Three-Dimensional Speckle-Tracking Echocardiography-Derived Tricuspid Annular Dimensions and Right Atrial Strains in Healthy Adults—Is There a Relationship? (Insights from the MAGYAR-Healthy Study)
Abstract
1. Introduction
2. Patients and Methods
2.1. Study Population
2.2. Two-Dimensional Doppler Echocardiography
2.3. Three-Dimensional Speckle-Tracking Echocardiography
2.4. Quantification of 3DSTE-Derived RA Volumes and Strains
- -
- Maximum RA volume, measured at end-systole, just before tricuspid valve opening (Vmax).
- -
- RA volume before atrial contraction, measured at early-diastole at the time of P wave on ECG (VpreA).
- -
- Minimum RA volume measured at end-diastole, just before tricuspid valve closure (Vmin).
- -
- Radial strain (RS) representing the thickening/thinning of a certain RA segment.
- -
- Longitudinal strain (LS) representing the lengthening/shortening of a certain RA segment.
- -
- Circumferential strain (CS) representing the widening/narrowing of a certain RA segment.
2.5. Quantification of 3DSTE-Derived TA Dimensions
2.6. Statistical Analysis
3. Results
3.1. Two-Dimensional Doppler Echocardiography
3.2. Classification of Subjects
3.3. Dilation of TA and RA Volumes and Function
3.4. Increasing RA Strains and TA Dimensions and Function
3.5. Tricuspid Annular Plane Systolic Excursion
3.6. Correlations
4. Discussion
Limitation Section
- -
- The issue of image quality of echocardiographic analysis is still a pivotal point, for 3DSTE it is still worse than that of 2D echocardiography, which should be taken into account when interpreting the results [15,16,17,18]. Nevertheless, considering both the advantages and disadvantages, the clinical role of 3DSTE is unquestionable.
- -
- -
- The present study did not propose further validation of 3DSTE-derived TA and RA quantifications.
- -
- STE-derived analysis of TA functional properties were not an aim of the study.
- -
- FTR was excluded by visual assessment, and a more advanced quantification method was not performed during the present study.
5. Conclusions
Author Contributions
Funding
Institutional Review Board Statement
Informed Consent Statement
Data Availability Statement
Conflicts of Interest
References
- Hahn, R.T.; Learakis, S.; Delgado, V.; Addetia, K.; Burkhoff, D.; Muraru, D.; Pinney, S.; Friedberg, M.K. Multimodality imaging of right heart function: JACC Scientific Statement. J. Am. Coll. Cardiol. 2023, 81, 1954–1973. [Google Scholar] [CrossRef] [PubMed]
