MicroRNA Profile of Human Small Intestinal Tumors Compared to Colorectal Tumors
Abstract
:1. Introduction
2. Materials and Methods
2.1. Patients and Tissue Preparation
2.2. RNA Isolation and Quantitative Real-Time PCR
2.3. Statistics and Data Analysis
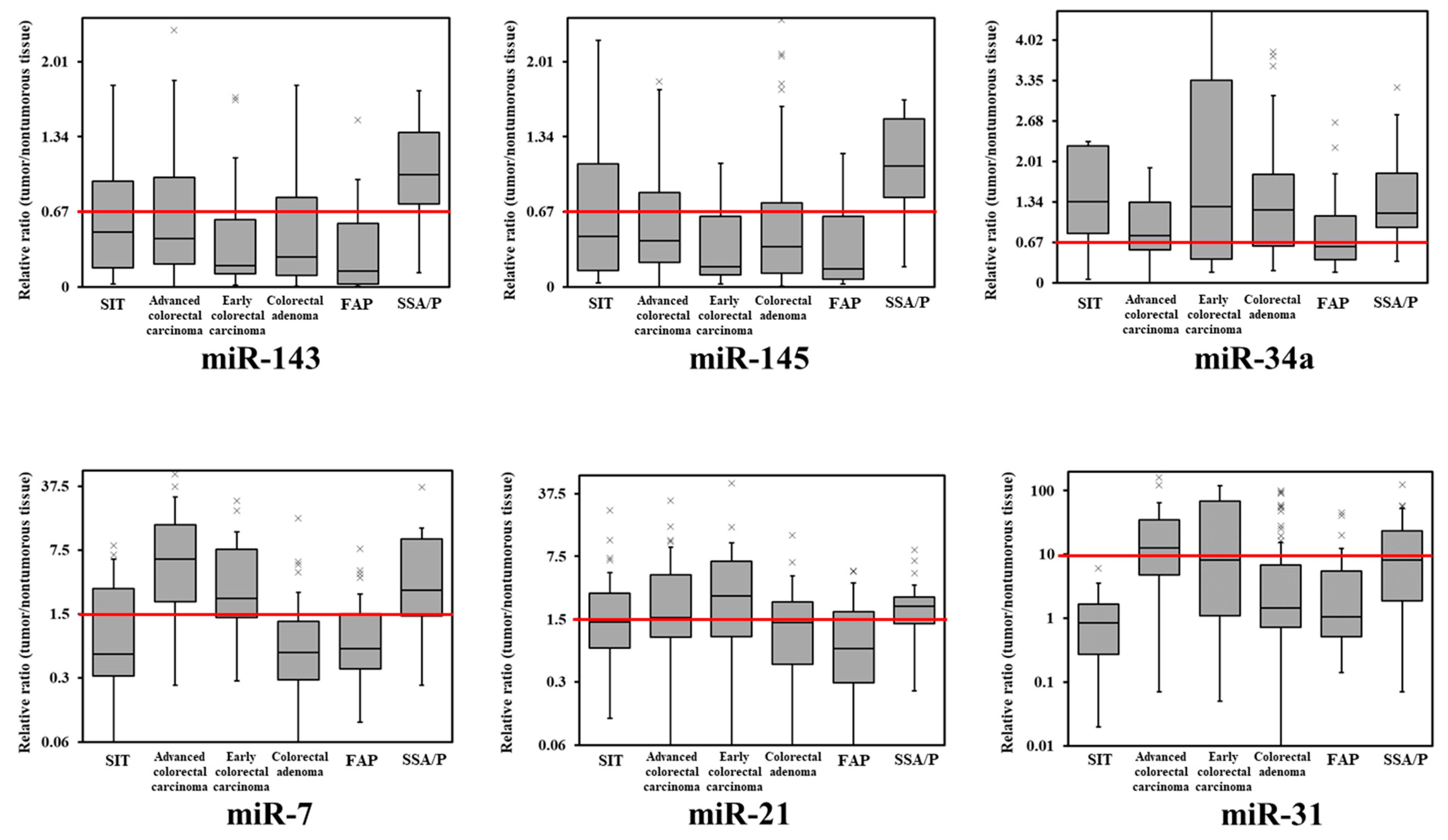
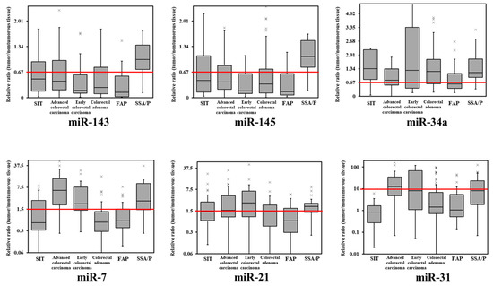
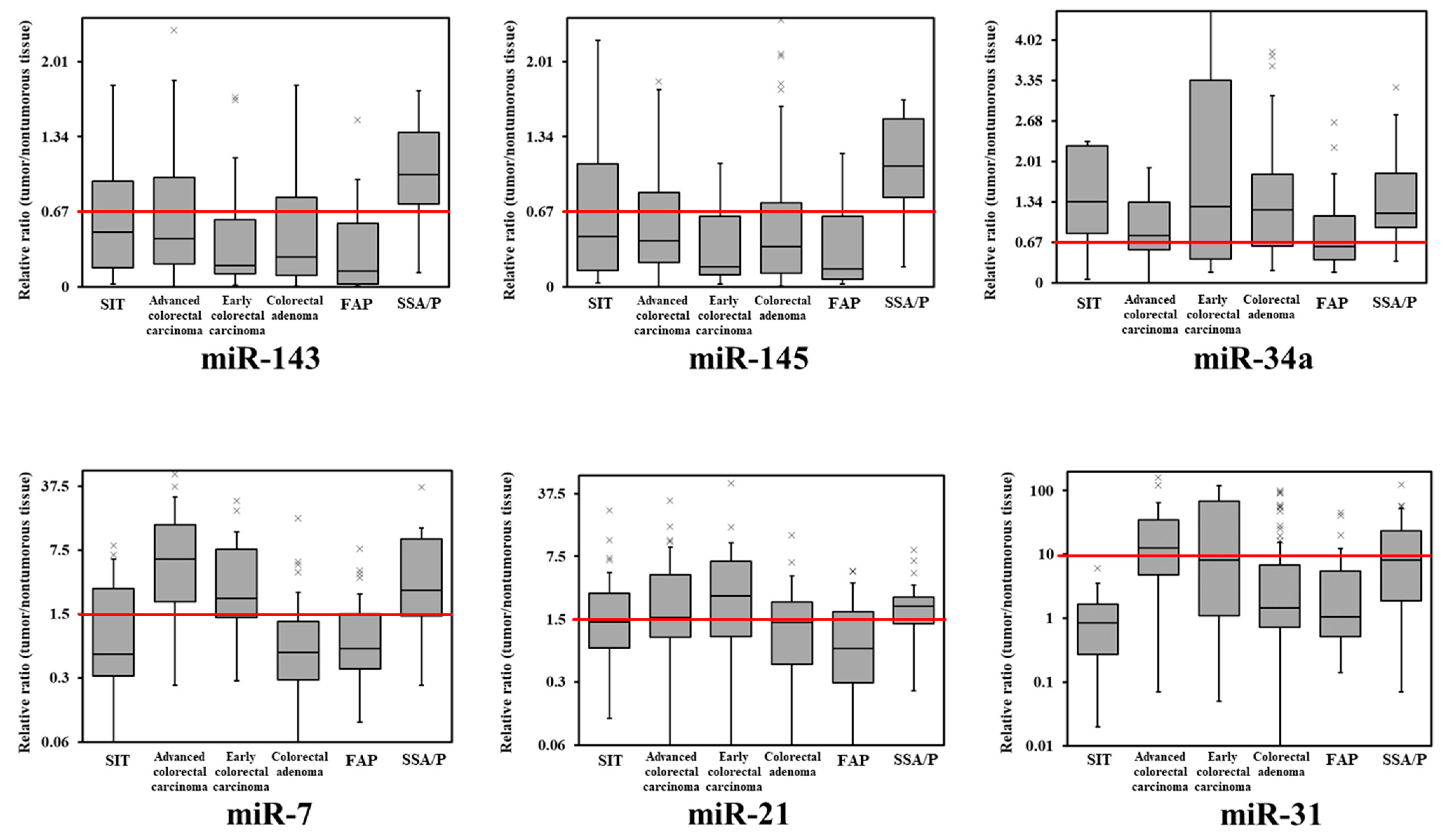
3. Results
3.1. miRNA Profiles of Human Small Intestinal Tumors
3.2. miRNA Profiles of Human Colorectal Tumors
3.3. miRNA Profiles of Human Small Intestinal Tumors Compared to Colorectal Tumors
4. Discussion
Supplementary Materials
Author Contributions
Funding
Institutional Review Board Statement
Informed Consent Statement
Data Availability Statement
Acknowledgments
Conflicts of Interest
References
