Abdominal Aortic Calcification and Cardiovascular Outcomes in Chronic Kidney Disease: Findings from KNOW-CKD Study
Abstract
1. Introduction
2. Materials and Methods
2.1. Study Design
2.2. Data Collection from Participants
2.3. Determination of AACS
2.4. Echocardiographic Data Collection
2.5. Study Outcomes
2.6. Statistical Analysis
3. Results
3.1. Baseline Characteristics
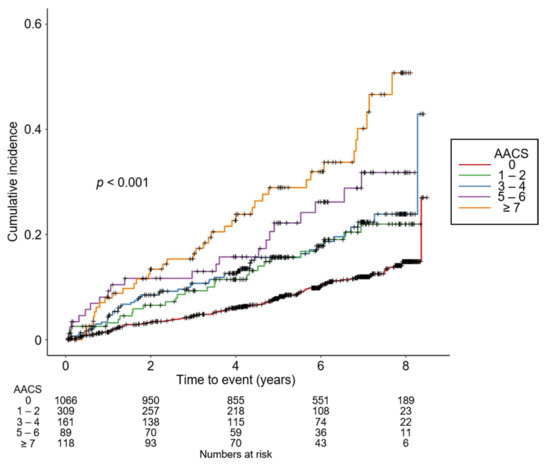
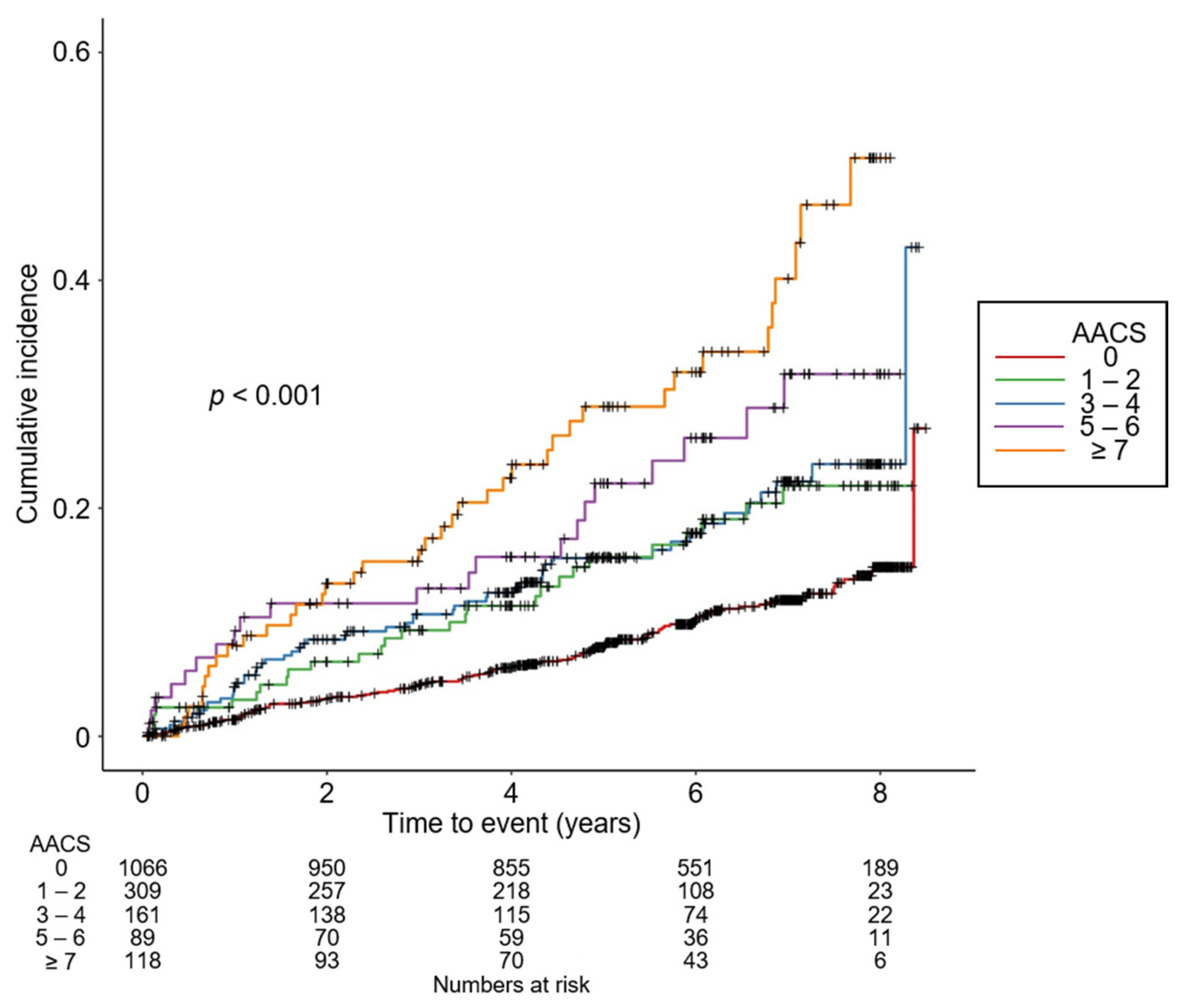
3.2. Association of AACS with the Risk of Composite CV Events in CKD
3.3. Sensitivity Analysis
3.4. Subgroup Analysis
4. Discussion
5. Conclusions
Supplementary Materials
Author Contributions
Funding
Institutional Review Board Statement
Informed Consent Statement
Data Availability Statement
Acknowledgments
Conflicts of Interest
References
- Go, A.S.; Chertow, G.M.; Fan, D.; McCulloch, C.E.; Hsu, C.Y. Chronic kidney disease and the risks of death, cardiovascular events, and hospitalization. N. Engl. J. Med. 2004, 351, 1296–1305. [Google Scholar] [CrossRef] [PubMed]
- Tonelli, M.; Wiebe, N.; Culleton, B.; House, A.; Rabbat, C.; Fok, M.; McAlister, F.; Garg, A.X. Chronic kidney disease and mortality risk: A systematic review. J. Am. Soc. Nephrol. 2006, 17, 2034–2047. [Google Scholar] [CrossRef] [PubMed]
- Russo, D.; Palmiero, G.; De Blasio, A.P.; Balletta, M.M.; Andreucci, V.E. Coronary artery calcification in patients with CRF not undergoing dialysis. Am. J. Kidney Dis. 2004, 44, 1024–1030. [Google Scholar] [CrossRef] [PubMed]
- Tomiyama, C.; Higa, A.; Dalboni, M.A.; Cendoroglo, M.; Draibe, S.A.; Cuppari, L.; Carvalho, A.B.; Neto, E.M.; Canziani, M.E. The impact of traditional and non-traditional risk factors on coronary calcification in pre-dialysis patients. Transplant 2006, 21, 2464–2471. [Google Scholar] [CrossRef]
- Izumi, Y.; Hayashi, M.; Morimoto, R.; Cheng, X.W.; Wu, H.; Ishii, H.; Yasuda, Y.; Yoshikawa, D.; Izawa, H.; Matsuo, S.; et al. Impact of circulating cathepsin K on the coronary calcification and the clinical outcome in chronic kidney disease patients. Heart Vessel. 2016, 31, 6–14. [Google Scholar] [CrossRef]
- Cai, Q.; Mukku, V.K.; Ahmad, M. Coronary artery disease in patients with chronic kidney disease: A clinical update. Curr. Cardiol. Rev. 2013, 9, 331–339. [Google Scholar] [CrossRef]
- Jankowski, J.; Floege, J.; Fliser, D.; Bohm, M.; Marx, N. Cardiovascular Disease in Chronic Kidney Disease: Pathophysiological Insights and Therapeutic Options. Circulation 2021, 143, 1157–1172. [Google Scholar] [CrossRef]
- Arad, Y.; Spadaro, L.A.; Goodman, K.; Newstein, D.; Guerci, A.D. Prediction of coronary events with electron beam computed tomography. J. Am. Coll. Cardiol. 2000, 36, 1253–1260. [Google Scholar] [CrossRef]
