Short-Term Outcomes of Faricimab Treatment in Aflibercept-Refractory Eyes with Neovascular Age-Related Macular Degeneration
Abstract
1. Introduction
2. Materials and Methods
2.1. Study Design and Participants
2.2. Treatment
2.3. Statistics Analyses
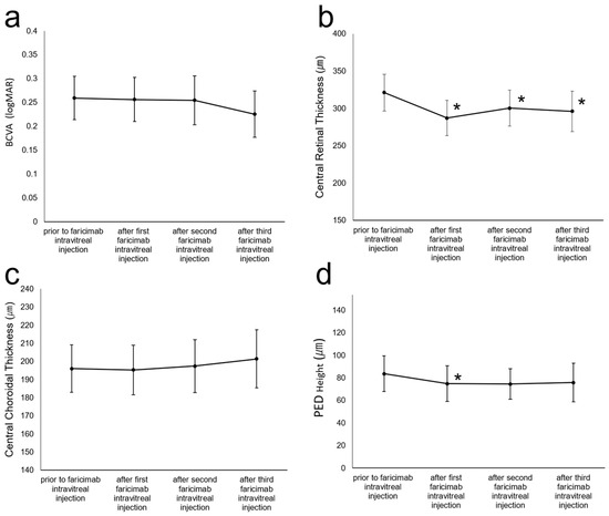
3. Results
4. Discussion
5. Conclusions
Author Contributions
Funding
Institutional Review Board Statement
Informed Consent Statement
Data Availability Statement
Conflicts of Interest
References
- Lim, L.S.; Mitchell, P.; Seddon, J.M.; Holz, F.G.; Wong, T.Y. Age-related macular degeneration. Lancet 2012, 379, 1728–1738. [Google Scholar] [CrossRef]
- Ohji, M.; Takahashi, K.; Okada, A.A.; Kobayashi, M.; Matsuda, Y.; Terano, Y.; ALTAIR Investigators. Efficacy and safety of intravitreal aflibercept treat-and-extend regimens in exudative age-related macular degeneration: 52- and 96-week findings from ALTAIR: A randomized controlled trial. Adv. Ther. 2020, 37, 1173–1187. [Google Scholar] [CrossRef]
- Ramakrishnan, M.S.; Yu, Y.; VanderBeek, B.L. Association of visit adherence and visual acuity in patients with neovascular age-related macular degeneration: Secondary analysis of the comparison of age-related macular degeneration treatment trial. JAMA Ophthalmol. 2020, 138, 237–242. [Google Scholar] [CrossRef]
- Heier, J.S.; Khanani, A.M.; Ruiz, C.Q.; Basu, K.; Ferrone, P.J.; Brittain, C.; Figueroa, M.S.; Lin, H.; Holz, F.G.; Patel, V.; et al. Efficacy, durability, and safety of intravitreal faricimab up to every 16 weeks for neovascular age-related macular degeneration (TENAYA and LUCERNE): Two randomised, double-masked, phase 3, non-inferiority trials. Lancet 2022, 399, 729–740. [Google Scholar] [CrossRef]
- Spaide, R.F.; Jaffe, G.J.; Sarraf, D.; Freund, K.B.; Sadda, S.R.; Staurenghi, G.; Waheed, N.K.; Chakravarthy, U.; Rosenfeld, P.J.; Holz, F.G.; et al. Consensus Nomenclature for Reporting Neovascular Age-Related Macular Degeneration Data: Consensus on Neovascular Age-Related Macular Degeneration Nomenclature Study Group. Ophthalmology 2020, 127, 616–636. [Google Scholar] [CrossRef]
- Rush, R.B.; Rush, S.W. Intravitreal faricimab for aflibercept-resistant neovascular age-related macular degeneration. Clin. Ophthalmol. 2022, 16, 4041–4046. [Google Scholar] [CrossRef]
- Stanga, P.E.; Valentín-Bravo, F.J.; Stanga, S.E.F.; Reinstein, U.I.; Pastor-Idoate, S.; Downes, S.M. Faricimab in neovascular AMD: First report of real-world outcomes in an independent retina clinic. Eye 2023. Online ahead of print. [Google Scholar] [CrossRef]
- Ahn, J.; Hwang, D.D.-J.; Sohn, J.H.; Son, G. Retinal pigment epithelium tears after anti-vascular endothelial growth factor therapy for neovascular age-related macular degeneration. Ophthalmologica 2022, 245, 1–9. [Google Scholar] [CrossRef]
- Chan, C.K.A.P.; Meyer, C.H.; Kokame, G.T.; Kaiser, P.K.; Rauser, M.E.; Gross, J.G.; Nuthi, A.S.; Lin, S.G.; Daher, N.S. Optical coherence tomography-measured pigment epithelial detachment height as a predictor for retinal pigment epithelial tears associated with intravitreal bevacizumab injections. Retina 2010, 30, 203–211. [Google Scholar] [CrossRef]
- Chan, C.K.M.C.; Gross, J.G.; Abraham, P.; Nuthi, A.S.; Kokame, G.T.; Lin, S.G.; Rauser, M.E.; Kaiser, P.K. Retinal pigment epithelial tears after intravitreal bevacizumab injection for neovascular age-related macular degeneration. Retina 2007, 27, 541–551. [Google Scholar] [CrossRef]
- Chiang, A.; Chang, L.K.; Yu, F.; Sarraf, D. Predictors of anti-VEGF-associated retinal pigment epithelial tear using FA and OCT analysis. Retina 2008, 28, 1265–1269. [Google Scholar] [CrossRef]
- Clemens, C.R.; Alten, F.; Eter, N. Reading the signs: Microrips as a prognostic sign for impending RPE tear development. Acta Ophthalmol. 2015, 93, e600–e602. [Google Scholar] [CrossRef]