- Calabro, R.; Limongelli, G. Complete atrioventricular canal. Orphanet. J. Rare. Dis. 2006, 1, 8. [Google Scholar] [CrossRef]
- Silver, M.D.; Lam, J.H.; Ranganathan, N.; Wigle, E.D. Morphology of the human tricuspid valve. Circulation 1971, 43, 333–348. [Google Scholar] [CrossRef] [PubMed]
- Dahou, A.; Levin, D.; Reisman, M.; Hahn, R.T. Anatomy and physiology of the tricuspid valve. JACC Cardiovasc. Imaging 2019, 12, 458–468. [Google Scholar] [CrossRef] [PubMed]
- Anwar, A.M.; Geleijnse, M.L.; Soliman, O.I.; McGhie, J.S.; Frowijn, R.; Nemes, A.; van den Bosch, A.E.; Galema, T.W.; ten Cate, F.J. Assessment of normal tricuspid valve anatomy in adults by real-time three-dimensional echocardiography. Int. J. Cardiovasc. Imaging 2007, 23, 717–724. [Google Scholar] [CrossRef] [PubMed]
- Anwar, A.M.; Geleijnse, M.L.; ten Cate, F.J.; Meijboom, F.J. Assessment of tricuspid valve annulus size, shape and function using real-time three-dimensional echocardiography. Interact. Cardiovasc. Thorac. Surg. 2006, 5, 683–687. [Google Scholar] [CrossRef]
- Anwar, A.M.; Soliman, O.I.; Nemes, A.; van Geuns, R.J.M.; Geleijnse, M.L.; ten Cate, F.J. Value of assessment of tricuspid annulus: Real-time three-dimensional echocardiography and magnetic resonance imaging. Int. J. Cardiovasc. Imaging 2007, 23, 701–705. [Google Scholar] [CrossRef]
- Nemes, A.; Rácz, G.; Kormányos, Á. Tricuspid Annular Abnormalities in Isolated Left Ventricular Non-compaction-Insights From the Three-dimensional Speckle-Tracking Echocardiographic MAGYAR-Path Study. Front. Cardiovasc. Med. 2022, 9, 694616. [Google Scholar] [CrossRef]
- Kormányos, Á.; Kalapos, A.; Domsik, P.; Gyenes, N.; Ambrus, N.; Valkusz, Z.; Lengyel, C.; Nemes, A. The right atrium in acromegaly-a three-dimensional speckle-tracking echocardiographic analysis from the MAGYAR-Path Study. Quant. Imaging Med. Surg. 2020, 10, 646–656. [Google Scholar] [CrossRef]
- Nemes, A.; Kormányos, Á.; Ruzsa, Z.; Achim, A.; Ambrus, N.; Lengyel, C. Dependence of Left Ventricular Rotational Mechanics on Left Atrial Volumes in Non-Smoker Healthy Adults: Analysis Based on the Three-Dimensional Speckle-Tracking Echocardiographic MAGYAR-Healthy Study. J. Clin. Med. 2023, 12, 1235. [Google Scholar] [CrossRef]
- Nemes, A.; Kormányos, Á. Right atrial volumes and strains in healthy adults: Is the Frank-Starling mechanism working?—Detailed analysis from the three-dimensional speckle-tracking echocardiographic MAGYAR-Healthy Study. Quant. Imaging Med. Surg. 2023, 13, 825–834. [Google Scholar] [CrossRef]
