Prediction of Cervical Lymph Node Metastasis in Clinically Node-Negative T1 and T2 Papillary Thyroid Carcinoma Using Supervised Machine Learning Approach
Abstract
1. Introduction
2. Materials and Methods
2.1. Patient Selection and Data Collection
2.2. Surgical Procedure
2.3. Development of Machine Learning Classifiers
2.4. Statistical Analysis and Software
3. Results
3.1. Descriptive Statistics
| Charasteristics | Total (n = 288) |
|---|---|
| Age | 47.0 ± 13.5 |
| Sex | |
| Male | 72 (25.0) |
| Female | 216 (75.0) |
| TSH value (µIU/mL) | 1.70 (0.01–11.9) |
| Tumor size (mm) | 10 (1–40) |
| Tumor size (categories, mm) | |
| ≤5 | 57 (19.8) |
| 6–10 | 99 (34.4) |
| 11–20 | 86 (29.9) |
| 21–40 | 46 (16.0) |
| Multifocality | |
| No | 184 (63.9) |
| Yes | 104 (36.1) |
| Number of tumor foci | |
| 1 | 184 (63.9) |
| 2 | 62 (21.5) |
| ≥3 | 42 (14.6) |
| Bilateral | |
| No | 212 (73.6) |
| Yes | 76 (26.4) |
| Thyroid capsular invasion or micro ETE | |
| No thyroid capsular invasion or micro ETE | 181 (62.8) |
| Thyroid capsular invasion | 58 (20.1) |
| Micro ETE | 49 (17.1) |
| Lymphovascular invasion | |
| No | 273 (94.8) |
| Yes | 15 (5.2) |
| LNM | |
| No LNM | 147 (51.0) |
| Central LNM only | 69 (24.0) |
| Lateral LNM only | 22 (7.6) |
| Central and lateral LNM | 50 (17.4) |
3.2. Univariate Analyses
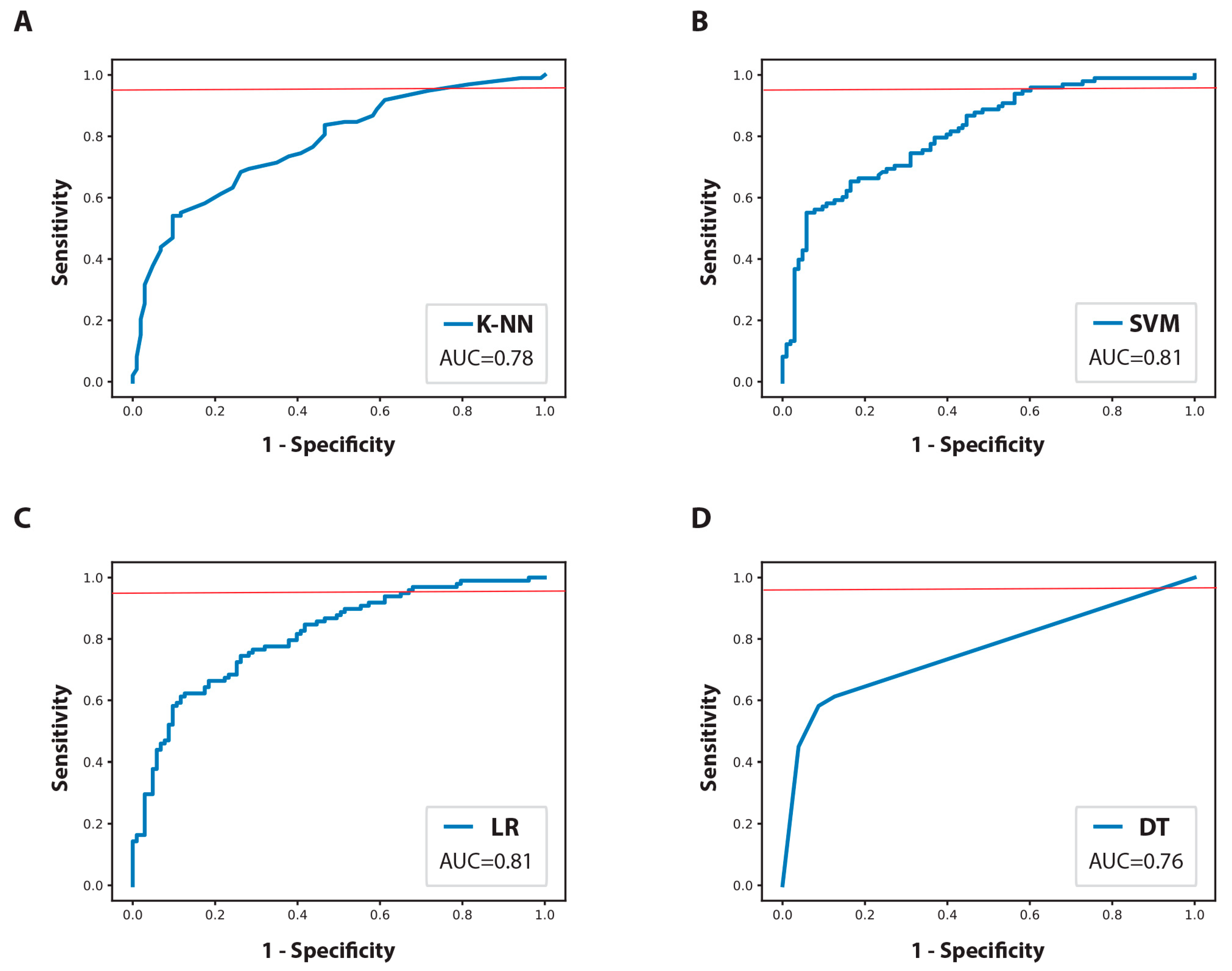
3.3. Performance Metrics for the ML Classifiers
3.4. Web-Based Calculator
4. Discussion
Future Perspectives and Outlook
5. Conclusions
Supplementary Materials
Author Contributions
Funding
Institutional Review Board Statement
Informed Consent Statement
Data Availability Statement
Conflicts of Interest
References
- Bray, F.; Ferlay, J.; Soerjomataram, I.; Siegel, R.L.; Torre, L.A.; Jemal, A. Global cancer statistics 2018: GLOBOCAN estimates of incidence and mortality worldwide for 36 cancers in 185 countries. CA. Cancer J. Clin. 2018, 68, 394–424. [Google Scholar] [CrossRef] [PubMed]
- Filetti, S.; Durante, C.; Hartl, D.; Leboulleux, S.; Locati, L.D.; Newbold, K.; Papotti, M.G.; Berruti, A. Thyroid cancer: ESMO Clinical Practice Guidelines for diagnosis, treatment and follow-up. Ann. Oncol. 2019, 30, 1856–1883. [Google Scholar] [CrossRef] [PubMed]
- Medas, F.; Canu, G.; Cappellacci, F.; Anedda, G.; Conzo, G.; Erdas, E.; Calò, P. Prophylactic Central Lymph Node Dissection Improves Disease-Free Survival in Patients with Intermediate and High Risk Differentiated Thyroid Carcinoma: A Retrospective Analysis on 399 Patients. Cancers 2020, 12, 1658. [Google Scholar] [CrossRef]
- Heng, Y.; Yang, Z.; Cao, P.; Cheng, X.; Tao, L. Lateral Involvement in Different Sized Papillary Thyroid Carcinomas Patients with Central Lymph Node Metastasis: A Multi-Center Analysis. J. Clin. Med. 2022, 11, 4975. [Google Scholar] [CrossRef]
