Next Article in Journal
Individualized Prediction of Drug Resistance in People with Post-Stroke Epilepsy: A Retrospective Study
Previous Article in Journal
Prenatal Diagnosis of an Intrathoracic Left Kidney Associated with Congenital Diaphragmatic Hernia: Case Report and Systematic Review
 
 
Font Type:
Arial Georgia Verdana
Font Size:
Aa Aa Aa
Line Spacing:
Column Width:
Background:
Article

Laboratory Data and IBDQ—Effective Predictors for the Non-Invasive Machine-Learning-Based Prediction of Endoscopic Activity in Ulcerative Colitis

by
Otilia Gavrilescu
1,2,†,
Iolanda Valentina Popa
3,*,†,
Mihaela Dranga
1,2,*,
Ruxandra Mihai
3,
Cristina Cijevschi Prelipcean
2 and
Cătălina Mihai
1,2
1
Medicale I Department, “Grigore T. Popa” University of Medicine and Pharmacy, 700115 Iasi, Romania
2
“Saint Spiridon” County Hospital, 700111 Iasi, Romania
3
Medicale II Department, “Grigore T. Popa” University of Medicine and Pharmacy, 700115 Iasi, Romania
*
Authors to whom correspondence should be addressed.
These authors contributed equally to this work.
J. Clin. Med. 2023, 12(11), 3609; https://doi.org/10.3390/jcm12113609
Submission received: 19 March 2023 / Revised: 14 May 2023 / Accepted: 22 May 2023 / Published: 23 May 2023
(This article belongs to the Section Gastroenterology & Hepatopancreatobiliary Medicine)

Abstract

A suitable, non-invasive biomarker for assessing endoscopic disease activity (EDA) in ulcerative colitis (UC) has yet to be identified. Our study aimed to develop a cost-effective and non-invasive machine learning (ML) method that utilizes the cost-free Inflammatory Bowel Disease Questionnaire (IBDQ) score and low-cost biological predictors to estimate EDA. Four random forest (RF) and four multilayer perceptron (MLP) classifiers were proposed. The results show that the inclusion of IBDQ in the list of predictors that were fed to the models improved accuracy and the AUC for both the RF and the MLP algorithms. Moreover, the RF technique performed noticeably better than the MLP method on unseen data (the independent patient cohort). This is the first study to propose the use of IBDQ as a predictor in an ML model to estimate UC EDA. The deployment of this ML model can furnish doctors and patients with valuable insights into EDA, a highly beneficial resource for individuals with UC who need long-term treatment.

Graphical Abstract

1. Introduction

Ulcerative colitis (UC) is a chronic inflammatory condition characterized by a recurring pattern of disease flare-ups followed by periods of remission.
When intestinal inflammation is not appropriately managed, UC has an increased risk of complications. Modern treatment strategies for UC have redefined the therapeutic goal as obtaining “disease clearance” with clinical and biological remission as well as endoscopical and histological healing. In the future, molecular remission may also be targeted [1].
Endoscopy represents the gold standard of diagnosis for UC patients. It is a feasible procedure that has the ability to obtain mucosal biopsies and offers high diagnosis accuracy. Endoscopy plays an integral role in the diagnosis, monitoring and management of UC patients [2]. It can assess and stratify disease activity, evolution and treatment [3]. However, endoscopy is invasive and very discomforting for the patient, which makes it challenging for patients to comply with medical recommendations regarding disease monitoring and screening [4]. For this reason, the international community of GI experts is still searching for the ideal biomarker (non-invasive, non-expensive, readily available) to revolutionize disease monitoring in UC [5].
Over the past few years, machine learning (ML) has become a potent instrument in the field of medicine, thanks to its capacity for discrimination and decision making. ML algorithms possess the ability to continually update their learning and capture connections between variables, making them an effective strategy for developing prediction models for UC disease activity. Earlier investigations have revealed that ML models can achieve higher levels of accuracy in evaluating and estimating disease activity [6].
Most of the previous studies that evaluated ML solutions for estimating disease activity have primarily relied on symptoms, laboratory values or radiological and imaging features as predictors [7,8,9].
To the best of our knowledge, there have not been any prior investigations that have utilized ML models to forecast endoscopic disease activity (EDA) in patients with UC incorporating a quality of life assessment tool—the Inflammatory Bowel Disease Questionnaire (IBDQ) score [10]—as one of the predictors. Patient-reported outcomes (PROs) measure the patient’s experience of the disease and impact of treatment without the burden of extensive medical evaluations, leading to improvement in the patient’s quality of life. In recent times, the attainment of living remission, which includes normalized health-related quality of life and the elimination of disability, has emerged as a therapeutic target and disease activity index [11,12].
Our study aimed to (1) develop an easily accessible, economical and non-invasive ML method to accurately predict EDA based on low-cost biological predictors and (2) prove that adding a no-cost clinical predictor such as the IBDQ score can significantly improve the accuracy of estimating endoscopic activity. The deployment of this machine learning forecasting model can furnish doctors and patients with valuable insights into EDA, a highly beneficial resource for individuals with ulcerative colitis who need long-term treatment.

