025 |
| MAP (mmHg) | 80 (73.33–87) | 76.83 (70.33–85) | 0.024 | 80 (72.67–86.83) | 77 (70.67–85.33) | 0.135 | 80 (72.67–87) | 75 (69.33–82) | 0.002 |
| RAP (mmHg) | 13 (9–16) | 14 (11–18) | 0.007 | 12.15 (10–16) | 14 (10–17) | 0.042 | 13 (10–17) | 13 (10–16) | 0.982 |
| PCWP (mmHg) | 17 (13–21) | 17 (14–21) | 0.411 | 17 (13–20) | 17 (14–21) | 0.139 | 17 (14–21) | 18 (14–21) | 0.437 |
| PASP (mmHg) | 36 (29–45) | 37 (30–44) | 0.811 | 35 (29–43) | 37 (29–46) | 0.177 | 37 (29–44) | 36 (29–46) | 0.863 |
| PADP (mmHg) | 21 (17–25) | 22 (18–27) | 0.716 | 21 (18–25) | 22 (17–27) | 0.38 | 22 (18–26) | 21 (17–25) | 0.848 |
| mPAP (mmHg) | 27 (21–31) | 26 (21–32) | 0.834 | 25 (20–30) | 27 (22–32) | 0.069 | 26 (21–32) | 27 (20–32) | 0.75 |
| Cardiac output (L/min) | 5 (4.17–6.08) | 4.55 (3.6–5.5) | 0.004 | 5.07 (4.13–6.2) | 4.6 (3.8–5.4) | 0.004 | 4.8 (3.9–5.9) | 4.55 (3.7–5.38) | 0.158 |
| Cardiac index (L/min/m2) | 2.84 (2.35–3.24) | 2.47 (2.03–2.94) | 0.001 | 2.9 (2.4–3.25) | 2.52 (2.14–2.97) | 0.001 | 2.72 (2.22–3.19) | 2.52 (2.14–2.95) | 0.081 |
| Cardiac power (W) | 0.89 (0.71–1.06) | 0.78 (0.6–0.95) | 0.002 | 0.86 (0.72–1.11) | 0.79 (0.63–0.98) | 0.007 | 0.85 (0.66–1.06) | 0.78 (0.59–0.92) | 0.005 |
| Cardiac power index (W/m2) | 0.49 (0.4–0.59) | 0.43 (0.34–0.53) | 0.001 | 0.49 (0.4–0.6) | 0.44 (0.35–0.54) | 0.004 | 0.49 (0.39–0.58) | 0.41 (0.35–0.5) | 0.002 |
| CPI(RAP) (W) | 0.42 (0.32–0.5) | 0.35 (0.27–0.44) | <0.001 | 0.42 (0.34–0.5) | 0.36 (0.28–0.45) | 0.002 | 0.41 (0.31–0.5) | 0.34 (0.28–0.42) | 0.001 |
| Perfusion pressure (mmHg) | 67.67 (60–75) | 62.52 (54.33–71) | 0.001 | 67 (59.41–75) | 62.67 (55–72) | 0.03 | 66.83 (57.83–74.33) | 61.33 (54.33–69) | 0.002 |
| PAPi | 1.23 (0.8–2) | 1.06 (0.73–1.62) | 0.058 | 1.17 (0.77–1.73) | 1.13 (0.74–1.8) | 0.653 | 1.14 (0.74–1.87) | 1.14 (0.78–1.62) | 0.81 |
| Stroke volume (mL) | 49.59 (41.01–62.2) | 45.85 (36.07–58.33) | 0.012 | 51.33 (38.64–65.1) | 46.51 (38.02–57.97) | 0.019 | 48.54 (38.76–61.59) | 45.92 (37.78–56.96) | 0.167 |
| Stroke volume index (mL/m2) | 29.22 (23.92–34.31) | 25.39 (20.27–31.45) | 0.005 | 29.63 (23.37–35.92) | 25.96 (21.08–31.48) | 0.011 | 27.21 (22.14–34.39) | 25.45 (20.15–31.71) | 0.116 |
| SVR (dynes/sec/cm−5) | 1075.71 (894.62–1320.07) | 1080.89 (882.05–1422.22) | 0.514 | 1020.91 (836.98–1310.45) | 1106.67 (896.97–1410.97) | 0.142 | 1074.89 (879.58–1388.89) | 1079.07 (905.78–1320.07) | 0.989 |