- Lang, R.M.; Badano, L.P.; Mor-Avi, V.; Afilalo, J.; Armstrong, A.; Ernande, L.; Flachskampf, F.A.; Foster, E.; Goldstein, S.A.; Kuznetsova, T.; et al. Recommendations for cardiac chamber quantification by echocardiography in adults: An update from the American Society of Echocardiography and the European Association of Cardiovascular Imaging. Eur. Heart J. Cardiovasc. Imaging 2015, 16, 233–270. [Google Scholar] [CrossRef] [PubMed]
- Nel, S.; Nihoyannopoulos, P.; Libhaber, E.; Essop, M.R.; Ferreira Dos Santos, C.; Matioda, H.; Waterworth, C.; Grinter, S.; Meel, R.; Peters, F. Echocardiographic Indices of the Left and Right Heart in a Normal Black African Population. J. Am. Soc. Echocardiogr. 2020, 33, 358–367. [Google Scholar] [CrossRef]
- Ghio, S.; Recusani, F.; Klersy, C.; Sebastiani, R.; Laudisa, M.L.; Campana, C.; Gavazzi, A.; Tavazzi, L. Prognostic usefulness of the tricuspid annular plane systolic excursion in patients with congestive heart failure secondary to idiopathic or ischemic dilated cardiomyopathy. Am. J. Cardiol. 2000, 85, 837–884. [Google Scholar] [CrossRef] [PubMed]
- Ammar, K.A.; Paterick, T.E.; Khandheria, B.K.; Jan, M.F.; Kramer, C.; Umland, M.M.; Tercius, A.J.; Baratta, L.; Tasik, A.J. Myocardial mechanics: Understanding and applying three-dimensional speckle tracking echocardiography in clinical practice. Echocardiography 2012, 29, 861–872. [Google Scholar] [CrossRef] [PubMed]
- Urbano-Moral, J.A.; Patel, A.R.; Maron, M.S.; Arias-Godinez, J.A.; Pandian, N.G. Three-Dimensional Speckle-Tracking Echocardiography: Methodological Aspects and Clinical Potential. Echocardiography 2012, 29, 997–1010. [Google Scholar] [CrossRef] [PubMed]
- Nemes, A.; Kalapos, A.; Domsik, P.; Forster, T. Three-dimensional speckle-tracking echocardiography–a further step in non-invasive three-dimensional cardiac imaging. Orv. Hetil. 2012, 153, 1570–1577. [Google Scholar] [CrossRef]
- Muraru, D.; Niero, A.; Rodriguez-Zanella, H.; Cherata, D.; Badano, L. Three-dimensional speckle-tracking echocardiography: Benefits and limitations of integrating myocardial mechanics with three-dimensional imaging. Cardiovasc. Diagn. Ther. 2018, 8, 101–117. [Google Scholar] [CrossRef]