- Greenland, P.; LaBree, L.; Azen, S.P.; Doherty, T.M.; Detrano, R.C. Coronary artery calcium score combined with Framingham score for risk prediction in asymptomatic individuals. JAMA 2004, 291, 210–215. [Google Scholar] [CrossRef]
- Elkeles, R.S.; Godsland, I.F.; Feher, M.D.; Rubens, M.B.; Roughton, M.; Nugara, F.; Humphries, S.E.; Richmond, W.; Flather, M.D. Coronary calcium measurement improves prediction of cardiovascular events in asymptomatic patients with type 2 diabetes: The PREDICT study. Eur. Heart J. 2008, 29, 2244–2251. [Google Scholar] [CrossRef]
- Becker, A.; Leber, A.; Becker, C.; Knez, A. Predictive value of coronary calcifications for future cardiac events in asymptomatic individuals. Am. Heart J. 2008, 155, 154–160. [Google Scholar] [CrossRef] [PubMed]
- Lee, S.M.; Lee, H.W.; Son, Y.K.; Kim, S.E.; An, W.S. Abdominal aortic calcification score among several vascular calcification scores of plain radiograph is the most reliable predictor of severe coronary artery calcification in dialysis patients. Ren. Fail. 2017, 39, 729–735. [Google Scholar] [CrossRef] [PubMed]
- Okuno, S.; Ishimura, E.; Kitatani, K.; Fujino, Y.; Kohno, K.; Maeno, Y.; Maekawa, K.; Yamakawa, T.; Imanishi, Y.; Inaba, M.; et al. Presence of abdominal aortic calcification is significantly associated with all-cause and cardiovascular mortality in maintenance hemodialysis patients. Am. J. Kidney Dis. 2007, 49, 417–425. [Google Scholar] [CrossRef] [PubMed]
- Martino, F.; Di Loreto, P.; Giacomini, D.; Kaushik, M.; Rodighiero, M.P.; Crepaldi, C.; Ronco, C. Abdominal aortic calcification is an independent predictor of cardiovascular events in peritoneal dialysis patients. Ther. Apher. Dial. 2013, 17, 448–453. [Google Scholar] [CrossRef] [PubMed]
- Hanada, S.; Ando, R.; Naito, S.; Kobayashi, N.; Wakabayashi, M.; Hata, T.; Sasaki, S. Assessment and significance of abdominal aortic calcification in chronic kidney disease. Nephrol. Dial. Transplant. 2010, 25, 1888–1895. [Google Scholar] [CrossRef] [PubMed][Green Version]
- Takayama, Y.; Yasuda, Y.; Suzuki, S.; Shibata, Y.; Tatami, Y.; Shibata, K.; Niwa, M.; Sawai, A.; Morimoto, R.; Kato, S.; et al. Relationship between abdominal aortic and coronary artery calcification as detected by computed tomography in chronic kidney disease patients. Heart Vessel. 2016, 31, 1030–1037. [Google Scholar] [CrossRef]
- Schousboe, J.T.; Lewis, J.R.; Kiel, D.P. Abdominal aortic calcification on dual-energy X-ray absorptiometry: Methods of assessment and clinical significance. Bone 2017, 104, 91–100. [Google Scholar] [CrossRef] [PubMed]
