Fibroblast Growth Factor 23 and Outcome Prediction in Patients with Acute Myocardial Infarction
Abstract
1. Introduction
2. Materials and Methods
2.1. Study Population
2.2. Clinical Definition of Acute MI
2.3. Clinical Definition of Acute HF
2.4. Laboratory Analysis and Medication Assessment
2.5. Study Endpoints and Follow Up
- Association between FGF23 levels and survival at one year in patients with MI with and without acute HF.
- Assessment of the predictive ability of FGF23 as a biomarker for individual risk assessment and prognosis estimation.
- Comparison of the predictive ability of FGF23 to GRACE score estimates.
- All patients were followed up by phone calls to assess their survival at one year after admission.
2.6. Risk Calculation
2.7. Statistical Analysis
3. Results
3.1. Study Population and Patient Characteristics
3.2. Associations between FGF23 Levels and Survival at One Year
3.3. GRACE Score Estimates and Correlation with FGF23 Levels
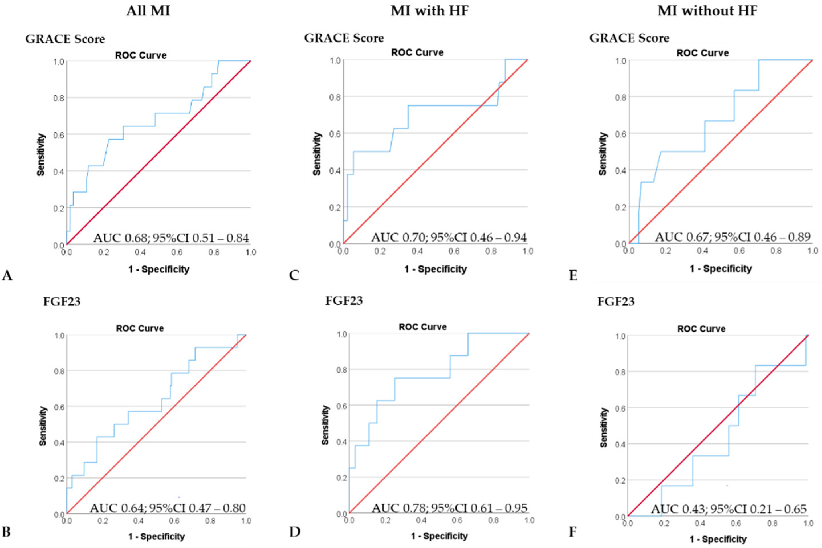
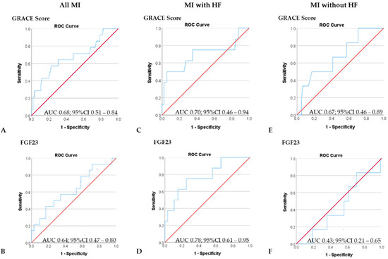
3.4. Risk Prediction Accuracy of FGF23 Levels Compared to GRACE Score Estimates
4. Discussion
5. Conclusions
Author Contributions
Funding
Institutional Review Board Statement
Informed Consent Statement
Data Availability Statement
Acknowledgments
Conflicts of Interest
References
- Gutiérrez, O.M.; Januzzi, J.L.; Isakova, T.; Laliberte, K.; Smith, K.; Collerone, G.; Sarwar, A.; Hoffmann, U.; Coglianese, E.; Christenson, R.; et al. Fibroblast growth factor 23 and left ventricular hypertrophy in chronic kidney disease. Circulation 2009, 119, 2545–2552. [Google Scholar] [CrossRef] [PubMed]
- Mirza, M.A.; Larsson, A.; Melhus, H.; Lind, L.; Larsson, T.E. Serum intact FGF23 associate with left ventricular mass, hypertrophy and geometry in an elderly population. Atherosclerosis 2009, 207, 546–551. [Google Scholar] [CrossRef] [PubMed]
- Negishi, K.; Kobayashi, M.; Ochiai, I.; Yamazaki, Y.; Hasegawa, H.; Yamashita, T.; Shimizu, T.; Kasama, S.; Kurabayashi, M. Association between fibroblast growth factor 23 and left ventricular hypertrophy in maintenance hemodialysis patients. Comparison with B-type natriuretic peptide and cardiac troponin T. Circ. J. 2010, 74, 2734–2740. [Google Scholar] [CrossRef] [PubMed]
- Faul, C.; Amaral, A.P.; Oskouei, B.; Hu, M.C.; Sloan, A.; Isakova, T.; Gutiérrez, O.M.; Aguillon-Prada, R.; Lincoln, J.; Hare, J.M.; et al. FGF23 induces left ventricular hypertrophy. J. Clin. Investig. 2011, 121, 4393–4408. [Google Scholar] [CrossRef] [PubMed]
- Touchberry, C.D.; Green, T.M.; Tchikrizov, V.; Mannix, J.E.; Mao, T.F.; Carney, B.W.; Girgis, M.; Vincent, R.J.; Wetmore, L.A.; Dawn, B.; et al. FGF23 is a novel regulator of intracellular calcium and cardiac contractility in addition to cardiac hypertrophy. Am. J. Physiol.-Endocrinol. Metab. 2013, 304, E863–E873. [Google Scholar] [CrossRef]