- Elena, R.M.; Riccardo, U.; Rossella, C.; Bizzotto, A.; Domenico, G.; Guido, C. Current status of device-assisted enteroscopy: Technical matters, indication, limits and complications. World J. Gastrointest. Endosc. 2012, 4, 453–461. [Google Scholar] [CrossRef]
- Schulz, H.J.; Schmidt, H. Intraoperative enteroscopy. Gastrointest. Endosc. Clin. N. Am. 2009, 19, 371–379. [Google Scholar]
- Yamamoto, H.; Kita, H. Double-balloon endoscopy. Curr. Opin. Gastroenterol. 2005, 21, 573–577. [Google Scholar] [CrossRef]
- Hosoe, N.; Takabayashi, K.; Ogata, H.; Kanai, T. Capsule endoscopy for small-intestinal disorders: Current status. Dig. Endosc. 2019, 31, 498–507. [Google Scholar] [CrossRef]
- Quinones, G.A.O.; Woolf, A. Small Bowel Cancer; StatPearls Publishing: Treasure Island, FL, USA, 2021; pp. 1–22. Available online: https://www.ncbi.nlm.nih.gov/books/NBK560725/ (accessed on 8 April 2022).
- Schrock, A.B.; Devoe, C.E.; McWilliams, R.; Sun, J.; Aparicio, T.; Stephens, P.J.; Ross, J.S.; Wilson, R.; Miller, V.A.; Ali, S.M.; et al. Genomic Profiling of Small-Bowel Adenocarcinoma. JAMA Oncol. 2017, 3, 1546–1553. [Google Scholar] [CrossRef] [Green Version]
- Neugut, A.I.; Jacobson, J.S.; Suh, S.; Mukherjee, R.; Arber, N. The epidemiology of cancer of the small bowel. Cancer Epidemiol. Biomark. Prev. 1998, 7, 243–251. [Google Scholar]
- Lee, R.C.; Feinbaum, R.L.; Ambros, V. The C. elegans heterochronic gene lin-4 encodes small RNAs with antisense complementarity to lin-14. Cell 1993, 75, 843–854. [Google Scholar] [CrossRef]
- Ambros, V. The functions of animal microRNAs. Nature 2004, 431, 350–355. [Google Scholar] [CrossRef]
- Bartel, D.P. MicroRNAs: Genomics, biogenesis, mechanism, and function. Cell 2005, 116, 281–297. [Google Scholar] [CrossRef] [Green Version]
- miRBase. Release 22.1. 2019. Available online: http://www.mirbase.org/ (accessed on 11 January 2022).