2. Materials and Methods

2.1. Study Design

We conducted a prospective, observational, single-center, cohort study that included 187 UC patient records. All patients were hospitalized between October 2012 and November 2022 and were confirmed to have a diagnosis of UC using complete hematological, biochemical tests, endoscopic and imagistic examinations and histopathology confirmation. The inclusion criteria required that patients undergo colonoscopy to assess the disease. Each patient completed the IBDQ, which evaluates the health-related quality of life of inflammatory bowel disease (IBD) patients.
Cases were excluded if they had concurrent disorders, such as infections, autoimmune and inflammatory conditions, cirrhosis, neoplasia or hemodialysis, which could influence medical parameters.
The study was approved by the local ethics committee within “Grigore T. Popa” University of Medicine and Pharmacy, Iasi, Romania (No. 65/04.10.2012). Each patient provided written informed consent.

2.2. Data Acquisition

The parameters collected for the study comprised multiple continuous variables (IBDQ score, age, smoking pack years, relapses per year, hemoglobin, hematocrit, mean corpuscular volume—MCV, mean corpuscular hemoglobin concentration—MCHC, platelet count, white blood cell count—WBC, erythrocyte sedimentation rate—ESR, fibrinogen, C-reactive protein—CRP, total proteins, albumin) and several binary variables (denoting whether the patient was administered 5-aminosalicylic acid—5-ASA, topical or oral therapy, intravenous or oral corticosteroids, Azathioprine, Infliximab, Adalimumab, or antibiotics).
GI physicians from the Gastroenterology and Hepatology Institute, Iași, Romania, conducted colonoscopies using the EVIS EXERA II endoscopy system (Olympus America, Bartlett, TN, USA). The endoscopic Mayo score was calculated according to the latest European consensus guidelines [13]. We used two classifications for the predictions. For the first classification, a Mayo score of 0 or 1 is considered to indicate endoscopic remission, while a score of 2 or 3 indicates active disease (or relapse). Moreover, a Mayo score of 3 defines severe disease. A Mayo score of 2 indicates moderate endoscopic disease. Finally, we define mild disease (including disease in remission) as an endoscopic Mayo score of 1 or 0.

2.3. Preprocessing

The preprocessing, feature selection and models’ implementation were carried out in RStudio 2023.03.0 + 386 (3c53477a, 9 March 2023) for Windows.
Documented continuous variables were normalized in the range [0, 1]. Values of hemoglobin and hematocrit were determined to resolve the differences between sexes.

2.4. Feature Selection

As the continuous parameters did not have a normal distribution, the Kruskal–Wallis rank sum test was conducted to identify which of the collected continuous variables were correlated with the endoscopic activity.
Pearson’s chi-squared test of independence was performed to examine whether there was a relationship between each categorical parameter and the endoscopic activity.
The continuous and categorical parameters presenting a significant statistical difference (p < 0.5) between the endoscopic classes (activity/remission), as identified using the Kruskal–Wallis and Pearson’s chi-squared tests, were selected as predictors for the ML models.

2.5. Development of the ML Models

We randomly split the initial data of 187 UC patients into a training set of 150 records (80%) and a test set of 37 records (20%).
Random forest (RF) and multilayer perceptron (MLP) classifiers were developed. We used the caret::train function in RStudio to build the models. To avoid overfitting, 10-fold cross-validation was employed. To address the issue of imbalanced Mayo classes, we utilized the synthetic minority over-sampling technique (SMOTE) in conjunction with the caret::train function. For the sake of the study’s reproducibility, Table 1 presents the parameters passed on to the caret::train function.
The first RF and the first MLP binary models were developed to predict EDA (activity/remission) based on the selected variables, excluding IBDQ score. The second RF and the second MLP binary classifiers were built to estimate EDA based on all the selected predictors, including the IBDQ score.
The third RF and the third MLP multiclass models were developed to predict endoscopic disease severity (mild/moderate/severe) based on the selected variables, excluding IBDQ score. The fourth RF and the fourth MLP multiclass classifiers were built to estimate endoscopic disease severity based on all the selected predictors, including IBDQ score.
The classifiers that included the IBDQ score as a predictor were built in order to assess whether including easily accessible and cost-free clinical data such as the IBDQ score next to the biological predictive variables could improve endoscopic activity estimation.
We evaluated the ML models for classification accuracy on both the test and training sets. Where applicable, we determined the area under the receiver operating characteristic curve (AUC) (binary AUC for the first and second RF and MLP models and multiclass AUC for the third and fourth RF and MLP models), sensitivity, specificity and the positive (PPV) and negative predictive value (NPV).

