Free-Flap Reconstruction in Early-Stage Squamous Cell Carcinoma of the Oral Cavity—A Prospective Monocentric Trial to Evaluate Oncological Outcome and Quality of Life
Abstract
1. Introduction
2. Materials and Methods
2.1. Study Protocol
- Histologically confirmed diagnosis of a primary squamous cell carcinoma (SCC) of the oral cavity (stage I or II);
- Clinically negative neck-node status;
- No history of other malignancies;
- Minimum age of 18 years;
- Patient’s approval;
- Ability to understand the character and the consequences of the trial.
- Advanced clinical tumor stage (Stage III/IV);
- Advanced pathological tumor stage (Stage III/IV);
- Minor patients (age < 18 years);
- Patients with legal assistance;
- Positive history of malignant diseases.
2.2. Statistics
3. Results
3.1. Patient Cohort
3.2. Reconstructive Procedures
3.3. Perioperative Data and Time of Hospitalization
3.4. Oncological Outcome
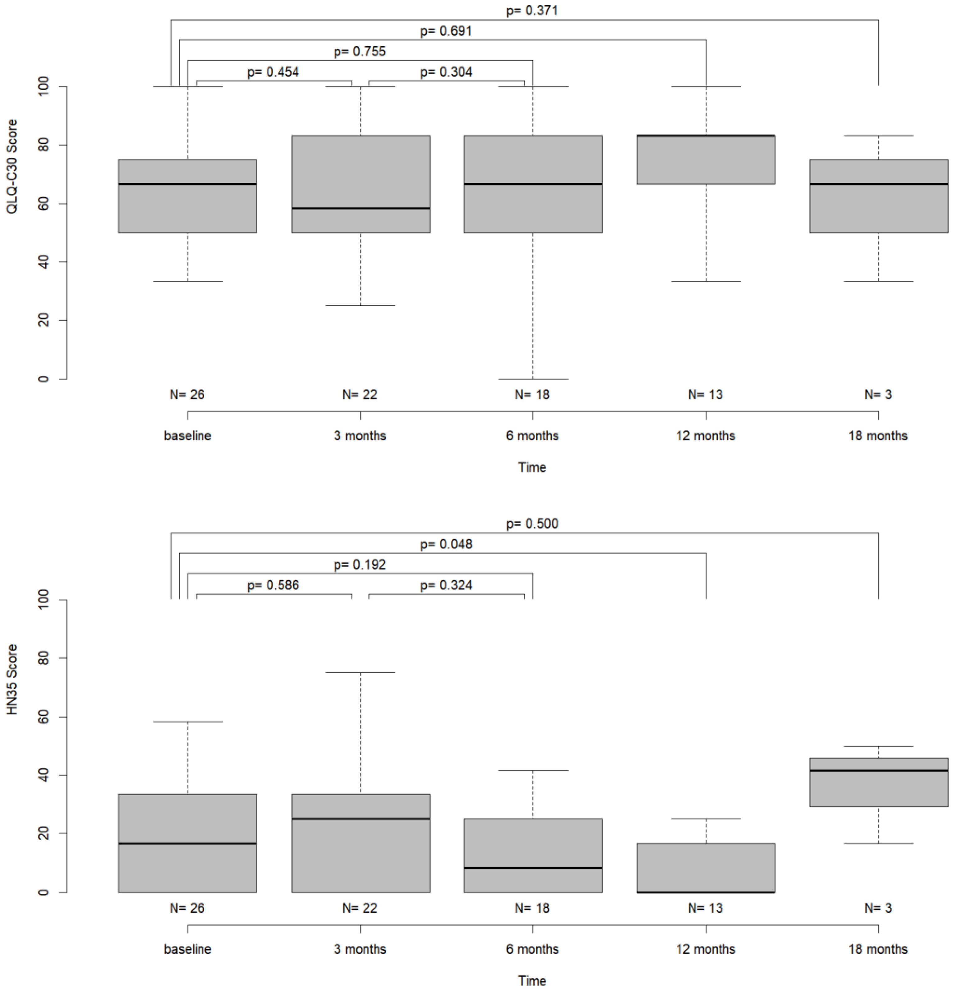
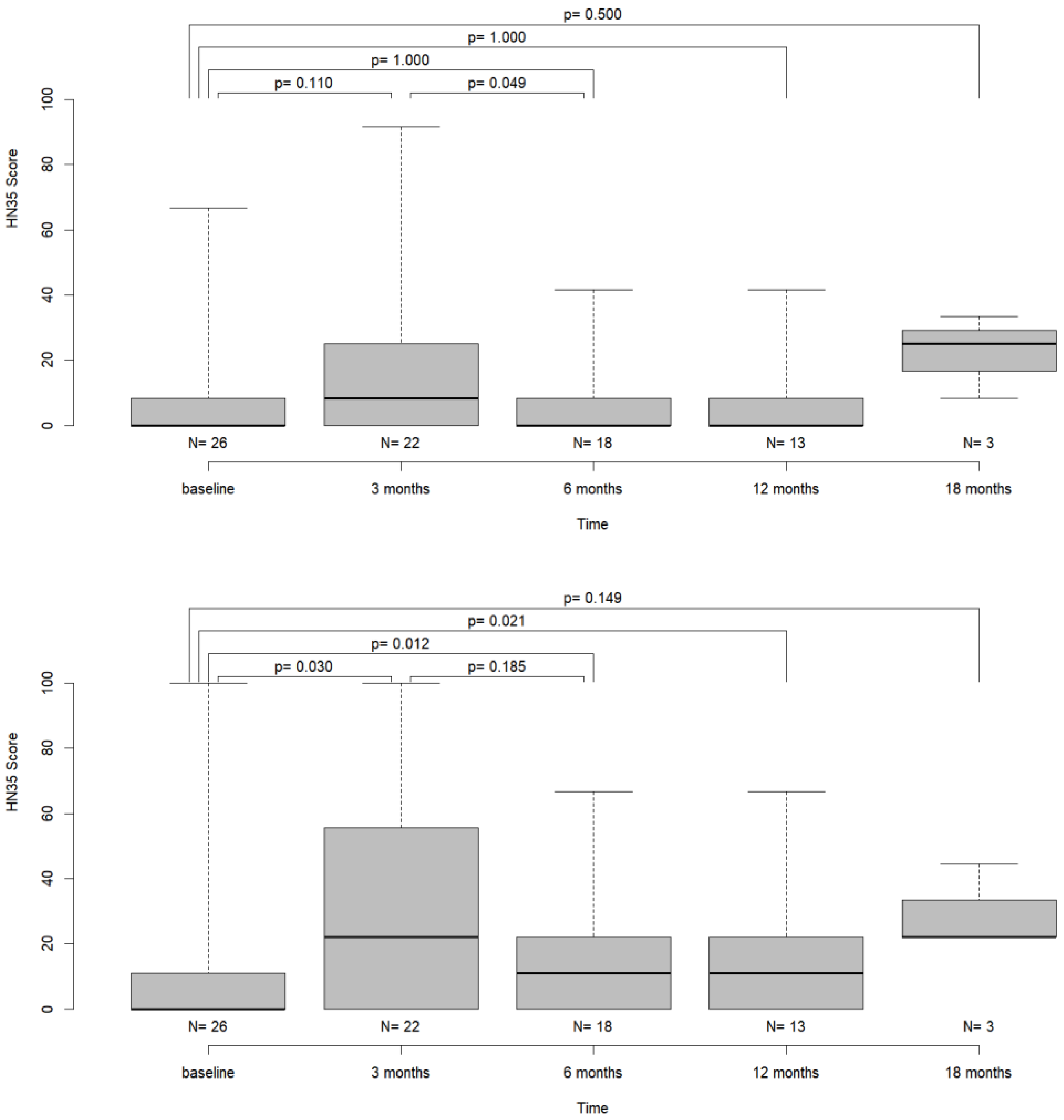
3.5. Pre- and Postoperative Quality of Life
4. Discussion
5. Conclusions
Supplementary Materials
Author Contributions
Funding
Institutional Review Board Statement
Informed Consent Statement
Data Availability Statement
Acknowledgments
Conflicts of Interest
References
- Ferlay, J.; Shin, H.R.; Bray, F.; Forman, D.; Mathers, C.; Parkin, D.M. Estimates of worldwide burden of cancer in 2008: GLOBOCAN 2008. Int. J. Cancer 2010, 127, 2893–2917. [Google Scholar] [CrossRef] [PubMed]
- Ferlay, J.; Soerjomataram, I.; Dikshit, R.; Eser, S.; Mathers, C.; Rebelo, M.; Parkin, D.M.; Forman, D.; Bray, F. Cancer incidence and mortality worldwide: Sources, methods and major patterns in GLOBOCAN 2012. Int. J. Cancer 2015, 136, E359–E386. [Google Scholar] [CrossRef] [PubMed]
- Siegel, R.L.; Miller, K.D.; Jemal, A. Cancer statistics, 2018. CA Cancer J. Clin. 2018, 68, 7–30. [Google Scholar] [CrossRef]
- Pignon, J.P.; le Maitre, A.; Maillard, E.; Bourhis, J.; Group, M.-N.C. Meta-analysis of chemotherapy in head and neck cancer (MACH-NC): An update on 93 randomised trials and 17,346 patients. Radiother. Oncol. 2009, 92, 4–14. [Google Scholar] [CrossRef]