- Gregory, R.I.; Shiekhattar, R. MicroRNA biogenesis and cancer. Cancer Res. 2005, 65, 3509–3512. [Google Scholar] [CrossRef] [Green Version]
- Calin, G.A.; Croce, C.M. MicroRNAs and chromosomal abnormalities in cancer cells. Oncogene 2006, 25, 6202–6210. [Google Scholar] [CrossRef] [Green Version]
- Hammond, S.M. MicroRNAs as oncogenes. Curr. Opin. Genet. Dev. 2006, 16, 4–9. [Google Scholar] [CrossRef]
- Miska, E.A. How microRNAs control cell division, differentiation and death. Curr. Opin. Genet. Dev. 2005, 15, 563–568. [Google Scholar] [CrossRef]
- Esquela-Kerscher, A.; Slack, F.J. Oncomirs—MicroRNAs with a role in cancer. Nat. Rev. Cancer 2006, 6, 259–269. [Google Scholar] [CrossRef]
- Di Leva, G.; Garofalo, M.; Croce, C.M. MicroRNAs in cancer. Annu. Rev. Pathol. 2014, 9, 287–314. [Google Scholar] [CrossRef] [Green Version]
- Nakagawa, Y.; Akao, Y.; Taniguchi, K.; Kamatani, A.; Tahara, T.; Kamano, T.; Nakano, N.; Komura, N.; Ikuno, H.; Ohmori, T.; et al. Relationship between expression of onco-related miRNAs and the endoscopic appearance of colorectal tumors. Int. J. Mol. Sci. 2015, 16, 1526–1543. [Google Scholar] [CrossRef] [Green Version]
- Nakagawa, Y.; Akao, Y.; Tahara, T.; Yamashita, H.; Nagasaka, M.; Shibata, T.; Ohmiya, N. Development and endoscopic appearance of colorectal tumors are characterized by the expression profiles of miRNAs. Med. Mol. Morphol. 2018, 51, 82–88. [Google Scholar] [CrossRef]
- Akao, Y.; Nakagawa, Y.; Hirata, I.; Iio, A.; Itoh, T.; Kojima, K.; Nakashima, R.; Kitade, Y.; Naoe, T. Role of anti-oncomirs miR-143 and -145 in human colorectal tumors. Cancer Gene Ther. 2010, 17, 398–408. [Google Scholar] [CrossRef]
- Takagi, T.; Iio, A.; Nakagawa, Y.; Naoe, T.; Tanigawa, N.; Akao, Y. Decreased expression of microRNA-143 and -145 in human gastric cancers. Oncology 2009, 77, 12–21. [Google Scholar] [CrossRef]
- Nakagawa, Y.; Kuranaga, Y.; Tahara, T.; Yamashita, H.; Shibata, T.; Nagasaka, M.; Funasaka, K.; Ohmiya, N.; Akao, Y. Induced miR-31 by 5-FU exposure contributes to the resistance in colorectal tumors. Cancer Sci. 2019, 110, 2540–2548. [Google Scholar] [CrossRef]
- Japanese Society for Cancer of the Colon and Rectum. In Japanese Classification of Colorectal Carcinoma, 9th ed.; Kanehara Shuppan: Tokyo, Japan, 2018; pp. 1–132.