- Dai, B.; David, V.; Martin, A.; Huang, J.; Li, H.; Jiao, Y.; Gu, W.; Quarles, L.D. A comparative transcriptome analysis identifying FGF23 regulated genes in the kidney of a mouse CKD model. PLoS ONE 2012, 7, e44161. [Google Scholar] [CrossRef]
- Lim, K.; Lu, T.S.; Molostvov, G.; Lee, C.; Lam, F.T.; Zehnder, D.; Hsiao, L.L. Vascular Klotho deficiency potentiates the development of human artery calcification and mediates resistance to fibroblast growth factor 23. Circulation 2012, 125, 2243–2255. [Google Scholar] [CrossRef]
- Ix, J.H.; Katz, R.; Kestenbaum, B.R.; de Boer, I.H.; Chonchol, M.; Mukamal, K.J.; Rifkin, D.; Siscovick, D.S.; Sarnak, M.J.; Shlipak, M.G. Fibroblast growth factor-23 and death, heart failure, and cardiovascular events in community-living individuals: CHS (Cardiovascular Health Study). J. Am. Coll. Cardiol. 2012, 60, 200–207. [Google Scholar] [CrossRef]
- Cornelissen, A.; Florescu, R.; Kneizeh, K.; Cornelissen, C.; Brandenburg, V.; Liehn, E.; Schuh, A. Intact fibroblast growth factor 23 levels and outcome prediction in patients with acute heart failure. Sci. Rep. 2021, 11, 15507. [Google Scholar] [CrossRef]
- Andrukhova, O.; Slavic, S.; Odörfer, K.I.; Erben, R.G. Experimental Myocardial Infarction Upregulates Circulating Fibroblast Growth Factor-23. J. Bone Miner. Res. 2015, 30, 1831–1839. [Google Scholar] [CrossRef]
- Schumacher, D.; Alampour-Rajabi, S.; Ponomariov, V.; Curaj, A.; Wu, Z.; Staudt, M.; Rusu, M.; Jankowski, V.; Marx, N.; Jankowski, J.; et al. Cardiac FGF23: New insights into the role and function of FGF23 after acute myocardial infarction. Cardiovasc. Pathol. 2019, 40, 47–54. [Google Scholar] [CrossRef] [PubMed]
- Shimada, T.; Kakitani, M.; Yamazaki, Y.; Hasegawa, H.; Takeuchi, Y.; Fujita, T.; Fukumoto, S.; Tomizuka, K.; Yamashita, T. Targeted ablation of Fgf23 demonstrates an essential physiological role of FGF23 in phosphate and vitamin D metabolism. J. Clin. Investig. 2004, 113, 561–568. [Google Scholar] [CrossRef] [PubMed]
- Tuñón, J.; Cristóbal, C.; Tarín, N.; Aceña, Á.; González-Casaus, M.L.; Huelmos, A.; Alonso, J.; Lorenzo, Ó.; González-Parra, E.; Mahíllo-Fernández, I.; et al. Coexistence of low vitamin D and high fibroblast growth factor-23 plasma levels predicts an adverse outcome in patients with coronary artery disease. PLoS ONE 2014, 9, e95402. [Google Scholar] [CrossRef] [PubMed]
