Sex Differences in Repolarization Markers: Telemonitoring for Chronic Heart Failure Patients
Abstract
1. Introduction
2. Methods and Materials
2.1. Participants and Protocol
2.2. Off-Line Data Analysis
2.3. Statistical Analysis
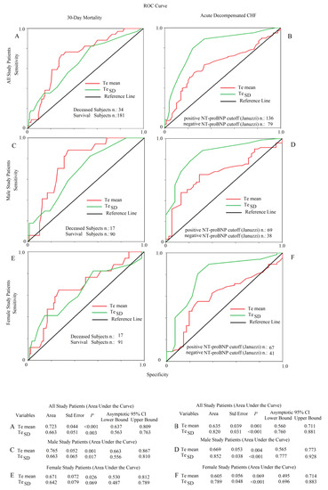
3. Results
4. Discussion
5. Study Limitations
Author Contributions
Funding
Institutional Review Board Statement
Informed Consent Statement
Data Availability Statement
Conflicts of Interest
References
- Gallego-Colon, E.; Bonaventura, A.; Vecchié, A.; Cannatà, A.; Fitzpatrick, C.M. Cardiology on the cutting edge: Updates from the European Society of Cardiology (ESC) Congress 2020. BMC Cardiovasc. Disord. 2020, 20, 448. [Google Scholar] [CrossRef]
- Sabovčik, F.; Ntalianis, E.; Cauwenberghs, N.; Kuznetsova, T. Improving predictive performance in incident heart failure using machine learning and multi-center data. Front. Cardiovasc. Med. 2022, 9, 1011071. [Google Scholar] [CrossRef]
- Piccirillo, G.; Moscucci, F.; Corrao, A.; Carnovale, M.; Di Diego, I.; Lospinuso, I.; Caltabiano, C.; Mezzadri, M.; Rossi, P.; Magrì, D. Noninvasive Hemodynamic Monitoring in Advanced Heart Failure Patients: New Approach for Target Treatments. Biomedicines 2022, 10, 2407. [Google Scholar] [CrossRef] [PubMed]
- Piccirillo, G.; Moscucci, F.; Mariani, M.V.; Di Iorio, C.; Fabietti, M.; Mastropietri, F.; Crapanzano, D.; Bertani, G.; Sabatino, T.; Zaccagnini, G.; et al. Hospital mortality in decompensated heart failure. A pilot study. J. Electrocardiol. 2020, 61, 147–152. [Google Scholar] [CrossRef] [PubMed]
- Piccirillo, G.; Moscucci, F.; Bertani, G.; Lospinuso, I.; Sabatino, T.; Zaccagnini, G.; Crapanzano, D.; Di Diego, I.; Corrao, A.; Rossi, P.; et al. Short-period temporal repolarization dispersion in subjects with atrial fibrillation and decompensated heart failure. Pacing Clin. Electrophysiol. 2021, 44, 327–333. [Google Scholar] [CrossRef] [PubMed]
- Baumert, M.; Porta, M.; Vos, M.A.; Malik, M.; Couderc, J.P.; Laguna, P.; Piccirillo, G.; Smith, G.L.; Tereshchenko, L.G.; Volders, P.G.A. QT interval variability in body surface ECG: Measurement, physiological basis, and clinical value: Position statement and consensus guidance endorsed by the European Heart Rhythm Association jointly with the ESC Working Group on Cardiac Cellular Electrophysiology. Europace 2016, 19, 925–944. [Google Scholar]
- Piccirillo, G.; Moscucci, F.; Bertani, G.; Lospinuso, I.; Mastropietri, F.; Fabietti, M.; Sabatino, T.; Zaccagnini, G.; Crapanzano, D.; Di Diego, I.; et al. Short-Period Temporal Dispersion Repolarization Markers Predict 30-Days Mortality in Decompensated Heart Failure. J. Clin. Med. 2020, 9, 1879. [Google Scholar] [CrossRef]