- Nemes, A.; Kormányos, Á.; Domsik, P.; Kalapos, A.; Ambrus, N.; Lengyel, C. Normal reference values of three-dimensional speckle-tracking echocardiography-derived right atrial volumes and volume-based functional properties in healthy adults (Insights from the MAGYAR-Healthy Study). J. Clin. Ultrasound. 2020, 48, 263–268. [Google Scholar] [CrossRef]
- Nemes, A.; Kormányos, Á.; Domsik, P.; Kalapos, A.; Ambrus, N.; Lengyel, C.; Forster, T. Normal reference values of right atrial strain parameters using three-dimensional speckle-tracking echocardiography (results from the MAGYAR-Healthy Study). Int. J. Cardiovasc. Imaging 2019, 35, 2009–2018. [Google Scholar] [CrossRef]
- Nemes, A.; Kormányos, Á.; Rácz, G.; Ruzsa, Z.; Ambrus, N.; Lengyel, C. Normal reference values of tricuspid annular dimensions and functional properties in healthy adults using three-dimensional speckle-tracking echocardiography (insights from the MAGYAR-Healthy Study). Quant. Imaging Med. Surg. 2023, 13, 121–132. [Google Scholar] [CrossRef] [PubMed]
- Guta, A.C.; Badano, L.P.; Tomaselli, M.; Mihalcea, D.; Bartos, D.; Parati, G.; Muraru, D. The Pathophysiological Link between Right Atrial Remodeling and Functional Tricuspid Regurgitation in Patients with Atrial Fibrillation: A Three-Dimensional Echocardiography Study. J. Am. Soc. Echocardiogr. 2021, 34, 585–594. [Google Scholar] [CrossRef] [PubMed]
- Pashakhanloo, F.; Herzka, D.A.; Ashikaga, H.; Mori, S.; Gai, N.; Bluemke, D.A.; Trayanova, N.A.; McVeigh, E.R. Myofiber Architecture of the Human Atria as Revealed by Submillimeter Diffusion Tensor Imaging. Circ. Arrhythm. Electrophysiol. 2016, 9, e004133. [Google Scholar] [CrossRef] [PubMed]




| TAA-S ≤ 3.92 cm2 (n = 23) | 3.92 cm2 < TAA-S < 6.80 cm2 (n = 105) | 6.80 cm2 ≤ TAA-S (n = 17) | TAA-D ≤ 5.71 cm2 (n = 23) | 5.71 cm2 < TAA-D < 8.91 cm2 (n = 98) | 8.91 cm2 ≤ TAA-D (n = 24) | |
|---|---|---|---|---|---|---|
| TAA-S (mm2) | 3.47 ± 0.35 | 5.34 ± 0.78 * | 8.08 ± 1.27 *† | 3.74 ± 0.57 | 5.24 ± 0.92 ** | 7.33 ± 1.54 **†† |
| TAA-D (mm2) | 5.47 ± 0.95 | 7.31 ± 1.16 * | 9.79 ± 1.39 *† | 5.04 ± 0.51 | 7.19 ± 0.85 ** | 9.81 ± 1.04 **†† |
| TAFAC (%) | 35.3 ± 10.1 | 26.1 ± 9.8 * | 17.1 ± 6.1 *† | 25.5 ± 10.2 | 26.9 ± 10.7 | 26.2 ± 10.5 |
| TAPSE (mm) | 23.2 ± 2.9 | 24.1 ± 2.9 | 23.3 ± 2.9 | 24.5 ± 3.6 | 23.8 ± 2.8 | 23.9 ± 3.0 |
| peak gRS (%) | −13.4 ± 7.6 | −13.6 ± 8.5 | −13.8 ± 6.6 | −18.0 ± 7.6 | −12.8 ± 8.0 ** | −12.7 ± 8.0 ** |
| peak msRS (%) | −18.0 ± 6.5 | −18.9 ± 7.2 | −18.1 ± 6.4 | −22.2 ± 7.6 | −18.1 ± 6.6 ** | −17.1 ± 7.2 ** |
| peak basal RS (%) | −16.7 ± 8.8 | −16.3 ± 7.3 | −16.2 ± 7.0 | −19.1 ± 9.0 | −16.2 ± 7.0 | −14.6 ± 7.4 |