- Bergmark, B.A.; Udell, J.A.; Morrow, D.A.; Cannon, C.P.; Steen, D.L.; Jarolim, P.; Budaj, A.; Hamm, C.; Guo, J.; Im, K.; et al. Association of Fibroblast Growth Factor 23 With Recurrent Cardiovascular Events in Patients After an Acute Coronary Syndrome: A Secondary Analysis of a Randomized Clinical Trial. JAMA Cardiol. 2018, 3, 473–480. [Google Scholar] [CrossRef]
- Scialla, J.J.; Xie, H.; Rahman, M.; Anderson, A.H.; Isakova, T.; Ojo, A.; Zhang, X.; Nessel, L.; Hamano, T.; Grunwald, J.E.; et al. Fibroblast growth factor-23 and cardiovascular events in CKD. J. Am. Soc. Nephrol. 2014, 25, 349–360. [Google Scholar] [CrossRef]
- Haring, R.; Enserro, D.; Xanthakis, V.; Mitchell, G.F.; Benjamin, E.J.; Hamburg, N.M.; Sullivan, L.; Nauck, M.; Wallaschofski, H.; Vasan, R.S. Plasma Fibroblast Growth Factor 23: Clinical Correlates and Association With Cardiovascular Disease and Mortality in the Framingham Heart Study. J. Am. Heart Assoc. 2016, 5, e003486. [Google Scholar] [CrossRef]
- Paul, S.; Wong, M.; Akhabue, E.; Mehta, R.C.; Kramer, H.; Isakova, T.; Carnethon, M.R.; Wolf, M.; Gutiérrez, O.M. Fibroblast Growth Factor 23 and Incident Cardiovascular Disease and Mortality in Middle-Aged Adults. J. Am. Heart Assoc. 2021, 10, e020196. [Google Scholar] [CrossRef]
- Thygesen, K.; Alpert, J.S.; Jaffe, A.S.; Simoons, M.L.; Chaitman, B.R.; White, H.D.; Thygesen, K.; Alpert, J.S.; White, H.D.; Jaffe, A.S.; et al. Third universal definition of myocardial infarction. Eur. Heart J. 2012, 33, 2551–2567. [Google Scholar] [CrossRef]
- Ibanez, B.; James, S.; Agewall, S.; Antunes, M.J.; Bucciarelli-Ducci, C.; Bueno, H.; Caforio, A.L.P.; Crea, F.; Goudevenos, J.A.; Halvorsen, S.; et al. 2017 ESC Guidelines for the management of acute myocardial infarction in patients presenting with ST-segment elevation: The Task Force for the management of acute myocardial infarction in patients presenting with ST-segment elevation of the European Society of Cardiology (ESC). Eur. Heart J. 2018, 39, 119–177. [Google Scholar] [CrossRef]
- Roffi, M.; Patrono, C.; Collet, J.P.; Mueller, C.; Valgimigli, M.; Andreotti, F.; Bax, J.J.; Borger, M.A.; Brotons, C.; Chew, D.P.; et al. 2015 ESC Guidelines for the management of acute coronary syndromes in patients presenting without persistent ST-segment elevation: Task Force for the Management of Acute Coronary Syndromes in Patients Presenting without Persistent ST-Segment Elevation of the European Society of Cardiology (ESC). Eur. Heart J. 2016, 37, 267–315. [Google Scholar] [CrossRef]
- McDonagh, T.A.; Metra, M.; Adamo, M.; Gardner, R.S.; Baumbach, A.; Böhm, M.; Burri, H.; Butler, J.; Čelutkienė, J.; Chioncel, O.; et al. 2021 ESC Guidelines for the diagnosis and treatment of acute and chronic heart failure. Eur. Heart J. 2021, 42, 3599–3726. [Google Scholar] [CrossRef] [PubMed]