- Crousillat, D.R.; Ibrahim, N.E. Sex differences in the management of advanced heart failure. Curr. Treat. Options Cardiovasc. Med. 2018, 20, 88. [Google Scholar] [CrossRef] [PubMed]
- Han, Z.; Chen, Z.; Lan, R.; Di, W.; Li, X.; Yu, H.; Ji, W.; Zhang, X.; Xu, B.; Xu, W. Sex-specific mortality differences in heart failure patients with ischemia receiving cardiac resynchronization therapy. PLoS ONE 2017, 12, e0180513. [Google Scholar] [CrossRef] [PubMed]
- Shuaishuai, D.; Jingyi, L.; Zhiqiang, Z.; Guanwei, F. Sex differences and related estrogenic effects in heart failure with preserved ejection fraction. Heart Fail. Rev. 2022, 28, 937–948. [Google Scholar] [CrossRef] [PubMed]
- Cesaroni, G.; Mureddu, G.F.; Agabiti, N.; Mayer, F.; Stafoggia, M.; Forastiere, F.; Latini, R.; Masson, S.; Davoli, M.; Boccanelli, A.; et al. Sex differences in factors associated with heart failure and diastolic left ventricular dysfunction: A cross-sectional population-based study. BMC Public Health 2021, 21, 415. [Google Scholar] [CrossRef] [PubMed]
- Geraghty, L.; Figtree, G.A.; Schutte, A.E.; Patel, S.; Woodward, M.; Arnott, C. Cardiovascular Disease in Women: From Pathophysiology to Novel and Emerging Risk Factors. Heart Lung Circ. 2021, 30, 9–17. [Google Scholar] [CrossRef] [PubMed]
- Scicchitano, P.; Paolillo, C.; De Palo, M.; Potenza, A.; Abruzzese, S.; Basile, M.; Cannito, A.; Tangorra, M.; Guida, P.; Caldarola, P.; et al. Sex Differences in the Evaluation of Congestion Markers in Patients with Acute Heart Failure. J. Cardiovasc. Dev. Dis. 2022, 9, 67. [Google Scholar] [CrossRef] [PubMed]
- Prajapati, C.; Koivumäki, J.; Pekkanen-Mattila, M.; Aalto-Setälä, K. Sex differences in heart: From basics to clinics. Eur. J. Med. Res. 2022, 27, 241. [Google Scholar] [CrossRef]
- Yerly, A.; van der Vorst, E.P.C.; Baumgartner, I.; Bernhard, S.M.; Schindewolf, M.; Döring, Y. Sex-specific and hormone-related differences in vascular remodelling in atherosclerosis. Eur. J. Clin. Investig. 2023, 53, e13885. [Google Scholar] [CrossRef]
- de Miguel-Balsa, E. Risk stratification and health inequalities in women with acute coronary syndrome: Time to move on. Lancet 2022, 400, 710–711. [Google Scholar] [CrossRef]
- Wenzl, F.A.; Kraler, S.; Ambler, G.; Weston, C.; Herzog, S.A.; Räber, L.; Muller, O.; Camici, G.G.; Roffi, M.; Rickli, H.; et al. Sex-specific evaluation and redevelopment of the GRACE score in non-ST-segment elevation acute coronary syndromes in populations from the UK and Switzerland: A multinational analysis with external cohort validation. Lancet 2022, 400, 744–756. [Google Scholar] [CrossRef]
- De Bellis, A.; De Angelis, G.; Fabris, E.; Cannatà, A.; Merlo, M.; Sinagra, G. Gender-related differences in heart failure: Beyond the “one-size-fits-all” paradigm. Heart Fail. Rev. 2020, 25, 245–255. [Google Scholar] [CrossRef]