| No. of Eyes | 55 | 
| Age (yrs), mean ± SD | 80.1 ± 7.0 | 
| Gender (male/female), no. | 34/21 | 
| Type of disease (types 1 & 2 MNV/PCV/type 3 MNV), no. | 38/16/1 | 
| Best-corrected visual acuity prior to faricimab injection (logMAR), mean ± SD | 0.26 ± 0.34 | 
| Central retinal thickness prior to faricimab injection (μm), mean ± SD | 319.7 ± 178.6 | 
| Central choroidal thickness prior to faricimab injection (μm), mean ± SD | 195.5 ± 94.7 | 
| PED elevation prior to faricimab injection (μm), mean ± SD | 82.6 ± 115.6 | 
| Follow-up duration from the first faricimab injection (weeks), mean ± SD | 16.1 ± 5.0 | 
| Treatment history before switching to faricimab | |
| The last treatment interval (weeks), mean ± SD | 5.9 ± 1.5 | 
| Treatment duration (months), mean ± SD | 55.4 ± 44.9 | 
| Aflibercept (injections), mean ± SD (range) | 23.7 ± 14.8 | 
| ≥8 Weeks (n = 16) | <8 Weeks (n = 39) | p Value | |
|---|---|---|---|
| Age, mean ± SD | 81.6 ± 6.7 | 79.5 ± 7.2 | 0.348 | 
| Gender (male/female) | 10/6 | 24/15 | 0.598 | 
| Type of disease (types 1 & 2 MNV/PCV/type 3 MNV), mean ± SD | 12/4/0 | 25/13/1 | 0.649 | 
| Best-corrected visual acuity prior to faricimab injection (logMAR), mean ± SD | 0.23 ± 0.37 | 0.27 ± 0.33 | 0.455 | 
| Central retinal thickness prior to faricimab injection (µm), mean ± SD | 312.2 ± 188.9 | 325.0 ± 180.9 | 0.470 | 
| Central choroidal thickness prior to faricimab injection (µm), mean ± SD | 223.7 ± 88.8 | 184.8 ± 98.1 | 0.120 | 
| PED elevation prior to faricimab injection (µm), mean ± SD | 98.5 ± 164.4 | 77.5 ± 93.8 | 0.353 | 
| The last treatment interval prior to faricimab injection (weeks), mean ± SD | 6.1 ± 1.7 | 5.7 ± 1.4 | 0.486 | 
| Treatment duration prior to faricimab injection (months), mean ± SD | 49.6 ± 39.3 | 59.7 ± 47.3 | 0.499 | 
| Number of aflibercept injections prior to faricimab injection, mean ± SD | 21.4 ± 13.7 | 24.5 ± 15.3 | 0.321 | 
| Disclaimer/Publisher’s Note: The statements, opinions and data contained in all publications are solely those of the individual author(s) and contributor(s) and not of MDPI and/or the editor(s). MDPI and/or the editor(s) disclaim responsibility for any injury to people or property resulting from any ideas, methods, instructions or products referred to in the content. | 
© 2023 by the authors. Licensee MDPI, Basel, Switzerland. This article is an open access article distributed under the terms and conditions of the Creative Commons Attribution (CC BY) license (https://creativecommons.org/licenses/by/4.0/).
Share and Cite
Kishi, M.; Miki, A.; Kamimura, A.; Okuda, M.; Matsumiya, W.; Imai, H.; Kusuhara, S.; Nakamura, M. Short-Term Outcomes of Faricimab Treatment in Aflibercept-Refractory Eyes with Neovascular Age-Related Macular Degeneration. J. Clin. Med. 2023, 12, 5145. https://doi.org/10.3390/jcm12155145
Kishi M, Miki A, Kamimura A, Okuda M, Matsumiya W, Imai H, Kusuhara S, Nakamura M. Short-Term Outcomes of Faricimab Treatment in Aflibercept-Refractory Eyes with Neovascular Age-Related Macular Degeneration. Journal of Clinical Medicine. 2023; 12(15):5145. https://doi.org/10.3390/jcm12155145
Chicago/Turabian StyleKishi, Maya, Akiko Miki, Aya Kamimura, Mina Okuda, Wataru Matsumiya, Hisanori Imai, Sentaro Kusuhara, and Makoto Nakamura. 2023. "Short-Term Outcomes of Faricimab Treatment in Aflibercept-Refractory Eyes with Neovascular Age-Related Macular Degeneration" Journal of Clinical Medicine 12, no. 15: 5145. https://doi.org/10.3390/jcm12155145
APA StyleKishi, M., Miki, A., Kamimura, A., Okuda, M., Matsumiya, W., Imai, H., Kusuhara, S., & Nakamura, M. (2023). Short-Term Outcomes of Faricimab Treatment in Aflibercept-Refractory Eyes with Neovascular Age-Related Macular Degeneration. Journal of Clinical Medicine, 12(15), 5145. https://doi.org/10.3390/jcm12155145
 
         
                                                

 
       