| PVR (dynes/sec/cm−5) | 145.45 (84.21–222.12) | 162.36 (95.93–233.04) | 0.368 | 138.59 (79.7–198.51) | 160 (93.33–241.86) | 0.088 | 145.45 (90.44–218.33) | 163.64 (88.89–233.33) | 0.54 |
| SVRi (dynes/sec·m2/cm−5) | 1860.55 (1629.4–2348.82) | 1956.65 (1633.75–2442.22) | 0.41 | 1851.3 (1569.23–2227.65) | 1955.56 (1644–2464) | 0.105 | 1882.14 (1641.49–2432.2) | 1987.11 (1604.27–2365.71) | 0.924 |
| PVRi (dynes/sec·m2/cm−5) | 257.14 (147–411.67) | 294.64 (163.33–409.66) | 0.353 | 255.32 (133.32–362.1) | 288.26 (163.02–435.35) | 0.098 | 259.71 (161.96–403.14) | 292.17 (161.68–417.28) | 0.557 |
| LVSWi (gm-m/m2/beat) | 23.7 (19.05–30.97) | 20.66 (15.54–26.72) | 0.002 | 25.27 (17.91–31.75) | 21.63 (16.26–26.72) | 0.006 | 23.47 (17.31–30.83) | 20.57 (15.8–25.63) | 0.002 |
| RVSWi (gm-m/m2/beat) | 5.08 (3.3–7.6) | 4.03 (2.04–6.59) | 0.003 | 4.84 (3.22–6.57) | 4.34 (2.42–7.16) | 0.435 | 4.81 (2.44–7.11) | 4.33 (2.94–6.76) | 0.699 |
| Time 24 h | |||||||||
| Heart rate (bpm) | 96 (85–110) | 98 (87–114) | 0.219 | 97 (86–111) | 97 (85–110) | 0.645 | 96 (87–110) | 98 (85–111) | 0.849 |
| SBP (mmHg) | 108 (98–121) | 103 (92–113) | 0.008 | 108 (100–118) | 103 (93–114) | 0.012 | 107 (98–116) | 101 (91–114) | 0.014 |
| DBP (mmHg) | 65 (58–71) | 60 (55–69) | 0.038 | 66 (58–72) | 60 (55–69) | 0.006 | 65 (57–70) | 59 (54–67) | 0.002 |
| MAP (mmHg) | 80.33 (72.33–87) | 74.68 (68.97–83.33) | 0.006 | 80.73 (72.67–87.67) | 75.67 (68.77–83.67) | 0.003 | 79.83 (71.33–86.33) | 72.67 (67.09–81.33) | 0.001 |
| RAP (mmHg) | 13 (10–16) | 14 (11–17) | 0.037 | 13 (10–16) | 14 (11–17) | 0.307 | 13 (10–17) | 14 (10–17) | 0.777 |
| PCWP (mmHg) | 16 (14–20) | 18 (15–22) | 0.006 | 16 (14–20) | 18 (14–22) | 0.04 | 17 (14–20) | 18 (15–22) | 0.151 |
| PASP (mmHg) | 36 (29–45) | 38 (30–47) | 0.464 | 35 (29–42) | 38 (30–47) | 0.218 | 36 (29–46) | 38 (32–47) | 0.119 |
| PADP (mmHg) | 20 (17–25) | 22 (18–27) | 0.078 | 20 (17–26) | 22 (18–27) | 0.243 | 20 (16–26) | 23 (18–28) | 0.054 |
| mPAP (mmHg) | 26 (22–31) | 27 (22–33) | 0.266 | 25 (22–30) | 27 (23–33) | 0.134 | 25 (22–32) | 27 (24–32) | 0.075 |
| Cardiac output (L/min) | 5.1 (4–6.28) | 4.68 (3.8–5.65) | 0.024 | 5.15 (4.2–6.3) | 4.7 (3.84–5.86) | 0.02 | 4.9 (4–6.15) | 4.7 (3.9–5.6) | 0.098 |