- Benjamens, S.; Pol, R.A.; Glaudemans, A.; Wieringa, I.; Berger, S.P.; Bakker, S.J.L.; Slart, R. A high abdominal aortic calcification score by dual X-ray absorptiometry is associated with cardiovascular events after kidney transplantation. Transplant 2018, 33, 2253–2259. [Google Scholar] [CrossRef]
- Kauppila, L.I.; Polak, J.F.; Cupples, L.A.; Hannan, M.T.; Kiel, D.P.; Wilson, P.W. New indices to classify location, severity and progression of calcific lesions in the abdominal aorta: A 25-year follow-up study. Atherosclerosis 1997, 132, 245–250. [Google Scholar] [CrossRef]
- Niu, Q.; Zhao, H.; Wu, B.; Tsai, S.; Wu, J.; Zhang, M.; Lu, L.; Qiao, J.; Men, C.; Zuo, L.; et al. Abdominal aortic calcification is superior to other arteries calcification in predicting the mortality in peritoneal dialysis patients–a 8 years cohort study. BMC Nephrol. 2019, 20, 439. [Google Scholar] [CrossRef]
- Lewis, J.R.; Wong, G.; Taverniti, A.; Vucak-Dzumhur, M.; Elder, G.J. Association between Aortic Calcification, Cardiovascular Events, and Mortality in Kidney and Pancreas-Kidney Transplant Recipients. Am. J. Nephrol. 2019, 50, 177–186. [Google Scholar] [CrossRef] [PubMed]
- Peeters, M.J.; van den Brand, J.A.; van Zuilen, A.D.; Koster, Y.; Bots, M.L.; Vervloet, M.G.; Blankestijn, P.J.; Wetzels, J.F.; Group, M.S. Abdominal aortic calcification in patients with CKD. J. Nephrol. 2017, 30, 109–118. [Google Scholar] [CrossRef] [PubMed]
- Oh, K.-H.; Park, S.K.; Park, H.C.; Chin, H.J.; Chae, D.W.; Choi, K.H.; Han, S.H.; Yoo, T.H.; Lee, K.; Kim, Y.-S.; et al. KNOW-CKD (KoreaN cohort study for Outcome in patients With Chronic Kidney Disease): Design and methods. BMC Nephrol. 2014, 15, 80. [Google Scholar] [CrossRef] [PubMed]
- Levey, A.S.; Stevens, L.A.; Schmid, C.H.; Zhang, Y.L.; Castro, A.F., 3rd; Feldman, H.I.; Kusek, J.W.; Eggers, P.; Van Lente, F.; Greene, T.; et al. A new equation to estimate glomerular filtration rate. Ann. Intern. Med. 2009, 150, 604–612. [Google Scholar] [CrossRef] [PubMed]
- Chapter 1: Definition and classification of CKD. Kidney Int. Suppl. 2013, 3, 19–62. [CrossRef]
- Lang, R.M.; Bierig, M.; Devereux, R.B.; Flachskampf, F.A.; Foster, E.; Pellikka, P.A.; Picard, M.H.; Roman, M.J.; Seward, J.; Shanewise, J.; et al. Recommendations for chamber quantification. Eur. J. Echocardiogr. 2006, 7, 79–108. [Google Scholar] [CrossRef]
- Caballero, L.; Kou, S.; Dulgheru, R.; Gonjilashvili, N.; Athanassopoulos, G.D.; Barone, D.; Baroni, M.; Cardim, N.; Gomez de Diego, J.J.; Oliva, M.J.; et al. Echocardiographic reference ranges for normal cardiac Doppler data: Results from the NORRE Study. Eur. Heart J. Cardiovasc. Imaging 2015, 16, 1031–1041. [Google Scholar] [CrossRef]