- Yan, A.T.; Yan, R.T.; Tan, M.; Eagle, K.A.; Granger, C.B.; Dabbous, O.H.; Fitchett, D.; Grima, E.; Langer, A.; Goodman, S.G. In-hospital revascularization and one-year outcome of acute coronary syndrome patients stratified by the GRACE risk score. Am. J. Cardiol. 2005, 96, 913–916. [Google Scholar] [CrossRef] [PubMed]
- de Araújo Gonçalves, P.; Ferreira, J.; Aguiar, C.; Seabra-Gomes, R. TIMI, PURSUIT, and GRACE risk scores: Sustained prognostic value and interaction with revascularization in NSTE-ACS. Eur. Heart J. 2005, 26, 865–872. [Google Scholar] [CrossRef] [PubMed]
- Motulsky, H.J.; Brown, R.E. Detecting outliers when fitting data with nonlinear regression—A new method based on robust nonlinear regression and the false discovery rate. BMC Bioinform. 2006, 7, 123. [Google Scholar] [CrossRef]
- Parker, B.D.; Schurgers, L.J.; Brandenburg, V.M.; Christenson, R.H.; Vermeer, C.; Ketteler, M.; Shlipak, M.G.; Whooley, M.A.; Ix, J.H. The associations of fibroblast growth factor 23 and uncarboxylated matrix Gla protein with mortality in coronary artery disease: The Heart and Soul Study. Ann. Intern. Med. 2010, 152, 640–648. [Google Scholar] [CrossRef]
- Plischke, M.; Neuhold, S.; Adlbrecht, C.; Bielesz, B.; Shayganfar, S.; Bieglmayer, C.; Szekeres, T.; Hörl, W.H.; Strunk, G.; Vavken, P.; et al. Inorganic phosphate and FGF-23 predict outcome in stable systolic heart failure. Eur. J. Clin. Investig. 2012, 42, 649–656. [Google Scholar] [CrossRef]
- Ärnlöv, J.; Carlsson, A.C.; Sundström, J.; Ingelsson, E.; Larsson, A.; Lind, L.; Larsson, T.E. Serum FGF23 and risk of cardiovascular events in relation to mineral metabolism and cardiovascular pathology. Clin. J. Am. Soc. Nephrol. 2013, 8, 781–786. [Google Scholar] [CrossRef]
- Morrow, D.A.; Antman, E.M.; Charlesworth, A.; Cairns, R.; Murphy, S.A.; de Lemos, J.A.; Giugliano, R.P.; McCabe, C.H.; Braunwald, E. TIMI risk score for ST-elevation myocardial infarction: A convenient, bedside, clinical score for risk assessment at presentation: An intravenous nPA for treatment of infarcting myocardium early II trial substudy. Circulation 2000, 102, 2031–2037. [Google Scholar] [CrossRef]
- Antman, E.M.; Cohen, M.; Bernink, P.J.; McCabe, C.H.; Horacek, T.; Papuchis, G.; Mautner, B.; Corbalan, R.; Radley, D.; Braunwald, E. The TIMI risk score for unstable angina/non-ST elevation MI: A method for prognostication and therapeutic decision making. Jama 2000, 284, 835–842. [Google Scholar] [CrossRef]
- Boersma, E.; Pieper, K.S.; Steyerberg, E.W.; Wilcox, R.G.; Chang, W.C.; Lee, K.L.; Akkerhuis, K.M.; Harrington, R.A.; Deckers, J.W.; Armstrong, P.W.; et al. Predictors of outcome in patients with acute coronary syndromes without persistent ST-segment elevation. Results from an international trial of 9461 patients. The PURSUIT Investigators. Circulation 2000, 101, 2557–2567. [Google Scholar] [CrossRef]