- Kligerman, J.; Lima, R.A.; Soares, J.R.; Prado, L.; Dias, F.L.; Freitas, E.Q.; Olivatto, L.O. Supraomohyoid neck dissection in the treatment of T1/T2 squamous cell carcinoma of oral cavity. Am. J. Surg. 1994, 168, 391–394. [Google Scholar] [CrossRef]
- Akhtar, S.; Ikram, M.; Ghaffar, S. Neck involvement in early carcinoma of tongue. Is elective neck dissection warranted? J. Pak. Med. Assoc. 2007, 57, 305–307. [Google Scholar] [PubMed]
- D’Cruz, A.K.; Vaish, R.; Kapre, N.; Dandekar, M.; Gupta, S.; Hawaldar, R.; Agarwal, J.P.; Pantvaidya, G.; Chaukar, D.; Deshmukh, A.; et al. Elective versus Therapeutic Neck Dissection in Node-Negative Oral Cancer. N. Engl. J. Med. 2015, 373, 521–529. [Google Scholar] [CrossRef]
- Kansy, K.; Hoffmann, J.; Alhalabi, O.; Mistele, N.; Freier, K.; Shavlokhova, V.; Mertens, C.; Freudlsperger, C.; Engel, M. Long-term donor site morbidity in head and neck cancer patients and its impact on quality of life: A cross-sectional study. Int. J. Oral Maxillofac. Surg. 2019, 48, 875–885. [Google Scholar] [CrossRef] [PubMed]
- Lu, C.C.; Tsou, Y.A.; Hua, C.H.; Tsai, M.H. Free flap reconstruction for early stage tongue squamous cell carcinoma: Surgical margin and recurrence. Acta Otolaryngol. 2018, 138, 945–950. [Google Scholar] [CrossRef]
- Bressmann, T.; Sader, R.; Whitehill, T.L.; Samman, N. Consonant intelligibility and tongue motility in patients with partial glossectomy. J. Oral Maxillofac. Surg. 2004, 62, 298–303. [Google Scholar] [CrossRef]
- Romer, C.A.E.; Broglie Daeppen, M.A.; Mueller, M.; Huber, G.F.; Guesewell, S.; Stoeckli, S.J. Long-term speech and swallowing function after primary resection and sentinel node biopsy for early oral squamous cell carcinoma. Oral Oncol. 2019, 89, 127–132. [Google Scholar] [CrossRef]
- McConnel, F.M.; Pauloski, B.R.; Logemann, J.A.; Rademaker, A.W.; Colangelo, L.; Shedd, D.; Carroll, W.; Lewin, J.; Johnson, J. Functional results of primary closure vs flaps in oropharyngeal reconstruction: A prospective study of speech and swallowing. Arch. Otolaryngol. Head Neck Surg. 1998, 124, 625–630. [Google Scholar] [CrossRef] [PubMed]
- Ji, Y.B.; Cho, Y.H.; Song, C.M.; Kim, Y.H.; Kim, J.T.; Ahn, H.C.; Tae, K. Long-term functional outcomes after resection of tongue cancer: Determining the optimal reconstruction method. Eur. Arch. Otorhinolaryngol. 2017, 274, 3751–3756. [Google Scholar] [CrossRef]