- Iio, A.; Nakagawa, Y.; Hirata, I.; Naoe, T.; Akao, Y. Identification of non-coding RNAs embracing microRNA-143/145 cluster. Mol. Cancer 2010, 9, 136–142. [Google Scholar] [CrossRef] [PubMed] [Green Version]
- Gryfe, R.; Swallow, C.; Bapat, B.; Redston, M.; Gallinger, S.; Couture, J. Molecular biology of colorectal cancer. Curr. Probl. Cancer 1997, 21, 233–300. [Google Scholar] [CrossRef]
- Akao, Y.; Kumazaki, M.; Shinohara, H.; Sugito, N.; Kuranaga, Y.; Tsujino, T.; Yoshikawa, Y.; Kitade, Y. Impairment of K-Ras signaling networks and increased efficacy of epidermal growth factor receptor inhibitors by a novel synthetic miR-143. Cancer Sci. 2018, 109, 1455–1467. [Google Scholar] [CrossRef] [Green Version]
- Kamatani, A.; Nakagawa, Y.; Akao, Y.; Maruyama, N.; Nagasaka, M.; Shibata, T.; Tahara, T.; Hirata, I. Downregulation of anti-oncomirs miR-143/145 cluster occurs before APC gene aberration in the development of colorectal tumors. Med. Mol. Morphol. 2013, 9, 166–171. [Google Scholar] [CrossRef]
- Leggett, B.; Whitehall, V. Role of the serrated pathway in colorectal cancer pathogenesis. Gastroenterology 2010, 138, 2088–2100. [Google Scholar] [CrossRef]
- Nosho, K.; Igarashi, H.; Nojima, M.; Ito, M.; Maruyama, R.; Yoshii, S.; Naito, T.; Sukawa, Y.; Mikami, M.; Sumioka, W.; et al. Association of microRNA-31 with BRAF mutation, colorectal cancer survival and serrated pathway. Carcinogenesis 2014, 35, 776–783. [Google Scholar] [CrossRef] [Green Version]


| tumor | n | miR-143 ↓ | miR-145 ↓ | miR-7 ↑ | miR-21 ↑ | miR-34a ↓ | miR-31 ↑ |
| SIT | 27 | 16 (59.3%) | 17 (63.0%) | 8 (29.6%) | 12 (44.4%) | 6 (22.2%) | 0 (0.0%) |
| advanced colorectal adenocarcinoma | 46 | 29 (63.0%) | 31 (67.4%) | 37 (80.4%) | 24 (52.2%) | 18 (39.1%) | 27 (58.7%) |
| p value (vs. SIT) | 0.748 | 0.7 | <0.001 | 0.524 | 0.138 | <0.001 | |
| early colorectal adenocarcinoma | 25 | 20 (80.0%) | 19 (76.0%) | 18 (72.0%) | 17 (68.0%) | 10 (40.0%) | 10 (40.0%) |
| p value (vs. SIT) | 0.093 | 0.309 | 0.002 | 0.087 | 0.165 | <0.001 | |
| colorectal adenoma | 59 | 41 (69.5%) | 39 (66.1%) | 12(20.3%) | 25 (42.4%) | 17 (28.8%) | 13 (22.0%) |
| p value (vs. SIT) | 0.352 | 0.777 | 0.344 | 0.857 | 0.522 | 0.005 | |
| FAP | 26 | 20 (76.9%) | 19 (73.1%) | 7 (26.9%) | 8 (30.8%) | 14 (53.8%) | 5 (19.2%) |
| p value (vs. SIT) | 0.168 | 0.43 | 0.827 | 0.305 | 0.018 | 0.023 | |
| SSA/P | 16 | 2 (12.5%) | 3 (18.8%) | 12 (75.0%) | 11 (68.8%) | 3 (18.8%) | 8 (50.0%) |
| p value (vs. SIT) | 0.003 | 0.006 | 0.005 | 0.109 | 0.554 | <0.001 | |
| SIT | n | miR-143 ↓ | miR-145 ↓ | miR-7 ↑ | miR-21 ↑ | miR-34a ↓ | miR-31 ↑ |
| duodenum 1st | 6 | 4 (66.7%) | 4 (66.7%) | 2 (33.3%) | 2 (33.3%) | 1 (16.7%) | 0 (0.0%) |