- Nagueh, S.F.; Smiseth, O.A.; Appleton, C.P.; Byrd, B.F., 3rd; Dokainish, H.; Edvardsen, T.; Flachskampf, F.A.; Gillebert, T.C.; Klein, A.L.; Lancellotti, P.; et al. Recommendations for the Evaluation of Left Ventricular Diastolic Function by Echocardiography: An Update from the American Society of Echocardiography and the European Association of Cardiovascular Imaging. J. Am. Soc. Echocardiogr. 2016, 29, 277–314. [Google Scholar] [CrossRef]
- Eggen, D.A.; Strong, J.P.; McGill, H.C., Jr. Calcification in the abdominal aorta; relationship to race, sex, and coronary atherosclerosis. Arch. Pathol. 1964, 78, 575–583. [Google Scholar]
- Wilson, P.W.; Kauppila, L.I.; O’Donnell, C.J.; Kiel, D.P.; Hannan, M.; Polak, J.M.; Cupples, L.A. Abdominal aortic calcific deposits are an important predictor of vascular morbidity and mortality. Circulation 2001, 103, 1529–1534. [Google Scholar] [CrossRef]
- Witteman, J.C.; Kok, F.J.; van Saase, J.L.; Valkenburg, H.A. Aortic calcification as a predictor of cardiovascular mortality. Lancet 1986, 2, 1120–1122. [Google Scholar] [CrossRef]
- Cho, A.; Jung, H.Y.; Park, H.C.; Oh, J.; Kim, J.; Lee, Y.K. Relationship between abdominal aortic calcification on plain radiograph and coronary artery calcification detected by computed tomography in hemodialysis patients. Clin. Nephrol. 2020, 93, 123–129. [Google Scholar] [CrossRef] [PubMed]
- de Bie, M.K.; Buiten, M.S.; Rotmans, J.I.; Hogenbirk, M.; Schalij, M.J.; Rabelink, T.J.; Jukema, J.W. Abdominal aortic calcification on a plain X-ray and the relation with significant coronary artery disease in asymptomatic chronic dialysis patients. BMC Nephrol. 2017, 18, 82. [Google Scholar] [CrossRef] [PubMed]


| AACS | p Value | |||||
|---|---|---|---|---|---|---|
| 0 | 1–2 | 3–4 | 5–6 | ≥7 | ||
| Age (year) | 50.2 ± 12.0 | 57.0 ± 10.3 | 60.1 ± 9.2 | 63.2 ± 9.2 | 65.0 ± 7.0 | <0.001 |
| Male | 798 (58.8) | 226 (64.9) | 111 (66.5) | 61 (66.3) | 81 (66.4) | <0.001 |
| Charlson comorbidity index | 0.046 | |||||
| 0–3 | 15114 (81.9) | 211 (60.6) | 95 (56.9) | 42 (45.7) | 32 (26.2) | <0.001 |
| 4–5 | 238 (17.5) | 126 (36.2) | 67 (40.1) | 45 (48.9) | 86 (70.5) | |
| 6 | 9 (0.7) | 11 (3.2) | 5 (3.0) | 5 (5.4) | 4 (3.3) | |
| Primary renal disease | ||||||
| DM | 210 (15.5) | 121 (34.8) | 70 (42.2) | 43 (47.3) | 79 (64.8) | <0.001 |
| HTN | 261 (19.2) | 76 (21.8) | 36 (21.7) | 23 (25.3) | 21 (17.2) | |
| GN | 521 (38.4) | 79 (22.7) | 28 (16.9) | 15 (16.5) | 11 (9.0) | |