- Aaronson, N.K.; Ahmedzai, S.; Bergman, B.; Bullinger, M.; Cull, A.; Duez, N.J.; Filiberti, A.; Flechtner, H.; Fleishman, S.B.; de Haes, J.C.; et al. The European Organization for Research and Treatment of Cancer QLQ-C30: A quality-of-life instrument for use in international clinical trials in oncology. J. Natl. Cancer Inst. 1993, 85, 365–376. [Google Scholar] [CrossRef] [PubMed]
- Fayers, P.; Aaronson, N.K.; Bjordal, K.; Groenvold, M.; Curran, D. EORTC QLQ-C30 Scoring Manual; European Organisation for Research and Treatment of Cancer: Brussels, Belgium, 2001; Volume 3. [Google Scholar]
- Horn, D.; Zittel, S.; Moratin, J.; Metzger, K.; Ristow, O.; Krisam, J.; Bodem, J.; Engel, M.; Freudlsperger, C.; Hoffmann, J.; et al. Prospective feasibility analysis of salvage surgery in recurrent oral cancer in terms of quality of life. Oral Oncol. 2020, 102, 104580. [Google Scholar] [CrossRef]
- Lydick, E.; Epstein, R.S. Interpretation of quality of life changes. Qual. Life Res. 1993, 2, 221–226. [Google Scholar] [CrossRef] [PubMed]
- Jaeschke, R.; Singer, J.; Guyatt, G.H. Measurement of health status. Ascertaining the minimal clinically important difference. Control Clin. Trials 1989, 10, 407–415. [Google Scholar] [CrossRef] [PubMed]
- Cocks, K.; King, M.T.; Velikova, G.; Martyn St-James, M.; Fayers, P.M.; Brown, J.M. Evidence-based guidelines for determination of sample size and interpretation of the European Organisation for the Research and Treatment of Cancer Quality of Life Questionnaire Core 30. J. Clin. Oncol. 2011, 29, 89–96. [Google Scholar] [CrossRef]
- Wan Leung, S.; Lee, T.F.; Chien, C.Y.; Chao, P.J.; Tsai, W.L.; Fang, F.M. Health-related quality of life in 640 head and neck cancer survivors after radiotherapy using EORTC QLQ-C30 and QLQ-H&N35 questionnaires. BMC Cancer 2011, 11, 128. [Google Scholar] [CrossRef]
- Bjordal, K.; de Graeff, A.; Fayers, P.M.; Hammerlid, E.; van Pottelsberghe, C.; Curran, D.; Ahlner-Elmqvist, M.; Maher, E.J.; Meyza, J.W.; Bredart, A.; et al. A 12 country field study of the EORTC QLQ-C30 (version 3.0) and the head and neck cancer specific module (EORTC QLQ-H&N35) in head and neck patients. EORTC Quality of Life Group. Eur. J. Cancer 2000, 36, 1796–1807. [Google Scholar] [CrossRef]