3. Results

The study included 187 UC patients, of which 110 (59%) were male and 77 (41%) were female. The age of the participants ranged from 18 to 76 years. Table 2 summarizes the selected parameters and IBDQ score for all patients as well as for each endoscopic activity class. Continuous variables are represented as median (interquartile range) and categorical variables are illustrated by the number of occurrences of each category. Endoscopic activity and severity classes were imbalanced in size (as illustrated in Table 2), which prompted the use of SMOTE in the development of the models.
Kruskal–Wallis rank sum (Table 3) and chi-square (Table 4) tests were applied to identify the continuous and categorical variables that were significantly related to the endoscopic Mayo score.
The feature selection step identified the following predictors to be used for the training of the ML models (p < 0.05): platelet count, WBC, fibrinogen, CRP, administration of oral corticosteroids and IBDQ score.
Based on the variables selected as predictors by the feature selection step, eight ML models were trained.
We developed the first RF and MLP models to predict EDA based on selected variables, excluding the IBDQ score. Table 5 presents a comparative overview of the performance metrics achieved by these classifiers.
The second RF and the second MLP classifiers were built to estimate EDA based on all the selected predictors, including the IBDQ score. The performance metrics achieved by these classifiers are comparatively presented in Table 6.
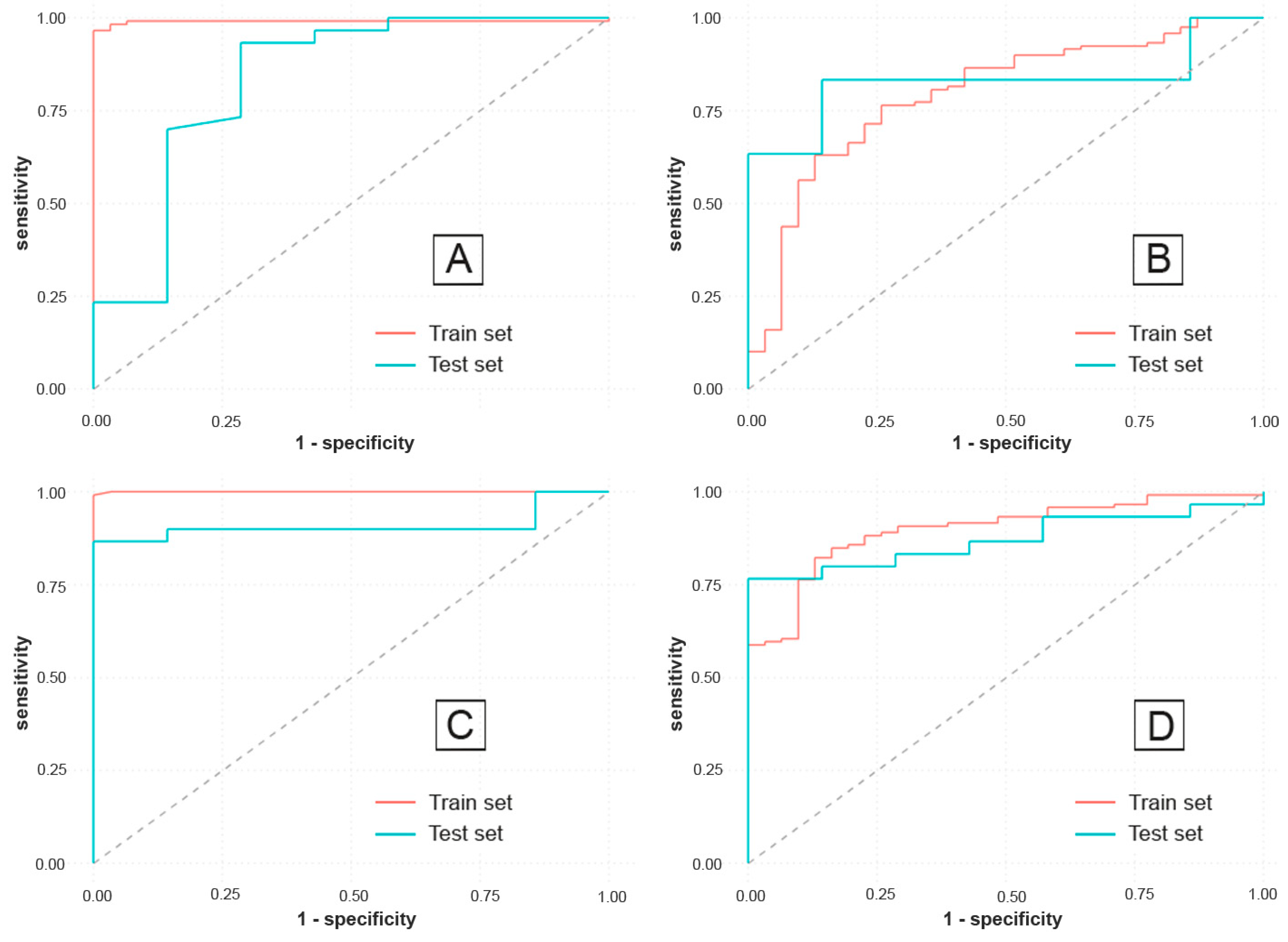
Figure 1 shows the ROC curves that illustrate the performance of all four developed models on both the train and test sets. It can be spotted visually how the inclusion of the IBDQ score as a predictor determined an increase in AUC for both the RF and MLP models.
Subsequently, we implemented and tested the third RF and MLP models to predict endoscopic disease severity based on selected variables, excluding the IBDQ score. Table 7 presents a comparative overview of the performance metrics achieved by the third classifiers.
Finally, the fourth RF and the fourth MLP classifiers were built to estimate endoscopic disease severity based on all the selected predictors, including the IBDQ score. The performance metrics achieved by these classifiers are comparatively presented in Table 8.