- Sciomer, S.; Moscucci, F.; Salvioni, E.; Marchese, G.; Bussotti, M.; Corrà, U.; Piepoli, M.F. Role of gender, age and BMI in prognosis of heart failure. Eur. J. Prev. Cardiol. 2020, 27 (Suppl. S2), 46–51. [Google Scholar] [CrossRef]
- Regitz-Zagrosek, V. Sex and Gender Differences in Heart Failure. Int. J. Heart Fail. 2020, 2, 157–181. [Google Scholar] [CrossRef]
- Bazzett, H. An analysis of the time-relations of electrocardiograms. Heart 1920, 7, 353–370. [Google Scholar] [CrossRef]
- Surawicz, B.; Parikh, S.R. Differences between ventricular repolarization in men and women: Description, mechanism and implications. Ann. Noninvasive Electrocardiol. 2003, 8, 333–340. [Google Scholar] [CrossRef] [PubMed]
- Moscucci, F.; Lavalle, F.; Politi, C.; Campanale, A.; Baggio, G.; Sciomer, S. Acute Coronary Syndrome in Women: A new and specific approach is needed. Eur. J. Prev. Cardiol. 2022, 29, e305–e308. [Google Scholar] [CrossRef]
- Ponikowski, P.; Voors, A.A.; Anker, S.D.; Bueno, H.; Cleland, J.G.F.; Coats, A.J.S.; Falk, V.; González-Juanatey, J.R.; Harjola, V.P. 2016 ESC Guidelines for the diagnosis and treatment of acute and chronic heart failure: The Task Force for the diagnosis and treatment of acute and chronic heart failure of the European Society of Cardiology (ESC) Developed with the special contribution of the Heart Failure Association (HFA) of the ESC. Eur. Heart J. 2016, 37, 2129–2200. [Google Scholar]
- McDonagh, T.A.; Metra, M.; Adamo, M.; Gardner, R.S.; Baumbach, A.; Böhm, M.; Burri, H.; Butler, J.; Čelutkienė, J.; Chioncel, O.; et al. 2021 ESC Guidelines for the diagnosis and treatment of acute and chronic heart failure: Developed by the Task Force for the diagnosis and treatment of acute and chronic heart failure of the European Society of Cardiology (ESC). With the special contribution of the Heart Failure Association (HFA) of the ESC. Eur. J. Heart Fail. 2021, 24, 4–131. [Google Scholar]
- Berger, R.D.; Kasper, E.K.; Baughman, K.L.; Marban, E.; Calkins, H.; Tomaselli, G.F. Beat-to-beat QT interval variability: Novel evidence for repolarization lability in ischemic and nonischemic dilated cardiomyopathy. Circulation 1997, 96, 1557–1565. [Google Scholar] [CrossRef]
- Desai, A.S.; Lam, C.S.P.; McMurray, J.J.V.; Redfield, M.M. How to Manage Heart Failure with Preserved Ejection Fraction: Practical Guidance for Clinicians. JACC Heart Fail. 2023, 11, 619–636. [Google Scholar] [CrossRef] [PubMed]
- Nanna, M.G.; Wang, T.Y.; Xiang, Q.; Goldberg, A.C.; Robinson, J.G.; Roger, V.L.; Virani, S.S.; Wilson, P.W.F.; Louie, M.J.; Koren, A.; et al. Sex Differences in the Use of Statins in Community Practice. Circ. Cardiovasc. Qual. Outcomes 2019, 12, e005562. [Google Scholar] [CrossRef]
