Abstract
Background: It is unclear whether peripheral arterial cannulation is superior to central arterial cannulation for postcardiotomy veno-arterial extracorporeal membrane oxygenation (VA-ECMO). Methods: A systematic review was conducted using PubMed, Scopus, and Google Scholar to identify studies on postcardiotomy VA-ECMO for the present individual patient data (IPD) meta-analysis. Analysis was performed according to the intention-to-treat principle. Results: The investigators of 10 studies agreed to participate in the present IPD meta-analysis. Overall, 1269 patients were included in the analysis. Crude rates of in-hospital mortality after central versus peripheral arterial cannulation for VA-ECMO were 70.7% vs. 63.7%, respectively (adjusted OR 1.38, 95% CI 1.08–1.75). Propensity score matching yielded 538 pairs of patients with balanced baseline characteristics and operative variables. Among these matched cohorts, central arterial cannulation VA-ECMO was associated with significantly higher in-hospital mortality compared to peripheral arterial cannulation VA-ECMO (64.5% vs. 70.8%, p = 0.027). These findings were confirmed by aggregate data meta-analysis, which showed that central arterial cannulation was associated with an increased risk of in-hospital mortality compared to peripheral arterial cannulation (OR 1.35, 95% CI 1.04–1.76, I2 21%). Conclusions: Among patients requiring postcardiotomy VA-ECMO, central arterial cannulation was associated with an increased risk of in-hospital mortality compared to peripheral arterial cannulation. This increased risk is of limited magnitude, and further studies are needed to confirm the present findings and to identify the mechanisms underlying the potential beneficial effects of peripheral VA-ECMO.
1. Introduction
Veno-arterial extracorporeal membrane oxygenation (VA-EMO) is an effective salvage therapy for postcardiotomy cardiogenic shock unresponsive to aggressive inotropic treatment [,]. However, a large pooled analysis showed that two-thirds of patients treated with postcardiotomy VA-ECMO do not survive to hospital discharge []. Appropriate patient selection is a key issue in optimizing the burden of resources associated with this therapy and improving the results []. Several treatment strategies, such as access sites for arterial cannulation, left ventricular venting, and preventative strategies of bleeding and thrombosis, may have an impact on the recovery of myocardial function and prevention of end-organ injury in these patients. However, the lack of data from randomized studies on these strategies does not allow an understanding of their potential benefits and harms in this critical setting. The optimal access site for arterial cannulation for VA-ECMO is one of the most controversial topics []. A meta-analysis by Mariscalco et al. [] showed that peripheral cannulation for postcardiotomy VA-ECMO was associated with decreased in-hospital mortality compared to central arterial cannulation. Another meta-analysis, including non-postcardiotomy patients, did not confirm this finding []. Because of the limitations of previous aggregate data meta-analyses, this controversial issue was evaluated in the present individual patient data (IPD) meta-analysis.
2. Methods
This study is registered in the PROSPERO registry (CRD42022359392). A literature search was performed in August 2022 through PubMed, Scopus, and Google Scholar. This study was accomplished following the Preferred Reporting Items for Systematic Reviews and Meta-Analyses (PRISMA) guidelines [] (Supplementary Table S1).
To enter this analysis, studies had to fulfill all these inclusion criteria: (1) provide data on patients who required VA-ECMO, only as veno-arterial configuration, after cardiac surgery procedure of any kind, including heart transplantation; (2) include patients aged 18 years or older; (3) be a prospective or retrospective observational investigation; (4) be published in the English language as a full article; (5) include at least 10 patients; (6) include data on pre-VA-ECMO arterial lactate; and (7) be published since 2015.
Articles were ineligible for study inclusion if they (1) did not provide specific information on the type of ECMO used in the study population and its related outcome; (2) did not provide specific information on the timing and site of cannulation of VA-ECMO; (3) did not provide data on arterial lactate at VA-ECMO cannulation; (4) included pediatric patients; (5) reported the use of ECMO configuration other than VA-ECMO therapy for cardiogenic shock. We decided not to include pediatric patients because of the expected marked differences between the pediatric and adult cardiac surgery populations regarding patients’ characteristics and heart diseases. The decision to include only studies reporting on arterial lactate at the time of implantation of VA-ECMO was based on the significant prognostic impact of this biomarker of systemic tissue hypoxia on the early outcome of these critically ill patients [,,,,]. The population, intervention, comparison, and outcomes of the present study are summarized in Table 1.