4. Discussion

Our research has produced an ML method that can predict EDA in UC patients using the cost-free IBDQ score and low-cost laboratory data. This is the first study to propose the use of IBDQ scores as a predictor in an ML model aimed to estimate UC EDA. Our findings indicate that it is possible to distinguish between active and inactive UC (with high accuracy) and between mild, moderate and severe disease (with moderate AUC) using non-invasive and low-cost clinical and biological predictors.
Originally, the study went through the feature selection step and identified several non-invasive predictors related to the endoscopic activity: platelet count, WBC, fibrinogen, CRP, administration of oral corticosteroids and IBDQ score. This is in accordance with the existing scientific literature since many of these variables have already been examined in the search for the optimal biomarker for assessing endoscopic activity [14,15,16]. However, our paper is the first to consider IBDQ in conjunction with other biological variables as a trustworthy predictor.
Next, we employed several ML algorithms, RF and MLP, to predict EDA and endoscopic disease severity and comparatively studied their performance. The results show that the inclusion of the IBDQ score in the list of predictors that were fed to the models improved accuracy and AUC for both the RF and the MLP algorithms. Moreover, the RF technique performed visibly better than the MLP method on unseen data (the independent patient cohort). This is good news as, although neural networks are highly powerful predictive tools, RF algorithms are less computationally expensive and are more interpretable, which is necessary for analyzing a large amount of medical data [17].
Distinguishing between active disease and remission in ulcerative colitis is important for monitoring disease progression over time [13,18]. If a patient is in remission, it is important to monitor for signs of relapse [16]. If a patient has active disease, frequent monitoring may be needed to ensure that treatment is effective in inducing remission. The second RF and MLP models achieved high accuracy in distinguishing between active and inactive endoscopic disease. Although useful in clinical practice, the status of active disease or remission does not provide enough detail about the severity of the disease or the potential for complications.
The fourth RF and MLP models were built to push the limit even further by discriminating between mild, moderate and severe disease. This is important because they can help guide treatment decisions and predict disease outcomes [13,16]. For instance, patients with mild disease could be managed through escalation of therapy without a colonoscopy, while more severe disease prompts the need for a colonoscopy. Patients with moderate endoscopic disease may be treated with a combination of medications, while patients with severe endoscopic disease may require more potent medications such as biologics or surgery. The severity of endoscopic disease can also help predict the likelihood of disease complications, such as hospitalization, surgery or colorectal cancer [13]. Patients with severe endoscopic disease are at higher risk for complications and may require closer monitoring. Moreover, clinical trials for ulcerative colitis often stratify patients by endoscopic disease severity, allowing researchers to evaluate the efficacy and safety of different treatments in patients with different levels of disease severity [13]. The accuracy and AUC of the fourth RF and MLP models are, however, mediocre. This is due to the small number of patients in our cohort, which did not allow for exhaustive model training. This limitation will be resolved in our future studies, after enriching our database with more data.
The primary goal of treating patients with IBD, as the Selecting Therapeutic Targets in Inflammatory Bowel Disease initiative (STRIDE-II) states [19], is to maintain long-term health-related quality of life by obtaining clinical response and remission, endoscopic healing, normalization of C-reactive protein, erythrocyte sedimentation rate and calprotectin [19].
The definitive aim of PRO measurement (through questionnaires such as the IBDQ) is to improve the quality of life with treatment so as to be comparable to the quality of life before disease onset. Therefore, a therapeutic target set by STRIDE-II is to achieve favorable PROs, emphasizing the importance of quality of life as a therapeutic goal. The inclusion of a resource-free tool such as the IBDQ as a predictor in ML models to estimate endoscopic outcomes is a natural, scientifically supported step.
Several disease activity biomarkers for UC have been studied and used in clinical practice [18]. Among them, fecal calprotectin (FC) proved to be the best, achieving highest prediction accuracies. FC is a non-invasive and repeatable marker that has been demonstrated to have a good correlation with disease activity, and even to have the ability of indicating mucosal healing in patients with UC [20].
However, this indicator has some disadvantages. Every step of FC measurement can influence the results, leading to misinterpretations. Moreover, there may be false-positive values in patients with inflammatory polyps within 3 months of surgery or within 2 weeks of colonoscopy or in patients taking proton pump inhibitors or non-steroidal anti-inflammatory drugs [18]. Moreover, compared to ML tools for assessing disease activity in patients with UC in routine practice, FC is more expensive and is not routinely available in some countries [18].
ML can be used as a valuable tool for improving patient care at every stage of disease. UC is a progressive disease with an unpredictable course, and it is associated with high healthcare costs. Disease activity is an indispensable assessment for developing and determining appropriate management in patients with UC.
ML algorithms are quickly becoming an integral part of modern healthcare, being affordable, non-invasive and easy to use. ML algorithms could help reduce the substantial costs associated with IBD care and improve long-term outcomes.