- Jansen, F.; Snyder, C.F.; Leemans, C.R.; Verdonck-de Leeuw, I.M. Identifying cutoff scores for the EORTC QLQ-C30 and the head and neck cancer-specific module EORTC QLQ-H&N35 representing unmet supportive care needs in patients with head and neck cancer. Head Neck 2016, 38 (Suppl. S1), E1493–E1500. [Google Scholar] [CrossRef] [PubMed]
- Aarstad, H.J.; Osthus, A.A.; Aarstad, H.H.; Lybak, S.; Aarstad, A.K.H. EORTC Quality of Life Questionnaire Head and Neck (H&N)-35 scores from H&N squamous cell carcinoma patients obtained at diagnosis and at 6, 9 and 12 months following diagnosis predict 10-year overall survival. Eur. Arch. Otorhinolaryngol. 2019, 276, 3495–3505. [Google Scholar] [CrossRef]
- Sherman, A.C.; Simonton, S.; Adams, D.C.; Vural, E.; Owens, B.; Hanna, E. Assessing quality of life in patients with head and neck cancer: Cross-validation of the European Organization for Research and Treatment of Cancer (EORTC) Quality of Life Head and Neck module (QLQ-H&N35). Arch. Otolaryngol. Head Neck Surg. 2000, 126, 459–467. [Google Scholar] [CrossRef]
- Patro, S.K.; Panda, N.K.; Bakshi, J.; Verma, R.K.; Kumar, P.; Gaba, S.; John, J.R. Quality of Life in Patients with Reconstructions After Resections for Oral Cavity Cancers. Indian J. Otolaryngol. Head Neck Surg. 2019, 71, 291–300. [Google Scholar] [CrossRef] [PubMed]
- Viana, T.S.A.; Silva, P.G.B.; Pereira, K.M.A.; Mota, M.R.L.; Alves, A.; de Souza, E.F.; Sousa, F.B. Prospective Evaluation of Quality of Life in Patients Undergoing Primary Surgery for Oral Cancer: Preoperative and Postoperative Analysis. Asian Pac. J. Cancer Prev. 2017, 18, 2093–2100. [Google Scholar] [CrossRef] [PubMed]
- Lee, D.Y.; Ryu, Y.J.; Hah, J.H.; Kwon, T.K.; Sung, M.W.; Kim, K.H. Long-term subjective tongue function after partial glossectomy. J. Oral Rehabil. 2014, 41, 754–758. [Google Scholar] [CrossRef]
- Min, S.K.; Choi, S.W.; Ha, J.; Park, J.Y.; Won, Y.J.; Jung, K.W. Conditional relative survival of oral cavity cancer: Based on Korean Central Cancer Registry. Oral Oncol. 2017, 72, 73–79. [Google Scholar] [CrossRef]