- Wang, T.S.; Sosa, J.A. Thyroid surgery for differentiated thyroid cancer—Recent advances and future directions. Nat. Rev. Endocrinol. 2018, 14, 670–683. [Google Scholar] [CrossRef]
- Zhu, J.; Zheng, J.; Li, L.; Huang, R.; Ren, H.; Wang, D.; Dai, Z.; Su, X. Application of Machine Learning Algorithms to Predict Central Lymph Node Metastasis in T1-T2, Non-invasive, and Clinically Node Negative Papillary Thyroid Carcinoma. Front. Med. 2021, 8, 635771. [Google Scholar] [CrossRef] [PubMed]
- Kim, H.; Kim, K.; Bae, J.S.; Kim, J.S. Clinical assessment of T2 papillary thyroid carcinoma: A retrospective study conducted at a single tertiary institution. Sci. Rep. 2022, 12, 13548. [Google Scholar] [CrossRef]
- Hughes, D.T.; Rosen, J.E.; Evans, D.B.; Grubbs, E.; Wang, T.S.; Solórzano, C.C. Prophylactic Central Compartment Neck Dissection in Papillary Thyroid Cancer and Effect on Locoregional Recurrence. Ann. Surg. Oncol. 2018, 25, 2526–2534. [Google Scholar] [CrossRef]
- Haugen, B.R.; Alexander, E.K.; Bible, K.C.; Doherty, G.M.; Mandel, S.J.; Nikiforov, Y.E.; Pacini, F.; Randolph, G.W.; Sawka, A.M.; Schlumberger, M.; et al. 2015 American Thyroid Association Management Guidelines for Adult Patients with Thyroid Nodules and Differentiated Thyroid Cancer: The American Thyroid Association Guidelines Task Force on Thyroid Nodules and Differentiated Thyroid Cancer. Thyroid 2016, 26, 1–133. [Google Scholar] [CrossRef]
- Sippel, R.S.; Robbins, S.E.; Poehls, J.L.; Pitt, S.C.; Chen, H.; Leverson, G.; Long, K.L.; Schneider, D.F.; Connor, N.P. A Randomized Controlled Clinical Trial: No Clear Benefit to Prophylactic Central Neck Dissection in Patients with Clinically Node Negative Papillary Thyroid Cancer. Ann. Surg. 2020, 272, 496–503. [Google Scholar] [CrossRef]
- Ito, Y.; Onoda, N.; Okamoto, T. The revised clinical practice guidelines on the management of thyroid tumors by the Japan Associations of Endocrine Surgeons: Core questions and recommendations for treatments of thyroid cancer. Endocr. J. 2020, 67, 669–717. [Google Scholar] [CrossRef]
- Goran, M.; Pekmezovic, T.; Markovic, I.; Santrac, N.; Buta, M.; Gavrilovic, D.; Besic, N.; Ito, Y.; Djurisic, I.; Pupic, G.; et al. Lymph node metastases in clinically N0 patients with papillary thyroid microcarcinomas—A single institution experience. J. Buon Off. J. Balk. Union Oncol. 2017, 22, 224–231. [Google Scholar]
- Liu, H.; Li, Y.; Mao, Y. Local lymph node recurrence after central neck dissection in papillary thyroid cancers: A meta analysis. Eur. Ann. Otorhinolaryngol. Head Neck Dis. 2019, 136, 481–487. [Google Scholar] [CrossRef] [PubMed]
- Gonçalves Filho, J.; Zafereo, M.E.; Ahmad, F.I.; Nixon, I.J.; Shaha, A.R.; Vander Poorten, V.; Sanabria, A.; Hefetz, A.K.; Robbins, K.T.; Kamani, D.; et al. Decision making for the central compartment in differentiated thyroid cancer. Eur. J. Surg. Oncol. J. Eur. Soc. Surg. Oncol. Br. Assoc. Surg. Oncol. 2018, 44, 1671–1678. [Google Scholar] [CrossRef]