- Fox, K.A.; Eagle, K.A.; Gore, J.M.; Steg, P.G.; Anderson, F.A. The Global Registry of Acute Coronary Events, 1999 to 2009--GRACE. Heart 2010, 96, 1095–1101. [Google Scholar] [CrossRef] [PubMed]
- Barra, S.; Providência, R.; Paiva, L.; Caetano, F.; Almeida, I.; Gomes, P.; Marques, A.L. ACHTUNG-Rule: A new and improved model for prognostic assessment in myocardial infarction. Eur. Heart J.-Acute Cardiovasc. Care 2012, 1, 320–336. [Google Scholar] [CrossRef] [PubMed][Green Version]
- Abu-Assi, E.; Ferreira-González, I.; Ribera, A.; Marsal, J.R.; Cascant, P.; Heras, M.; Bueno, H.; Sánchez, P.L.; Arós, F.; Marrugat, J.; et al. Do GRACE (Global Registry of Acute Coronary events) risk scores still maintain their performance for predicting mortality in the era of contemporary management of acute coronary syndromes? Am. Heart J. 2010, 160, 826–834.e3. [Google Scholar] [CrossRef] [PubMed]
- Gale, C.P.; Manda, S.O.; Weston, C.F.; Birkhead, J.S.; Batin, P.D.; Hall, A.S. Evaluation of risk scores for risk stratification of acute coronary syndromes in the Myocardial Infarction National Audit Project (MINAP) database. Heart 2009, 95, 221–227. [Google Scholar] [CrossRef]
- Lutsey, P.L.; Alonso, A.; Selvin, E.; Pankow, J.S.; Michos, E.D.; Agarwal, S.K.; Loehr, L.R.; Eckfeldt, J.H.; Coresh, J. Fibroblast growth factor-23 and incident coronary heart disease, heart failure, and cardiovascular mortality: The Atherosclerosis Risk in Communities study. J. Am. Heart Assoc. 2014, 3, e000936. [Google Scholar] [CrossRef]
- Panwar, B.; Judd, S.E.; Wadley, V.G.; Jenny, N.S.; Howard, V.J.; Safford, M.M.; Gutiérrez, O.M. Association of Fibroblast Growth Factor 23 With Risk of Incident Coronary Heart Disease in Community-Living Adults. JAMA Cardiol. 2018, 3, 318–325. [Google Scholar] [CrossRef]
- Eggers, K.M.; Lindhagen, L.; Lindhagen, L.; Baron, T.; Erlinge, D.; Hjort, M.; Jernberg, T.; Marko-Varga, G.; Rezeli, M.; Spaak, J.; et al. Predicting outcome in acute myocardial infarction: An analysis investigating 175 circulating biomarkers. Eur. Heart J.-Acute Cardiovasc. Care 2021, 10, 806–812. [Google Scholar] [CrossRef]
- Stöhr, R.; Brandenburg, V.M.; Heine, G.H.; Maeder, M.T.; Leibundgut, G.; Schuh, A.; Jeker, U.; Pfisterer, M.; Sanders-van Wijk, S.; Brunner-la Rocca, H.P. Limited role for fibroblast growth factor 23 in assessing prognosis in heart failure patients: Data from the TIME-CHF trial. Eur. J. Heart Fail. 2020, 22, 701–709. [Google Scholar] [CrossRef]