| TID | 11 (0.8) | 1 (0.3) | 1 (0.6) | 0 (0.0) | 1 (0.8) | |
| PKD | 275 (20.3) | 48 (13.8) | 14 (8.4) | 1 (1.1) | 2 (1.6) | |
| Others | 79 (5.8) | 23 (6.6) | 17 (10.2) | 9 (9.9) | 8 (6.6) | |
| Current smoking status | 216 (15.9) | 48 (13.8) | 36 (21.6) | 15 (16.3) | 14 (11.5) | |
| Medication | 0.138 | |||||
| ACEi/ARBs | 1160 (85.5) | 299 (85.9) | 135 (80.8) | 82 (89.1) | 108 (88.5) | |
| Diuretics | 355 (26.2) | 119 (34.2) | 63 (37.7) | 45 (48.9) | 71 (58.2) | 0.302 |
| Number of anti-HTN drugs ≥ 3 | 317 (23.4) | 113 (32.5) | 72 (43.1) | 35 (38.0) | 64 (52.5) | <0.001 |
| Statins | 617 (45.5) | 205 (58.9) | 117 (70.1) | 49 (53.3) | 91 (74.6) | <0.001 |
| BMI (kg/m2) | 24.4 ± 3.5 | 24.8 ± 3.3 | 24.6 ± 2.9 | 25.3 ± 3.6 | 25.3 ± 3.2 | <0.001 |
| SBP (mmHg) | 126.3 ± 15.5 | 129.1 ± 16.5 | 131.1 ± 17.5 | 133.0 ± 17.6 | 133.0 ± 18.7 | 0.013 |
| DBP (mmHg) | 77.2 ± 10.7 | 77.8 ± 11.6 | 77.2 ± 11.7 | 76.4 ± 11.9 | 73.0 ± 12.6 | <0.001 |
| Laboratory findings | 0.007 | |||||
| Hemoglobin (g/dL) | 13.1 ± 2.0 | 12.7 ± 2.1 | 12.4 ± 2.0 | 12.3 ± 1.9 | 11.8 ± 1.9 | |
| Albumin (g/dL) | 4.2 ± 0.4 | 4.1 ± 0.4 | 4.1 ± 0.4 | 4.1 ± 0.5 | 4.1 ± 0.5 | 0.002 |
| Total cholesterol (mg/dL) | 176.9 ± 37.9 | 171.9 ± 41.2 | 167.0 ± 37.9 | 165.3 ± 43.7 | 164.1 ± 40.3 | <0.001 |
| HDL-C (mg/dL) | 51.0 ± 15.5 | 47.5 ± 15.0 | 45.5 ± 14.6 | 44.4 ± 14.6 | 44.2 ± 15.1 | <0.001 |
| LDL-C (mg/dL) | 99.3 ± 31.4 | 94.0 ± 32.9 | 90.6 ± 31.3 | 90.4 ± 28.1 | 89.7 ± 30.4 | <0.001 |
| TG (mg/dL) | 153.7 ± 96.9 | 160.8 ± 106.0 | 170.2 ± 96.1 | 165.9 ± 104.8 | 172.7 ± 108.2 | 0.093 |
| Fasting glucose (mg/dL) | 106.4 ± 36.4 | 117.8 ± 46.9 | 118.3 ± 43.9 | 118.9 ± 37.9 | 128.0 ± 46.2 | <0.001 |
| 25(OH) vitamin D (ng/dL) | 17.8 ± 8.0 | 18.3 ± 7.3 | 17.1 ± 6.7 | 16.6 ± 7.5 | 18.1 ± 8.2 | 0.219 |
| hsCRP (mg/dL) | 0.6 (0.2, 1.6) | 0.6 (0.3, 1.7) | 0.7 (0.3, 1.7) | 0.8 (0.5, 2.0) | 1.1 (0.5, 2.0) | 0.064 |
| Spot urine ACR (mg/g Cr) | 301.8 (60.4, 907.1) | 403.2 (97.9, 1435.6) | 344.0 (72.2, 1484.8) | 500.2 (147.0, 1195.0) | 633.8 (132.7, 1617.7) | <0.001 |
| eGFR (mL/min./1.73 m2) | 55.4 ± 32.1 | 46.1 ± 26.7 | 40.1 ± 22.0 | 38.8 ± 19.1 | 36.4 ± 21.2 | <0.001 |
| CKD stages | <0.001 | |||||
| Stage 1 | 291 (21.4) | 39 (11.2) | 6 (3.6) | 3 (3.3) | 4 (3.3) | |
| Stage 2 | 288 (21.2) | 57 (16.4) | 31 (18.6) | 10 (10.9) | 13 (10.7) | |
| Stage 3a | 222 (16.4) | 65 (18.7) | 23 (13.8) | 20 (21.7) | 14 (11.5) | |
| Stage 3b | 241 (17.8) | 85 (24.4) | 46 (27.5) | 27 (29.3) | 33 (27.0) | |
| Stage 4 | 242 (17.8) | 77 (22.1) | 48 (28.7) | 26 (28.3) | 50 (41.0) | |
| Stage 5 | 73 (5.4) | 25 (7.2) | 13 (7.8) | 6 (6.5) | 8 (6.6) | |