- Delgado-Oliver, E.; Vidal-Sicart, S.; Martínez, D.; Squarcia, M.; Mora, M.; Hanzu, F.A.; Halperin, I.; Fuster, D.; Fondevila, C.; Vidal-Perez, Ó. Applicability of sentinel lymph node biopsy in papillary thyroid cancer. Q. J. Nucl. Med. Mol. Imaging 2020, 64, 400–405. [Google Scholar] [CrossRef]
- Garau, L.M.; Rubello, D.; Muccioli, S.; Boni, G.; Volterrani, D.; Manca, G. The sentinel lymph node biopsy technique in papillary thyroid carcinoma: The issue of false-negative findings. Eur. J. Surg. Oncol. 2020, 46, 967–975. [Google Scholar] [CrossRef] [PubMed]
- Nylén, C.; Eriksson, F.B.; Yang, A.; Aniss, A.; Turchini, J.; Learoyd, D.; Robinson, B.G.; Gill, A.J.; Clifton-Bligh, R.J.; Sywak, M.S.; et al. Prophylactic central lymph node dissection informs the decision of radioactive iodine ablation in papillary thyroid cancer. Am. J. Surg. 2021, 221, 886–892. [Google Scholar] [CrossRef]
- Wu, Y.; Rao, K.; Liu, J.; Han, C.; Gong, L.; Chong, Y.; Liu, Z.; Xu, X. Machine Learning Algorithms for the Prediction of Central Lymph Node Metastasis in Patients with Papillary Thyroid Cancer. Front. Endocrinol. 2020, 11, 577537. [Google Scholar] [CrossRef]
- Richter, A.N.; Khoshgoftaar, T.M. A review of statistical and machine learning methods for modeling cancer risk using structured clinical data. Artif. Intell. Med. 2018, 90, 1–14. [Google Scholar] [CrossRef]
- Miller, D.D.; Brown, E.W. Artificial Intelligence in Medical Practice: The Question to the Answer? Am. J. Med. 2018, 131, 129–133. [Google Scholar] [CrossRef]
- Tuttle, R.M.; Haugen, B.; Perrier, N.D. Updated American Joint Committee on Cancer/Tumor-Node-Metastasis Staging System for Differentiated and Anaplastic Thyroid Cancer (Eighth Edition): What Changed and Why? Thyroid 2017, 27, 751–756. [Google Scholar] [CrossRef] [PubMed]
- Markovic, I.; Goran, M.; Buta, M.; Stojiljkovic, D.; Zegarac, M.; Milovanovic, Z.; Dzodic, R. Sentinel lymph node biopsy in clinically node negative patients with papillary thyroid carcinoma. J. Buon Off. J. Balk. Union Oncol. 2020, 25, 376–382. [Google Scholar]
- Lundberg, S.M.; Lee, S.-I. A unified approach to interpreting model predictions. In Advances in Neural Information Processing Systems 30; Guyon, I., Luxburg, U.V., Bengio, S., Wallach, H., Fergus, R., Vishwanathan, S., Garnett, R., Eds.; Curran Associates, Inc.: Red Hook, NY, USA, 2017; pp. 4765–4774. Available online: http://papers.nips.cc/paper/7062-a-unified-approach-tointerpreting-model-predictions.pdf (accessed on 26 April 2023).
- Zhao, H.; Li, H. Meta-analysis of ultrasound for cervical lymph nodes in papillary thyroid cancer: Diagnosis of central and lateral compartment nodal metastases. Eur. J. Radiol. 2019, 112, 14–21. [Google Scholar] [CrossRef]