- Kanagala, P.; Arnold, J.R.; Khan, J.N.; Singh, A.; Gulsin, G.S.; Eltayeb, M.; Gupta, P.; Squire, I.B.; McCann, G.P.; Ng, L.L. Fibroblast-growth-factor-23 in heart failure with preserved ejection fraction: Relation to exercise capacity and outcomes. ESC Heart Fail. 2020, 7, 4089–4099. [Google Scholar] [CrossRef]
- Desta, L.; Jernberg, T.; Löfman, I.; Hofman-Bang, C.; Hagerman, I.; Spaak, J.; Persson, H. Incidence, temporal trends, and prognostic impact of heart failure complicating acute myocardial infarction. The SWEDEHEART Registry (Swedish Web-System for Enhancement and Development of Evidence-Based Care in Heart Disease Evaluated According to Recommended Therapies): A study of 199,851 patients admitted with index acute myocardial infarctions, 1996 to 2008. JACC Heart Fail. 2015, 3, 234–242. [Google Scholar] [CrossRef]
- Auffret, V.; Leurent, G.; Gilard, M.; Hacot, J.P.; Filippi, E.; Delaunay, R.; Rialan, A.; Rouault, G.; Druelles, P.; Castellant, P.; et al. Incidence, timing, predictors and impact of acute heart failure complicating ST-segment elevation myocardial infarction in patients treated by primary percutaneous coronary intervention. Int. J. Cardiol. 2016, 221, 433–442. [Google Scholar] [CrossRef] [PubMed]
- Pöss, J.; Mahfoud, F.; Seiler, S.; Heine, G.H.; Fliser, D.; Böhm, M.; Link, A. FGF-23 is associated with increased disease severity and early mortality in cardiogenic shock. Eur. Heart J.-Acute Cardiovasc. Care 2013, 2, 211–218. [Google Scholar] [CrossRef] [PubMed]
- Takahashi, H.; Ozeki, M.; Fujisaka, T.; Morita, H.; Fujita, S.I.; Takeda, Y.; Shibata, K.; Sohmiya, K.; Hoshiga, M.; Tamaki, J.; et al. Changes in Serum Fibroblast Growth Factor 23 in Patients With Acute Myocardial Infarction. Circ. J. 2018, 82, 767–774. [Google Scholar] [CrossRef] [PubMed]
- Thorsen, I.S.; Gøransson, L.G.; Ueland, T.; Aukrust, P.; Manhenke, C.A.; Skadberg, Ø.; Jonsson, G.; Ørn, S. The relationship between Fibroblast Growth Factor 23 (FGF23) and cardiac MRI findings following primary PCI in patients with acute first time STEMI. Int. J. Cardiol. Heart Vasc. 2021, 33, 100727. [Google Scholar] [CrossRef] [PubMed]
- Reindl, M.; Reinstadler, S.J.; Feistritzer, H.J.; Mueller, L.; Koch, C.; Mayr, A.; Theurl, M.; Kirchmair, R.; Klug, G.; Metzler, B. Fibroblast growth factor 23 as novel biomarker for early risk stratification after ST-elevation myocardial infarction. Heart 2017, 103, 856–862. [Google Scholar] [CrossRef] [PubMed]
- Di Lullo, L.; House, A.; Gorini, A.; Santoboni, A.; Russo, D.; Ronco, C. Chronic kidney disease and cardiovascular complications. Heart Fail. Rev. 2015, 20, 259–272. [Google Scholar] [CrossRef]
- Slavic, S.; Ford, K.; Modert, M.; Becirovic, A.; Handschuh, S.; Baierl, A.; Katica, N.; Zeitz, U.; Erben, R.G.; Andrukhova, O. Genetic Ablation of Fgf23 or Klotho Does not Modulate Experimental Heart Hypertrophy Induced by Pressure Overload. Sci. Rep. 2017, 7, 11298. [Google Scholar] [CrossRef]