Limitations

The first limitation is that our dataset is small and the independent test set comes from the same center, which means that in the future, we need to conduct extensive external validation with data from other centers. The second issue is that the endoscopic activity classes are unevenly distributed, which may lead to calculation biases. However, we attempted to minimize these biases by using the SMOTE function in R.

5. Conclusions

To sum up, employing ML models that incorporate clinical and laboratory variables can be a valuable non-invasive method for estimating EDA in patients with long-standing UC. The development and validation of enhanced ML techniques could assist in identifying personalized treatment plans and follow-up strategies and could result in more frequent monitoring of subclinical UC disease activity with fewer invasive procedures, reduced exposure to potential risks and increased patient comfort.

Author Contributions

Conceptualization, O.G., I.V.P., M.D., R.M., C.C.P. and C.M.; Methodology, O.G., I.V.P., M.D., R.M., C.C.P. and C.M.; Software, O.G., I.V.P., M.D., R.M., C.C.P. and C.M.; Data curation, O.G., I.V.P., M.D., R.M., C.C.P. and C.M.; Writing—original draft, O.G., I.V.P., M.D., R.M., C.C.P. and C.M.; Writing—review & editing, O.G., I.V.P., M.D., R.M., C.C.P. and C.M.; Supervision, O.G., I.V.P., M.D., R.M., C.C.P. and C.M. All authors have read and agreed to the published version of the manuscript.

Funding

This research received no external funding.

Institutional Review Board Statement

The study was conducted in accordance with the Declaration of Helsinki, and approved by the Ethics Committee of “Grigore T. Popa” University of Medicine and Pharmacy, Iasi, Romania (No. 65/04.10.2012).

Informed Consent Statement

Informed consent was obtained from all individual participants included in the study.

Data Availability Statement

The data presented in this study are available on request from the corresponding author.

Conflicts of Interest

The authors declare that they have no conflict of interest.