- Feng, J.-W.; Yang, X.-H.; Wu, B.-Q.; Sun, D.-L.; Jiang, Y.; Qu, Z. Predictive factors for central lymph node and lateral cervical lymph node metastases in papillary thyroid carcinoma. Clin. Transl. Oncol. 2019, 21, 1482–1491. [Google Scholar] [CrossRef]
- Liu, C.; Xiao, C.; Chen, J.; Li, X.; Feng, Z.; Gao, Q.; Liu, Z. Risk factor analysis for predicting cervical lymph node metastasis in papillary thyroid carcinoma: A study of 966 patients. BMC Cancer 2019, 19, 622. [Google Scholar] [CrossRef] [PubMed]
- Mao, J.; Zhang, Q.; Zhang, H.; Zheng, K.; Wang, R.; Wang, G. Risk Factors for Lymph Node Metastasis in Papillary Thyroid Carcinoma: A Systematic Review and Meta-Analysis. Front. Endocrinol. 2020, 11, 265. [Google Scholar] [CrossRef] [PubMed]
- Feng, J.-W.; Ye, J.; Qi, G.-F.; Hong, L.-Z.; Wang, F.; Liu, S.-Y.; Jiang, Y. LASSO-based machine learning models for the prediction of central lymph node metastasis in clinically negative patients with papillary thyroid carcinoma. Front. Endocrinol. 2022, 13, 1030045. [Google Scholar] [CrossRef]
- Cheng, F.; Chen, Y.; Zhu, L.; Zhou, B.; Xu, Y.; Chen, Y.; Wen, L.; Chen, S. Risk Factors for Cervical Lymph Node Metastasis of Papillary Thyroid Microcarcinoma: A Single-Center Retrospective Study. Int. J. Endocrinol. 2019, 2019, 8579828. [Google Scholar] [CrossRef]
- Feng, J.-W.; Hong, L.-Z.; Wang, F.; Wu, W.-X.; Hu, J.; Liu, S.-Y.; Jiang, Y.; Ye, J. A Nomogram Based on Clinical and Ultrasound Characteristics to Predict Central Lymph Node Metastasis of Papillary Thyroid Carcinoma. Front. Endocrinol. 2021, 12, 666315. [Google Scholar] [CrossRef]
- Qu, N.; Zhang, L.; Ji, Q.; Zhu, Y.; Wang, Z.; Shen, Q.; Wang, Y.; Li, D. Number of tumor foci predicts prognosis in papillary thyroid cancer. BMC Cancer 2014, 14, 914. [Google Scholar] [CrossRef]
- Parvathareddy, S.K.; Siraj, A.K.; Qadri, Z.; DeVera, F.; Siddiqui, K.; Al-Sobhi, S.S.; Al-Dayel, F.; Al-Kuraya, K.S. Microscopic Extrathyroidal Extension Results in Increased Rate of Tumor Recurrence and Is an Independent Predictor of Patient’s Outcome in Middle Eastern Papillary Thyroid Carcinoma. Front. Oncol. 2021, 11, 724432. [Google Scholar] [CrossRef] [PubMed]
- Zhang, Q.; Wang, Z.; Meng, X.; Duh, Q.-Y.; Chen, G. Predictors for central lymph node metastases in CN0 papillary thyroid microcarcinoma (mPTC): A retrospective analysis of 1304 cases. Asian J. Surg. 2019, 42, 571–576. [Google Scholar] [CrossRef] [PubMed]
- Alabousi, M.; Alabousi, A.; Adham, S.; Pozdnyakov, A.; Ramadan, S.; Chaudhari, H.; Young, J.E.M.; Gupta, M.; Harish, S. Diagnostic Test Accuracy of Ultrasonography vs Computed Tomography for Papillary Thyroid Cancer Cervical Lymph Node Metastasis: A Systematic Review and Meta-analysis. JAMA Otolaryngol. Neck Surg. 2022, 148, 107. [Google Scholar] [CrossRef] [PubMed]