- Nehgme, R.; Fahey, J.T.; Smith, C.; Carpenter, T.O. Cardiovascular abnormalities in patients with X-linked hypophosphatemia. J. Clin. Endocrinol. Metab. 1997, 82, 2450–2454. [Google Scholar] [CrossRef]
- Vered, I.; Vered, Z.; Perez, J.E.; Jaffe, A.S.; Whyte, M.P. Normal left ventricular performance in children with X-linked hypophosphatemic rickets: A Doppler echocardiography study. J. Bone Miner. Res. 1990, 5, 469–474. [Google Scholar] [CrossRef]


| Entire Cohort (n = 180) | MI with HF (n = 99) | MI without HF (n = 81) | p-Value | |
|---|---|---|---|---|
| Age, years | 65.4 ± 12.4 | 66.1 ± 11.6 | 64.6 ± 13.2 | 0.40 |
| Male sex, n (%) | 126 (70.0%) | 73 (73.7%) | 53 (65.4%) | 0.23 |
| BMI, kg/m2 | 27.3 ± 4.3 | 27.5 ± 4.6 | 27.1 ± 4.4 | 0.52 |
| LVEF mean ± SD (%) | 47.6 ± 10.5 | 40.4 ± 8.4 | 56.4 ± 4.0 | <0.001 |
| STEMI, n (%) | 79 (43.9%) | 51 (51.5%) | 28 (34.6%) | 0.02 |
| Survival, n (%) | 166 (92.2%) | 91 (91.9%) | 75 (92.6%) | 0.87 |
| Coronary Intervention | ||||
| LAD, n (%) | 82 (45.6%) | 53 (53.5%) | 29 (35.8%) | 0.02 |
| LCA, n (%) | 48 (26.7%) | 25 (25.5%) | 23 (28.4%) | 0.67 |
| RCA, n (%) | 68 (37.8%) | 30 (30.3%) | 38 (46.9%) | 0.02 |
| Medication | ||||
| Beta blockers, n (%) | 165 (91.7%) | 95 (96.0%) | 70 (86.4%) | 0.02 |
| ACE inhibitors/angiotensin-II receptor blockers, n (%) | 168 (93.3%) | 93 (93.9%) | 75 (92.6%) | 0.72 |
| Statins, n (%) | 173 (96.1%) | 96 (97.0%) | 77 (95.1%) | 0.51 |
| Risk Factors | ||||
| Hypertension, n (%) | 103 (57.2%) | 52 (52.5%) | 51 (63.0%) | 0.16 |
| Smoking, n (%) | 97 (53.9%) | 59 (59.6%) | 38 (46.9%) | 0.09 |
| Diabetes, n (%) | 45 (25.0%) | 23 (23.2%) | 22 (27.2%) | 0.55 |
| Hypercholesterolemia, n (%) | 114 (63.3%) | 57 (57.6%) | 57 (70.4%) | 0.08 |
| Chronic kidney disease, n (%) | 37 (20.6%) | 22 (22.2%) | 15 (18.5%) | 0.54 |
| Blood Parameters | ||||
| Total cholesterol, mg/dL | 183.5 ± 44.6 | 179.4 ± 46.8 | 188.6 ± 41.5 | 0.17 |
| LDL cholesterol, mg/dL | 122.97 ± 44.94 | 120.37 ± 48.02 | 126.14 ± 40.95 | 0.39 |
| HDL cholesterol, mg/dL | 47.02 ± 17.04 | 45.89 ± 14.15 | 48.41 ± 20.03 | 0.33 |
| Triglycerides, mg/dL | 104.72 ± 67.20 | 100.95 ± 70.85 | 109.23 ± 62.70 | 0.41 |
| Estimated GFR, mL/min/1.73 m2 | 89.9 ± 36.7 | 89.4 ± 37.3 | 90.4 ± 36.2 | 0.87 |
| CK max., U/L | 1160.9 ± 2009.9 | 1613.0 ± 2523.1 | 613.9 ± 846.3 | 0.001 |
| CK-MB max., U/L | 132.3 ± 153.7 | 171.4 ± 178.6 | 85.5 ± 99.7 | <0.001 |
| Troponin T max., pg/dL | 2272.9 ± 3225.7 | 3181.5 ± 3791.2 | 1173.6 ± 1867.6 | <0.001 |
| LogFGF23 day 1 | 1.60 ± 0.24 | 1.60 ± 0.26 | 1.60 ± 0.22 | 0.82 |
| LogFGF23 day 2 | 1.61 ± 0.29 | 1.57 ± 0.31 | 1.66 ± 0.26 | 0.05 |