References

  1. Ramos, L.; Teo-Loy, J.; Acosta, M.B.-D. Disease clearance in ulcerative colitis: Setting the therapeutic goals for future in the treatment of ulcerative colitis. Front. Med. 2022, 9, 1102420. [Google Scholar] [CrossRef] [PubMed]
  2. Ungaro, R.; Colombel, J.-F.; Lissoos, T.; Peyrin-Biroulet, L. A Treat-to-Target Update in Ulcerative Colitis: A Systematic Review. Am. J. Gastroenterol. 2019, 114, 874–883. [Google Scholar] [CrossRef] [PubMed]
  3. Dulai, P.S.; Singh, S.; Jairath, V.; Ma, C.; Narula, N.; Casteele, N.V.; Peyrin-Biroulet, L.; Vermeire, S.; D’haens, G.; Feagan, B.G.; et al. Prevalence of endoscopic improvement and remission according to patient-reported outcomes in ulcerative colitis. Aliment. Pharmacol. Ther. 2020, 51, 435–445. [Google Scholar] [CrossRef] [PubMed]
  4. Plevris, N.; Lees, C.W. Disease Monitoring in Inflammatory Bowel Disease: Evolving Principles and Possibilities. Gastroenterology 2022, 162, 1456–1475.e1451. [Google Scholar] [CrossRef] [PubMed]
  5. Sakurai, T.; Saruta, M. Positioning and Usefulness of Biomarkers in Inflammatory Bowel Disease. Digestion 2023, 104, 30–41. [Google Scholar] [CrossRef] [PubMed]
  6. Stankovic, B.; Kotur, N.; Nikcevic, G.; Gasic, V.; Zukic, B.; Pavlovic, S. Machine Learning Modeling from Omics Data as Prospective Tool for Improvement of Inflammatory Bowel Disease Diagnosis and Clinical Classifications. Genes 2021, 12, 1438. [Google Scholar] [CrossRef] [PubMed]
  7. Gubatan, J.; Levitte, S.; Patel, A.; Balabanis, T.; Wei, M.T.; Sinha, S.R. Artificial intelligence applications in inflammatory bowel disease: Emerging technologies and future directions. World J. Gastroenterol. 2021, 27, 1920–1935. [Google Scholar] [CrossRef] [PubMed]
  8. Popa, I.V.; Burlacu, A.; Gavrilescu, O.; Dranga, M.; Prelipcean, C.C.; Mihai, C. A new approach to predict ulcerative colitis activity through standard clinical–biological parameters using a robust neural network model. Neural Comput. Appl. 2021, 33, 14133–14146. [Google Scholar] [CrossRef]
  9. Popa, I.V.; Diculescu, M.; Mihai, C.; Prelipcean, C.C.; Burlacu, A. Developing a Neural Network Model for a Non-invasive Prediction of Histologic Activity in Inflammatory Bowel Diseases. Turk. J. Gastroenterol. Off. J. Turk. Soc. Gastroenterol. 2021, 32, 276–286. [Google Scholar] [CrossRef] [PubMed]
  10. Yarlas, A.; Maher, S.; Bayliss, M.; Lovley, A.; Cappelleri, J.C.; Bushmakin, A.G.; DiBonaventura, M.D. The Inflammatory Bowel Disease Questionnaire in Randomized Controlled Trials of Treatment for Ulcerative Colitis: Systematic Review and Meta-Analysis. J. Patient-Cent. Res. Rev. 2020, 7, 189–205. [Google Scholar] [CrossRef] [PubMed]
  11. Kishi, M.; Hirai, F.; Takatsu, N.; Hisabe, T.; Takada, Y.; Beppu, T.; Takeuchi, K.; Naganuma, M.; Ohtsuka, K.; Watanabe, K.; et al. A review on the current status and definitions of activity indices in inflammatory bowel disease: How to use indices for precise evaluation. J. Gastroenterol. 2022, 57, 246–266. [Google Scholar] [CrossRef] [PubMed]
  12. Gavrilescu, O.; Prelipcean, C.C.; Dranga, M.; Popa, I.V.; Mihai, C. Impact of COVID-19 Pandemic on the Quality of Life of IBD Patients. Medicina 2022, 58, 562. [Google Scholar] [CrossRef] [PubMed]
  13. Magro, F.; Gionchetti, P.; Eliakim, R.; Ardizzone, S.; Armuzzi, A.; Barreiro-de Acosta, M.; Burisch, J.; Gecse, K.B.; Hart, A.L.; Hindryckx, P.; et al. Third European evidence-based consensus on diagnosis and management of ulcerative colitis. Part 1: Definitions, Diagnosis, Extra-intestinal Manifestations, Pregnancy, Cancer Surveillance, Surgery, and Ileo-anal Pouch Disorders. J. Crohn’s Colitis 2017, 11, 649–670. [Google Scholar] [CrossRef] [PubMed]
  14. Wagatsuma, K.; Yokoyama, Y.; Nakase, H. Role of Biomarkers in the Diagnosis and Treatment of Inflammatory Bowel Disease. Life 2021, 11, 1375. [Google Scholar] [CrossRef] [PubMed]
  15. Chen, P.; Zhou, G.; Lin, J.; Li, L.; Zeng, Z.; Chen, M.; Zhang, S. Serum Biomarkers for Inflammatory Bowel Disease. Front. Med. 2020, 7, 123. [Google Scholar] [CrossRef]
  16. Dragoni, G.; Innocenti, T.; Galli, A. Biomarkers of Inflammation in Inflammatory Bowel Disease: How Long before Abandoning Single-Marker Approaches? Dig. Dis. 2021, 39, 190–203. [Google Scholar] [CrossRef] [PubMed]
  17. Alam, Z.; Rahman, M.S. A Random Forest based predictor for medical data classification using feature ranking. Inform. Med. Unlocked 2019, 15, 100180. [Google Scholar] [CrossRef]
  18. Singh, S.; Ananthakrishnan, A.N.; Nguyen, N.H.; Cohen, B.L.; Velayos, F.S.; Weiss, J.M.; Sultan, S.; Siddique, S.M.; Adler, J.; Chachu, K.A. AGA Clinical Practice Guideline on the Role of Biomarkers for the Management of Ulcerative Colitis. Gastroenterology 2023, 164, 344–372. [Google Scholar] [CrossRef]
  19. Turner, D.; Ricciuto, A.; Lewis, A.; D’amico, F.; Dhaliwal, J.; Griffiths, A.M.; Bettenworth, D.; Sandborn, W.J.; Sands, B.E.; Reinisch, W.; et al. STRIDE-II: An Update on the Selecting Therapeutic Targets in Inflammatory Bowel Disease (STRIDE) Initiative of the International Organization for the Study of IBD (IOIBD): Determining Therapeutic Goals for Treat-to-Target strategies in IBD. Gastroenterology 2021, 160, 1570–1583. [Google Scholar] [CrossRef] [PubMed]
  20. Dranga, M.; Mihai, C.; Drug, V.; Dumitrescu, G.; Prelipcean, C.C. A rapid test for assessing disease activity in ulcerative colitis. Turk. J. Gastroenterol. Off. J. Turk. Soc. Gastroenterol. 2020, 27, 149–155. [Google Scholar] [CrossRef] [PubMed]
Figure 1. (A) ROC curve of the first RF model that excluded IBDQ as a predictor. (B) ROC curve of the first MLP model that excluded IBDQ as a predictor. (C) ROC curve of the second RF model that included IBDQ as a predictor. (D) ROC curve of the second MLP model that included IBDQ as a predictor.