- Gulec, S.A.; Ahuja, S.; Avram, A.M.; Bernet, V.J.; Bourguet, P.; Draganescu, C.; Elisei, R.; Giovanella, L.; Grant, F.; Greenspan, B.; et al. A Joint Statement from the American Thyroid Association, the European Association of Nuclear Medicine, the European Thyroid Association, the Society of Nuclear Medicine and Molecular Imaging on Current Diagnostic and Theranostic Approaches in the Management of Thyroid Cancer. Thyroid 2021, 31, 1009–1019. [Google Scholar] [CrossRef]
- Avram, A.M.; Giovanella, L.; Greenspan, B.; Lawson, S.A.; Luster, M.; Van Nostrand, D.; Peacock, J.G.; Ovčariček, P.P.; Silberstein, E.; Tulchinsky, M.; et al. SNMMI Procedure Standard/EANM Practice Guideline for Nuclear Medicine Evaluation and Therapy of Differentiated Thyroid Cancer: Abbreviated Version. J. Nucl. Med. Off. Publ. Soc. Nucl. Med. 2022, 63, 15N–35N. [Google Scholar]
- Feng, J.-W.; Ye, J.; Qi, G.-F.; Hong, L.-Z.; Wang, F.; Liu, S.-Y.; Jiang, Y. A comparative analysis of eight machine learning models for the prediction of lateral lymph node metastasis in patients with papillary thyroid carcinoma. Front. Endocrinol. 2022, 13, 1004913. [Google Scholar] [CrossRef]
- Liu, W.; Wang, S.; Xia, X.; Guo, M. A Proposed Heterogeneous Ensemble Algorithm Model for Predicting Central Lymph Node Metastasis in Papillary Thyroid Cancer. Int. J. Gen. Med. 2022, 15, 4717–4732. [Google Scholar] [CrossRef]
- Lai, S.; Fan, Y.; Zhu, Y.; Zhang, F.; Guo, Z.; Wang, B.; Wan, Z.; Liu, P.; Yu, N.; Qin, H. Machine learning-based dynamic prediction of lateral lymph node metastasis in patients with papillary thyroid cancer. Front. Endocrinol. 2022, 13, 1019037. [Google Scholar] [CrossRef]
- Lever, J. Classification evaluation: It is important to understand both what a classification metric expresses and what it hides. Nat. Methods 2016, 13, 603–605. [Google Scholar] [CrossRef]





| Charasteristics | LNM− | LNM+ | p Value |
|---|---|---|---|
| (n = 147) | (n = 141) | ||
| Age | 50.7 ± 12.9 | 43.2 ± 13.1 | <0.001 |
| Sex | |||
| Male | 35 (23.8) | 37 (26.2) | 0.634 |
| Female | 112 (76.2) | 104 (73.8) | |
| TSH value (µIU/mL) | 1.67 (0.01–11.9) | 1.80 (0.01–10.3) | 0.255 |
| Tumor size (in mm) | 7 (1–40) | 14 (1–40) | <0.001 |
| Tumor size (categories, mm) | |||
| ≤5 | 46 (31.3) | 11 (7.8) | |
| 6–10 | 62 (42.2) | 37 (26.2) | <0.001 |
| 11–20 | 30 (20.4) | 56 (39.7) | |
| 21–40 | 9 (6.1) | 37 (26.2) | |
| Multifocality | |||
| No | 103 (70.1) | 81 (57.4) | 0.026 |
| Yes | 44 (29.9) | 60 (42.6) | |
| Number of tumor foci | |||
| 1 | 103 (70.1) | 81 (57.4) | |
| 2 | 34 (23.1) | 82 (19.9) | 0.004 |
| ≥3 | 10 (6.8) | 32 (22.7) | |
| Bilateral | |||
| No | 117 (79.6) | 95 (67.94) | 0.019 |
| Yes | 30 (20.4) | 46 (32.6) | |
| Presence of Thyroid CI or microETE | |||
| No thyroid CI or micro ETE | 107 (72.8) | 74 (52.5) | |
| Thyroid CI | 24 (16.3) | 34 (24.1) | <0.001 |
| MicroETE | 16 (10.9) | 33 (23.4) | |