| GRACE Score | ||||
| Death at 12 months (%) | 10.0 ± 11.4 | 12.0 ± 13.6 | 7.54 ± 7.18 | 0.01 |
| Survivors | Non-Survivors | p-Value | p-Value 1 | |||
|---|---|---|---|---|---|---|
| n | LogFGF23 Day 1 | n | LogFGF23 Day 1 | |||
| All MI | 166 | 1.59 ± 0.23 | 14 | 1.75 ± 0.33 | 0.10 | 0.38 |
| MI with HF | 91 | 1.58 ± 0.24 | 8 | 1.90 ± 0.33 | 0.009 | 0.02 |
| MI no HF | 75 | 1.60 ± 0.22 | 6 | 1.54 ± 0.20 | 0.58 | 0.11 |
| Survivors | Non-Survivors | p-Value | |||
|---|---|---|---|---|---|
| n | GRACE Score | n | GRACE Score | ||
| All MI | 166 | 9.09 ± 9.20 | 14 | 20.85 ± 23.87 | 0.03 |
| MI with HF | 91 | 10.56 ± 10.35 | 8 | 28.78 ± 29.36 | 0.07 |
| MI no HF | 75 | 7.32 ± 7.23 | 6 | 10.28 ± 6.33 | 0.33 |
| LogFGF23 day 1 | LogFGF23 day 1 1 | LogFGF23 day 2 | LogFGF23 day 2 1 | |||||
|---|---|---|---|---|---|---|---|---|
| Correlation | p-Value | Correlation | p-Value | Correlation | p-Value | Correlation | p-Value | |
| All MI | 0.38 | <0.001 | 0.23 | 0.002 | 0.27 | 0.001 | 0.18 | 0.03 |
| MI with HF | 0.45 | <0.001 | 0.24 | 0.02 | 0.50 | <0.001 | 0.28 | 0.01 |
| MI, no HF | 0.22 | 0.05 | 0.12 | 0.28 | −0.04 | 0.78 | −0.17 | 0.19 |
Publisher’s Note: MDPI stays neutral with regard to jurisdictional claims in published maps and institutional affiliations. |
© 2022 by the authors. Licensee MDPI, Basel, Switzerland. This article is an open access article distributed under the terms and conditions of the Creative Commons Attribution (CC BY) license (https://creativecommons.org/licenses/by/4.0/).
Share and Cite
Cornelissen, A.; Florescu, R.; Kneizeh, K.; Cornelissen, C.; Liehn, E.; Brandenburg, V.; Schuh, A. Fibroblast Growth Factor 23 and Outcome Prediction in Patients with Acute Myocardial Infarction. J. Clin. Med. 2022, 11, 601. https://doi.org/10.3390/jcm11030601
Cornelissen A, Florescu R, Kneizeh K, Cornelissen C, Liehn E, Brandenburg V, Schuh A. Fibroblast Growth Factor 23 and Outcome Prediction in Patients with Acute Myocardial Infarction. Journal of Clinical Medicine. 2022; 11(3):601. https://doi.org/10.3390/jcm11030601
Chicago/Turabian StyleCornelissen, Anne, Roberta Florescu, Kinan Kneizeh, Christian Cornelissen, Elisa Liehn, Vincent Brandenburg, and Alexander Schuh. 2022. "Fibroblast Growth Factor 23 and Outcome Prediction in Patients with Acute Myocardial Infarction" Journal of Clinical Medicine 11, no. 3: 601. https://doi.org/10.3390/jcm11030601
APA StyleCornelissen, A., Florescu, R., Kneizeh, K., Cornelissen, C., Liehn, E., Brandenburg, V., & Schuh, A. (2022). Fibroblast Growth Factor 23 and Outcome Prediction in Patients with Acute Myocardial Infarction. Journal of Clinical Medicine, 11(3), 601. https://doi.org/10.3390/jcm11030601