| peak gCS (%) | 19.5 ± 12.4 | 19.5 ± 13.2 | 19.8 ± 17.8 | 18.9 ± 13.5 | 19.2 ± 13.4 | 21.6 ± 15.0 |
| peak msCS (%) | 25.1 ± 12.0 | 25.8 ± 12.9 | 25.2 ± 18.4 | 25.6 ± 13.8 | 25.2 ± 13.0 | 27.2 ± 15.4 |
| peak basal CS (%) | 27.0 ± 12.3 | 26.0 ± 11.5 | 24.4 ± 11.7 | 28.5 ± 16.3 | 25.4 ± 10.8 | 26.4 ± 9.7 |
| peak gLS (%) | 32.0 ± 17.7 | 35.4 ± 13.4 | 34.3 ± 12.2 | 35.4 ± 18.6 | 33.9 ± 13.1 | 37.9 ± 12.4 |
| peak msLS (%) | 36.2 ± 16.8 | 39.4 ± 13.0 | 38.2 ± 11.0 | 39.6 ± 18.2 | 38.1 ± 12.5 | 40.9 ± 11.9 |
| peak basal LS (%) | 34.8 ± 20.1 | 44.9 ± 19.8 | 40.9 ± 16.8 | 46.1 ± 28.3 | 41.7 ± 17.2 | 44.9 ± 19.7 |
| Vmax (mL) | 34.0 ± 8.6 | 50.0 ± 13.1 * | 61.3 ± 17.8 *† | 36.4 ± 9.3 | 48.8 ± 13.6 ** | 59.8 ± 16.4 **†† |
| VpreA (mL) | 25.0 ± 7.0 | 36.3 ± 8.7 * | 46.2 ± 14.9 *† | 27.3 ± 7.7 | 35.8 ± 9.5 ** | 43.1 ± 13.5 **†† |
| Vmin (mL) | 18.8 ± 6.7 | 28.3 ± 8.4 * | 35.6 ± 11.3 *† | 20.5 ± 6.5 | 27.9 ± 8.9 ** | 33.6 ± 10.6 **†† |
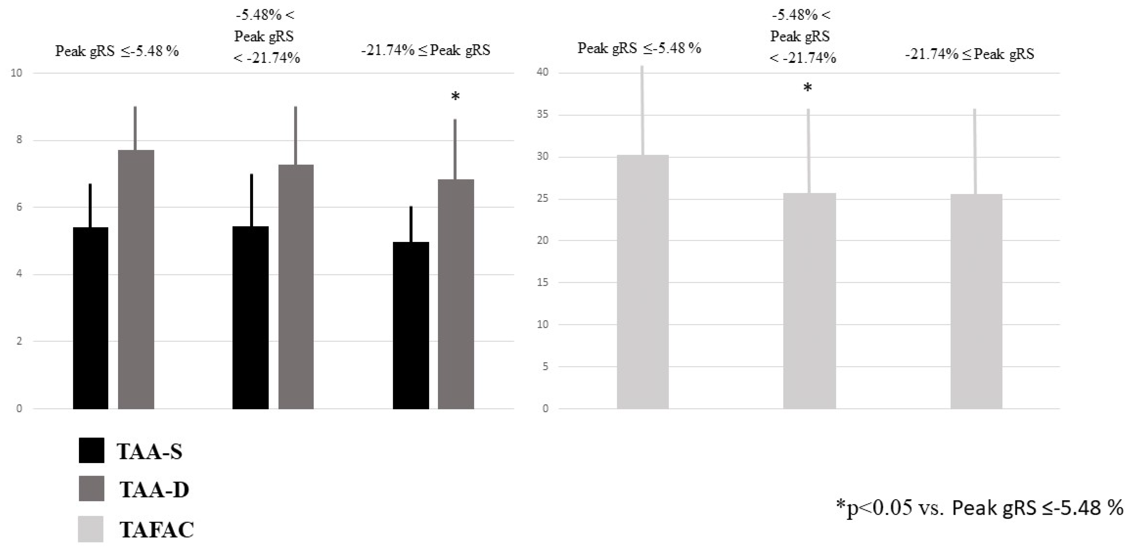
| Peak gRS ≤ −5.48% (n = 27) | 5.48% < Peak gRS < −21.74% (n = 95) | −21.74% ≤ Peak gRS (n = 23) | Peak gCS ≤ 5.80% (n = 19) | 5.80% < Peak gCS < 33.24% (n = 111) | 33.24% ≤ Peak gCS (n = 15) | Peak gLS ≤ 20.74% (n = 24) | 20.74% < Peak gLS < 48.82% (n = 102) | 48.82% ≤ Peak gLS (n = 19) | |
|---|---|---|---|---|---|---|---|---|---|
| TAA-S (mm2) | 5.40 ± 1.32 | 5.44 ± 1.55 | 4.98 ± 1.00 | 5.08 ± 1.54 | 5.46 ± 1.46 | 5.04 ± 1.05 | 4.93 ± 1.38 | 5.51 ± 1.48 | 5.15 ± 1.29 |
| TAA-D (mm2) | 7.72 ± 1.29 | 7.29 ± 1.66 | 6.83 ± 1.52 * | 6.73 ± 1.68 | 7.46 ± 1.46 | 6.91 ± 1.35 | 6.85 ± 1.70 | 7.43 ± 1.58 | 7.19 ± 1.58 |
| TAFAC (%) | 30.3 ± 10.6 | 25.7 ± 10.4 * | 25.6 ± 10.3 | 24.7 ± 10.6 | 26.8 ± 10.6 | 26.6 ± 10.6 | 27.8 ± 10.5 | 26.0 ± 10.3 | 27.7 ± 12.4 |
| TAPSE (mm) | 24.2 ± 2.8 | 23.8 ± 2.9 | 23.9 ± 3.3 | 24.0 ± 2.9 | 24.0 ± 2.9 | 22.6 ± 2.5 | 24.7 ± 2.7 | 23.7 ± 3.0 | 24.1 ± 2.8 |
| Peak gRS (%) | −2.8 ± 2.1 | −13.3 ± 4.7 * | −26.0 ± 4.5 *† | −14.2 ± 10.4 | −13.6 ± 7.8 | −13.1 ± 7.4 | −12.7 ± 6.1 | −13.9 ± 8.4 | −12.7 ± 8.3 |
| Peak gCS (%) | 20.3 ± 14.2 | 18.9 ± 13.2 | 21.9 ± 15.2 | 2.5 ± 2.3 | 18.4 ± 7.2 ** | 48.6 ± 14.6 **†† | 13.2 ± 10.8 | 18.6 ± 12.3 *** | 32.9 ± 15.3 ***††† |
| Peak gLS (%) | 34.7 ± 14.7 | 33.5 ± 13.5 | 39.0 ± 14.3 | 28.1 ± 12.2 | 34.0 ± 12.2 ** | 48.9 ± 18.6 **†† | 15.9 ± 4.2 | 34.2 ± 7.7 *** | 59.9 ± 10.1 ***††† |