- Setny, M.; Jankowski, P.; Krzykwa, A.; Kamiński, K.A.; Gąsior, Z.; Haberka, M.; Czarnecka, D.; Pająk, A.; Kozieł, P.; Szóstak-Janiak, K.; et al. Management of Dyslipidemia in Women and Men with Coronary Heart Disease: Results from POLASPIRE Study. J. Clin. Med. 2021, 10, 2594. [Google Scholar] [CrossRef]
- Choi, H.Y.; Kim, E. Factors Influencing the Control of Hypertension According to the Gender of Older Adults. Healthcare 2021, 11, 1595. [Google Scholar] [CrossRef]
- Imamura, T.; Kinugawa, K. Clinical insight of remote dielectric sensing-guided congestive heart failure management in outpatient clinic. J. Cardiol. Cases 2022, 26, 426–428. [Google Scholar] [CrossRef] [PubMed]
- Olesen, A.S.O.; Miger, K.; Fabricius-Bjerre, A.; Sandvang, K.D.; Kjesbu, I.E.; Sajadieh, A.; Høst, N.; Køber, N.; Wamberg, J.; Pedersen, L.; et al. Remote dielectric sensing to detect acute heart failure in patients with dyspnoea: A prospective observational study in the emergency department. Eur. Heart J. Open 2022, 2, oeac073. [Google Scholar] [CrossRef] [PubMed]
- Faragli, A.; Abawi, D.; Quinn, C.; Cvetkovic, M.; Schlabs, T.; Tahirovic, E.; Düngen, H.D.; Pieske, B.; Kelle, S.; Edelmann, F.; et al. The role of non-invasive devices for the telemonitoring of heart failure patients. Heart Fail. Rev. 2021, 26, 1063–1080. [Google Scholar] [CrossRef] [PubMed]
- Piccirillo, G.; Moscucci, F.; Mezzadri, M.; Caltabiano, C.; Di Diego, I.; Carnovale, M.; Corrao, A.; Stefano, S.; Scinicariello, C.; Giuffrè, M.; et al. Electrocardiographic and other Noninvasive Hemodynamic Markers in Decompensated CHF Patients. J. Cardiovasc. Dev. Dis. 2023, 10, 125. [Google Scholar] [CrossRef]
- Piccirillo, G.; Moscucci, F.; Fabietti, M.; Di Iorio, C.; Mastropietri, F.; Sabatino, T.; Crapanzano, D.; Bertani, G.; Zaccagnini, G.; Lospinuso, I.; et al. Age, gender and drug therapy influences on Tpeak-tend interval and on electrical risk score. J. Electrocardiol. 2020, 59, 88–92. [Google Scholar] [CrossRef]
- Mattioli, A.V.; Moscucci, F.; Sciomer, S.; Maffei, S.; Nasi, M.; Pinti, M.; Bucciarelli, V.; Dei Cas, A.; Parati, G.; Ciccone, M.; et al. Cardiovascular prevention in women: An update by the Italian Society of Cardiology working group on ‘Prevention, hypertension and peripheral disease’. J. Cardiovasc. Med. 2023, 24 (Suppl. S2), e147–e155. [Google Scholar] [CrossRef]




| Specific Characteristics of Chronic Heart Failure in Women | |
|---|---|
| Pathophysiology |
|
| Symptoms |
|
| Diagnostic delay determing a later-in-life diagnosis |
|
| Difficult prognostic evaluation |
|
| High “revolving door” risk |
|
| All Subjects | Male Subjects | Female Subjects | p | |
|---|---|---|---|---|
| N:215 | N:107 | N:108 | ||
| Age, years | 84 ± 8 | 81 ± 10 | 85 ± 9 | 0.003 |
| BMI, kg/m2 | 24.3 ± 3.0 | 26.3 ± 5.0 | 25.3 ± 4.7 | 0.131 |
| Heart Rate, beats/m | 76 ± 15 | 73 ± 14 | 76 ± 12 | 0.214 |