| Cardiac index (L/min/m2) | 2.89 (2.29–3.4) | 2.54 (2.17–3.08) | 0.01 | 2.84 (2.44–3.39) | 2.55 (2.16–3.16) | 0.012 | 2.77 (2.25–3.3) | 2.54 (2.2–3.02) | 0.073 |
| Cardiac power (W) | 0.89 (0.71–1.16) | 0.8 (0.63–0.98) | 0.002 | 0.88 (0.73–1.15) | 0.8 (0.63–0.99) | 0.002 | 0.86 (0.67–1.13) | 0.77 (0.62–0.93) | 0.011 |
| Cardiac power index (W/m2) | 0.5 (0.4–0.64) | 0.44 (0.34–0.54) | 0.002 | 0.49 (0.41–0.64) | 0.44 (0.34–0.56) | 0.002 | 0.48 (0.38–0.63) | 0.44 (0.35–0.51) | 0.006 |
| CPI(RAP) (W) | 0.41 (0.34–0.53) | 0.36 (0.28–0.46) | <0.001 | 0.41 (0.33–0.55) | 0.37 (0.28–0.46) | 0.002 | 0.4 (0.31–0.51) | 0.36 (0.28–0.42) | 0.002 |
| Perfusion pressure (mmHg) | 66.33 (57.34–74) | 59.67 (54–69.67) | <0.001 | 66.71 (58.33–74.46) | 60.67 (54–70.33) | 0.002 | 65 (56.5–72.93) | 58.33 (53.33–67.33) | 0.001 |
| PAPi | 1.31 (0.86–1.82) | 1.09 (0.71–1.67) | 0.071 | 1.3 (0.85–1.72) | 1.15 (0.75–1.76) | 0.71 | 1.21 (0.77–1.76) | 1.15 (0.75–1.76) | 0.932 |
| Stroke volume (mL) | 53.75 (40.48–65.88) | 46.87 (39.26–60.19) | 0.021 | 52.14 (41.39–67.71) | 48.6 (39.26–61.58) | 0.112 | 51.35 (40.33–64.69) | 47.73 (38.78–59.76) | 0.191 |
| Stroke volume index (mL/m2) | 29.87 (23.65–36.11) | 26.34 (22.49–33.22) | 0.012 | 29.19 (23.57–36.57) | 27 (22.65–33.54) | 0.107 | 28.59 (22.8–35.73) | 26.08 (23.4–32.52) | 0.125 |
| SVR (dynes/sec/cm−5) | 1048.89 (826.8–1270.78) | 1040.75 (835.9–1365.99) | 0.86 | 1046.18 (821.08–1271.05) | 1044.44 (838.1–1360) | 0.813 | 1060.22 (821.08–1358.66) | 1028.57 (851.74–1290.32) | 0.793 |
| PVR (dynes/sec/cm−5) | 141.18 (91.43–220) | 150.77 (92.41–212.68) | 0.789 | 132.34 (78.84–216.47) | 153.76 (101.59–213.33) | 0.137 | 147.97 (87.67–212.98) | 152.38 (105.66–213.9) | 0.321 |
| SVRi (dynes/sec·m2/cm−5) | 1880 (1537.85–2288.9) | 1948.51 (1522.58–2379.75) | 0.681 | 1849.85 (1554.09–2316.28) | 1946.06 (1491.67–2330.22) | 0.779 | 1917.26 (1543.83–2359.52) | 1885.4 (1525.33–2322.04) | 0.852 |
| PVRi (dynes/sec·m2/cm−5) | 259.05 (159.3–394.28) | 272 (170.31–366.31) | 0.829 | 247.62 (149.93–391.8) | 273.78 (177.82–374) | 0.217 | 258.52 (155.43–385) | 268 (197–371.59) | 0.249 |
| LVSWi (gm-m/m2/beat) | 25.49 (19.17–32.47) | 20.57 (15.92–27.83) | <0.001 | 25.2 (18.71–32.78) | 21.35 (15.99–27.91) | 0.005 | 24.29 (17.2–31.55) | 20.24 (17.15–25.4) | 0.004 |
| RVSWi (gm-m/m2/beat) | 5.14 (3.49–7.75) | 4.6 (2.34–6.18) | 0.02 | 4.99 (3.04–7.12) | 4.8 (2.79–6.54) | 0.433 | 4.83 (2.64–7.36) | 4.91 (3.59–6.25) | 0.948 |