| AACS | Events, n (%) | Model 1 | Model 2 | Model 3 | Model 4 | |||||
|---|---|---|---|---|---|---|---|---|---|---|
| HR (95% CIs) | p Value | HR (95% CIs) | p Value | HR (95% CIs) | p Value | HR (95% CIs) | p Value | |||
| Composite CV events | 0 | 119 (8.8) | Reference | Reference | Reference | Reference | ||||
| 1–2 | 54 (15.5) | 1.921 (1.344, 2.745) | <0.001 | 1.280 (0.915, 1.789) | 0.149 | 1.144 (0.797, 1.643) | 0.464 | 1.169 (0.806, 1.696) | 0.411 | |
| 3–4 | 27 (16.2) | 1.696 (1.053, 2.734) | 0.030 | 0.961 (0.619, 1.493) | 0.860 | 0.834 (0.514, 1.353) | 0.462 | 0.859 (0.524, 1.408) | 0.546 | |
| 5–6 | 22 (23.9) | 3.134 (1.924, 5.107) | <0.001 | 1.175 (0.722, 1.910) | 0.516 | 1.062 (0.632, 1.783) | 0.821 | 1.155 (0.680, 1.962) | 0.593 | |
| ≥7 | 40 (32.8) | 4.867 (3.320, 7.135) | <0.001 | 1.631 (1.095, 2.430) | 0.0161 | 1.718 (1.129, 2.614) | 0.012 | 1.888 (1.219, 2.923) | 0.004 | |
| AACS | Events, n (%) | Model 1 | Model 2 | Model 3 | Model 4 | |||||
|---|---|---|---|---|---|---|---|---|---|---|
| HR (95% CIs) | p Value | HR (95% CIs) | p Value | HR (95% CIs) | p Value | HR (95% CIs) | p Value | |||
| Fatal and non-fatal CV event | 0 | 72 (5.3) | Reference | Reference | Reference | Reference | ||||
| 1–2 | 39 (11.2) | 2.149 (1.384, 3.337) | <0.001 | 1.555 (1.036, 2.333) | 0.033 | 1.357 (0.875, 2.103) | 0.176 | 1.372 (0.867, 2.169) | 0.177 | |
| 3–4 | 20 (12.0) | 2.129 (1.213, 3.738) | 0.009 | 1.246 (0.741, 2.095) | 0.408 | 1.087 (0.615, 1.922) | 0.773 | 1.114 (0.620, 2.001) | 0.719 | |
| 5–6 | 12 (13.0) | 2.440 (1.214, 4.906) | 0.012 | 1.123 (0.587, 2.147) | 0.725 | 0.873 (0.419, 1.819) | 0.717 | 0.950 (0.447, 2.018) | 0.893 | |
| ≥7 | 24 (19.7) | 4.941 (3.039,8.035) | <0.001 | 1.733 (1.037, 2.896) | 0.036 | 1.806 (1.061, 3.075) | 0.029 | 1.052 (1.030, 1.073) | <0.001 | |
| All-cause death | 0 | 57 (4.2) | Reference | Reference | Reference | Reference | ||||
| 1–2 | 19 (5.5) | 1.512 (0.863, 2.648) | 0.149 | 0.790 (0.460, 1.357) | 0.393 | 0.727 (0.403, 1.311) | 0.290 | 0.746 (0.413, 1.346) | 0.330 | |
| 3–4 | 15 (9.0) | 1.749 (0.889, 3.441) | 0.106 | 0.955 (0.522, 1.747) | 0.882 | 0.763 (0.388, 1.503) | 0.435 | 0.751 (0.370, 1.523) | 0.427 | |
| 5–6 | 14 (15.2) | 4.011 (2.139,7.522) | < 0.001 | 1.272 (0.670, 2.416) | 0.462 | 1.076 (0.533, 2.171) | 0.839 | 1.219 (0.595, 2.499) | 0.589 | |
| ≥7 | 24 (19.7) | 5.600 (3.338, 9.395) | < 0.001 | 1.703 (1.005, 2.885) | 0.048 | 1.826 (1.039, 3.208) | 0.036 | 1.949 (1.073, 3.539) | 0.028 | |
| AACS | Events, n (%) | Unadjusted HR (95% CIs) | p for Interaction | Adjusted HR (95% CIs) | p for Interaction | |
|---|---|---|---|---|---|---|