- Siegel, R.L.; Miller, K.D.; Jemal, A. Cancer Statistics, 2017. CA Cancer J. Clin. 2017, 67, 7–30. [Google Scholar] [CrossRef]
- Moratin, J.; Metzger, K.; Engel, M.; Hoffmann, J.; Freudlsperger, C.; Freier, K.; Horn, D. The occurrence of cervical metastases in squamous cell carcinoma of the tongue: Is there a rationale for bilateral neck dissection in early-stage tumors? J. Craniomaxillofac. Surg. 2019, 47, 1134–1138. [Google Scholar] [CrossRef]
- Thiele, O.C.; Seeberger, R.; Flechtenmacher, C.; Hofele, C.; Freier, K. The role of elective supraomohyoidal neck dissection in the treatment of early, node-negative oral squamous cell carcinoma (OSCC): A retrospective analysis of 122 cases. J. Craniomaxillofac. Surg. 2012, 40, 67–70. [Google Scholar] [CrossRef]





| Parameter | n (%) |
|---|---|
| Gender | |
| Female | 10 (38.5) |
| Male | 16 (61.5) |
| Age | |
| <65 years | 13 (50) |
| >65 years | 13 (50) |
| Pathological T Stadium | |
| T1 | 18 (69.2) |
| T2 | 8 (30.8) |
| T3 | - |
| T4 | - |
| N Stadium | |
| 0 | 26 (100) |
| 1 | - |
| 2a | - |
| 2b | - |
| 2c | - |
| 3 | - |
| M Stadium | |
| 0 | 26 (100) |
| 1 | 0 |
| UICC | |
| 1 | 18 (69.2) |
| 2 | 8 (30.8) |
| 3 | - |
| 4 | - |
| Differentiation Grade | |
| 1 | 6 (23.1) |
| 2 | 14 (53.8) |
| 3 | 2 (7.7) |
| Missing | 4 (15.4) |
| R | |
| 0 | 26 (100) |
| 1 | - |
| Localization | |
| Floor of the mouth | 5 (19.2) |
| Tongue | 11 (42.3) |
| Maxilla | 5 (19.2) |
| Buccal Plane | 5 (19.2) |
| Disease Recurrence during follow-up | |
| Yes | 2 (7.7) |
| No | 24 (92.3) |
| Parameter | n (%) |
|---|---|
| Tracheostomy | 10 (38.5%) |
| Duration of Tracheostomy | 11.2 ± 7.2 days |
| Gastrostomy feeding tube | 2 (7.7%) |
| Neck Dissection | |
| Unilateral | 12 (46.2%) |
| Bilateral | 14 (53.8%) |
| Hospitalization | Mean duration (days) |
| ICU/IMC | 4.65 ± 5.5 |
| Overall | 13.1 ± 7.6 |
| Item | t0 (n = 26) | t1 (n = 22) | t2 (n = 18) | t3 (n = 13) | t4 (n = 3) |
|---|---|---|---|---|---|
| Global Health | 66.7 (50–75) | 58.3 (50–83.3) | 66.7 (52.1–83.3) | 83.3 (66.7–83.3) | 66.7 (50–75) |
| Pain | 16.7 (2.1–31.2) | 25 (0–33.3) | 8.3 (0–22.9) | 0 (0–16.7) | 41.7 (29.2–45.8) |
| Swallowing | 0 (0–8.3) | 8.3 (0–22.9) | 0 (0–8.3) | 0 (0–8.3) | 25 (16.7–29.2) |