Disclaimer/Publisher’s Note: The statements, opinions and data contained in all publications are solely those of the individual author(s) and contributor(s) and not of MDPI and/or the editor(s). MDPI and/or the editor(s) disclaim responsibility for any injury to people or property resulting from any ideas, methods, instructions or products referred to in the content. |
© 2023 by the authors. Licensee MDPI, Basel, Switzerland. This article is an open access article distributed under the terms and conditions of the Creative Commons Attribution (CC BY) license (https://creativecommons.org/licenses/by/4.0/).
Share and Cite
Ortega-Hernández, J.A.; González-Pacheco, H.; Argüello-Bolaños, J.; Arenas-Díaz, J.O.; Pérez-López, R.; García-Arias, M.R.; Gopar-Nieto, R.; Sierra-Lara-Martínez, D.; Araiza-Garaygordobil, D.; Manzur-Sandoval, D.; et al. Invasive Phenoprofiling of Acute-Myocardial-Infarction-Related Cardiogenic Shock. J. Clin. Med. 2023, 12, 5818. https://doi.org/10.3390/jcm12185818
Ortega-Hernández JA, González-Pacheco H, Argüello-Bolaños J, Arenas-Díaz JO, Pérez-López R, García-Arias MR, Gopar-Nieto R, Sierra-Lara-Martínez D, Araiza-Garaygordobil D, Manzur-Sandoval D, et al. Invasive Phenoprofiling of Acute-Myocardial-Infarction-Related Cardiogenic Shock. Journal of Clinical Medicine. 2023; 12(18):5818. https://doi.org/10.3390/jcm12185818
Chicago/Turabian StyleOrtega-Hernández, Jorge A., Héctor González-Pacheco, Jardiel Argüello-Bolaños, José Omar Arenas-Díaz, Roberto Pérez-López, Mario Ramón García-Arias, Rodrigo Gopar-Nieto, Daniel Sierra-Lara-Martínez, Diego Araiza-Garaygordobil, Daniel Manzur-Sandoval, and et al. 2023. "Invasive Phenoprofiling of Acute-Myocardial-Infarction-Related Cardiogenic Shock" Journal of Clinical Medicine 12, no. 18: 5818. https://doi.org/10.3390/jcm12185818
APA StyleOrtega-Hernández, J. A., González-Pacheco, H., Argüello-Bolaños, J., Arenas-Díaz, J. O., Pérez-López, R., García-Arias, M. R., Gopar-Nieto, R., Sierra-Lara-Martínez, D., Araiza-Garaygordobil, D., Manzur-Sandoval, D., Soliz-Uriona, L. A., Astudillo-Alvarez, G. M., Hernández-Montfort, J., & Arias-Mendoza, A. (2023). Invasive Phenoprofiling of Acute-Myocardial-Infarction-Related Cardiogenic Shock. Journal of Clinical Medicine, 12(18), 5818. https://doi.org/10.3390/jcm12185818