| Vmax (mL) | 48.0 ± 16.4 | 48.2 ± 14.1 | 51.9 ± 16.3 | 45.9 ± 16.2 | 48.6 ± 14.6 | 54.5 ± 15.7 | 44.7 ± 12.5 | 48.6 ± 15.2 *** | 54.8 ± 15.3 *** |
| VpreA (mL) | 35.2 ± 12.0 | 35.6 ± 10.4 | 36.6 ± 11.6 | 37.7 ± 13.5 | 35.8 ± 10.4 | 33.6 ± 11.2 | 37.6 ± 11.2 | 35.8 ± 10.9 | 33.0 ± 10.1 |
| Vmin (mL) | 27.1 ± 10.3 | 27.9 ± 9.4 | 27.6 ± 9.8 | 32.3 ± 11.0 | 27.7 ± 9.3 | 22.9 ± 8.1 †† | 32.0 ± 10.7 | 27.7 ± 9.4 | 23.1 ± 7.2 ***††† |
Disclaimer/Publisher’s Note: The statements, opinions and data contained in all publications are solely those of the individual author(s) and contributor(s) and not of MDPI and/or the editor(s). MDPI and/or the editor(s) disclaim responsibility for any injury to people or property resulting from any ideas, methods, instructions or products referred to in the content. |
© 2023 by the authors. Licensee MDPI, Basel, Switzerland. This article is an open access article distributed under the terms and conditions of the Creative Commons Attribution (CC BY) license (https://creativecommons.org/licenses/by/4.0/).
Share and Cite
Nemes, A.; Kormányos, Á.; Ruzsa, Z.; Achim, A.; Ambrus, N.; Lengyel, C. Three-Dimensional Speckle-Tracking Echocardiography-Derived Tricuspid Annular Dimensions and Right Atrial Strains in Healthy Adults—Is There a Relationship? (Insights from the MAGYAR-Healthy Study). J. Clin. Med. 2023, 12, 4240. https://doi.org/10.3390/jcm12134240
Nemes A, Kormányos Á, Ruzsa Z, Achim A, Ambrus N, Lengyel C. Three-Dimensional Speckle-Tracking Echocardiography-Derived Tricuspid Annular Dimensions and Right Atrial Strains in Healthy Adults—Is There a Relationship? (Insights from the MAGYAR-Healthy Study). Journal of Clinical Medicine. 2023; 12(13):4240. https://doi.org/10.3390/jcm12134240
Chicago/Turabian StyleNemes, Attila, Árpád Kormányos, Zoltán Ruzsa, Alexandru Achim, Nóra Ambrus, and Csaba Lengyel. 2023. "Three-Dimensional Speckle-Tracking Echocardiography-Derived Tricuspid Annular Dimensions and Right Atrial Strains in Healthy Adults—Is There a Relationship? (Insights from the MAGYAR-Healthy Study)" Journal of Clinical Medicine 12, no. 13: 4240. https://doi.org/10.3390/jcm12134240
APA StyleNemes, A., Kormányos, Á., Ruzsa, Z., Achim, A., Ambrus, N., & Lengyel, C. (2023). Three-Dimensional Speckle-Tracking Echocardiography-Derived Tricuspid Annular Dimensions and Right Atrial Strains in Healthy Adults—Is There a Relationship? (Insights from the MAGYAR-Healthy Study). Journal of Clinical Medicine, 12(13), 4240. https://doi.org/10.3390/jcm12134240