Figure 1. (A) ROC curve of the first RF model that excluded IBDQ as a predictor. (B) ROC curve of the first MLP model that excluded IBDQ as a predictor. (C) ROC curve of the second RF model that included IBDQ as a predictor. (D) ROC curve of the second MLP model that included IBDQ as a predictor.
Jcm 12 03609 g001
Table 1. Parameters used to train the ML models with the caret::train function.
Table 1. Parameters used to train the ML models with the caret::train function.
method“rf”/“mlpML”
preProcessc(“scale”, “center”)
trControltrainControl(method = “repeatedcv”, number = 10, repeats = 10, sampling = “smote”)
Table 2. Selected parameters for all patients and each endoscopic activity group.
Table 2. Selected parameters for all patients and each endoscopic activity group.
AllEndoscopic Remission/Mild DiseaseEndoscopic Relapse
TotalModerate DiseaseSevere Disease
Number of records187381497277
Gender (male:female)110 (59%):77 (41%)16 (42%):22 (58%)94 (63%):55 (37%)37 (51%):35 (49%)57 (74%):20 (26%)
Age (years)45 (23.5)52.5 (23.5)44 (23)44 (25.25)44 (23)
WBC count/µL7800 (3585)7600 (2657.5)7960 (3560)7580 (3512.5)8390 (4780)
Platelet count/µL291,000 (121,500)237,500 (102,250)297,000 (137,000)286,000 (102,500)303,000 (153,000)
Fibrinogen mg/dL390.1 (88.5)360 (63)394 (99)390.5 (68.5)400 (124)
CRP mg/dL1 (2.6)0.52 (1.08)1.1 (3.69)1.05 (2.56)1.09 (4.78)
Oral corticosteroids (yes/no)55:1324:3451:9816:5635:42
IBDQ score137 (53)161 (50.25)133 (52)140 (37.5)120 (54)
Table 3. The results of applying Kruskal–Wallis method to determine the continuous variables that were significantly related to the endoscopic activity.
Table 3. The results of applying Kruskal–Wallis method to determine the continuous variables that were significantly related to the endoscopic activity.
ParameterChi Squaredfp
IBDQ28.7933<0.001
Smoking pack years6.67930.083
Relapses per year5.70930.127
Hemoglobin1.17330.760
Hematocrit0.80530.848
MCV1.02330.796
MCHC0.16930.983
Platelet count17.3163<0.001
WBC count10.90530.012
ESR3.73330.292
Fibrinogen12.4530.006
CRP9.37530.025
Total proteins7.38730.061
Albumin3.55930.313
Table 4. The outcomes of applying Pearson’s chi-squared test to determine the categorical variables that were significantly correlated to the endoscopic activity.
Table 4. The outcomes of applying Pearson’s chi-squared test to determine the categorical variables that were significantly correlated to the endoscopic activity.
MedicationChi Squaredfp
Topical 5-ASA8.24490.51
Oral 5-ASA18.717150.227
Intravenous corticosteroids12.32390.196
Oral corticosteroids19.63590.02
Azathioprine2.25460.895
Infliximab1.60330.659
Adalimumab3.22930.358
Antibiotics7.14660.308
Table 5. The performance metrics of the first RF and MLP classifiers (IBDQ excluded as a predictor).
Table 5. The performance metrics of the first RF and MLP classifiers (IBDQ excluded as a predictor).
Random ForestMultilayer Perceptron
Train SetTest SetTrain SetTest Set
Actual ValuesActual ValuesActual ValuesActual Values
Predicted values RemissionActivityRemissionActivityRemissionActivityRemissionActivity
Remission31854202766
Activity01112261192124
Accuracy95%84%75%81%
95% CI(0.8976, 0.9767)(0.6799, 0.9381)(0.6693, 0.8141)(0.6484, 0.9204)
Sensitivity100%71%65%86%
Specificity93%87%77%80%
PPVSE80%56%43%50%
NPV100%93%89%96%
AUC0.99050.83570.79340.8286
Table 6. The performance metrics of the second RF and MLP classifiers (IBDQ included as a predictor).
Table 6. The performance metrics of the second RF and MLP classifiers (IBDQ included as a predictor).
Random ForestMultilayer Perceptron
Train SetTest SetTrain SetTest Set
Actual ValuesActual ValuesActual ValuesActual Values
Predicted values RemissionActivityRemissionActivityRemissionActivityRemissionActivity
Remission31763272277
Activity0112127497023
Accuracy95%89%83%81%
95% CI(0.9062, 0.981)(0.7458, 0.9697)(0.7564, 0.8835)(0.6484, 0.9204)
Sensitivity100%86%87%100%
Specificity94%90%82%77%
PPV82%67%55%50%
NPV100%96%96%100%
AUC0.99990.90950.89780.8714
Table 7. The performance metrics of the third RF and MLP classifiers to predict endoscopic severity (IBDQ excluded as a predictor).
Table 7. The performance metrics of the third RF and MLP classifiers to predict endoscopic severity (IBDQ excluded as a predictor).
Random ForestMultilayer Perceptron
Train SetTest SetTrain SetTest Set
Actual ValuesActual ValuesActual ValuesActual Values
Predicted valuesMildModerateSevereMildModerateSevereMildModerateSevereMildModerateSevere
Mild4900321341516753
Moderate050045411217255
Severe0050251141427028
Accuracy100%51%55%54%
95% CI(0.9755, 1)(0.344, 0.6808)(0.4668, 0.6318)(0.3692, 0.7051)
Multiclass AUC10.64250.6950.6883
Table 8. The performance metrics of the fourth RF and MLP classifiers to predict endoscopic severity (IBDQ included as a predictor).
Table 8. The performance metrics of the fourth RF and MLP classifiers to predict endoscopic severity (IBDQ included as a predictor).
Random ForestMultilayer Perceptron
Train SetTest SetTrain SetTest Set
Actual ValuesActual ValuesActual ValuesActual Values
Predicted valuesMildModerateSevereMildModerateSevereMildModerateSevereMildModerateSevere
Mild4900841402311771
Moderate0500053564121
Severe00501312421351314
Accuracy100%68%54%62%
95% CI(0.9755, 1)(0.5021, 0.8199)(0.4601, 0.6254)(0.4476, 0.7754)
Multiclass AUC10.76140.69760.7284
Disclaimer/Publisher’s Note: The statements, opinions and data contained in all publications are solely those of the individual author(s) and contributor(s) and not of MDPI and/or the editor(s). MDPI and/or the editor(s) disclaim responsibility for any injury to people or property resulting from any ideas, methods, instructions or products referred to in the content.