Table 1.
Population, intervention, comparison, and outcomes of the present study.
Studies were independently screened by two investigators (F.B., G.M.) through PubMed, Scopus, and Google Scholar using the terms “Postcardiotomy” and “ECMO” or “ECLS”. One or more authors of articles suitable for inclusion in the present IPD meta-analysis were contacted three times by email, and they were provided with a study protocol with the definition criteria of variables of interest and an Excel datasheet with prespecified covariates. Once the investigators provided their dataset, this was checked for completeness and congruency. Patients from these studies who did not fulfill the inclusion criteria were excluded from the analysis. The quality of the included studies was assessed according to the National Heart, Lung, and Blood Institute Study Quality Assessment Tools for case series studies [].
For the purpose of this study, central arterial cannulation for VA-ECMO was considered as an arterial cannulation of the ascending aorta. Peripheral arterial cannulation for VA-ECMO was defined as the cannulation of any peripheral artery. In this analysis, central and peripheral arterial cannulation were defined according to the intention-to-treat principle.
The outcome measure of this study was in-hospital mortality, i.e., all-cause mortality during the index hospitalization.
Statistical Analysis
Categorical variables were reported as counts and percentages. Continuous variables were reported as means and standard deviations. Risk estimates were reported as odds ratios (OR) with a 95% confidence interval (CI). Univariable analysis of continuous variables was performed using the Mann–Whitney test and of categorical variables using the chi-square test or Fischer’s exact test. Logistic regression using the stepwise backward method was performed with in-hospital mortality as the dependent variables, including the baseline and operative covariates with a p < 0.2 in univariable analysis into the regression model (Table 2). Calibration of the regression model was assessed by estimation of the area under the receiver operating characteristics curve (ROC) and discrimination with the Hosmer–Lemeshow’s test. Considering the expected imbalance in the baseline and operative covariates between central and peripheral arterial cannulation study groups, a propensity score matching analysis was performed employing a caliper width of 0.5. The propensity score was calculated with logistic regression considering all the covariates listed in Table 2, except the duration of VA-ECMO therapy. A standardized difference <0.10 was considered an acceptable balance between the covariates of the study groups. The effect of the arterial cannulation site was also estimated using aggregate data meta-analysis with the fixed-effects and random-effects method and the Mantel–Haenszel test. The I2 test was used to estimate studies heterogeneity. Statistical analyses were performed with SPSS (version 27.0, SPSS Inc., IBM, Chicago, IL, USA), Stata (version 15.1, StataCorp LLC, College Station, TX, USA), and RevMan 5.4.1 (the Cochrane Collaboration, 2020) statistical software.

Table 2.
Characteristics and quality of studies included in the present individual patient data meta-analysis according to the National Heart, Lung, and Blood Institute Study Quality Assessment Tools for case series studies.
3. Results
A systematic review of the literature yielded 273 articles. Thirty-one studies were considered suitable for this analysis. The investigators of 10 studies [,,,,,,,,,] agreed to participate in the present IPD meta-analysis and provided their complete and anonymized data in an Excel datasheet with prespecified variables. The number of patients, type of studies, and quality of the included studies are summarized in Table 2. These studies included 1503 patients, and 234 of them were excluded according to the study exclusion criteria (Figure 1). Overall, 1269 patients (556 with central VA-ECMO and 713 patients with peripheral VA-ECMO) were included in this analysis. Baseline characteristics and operative data of patients who died during the index hospitalization or survived to discharge are summarized in Table 3.

Figure 1.
Study flow chart.

Table 3.
Patients’ characteristics, operative data, and their impact on in-hospital mortality.
Crude rates of in-hospital mortality after central versus peripheral arterial cannulation for VA-ECMO were 70.7% vs. 63.7%, respectively (p = 0.01) (Table 3). In-hospital mortality of patients in whom central arterial cannulation was switched to peripheral arterial cannulation VA-ECMO was 71.9% (23 out of 32 patients), and of those switched from peripheral arterial cannulation to central arterial cannulation VA-ECMO was 62.5% (5 out of 8 patients) (p = 0.07).