| Lymphovascular invasion | |||
| No | 144 (98.0) | 129 (91.5) | 0.014 |
| Yes | 3 (2.0) | 12 (8.5) |
| ML Model | Sensitivity | Specificity | NPV | PPV | AUC | Accuracy | F1 | F2 |
|---|---|---|---|---|---|---|---|---|
| KNN | 0.95 | 0.28 | 0.85 | 0.56 | 0.78 | 0.61 | 0.70 | 0.83 |
| SVM | 0.98 | 0.27 | 0.93 | 0.56 | 0.81 | 0.62 | 0.71 | 0.85 |
| LR | 0.98 | 0.21 | 0.91 | 0.54 | 0.81 | 0.59 | 0.69 | 0.84 |
| DT | 0.95 | 0.09 | 0.67 | 0.50 | 0.76 | 0.51 | 0.66 | 0.81 |
Disclaimer/Publisher’s Note: The statements, opinions and data contained in all publications are solely those of the individual author(s) and contributor(s) and not of MDPI and/or the editor(s). MDPI and/or the editor(s) disclaim responsibility for any injury to people or property resulting from any ideas, methods, instructions or products referred to in the content. |
© 2023 by the authors. Licensee MDPI, Basel, Switzerland. This article is an open access article distributed under the terms and conditions of the Creative Commons Attribution (CC BY) license (https://creativecommons.org/licenses/by/4.0/).
Share and Cite
Popović Krneta, M.; Šobić Šaranović, D.; Mijatović Teodorović, L.; Krajčinović, N.; Avramović, N.; Bojović, Ž.; Bukumirić, Z.; Marković, I.; Rajšić, S.; Djorović, B.B.; et al. Prediction of Cervical Lymph Node Metastasis in Clinically Node-Negative T1 and T2 Papillary Thyroid Carcinoma Using Supervised Machine Learning Approach. J. Clin. Med. 2023, 12, 3641. https://doi.org/10.3390/jcm12113641
Popović Krneta M, Šobić Šaranović D, Mijatović Teodorović L, Krajčinović N, Avramović N, Bojović Ž, Bukumirić Z, Marković I, Rajšić S, Djorović BB, et al. Prediction of Cervical Lymph Node Metastasis in Clinically Node-Negative T1 and T2 Papillary Thyroid Carcinoma Using Supervised Machine Learning Approach. Journal of Clinical Medicine. 2023; 12(11):3641. https://doi.org/10.3390/jcm12113641
Chicago/Turabian StylePopović Krneta, Marina, Dragana Šobić Šaranović, Ljiljana Mijatović Teodorović, Nemanja Krajčinović, Nataša Avramović, Živko Bojović, Zoran Bukumirić, Ivan Marković, Saša Rajšić, Biljana Bazić Djorović, and et al. 2023. "Prediction of Cervical Lymph Node Metastasis in Clinically Node-Negative T1 and T2 Papillary Thyroid Carcinoma Using Supervised Machine Learning Approach" Journal of Clinical Medicine 12, no. 11: 3641. https://doi.org/10.3390/jcm12113641
APA StylePopović Krneta, M., Šobić Šaranović, D., Mijatović Teodorović, L., Krajčinović, N., Avramović, N., Bojović, Ž., Bukumirić, Z., Marković, I., Rajšić, S., Djorović, B. B., Artiko, V., Karličić, M., & Tanić, M. (2023). Prediction of Cervical Lymph Node Metastasis in Clinically Node-Negative T1 and T2 Papillary Thyroid Carcinoma Using Supervised Machine Learning Approach. Journal of Clinical Medicine, 12(11), 3641. https://doi.org/10.3390/jcm12113641