| duodenum 2nd | 12 | 8 (66.7%) | 8 (66.7%) | 2 (16.7%) | 4 (33.3%) | 2 (16.7%) | 0 (0.0%) |
| duodenum 3rd | 3 | 1 (33.3%) | 2 (66.7%) | 1 (33.3%) | 2 (66.7%) | 2 (66.7%) | 0 (0.0%) |
| jejunum | 6 | 3 (50.0%) | 3 (50.0%) | 4 (66.7%) | 4 (66.7%) | 1 (16.7%) | 0 (0.0%) |
| ileum | 0 | - | - | - | - | - | - |
| p value | 0.692 | 0.906 | 0.212 | 0.44 | 0.277 | unable | |
| SIT | n | miR-143 ↓ | miR-145 ↓ | miR-7 ↑ | miR-21 ↑ | miR-34a ↓ | miR-31 ↑ |
| adenoma | 2 | 1 (50.0%) | 1 (50.0%) | 1 (50.0%) | 1 (50.0%) | 0 (0.0%) | 0 (0.0%) |
| M | 11 | 7 (63.6%) | 7 (63.6%) | 3 (27.3%) | 4 (36.4%) | 0 (0.0%) | 0 (0.0%) |
| SM | 1 | 1 (100.0%) | 1 (100.0%) | 0 (0.0%) | 0 (0.0%) | 1 (100.0%) | 0 (0.0%) |
| MP | 0 | - | - | - | - | - | - |
| SS | 4 | 1 (25.0%) | 2 (50.0%) | 2 (50.0%) | 3 (75.0%) | 2 (50.0%) | 0 (0.0%) |
| SE | 5 | 2 (40.0%) | 2 (40.0%) | 1 (20.0%) | 3 (60.0%) | 1 (20.0%) | 0 (0.0%) |
| SI | 4 | 4 (100.0%) | 4 (100.0%) | 1 (25.0%) | 1 (25.0%) | 2 (50.0%) | 0 (0.0%) |
| p value | 0.277 | 0.479 | 0.862 | 0.589 | 0.174 | unable |
Publisher’s Note: MDPI stays neutral with regard to jurisdictional claims in published maps and institutional affiliations. |
© 2022 by the authors. Licensee MDPI, Basel, Switzerland. This article is an open access article distributed under the terms and conditions of the Creative Commons Attribution (CC BY) license (https://creativecommons.org/licenses/by/4.0/).
Share and Cite
Nakagawa, Y.; Akao, Y.; Yamashita, H.; Tahara, T.; Funasaka, K.; Nagasaka, M.; Kuzuya, T.; Miyahara, R.; Hashimoto, S.; Shibata, T.; et al. MicroRNA Profile of Human Small Intestinal Tumors Compared to Colorectal Tumors. J. Clin. Med. 2022, 11, 2604. https://doi.org/10.3390/jcm11092604
Nakagawa Y, Akao Y, Yamashita H, Tahara T, Funasaka K, Nagasaka M, Kuzuya T, Miyahara R, Hashimoto S, Shibata T, et al. MicroRNA Profile of Human Small Intestinal Tumors Compared to Colorectal Tumors. Journal of Clinical Medicine. 2022; 11(9):2604. https://doi.org/10.3390/jcm11092604
Chicago/Turabian StyleNakagawa, Yoshihito, Yukihiro Akao, Hiromi Yamashita, Tomomitsu Tahara, Kohei Funasaka, Mitsuo Nagasaka, Teiji Kuzuya, Ryoji Miyahara, Senju Hashimoto, Tomoyuki Shibata, and et al. 2022. "MicroRNA Profile of Human Small Intestinal Tumors Compared to Colorectal Tumors" Journal of Clinical Medicine 11, no. 9: 2604. https://doi.org/10.3390/jcm11092604
APA StyleNakagawa, Y., Akao, Y., Yamashita, H., Tahara, T., Funasaka, K., Nagasaka, M., Kuzuya, T., Miyahara, R., Hashimoto, S., Shibata, T., & Hirooka, Y. (2022). MicroRNA Profile of Human Small Intestinal Tumors Compared to Colorectal Tumors. Journal of Clinical Medicine, 11(9), 2604. https://doi.org/10.3390/jcm11092604