Share and Cite

MDPI and ACS Style

Gavrilescu, O.; Popa, I.V.; Dranga, M.; Mihai, R.; Cijevschi Prelipcean, C.; Mihai, C. Laboratory Data and IBDQ—Effective Predictors for the Non-Invasive Machine-Learning-Based Prediction of Endoscopic Activity in Ulcerative Colitis. J. Clin. Med. 2023, 12, 3609. https://doi.org/10.3390/jcm12113609

AMA Style

Gavrilescu O, Popa IV, Dranga M, Mihai R, Cijevschi Prelipcean C, Mihai C. Laboratory Data and IBDQ—Effective Predictors for the Non-Invasive Machine-Learning-Based Prediction of Endoscopic Activity in Ulcerative Colitis. Journal of Clinical Medicine. 2023; 12(11):3609. https://doi.org/10.3390/jcm12113609

Chicago/Turabian Style

Gavrilescu, Otilia, Iolanda Valentina Popa, Mihaela Dranga, Ruxandra Mihai, Cristina Cijevschi Prelipcean, and Cătălina Mihai. 2023. "Laboratory Data and IBDQ—Effective Predictors for the Non-Invasive Machine-Learning-Based Prediction of Endoscopic Activity in Ulcerative Colitis" Journal of Clinical Medicine 12, no. 11: 3609. https://doi.org/10.3390/jcm12113609

APA Style

Gavrilescu, O., Popa, I. V., Dranga, M., Mihai, R., Cijevschi Prelipcean, C., & Mihai, C. (2023). Laboratory Data and IBDQ—Effective Predictors for the Non-Invasive Machine-Learning-Based Prediction of Endoscopic Activity in Ulcerative Colitis. Journal of Clinical Medicine, 12(11), 3609. https://doi.org/10.3390/jcm12113609

Note that from the first issue of 2016, this journal uses article numbers instead of page numbers. See further details here.

Article Metrics

Back to TopTop