| Age < 60 years | 0 | 64 (6.2) | Reference | 0.495 | Reference | 0.859 |
| 1–2 | 20 (10.0) | 1.880 (1.115, 3.169) | 1.063 (0.570, 1.982) | |||
| 3–4 | 11 (14.3) | 2.336 (1.223, 4.461) | 0.909 (0.408, 2.023) | |||
| 5–6 | 2 (8.3) | 1.416 (0.345, 5.804) | 0.880 (0.203, 3.819) | |||
| ≥7 | 5 (21.7) | 3.334 (1.333, 8.336) | 0.875 (0.279, 2.741) | |||
| Age ≥ 60 years | 0 | 55 (17.2) | Reference | Reference | ||
| 1–2 | 34 (23.0) | 1.538 (0.997, 2.372) | 1.125 (0.672, 1.883) | |||
| 3–4 | 16 (17.8) | 1.070 (0.612, 1.869) | 0.828 (0.427, 1.604) | |||
| 5–6 | 20 (29.4) | 1.864 (1.105, 3.144) | 1.175 (0.637, 2.167) | |||
| ≥7 | 35 (35.4) | 2.554 (1.662, 3.926) | 2.038 (1.211, 3.428) | |||
| Male | 0 | 81 (10.2) | Reference | 0.067 | Reference | 0.206 |
| 1–2 | 39 (17.3) | 1.855 (1.250, 2.753) | 1.122 (0.702, 1.791) | |||
| 3–4 | 25 (22.5) | 2.400 (1.525, 3.775) | 1.202 (0.699, 2.067) | |||
| 5–6 | 18 (29.5) | 3.167 (1.869, 5.365) | 1.232 (0.665, 2.281) | |||
| ≥7 | 30 (37.0) | 4.320 (2.825, 6.608) | 2.024 (1.211, 3.383) | |||
| Female | 0 | 38 (6.8) | Reference | Reference | ||
| 1–2 | 15 (12.3) | 2.167 (1.181, 3.976) | 1.399 (0.678, 2.885) | |||
| 3–4 | 2 (3.6) | 0.427 (0.103, 1.776) | 0.386 (0.088, 1.699) | |||
| 5–6 | 4 (12.9) | 1.733 (0.616, 4.787) | 0.849 (0.230, 3.134) | |||
| ≥7 | 10 (24.4) | 3.450 (1.656, 7.186) | 1.930 (0.698, 5.335) | |||
| BMI < 23 kg/m2 | 0 | 40 (8.7) | Reference | 0.243 | Reference | 0.175 |
| 1–2 | 12 (11.4) | 1.330 (0.693, 2.553) | 0.525 (0.219, 1.262) | |||
| 3–4 | 10 (23.3) | 2.516 (1.249, 5.066) | 1.051 (0.399, 2.768) | |||
| 5–6 | 5 (23.8) | 2.431 (0.954, 6.192) | 0.698 (0.224, 2.176) | |||
| ≥7 | 8 (25.8) | 2.771 (1.231, 6.237) | 0.834 (0.292, 2.381) | |||
| BMI ≥ 23 kg/m2 | 0 | 79 (8.9) | Reference | Reference | ||
| 1–2 | 42 (17.5) | 2.323 (1.578, 3.420) | 1.350 (0.859, 2.123) | |||
| 3–4 | 16 (13.1) | 1.473 (0.857, 2.530) | 0.758 (0.401, 1.434) | |||
| 5–6 | 17 (24.3) | 2.928 (1.703, 5.035) | 1.286 (0.677, 2.445) | |||
| ≥7 | 32 (35.2) | 4.670 (3.078, 7.084) | 2.647 (1.590, 4.404) | |||
| eGFR ≥ 45 mL/min/1.73 m2 | 0 | 44 (5.8) | Reference | 0.022 | Reference | 0.206 |
| 1–2 | 24 (16.2) | 3.286 (1.924, 5.614) | 1.635 (0.812, 3.296) | |||
| 3–4 | 7 (13.0) | 2.124 (0.943, 4.785) | 1.226 (0.474, 3.170) | |||
| 5–6 | 3 (10.0) | 1.118 (0.269, 4.648) | 0.542 (0.115, 2.553) | |||
| ≥7 | 10 (35.7) | 7.180 (3.445, 14.963) | 2.772 (1.028, 7.475) | |||
| eGFR < 45 mL/min/1.73 m2 | 0 | 75 (12.6) | Reference | Reference | ||
| 1–2 | 30 (15.0) | 1.423 (0.931, 2.175) | 0.977 (0.601, 1.588) | |||
| 3–4 | 30 (17.7) | 1.565 (0.955, 2.564) | 0.720 (0.393, 1.320) | |||