Predictors of in-hospital mortality in the univariable analysis are summarized in Table 3. Logistic regression showed that central arterial cannulation for VA-ECMO was associated with a significantly increased risk of in-hospital mortality compared to peripheral cannulation (adjusted OR 1.31, 95% CI 1.02–1.70) (Hosmer–Lemeshow test, p = 0.58, area under the ROC curve 0.71, 95% CI 0.68–0.74) (Table 3).
Propensity score matching yielded 538 pairs of patients with balanced baseline characteristics and operative variables (Table 4). Among these matched cohorts, central arterial cannulation VA-ECMO was associated with significantly higher in-hospital mortality compared to peripheral arterial cannulation VA-ECMO (70.8% vs. 64.5%, p = 0.03).

Table 4.
Patients’ characteristics and operative data in unmatched and propensity score matched pairs.
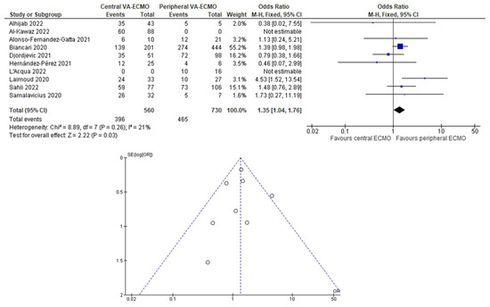
Aggregate data meta-analysis with the fixed-effects method showed that, with low heterogeneity between studies (I2 21% and see funnel plot in Figure 2), central cannulation for postcardiotomy VA-ECMO was associated with increased risk of in-hospital mortality (OR 1.35, 95% CI 1.04–1.76). However, this effect was not significant when the analysis was performed with the random-effects method (OR 1.34, 95% CI 0.93–1.93).

Figure 2.
Forest plot and funnel plot from aggregate data meta-analysis [,,,,,,,,,].
4. Discussion
The present findings suggest that the use of peripheral cannulation for postcardiotomy VA-ECMO may reduce the risk of in-hospital mortality in these critically ill patients. These results are based on an intention-to-treat principle, and it is worth noting that only in 8 (1.6%) patients the VA-ECMO configuration was switched from peripheral to central arterial cannulation. However, we do not have data on whether any other VA-ECMO configuration was adopted to avoid upper body hypoxia, the so-called North-South syndrome, or Harlequin syndrome [].
These results are comparable to those of the aggregate data meta-analysis by Mariscalco et al. [], but they were not consonant with those of another aggregate data meta-analysis by Raffa et al. []. However, the latter study might have been biased by including non-postcardiotomy cardiogenic shock in the analysis, which most likely was included in the peripheral cannulation cohort. Furthermore, the present IPD meta-analysis showed that previous studies included several patients who did not fulfill the criteria of postcardiotomy VA-ECMO, and their exclusion from aggregate data meta-analysis is not feasible. Furthermore, IPD meta-analyses, such as the present one, can be adjusted for risk factors that have a significant impact on in-hospital mortality. Indeed, we observed that in addition to the site of arterial cannulation, age, gender, aortic arch surgery, prior cardiac surgery, preoperative acute neurological event, and arterial lactate at VA-ECMO cannulation were independent predictors of poor outcome. Failure to adjust for these risk factors might, therefore, introduce bias.
One recent study by Radakovic et al. [] showed that central arterial cannulation was associated with improved survival compared to peripheral cannulation. A series of small sample size by Merritt–Genore et al. [] confirmed that central arterial cannulation was associated with improved survival after postcardiotomy VA-ECMO. However, neither study was adjusted for potentially relevant risk factors, and they were not adequately powered.
A study by Kalampokas [] showed improved results with the peripheral arterial cannulation for postcardiotomy VA-ECMO compared to central cannulation, but the benefit of the peripheral approach vanished in 20 propensity score-matched pairs, likely because of the small sample size. Indeed, the main problem is the lack of data from adequately powered studies. In fact, analysis from a large sample size population from the Extracorporeal Life Support Organization (ELSO) demonstrated that peripheral cannulation was associated with 50% risk reduction compared to central cannulation for postcardiotomy VA-ECMO (OR 0.48; 95% CI 0.40–0.58) [].