| Systolic Blood Pressure, mm Hg | 127 ± 18 | 122 ± 19 | 129 ± 19 | 0.010 |
| Diastolic Blood Pressure, mm Hg | 70 ± 11 | 68 ± 10 | 72 ± 11 | 0.005 |
| Left Ventricular Ejection Fraction, % | 44 ± 9 | 40 ± 11 | 44 ± 10 | 0.009 |
| Left Ventricular Mass Index, g/m2 | 143 ± 29 | 145 ± 36 | 127 ± 31 | <0.001 |
| Left Ventricular End-Diastolic Diameter, mm | 53 ± 6 | 56 ± 7 | 50 ± 7 | <0.001 |
| Posterior Wall Thickness, mm | 12 ± 1 | 11 ± 2 | 11 ± 1 | 0.994 |
| Interventricular Septum Thickness, mm | 12 ± 2 | 12 ± 1 | 12 ± 1 | 0.629 |
| Left Atrial Transversal Diameter, mm | 47 ± 7 | 48 ± 6 | 46 ± 7 | 0.103 |
| Tricuspid Annular Plane Systolic Excursion, mm | 21 ± 5 | 20 ± 4 | 20 ± 4 | 0.956 |
| Tricuspid Regurgitation Peak Gradient, mmHg | 44 ± 15 | 44 ± 15 | 44 ± 12 | 0.836 |
| Heart Failure with Reduced Ejection Fraction, n(%) | 98(46) | 58(54) | 40(37) | 0.011 |
| Heart Failure with Mildy Reduced Ejection Fraction, n(%) | 32(15) | 13(12) | 19(18) | 0.262 |
| Heart Failure with Preserved Ejection Fraction, n(%) | 85(40) | 36(34) | 49(45) | 0.079 |
| NT-pro BNP, pg/mL | 2895[7350] | 2951[8235] | 2865[6489] | 0.886 |
| C-reactive protein (mg/dl) | 3.7[8.7] | 3.4[8.4] | 4.4[9.0] | 0.127 |
| High sensitivity cardiac troponin/(pg/L) | 42[59] | 43[60] | 41[59] | 0.365 |
| Creatinine clearance (mL/m) | 44 ± 25 | 53 ± 29 | 44 ± 31 | 0.039 |
| Fasting glucose (mmol/L) | 6.46 ± 1.93 | 6.48 ± 2.25 | 7.12 ± 2.46 | 0.057 |
| HbA1c (%) | 6.01 ± 1.20 | 5.87 ± 1.20 | 6.40 ± 1.49 | 0.010 |
| Total Cholesterol (mmol/L) | 3.70 ± 1.00 | 3.55 ± 1.01 | 3.85 ± 1.05 | 0.119 |
| HDL-cholesterol (mmol/L) | 1.13 ± 0.42 | 1.02 ± 0.33 | 1.15 ± 0.40 | 0.048 |
| LDL –cholesterol (mmol/L) | 1.99 ± 0.81 | 1.85 ± 0.81 | 2.16 ± 0.84 | 0.041 |
| Triglycerides (mmol/L) | 1.67 ± 1.49 | 1.80 ± 1.34 | 1.56 ± 0.91 | 0.254 |
| Hypertension, n (%) | 166(77) | 80(75) | 86(80) | 0.395 |
| Hypercholesterolemia, n (%) | 98(46) | 55(51) | 43(40) | 0.088 |
| Diabetes, n (%) | 90(42) | 44(41) | 46(43) | 0.827 |
| Renal Insufficiency, n (%) | 105(49) | 57(53) | 48(44) | 0.195 |
| Known Myocardial Ischemia History, n (%) | 75(35) | 51(48) | 24(22) | <0.001 |
| Premature Supraventricular Complexes, n (%) | 20(9) | 14(13) | 6(6) | 0.057 |
| Premature Ventricular Complexes, n (%) | 48(22) | 30(28) | 18(17) | 0.045 |
| Permanent Atrial fibrillation, n (%) | 76(35) | 37(35) | 39(36) | 0.814 |
| Left Bundle Branch Block, n (%) | 44(21) | 28(26) | 16(15) | 0.039 |
| Right Bundle Branch Block, n (%) | 33(15) | 24(22) | 9(8) | 0.004 |
| Pacemaker-ICD, n (%) | 48(22) | 32(30) | 16(15) | 0.008 |
| Deceased Subjects, n (%) | 34(16) | 17(16) | 17(16) | 0.976 |
| β-blockers, n (%) | 144(67) | 73(68) | 71(66) | 0.699 |
| Furosemide, n (%) | 166(77) | 84(79) | 82(76) | 0.652 |