| 5–6 | 19 (30.6) | 3.010 (1.818, 4.984) | 1.201 (0.634, 2.277) | |||
| ≥7 | 30 (31.9) | 3.190 (2.085, 4.880) | 1.504 (0.880, 2.571) | |||
| Spot urine ACR < 300 mg/gCr | 0 | 62 (9.6) | Reference | 0.131 | Reference | 0.305 |
| 1–2 | 20 (13.0) | 1.521 (0.911, 2.538) | 0.814 (0.417, 1.588) | |||
| 3–4 | 9 (12.9) | 1.280 (0.632, 2.589) | 0.695 (0.307, 1.575) | |||
| 5–6 | 6 (18.8) | 1.350 (0.541, 3.369) | 0.616 (0.218, 1.746) | |||
| ≥7 | 11 (26.2) | 2.771 (1.450, 5.297) | 1.280 (0.551, 2.972) | |||
| Spot urine ACR ≥ 300 mg/gCr | 0 | 55 (8.2) | Reference | Reference | ||
| 1–2 | 33 (17.6) | 2.433 (1.554, 3.811) | 1.586 (0.960, 2.619) | |||
| 3–4 | 16 (18.0) | 2.218 (1.264, 3.890) | 1.134 (0.585, 2.198) | |||
| 5–6 | 15 (26.8) | 4.011 (2.253, 7.141) | 1.725 (0.890, 3.342) | |||
| ≥7 | 29 (38.2) | 5.664 (3.567, 8.996) | 2.829 (1.596, 5.014) |
Publisher’s Note: MDPI stays neutral with regard to jurisdictional claims in published maps and institutional affiliations. |
© 2022 by the authors. Licensee MDPI, Basel, Switzerland. This article is an open access article distributed under the terms and conditions of the Creative Commons Attribution (CC BY) license (https://creativecommons.org/licenses/by/4.0/).
Share and Cite
Suh, S.H.; Oh, T.R.; Choi, H.S.; Kim, C.S.; Bae, E.H.; Oh, K.-H.; Lee, J.; Oh, Y.K.; Jung, J.Y.; Ma, S.K.; et al. Abdominal Aortic Calcification and Cardiovascular Outcomes in Chronic Kidney Disease: Findings from KNOW-CKD Study. J. Clin. Med. 2022, 11, 1157. https://doi.org/10.3390/jcm11051157
Suh SH, Oh TR, Choi HS, Kim CS, Bae EH, Oh K-H, Lee J, Oh YK, Jung JY, Ma SK, et al. Abdominal Aortic Calcification and Cardiovascular Outcomes in Chronic Kidney Disease: Findings from KNOW-CKD Study. Journal of Clinical Medicine. 2022; 11(5):1157. https://doi.org/10.3390/jcm11051157
Chicago/Turabian StyleSuh, Sang Heon, Tae Ryom Oh, Hong Sang Choi, Chang Seong Kim, Eun Hui Bae, Kook-Hwan Oh, Joongyub Lee, Yun Kyu Oh, Ji Yong Jung, Seong Kwon Ma, and et al. 2022. "Abdominal Aortic Calcification and Cardiovascular Outcomes in Chronic Kidney Disease: Findings from KNOW-CKD Study" Journal of Clinical Medicine 11, no. 5: 1157. https://doi.org/10.3390/jcm11051157
APA StyleSuh, S. H., Oh, T. R., Choi, H. S., Kim, C. S., Bae, E. H., Oh, K.-H., Lee, J., Oh, Y. K., Jung, J. Y., Ma, S. K., Kim, S. W., & on behalf of the Korean Cohort Study for Outcomes in Patients with Chronic Kidney Disease (KNOW-CKD) Investigators. (2022). Abdominal Aortic Calcification and Cardiovascular Outcomes in Chronic Kidney Disease: Findings from KNOW-CKD Study. Journal of Clinical Medicine, 11(5), 1157. https://doi.org/10.3390/jcm11051157