| Speech | 0 (0–11.1) | 22.2 (0–52.8) | 11.1 (0–22.2) | 11.1 (0–22.2) | 22.2 (22.2–33.3) |
Disclaimer/Publisher’s Note: The statements, opinions and data contained in all publications are solely those of the individual author(s) and contributor(s) and not of MDPI and/or the editor(s). MDPI and/or the editor(s) disclaim responsibility for any injury to people or property resulting from any ideas, methods, instructions or products referred to in the content. |
© 2023 by the authors. Licensee MDPI, Basel, Switzerland. This article is an open access article distributed under the terms and conditions of the Creative Commons Attribution (CC BY) license (https://creativecommons.org/licenses/by/4.0/).
Share and Cite
Moratin, J.; Zittel, S.; Horn, D.; Behnisch, R.; Ristow, O.; Engel, M.; Hoffmann, J.; Freier, K.; Freudlsperger, C. Free-Flap Reconstruction in Early-Stage Squamous Cell Carcinoma of the Oral Cavity—A Prospective Monocentric Trial to Evaluate Oncological Outcome and Quality of Life. J. Clin. Med. 2023, 12, 4833. https://doi.org/10.3390/jcm12144833
Moratin J, Zittel S, Horn D, Behnisch R, Ristow O, Engel M, Hoffmann J, Freier K, Freudlsperger C. Free-Flap Reconstruction in Early-Stage Squamous Cell Carcinoma of the Oral Cavity—A Prospective Monocentric Trial to Evaluate Oncological Outcome and Quality of Life. Journal of Clinical Medicine. 2023; 12(14):4833. https://doi.org/10.3390/jcm12144833
Chicago/Turabian StyleMoratin, Julius, Sven Zittel, Dominik Horn, Rouven Behnisch, Oliver Ristow, Michael Engel, Jürgen Hoffmann, Kolja Freier, and Christian Freudlsperger. 2023. "Free-Flap Reconstruction in Early-Stage Squamous Cell Carcinoma of the Oral Cavity—A Prospective Monocentric Trial to Evaluate Oncological Outcome and Quality of Life" Journal of Clinical Medicine 12, no. 14: 4833. https://doi.org/10.3390/jcm12144833
APA StyleMoratin, J., Zittel, S., Horn, D., Behnisch, R., Ristow, O., Engel, M., Hoffmann, J., Freier, K., & Freudlsperger, C. (2023). Free-Flap Reconstruction in Early-Stage Squamous Cell Carcinoma of the Oral Cavity—A Prospective Monocentric Trial to Evaluate Oncological Outcome and Quality of Life. Journal of Clinical Medicine, 12(14), 4833. https://doi.org/10.3390/jcm12144833