| ACE/Sartans | 87(41) | 44(41) | 43(40) | 0.845 |
| Aldosterone antagonists, n (%) | 31(14) | 14(13) | 17(16) | 0.579 |
| Potassium, n (%) | 15(7) | 5(5) | 10(9) | 0.187 |
| Nitrates, n (%) | 28(13) | 14(13) | 14(13) | 0.979 |
| Digoxin, n (%) | 10(4) | 6(6) | 4(4) | 0.507 |
| Statins, n (%) | 64(30) | 42(39) | 22(20) | 0.002 |
| Antiplatelet drugs, n (%) | 83(39) | 51(48) | 32(30) | 0.007 |
| Oral Anticoagulants, n (%) | 61(28) | 27(25) | 34(32) | 0.310 |
| Diltiazem or Verapamil, n (%) | 7(3) | 2(2) | 5(5) | 0.254 |
| Dihydropyridine Calcium channel blockers, n (%) | 28(13) | 13(12) | 15(14) | 0.705 |
| Propafenone, n (%) | 2(0.9) | 0(0) | 2(1.9) | 0.157 |
| Amiodarone, n (%) | 19(9) | 11(10) | 8(7) | 0.458 |
| Valsartan/Sacubitril, n (%) | 4(1.9) | 2(2) | 2(2) | 0.993 |
Disclaimer/Publisher’s Note: The statements, opinions and data contained in all publications are solely those of the individual author(s) and contributor(s) and not of MDPI and/or the editor(s). MDPI and/or the editor(s) disclaim responsibility for any injury to people or property resulting from any ideas, methods, instructions or products referred to in the content. |
© 2023 by the authors. Licensee MDPI, Basel, Switzerland. This article is an open access article distributed under the terms and conditions of the Creative Commons Attribution (CC BY) license (https://creativecommons.org/licenses/by/4.0/).
Share and Cite
Moscucci, F.; Sciomer, S.; Maffei, S.; Meloni, A.; Lospinuso, I.; Carnovale, M.; Corrao, A.; Di Diego, I.; Caltabiano, C.; Mezzadri, M.; et al. Sex Differences in Repolarization Markers: Telemonitoring for Chronic Heart Failure Patients. J. Clin. Med. 2023, 12, 4714. https://doi.org/10.3390/jcm12144714
Moscucci F, Sciomer S, Maffei S, Meloni A, Lospinuso I, Carnovale M, Corrao A, Di Diego I, Caltabiano C, Mezzadri M, et al. Sex Differences in Repolarization Markers: Telemonitoring for Chronic Heart Failure Patients. Journal of Clinical Medicine. 2023; 12(14):4714. https://doi.org/10.3390/jcm12144714
Chicago/Turabian StyleMoscucci, Federica, Susanna Sciomer, Silvia Maffei, Antonella Meloni, Ilaria Lospinuso, Myriam Carnovale, Andrea Corrao, Ilaria Di Diego, Cristina Caltabiano, Martina Mezzadri, and et al. 2023. "Sex Differences in Repolarization Markers: Telemonitoring for Chronic Heart Failure Patients" Journal of Clinical Medicine 12, no. 14: 4714. https://doi.org/10.3390/jcm12144714
APA StyleMoscucci, F., Sciomer, S., Maffei, S., Meloni, A., Lospinuso, I., Carnovale, M., Corrao, A., Di Diego, I., Caltabiano, C., Mezzadri, M., Mattioli, A. V., Gallina, S., Rossi, P., Magrì, D., & Piccirillo, G. (2023). Sex Differences in Repolarization Markers: Telemonitoring for Chronic Heart Failure Patients. Journal of Clinical Medicine, 12(14), 4714. https://doi.org/10.3390/jcm12144714