The present study was not planned to identify the mechanisms underlying the potential benefits of the vascular access site for VA-ECMO. However, we hypothesize that peripheral cannulation may be beneficial by reducing the risk of severe intrathoracic bleeding []. Indeed, in the meta-analysis by Mariscalco et al. [], peripheral VA-ECMO significantly reduced the risk of reoperation for bleeding/tamponade (risk ratio, 0.63; 95% CI, 0.54–0.73), while the meta-analysis by Raffa et al. [] demonstrated a significant reduction in the risk of reoperation for bleeding (OR 0.65, 95% CI 0.46–0.93). Importantly, the authors showed that peripheral VA-ECMO was associated with a reduction of seven units of red blood cell transfusion []. Excessive bleeding requiring re-exploration and the use of a large amount of blood transfusion has been shown to have a significant impact on early and late mortality after adult cardiac surgery [] and may explain why peripheral VA-ECMO may significantly reduce the risk of in-hospital mortality. Raffa et al. [] also demonstrated that peripheral VA-ECMO also contributed to a significant reduction in terms of continuous venovenous hemofiltration (OR 0.76, 95% CI 0.60–0.97), which may further reduce the risk of early mortality [].
Several limitations may affect the results of this study. First, all included data were from retrospective cases series. Second, the results might be biased by heterogeneity in the experience and treatment strategies of VA-ECMO patients. Indeed, it is difficult to disentangle the effect of hospital expertise and the site of cannulation. Third, only a limited number of studies contributed to this IPD meta-analysis. Fourth, aggregate data meta-analysis confirmed the present findings only when the fixed-effects method was used, but only a trend toward a beneficial effect of peripheral VA-ECMO was noted with the random-effects method. However, we did not detect significant heterogeneity in the I2 test, and this was confirmed with the funnel plot. This lack of heterogeneity justifies the use of the fixed-effects method in this setting, which likely gave higher weight to larger studies. Finally, our study selection was based on the need for data granularity. In particular, we decided to consider for this IPD meta-analysis only studies reporting on pre-VA-ECMO arterial lactate. This decision was based on the recent knowledge of the prognostic significance of arterial lactate as a marker of systemic tissue hypoxia in these critically ill patients [,,,,].
The strength of this study resides in the rather large size of this series. In fact, post hoc power analysis for matched series showed that 285 patients per study group would have been enough to reject the null hypothesis (alpha 0.05, beta 0.80). Furthermore, the availability of data on variables of relevance, such as pre-VA-ECMO lactate and operative data, provided further strength to this analysis.
In conclusion, the results of this IPD meta-analysis showed that, among patients requiring postcardiotomy VA-ECMO, central arterial cannulation was associated with a significantly increased risk of in-hospital mortality compared to peripheral arterial cannulation. Such a risk is of limited magnitude, and further studies are needed to confirm the present findings and to identify the reasons for the improved outcome of postcardiotomy VA-ECMO with the peripheral arterial approach.
Supplementary Materials
The following supporting information can be downloaded at: https://www.mdpi.com/article/10.3390/jcm11247406/s1, Table S1: PRISMA 2020 checklist; Table S2: Studies potentially suitable for this analysis, whose data was not provided by the authors.
Author Contributions
Conceptualization, F.B. and G.M.; methodology, F.B. and G.M.; software, F.B; validation, F.B.; formal analysis, F.B. and S.R. (Stefano Rosato); investigation and data curation, F.B., A.K., A.P., V.G.R., S.-M.C., J.K.K., M.D., H.W., K.J., S.R. (Sigurdur Ragnarsson), F.J.H.P., G.G., K.A., A.L. (Antonio Loforte), A.L. (Andrea Lechiancole), M.P., C.S., M.P., A.F., T.M., S.D.S., C.L., I.D., I.K., A.A.A., M.A.A., M.M.A., M.L., R.S., L.P., M.A.-F.-G., M.J.W., S.R. (Stefano Rosato) and G.M.; writing—original draft preparation, F.B.; writing—review and editing, all authors; visualization, F.B.; supervision, F.B. and G.M. All authors have read and agreed to the published version of the manuscript.
Funding
This research received no external funding.
Institutional Review Board Statement
This study did not require permission because of the meta-analytic nature of the study.
Informed Consent Statement
Not applicable.
Data Availability Statement
Not available because of privacy issues.
Conflicts of Interest
Alexander Kaserer received honoraria for lecturing from Bayer AG Switzerland and CSL Behring GmbH. Sung-Min Cho is supported by a grant from NIH NHLBI K23HL157610 and Hyperfine, Inc. for the SAFE MRI ECMO study. The other authors declare no conflict of interest.
References
- Kowalewski, M.; Zieliński, K.; Brodie, D.; MacLaren, G.; Whitman, G.; Raffa, G.M.; Boeken, U.; Shekar, K.; Chen, Y.S.; Bermudez, C.; et al. Venoarterial extracorporeal membrane oxygenation for postcardiotomy shock-analysis of the extracorporeal life support organization registry. Crit. Care Med. 2021, 49, 1107–1117. [Google Scholar] [CrossRef]
- Biancari, F.; Dalén, M.; Fiore, A.; Ruggieri, V.G.; Saeed, D.; Jónsson, K.; Gatti, G.; Zipfel, S.; Perrotti, A.; Bounader, K.; et al. Multicenter study on postcardiotomy venoarterial extracorporeal membrane oxygenation. J. Thorac. Cardiovasc. Surg. 2020, 159, 1844–1854. [Google Scholar] [CrossRef]
- Biancari, F.; Perrotti, A.; Dalén, M.; Guerrieri, M.; Fiore, A.; Reichart, D.; Dell’Aquila, A.M.; Gatti, G.; Ala-Kokko, T.; Kinnunen, E.M.; et al. Meta-analysis of the outcome after postcardiotomy venoarterial extracorporeal membrane oxygenation in adult patients. J. Cardiothorac. Vasc. Anesth. 2018, 32, 1175–1182. [Google Scholar] [CrossRef]
- Bowles, C.; Hiesinger, W. Postcardiotomy shock extracorporeal membrane oxygenation: Peripheral or central? JTCVS Open 2021, 8, 66–69. [Google Scholar] [CrossRef]
- Mariscalco, G.; Salsano, A.; Fiore, A.; Dalén, M.; Ruggieri, V.G.; Saeed, D.; Jónsson, K.; Gatti, G.; Zipfel, S.; Dell’Aquila, A.M.; et al. Peripheral versus central extracorporeal membrane oxygenation for postcardiotomy shock: Multicenter registry, systematic review, and meta-analysis. J. Thorac. Cardiovasc. Surg. 2020, 160, 1207–1216.e44. [Google Scholar] [CrossRef]
- Raffa, G.M.; Kowalewski, M.; Brodie, D.; Ogino, M.; Whitman, G.; Meani, P.; Pilato, M.; Arcadipane, A.; Delnoij, T.; Natour, E.; et al. Meta-analysis of peripheral or central extracorporeal membrane oxygenation in postcardiotomy and non-postcardiotomy shock. Ann. Thorac. Surg. 2019, 107, 311–321. [Google Scholar] [CrossRef]
- Page, M.J.; McKenzie, J.E.; Bossuyt, P.M.; Boutron, I.; Hoffmann, T.C.; Mulrow, C.D.; Shamseer, L.; Tetzlaff, J.M.; Akl, E.A.; Brennan, S.E.; et al. The PRISMA 2020 statement: An updated guideline for reporting systematic reviews. BMJ 2021, 372, n71. [Google Scholar] [CrossRef]
- Menon, P.R.; Flo Forner, A.; Marin-Cuartas, M.; Lehmann, S.; Saeed, D.; Ginther, A.; Borger, M.A.; Ender, J. 30-Day perioperative mortality following venoarterial extracorporeal membrane oxygenation for postcardiotomy cardiogenic shock in patients with normal preoperative ejection fraction. Interact. Cardiovasc. Thorac. Surg. 2021, 32, 817–824. [Google Scholar] [CrossRef]
- Saha, A.; Kurlansky, P.; Ning, Y.; Sanchez, J.; Fried, J.; Witer, L.J.; Kaku, Y.; Takayama, H.; Naka, Y.; Takeda, K. Early venoarterial extracorporeal membrane oxygenation improves outcomes in post-cardiotomy shock. J. Artif. Organs 2021, 24, 7–14. [Google Scholar] [CrossRef]
- Rastan, A.J.; Dege, A.; Mohr, M.; Doll, N.; Falk, V.; Walther, T.; Mohr, F.W. Early and late outcomes of 517 consecutive adult patients treated with extracorporeal membrane oxygenation for refractory postcardiotomy cardiogenic shock. J. Thorac. Cardiovasc. Surg. 2010, 139, 302–311. [Google Scholar] [CrossRef]
- National Heart, Lung, and Blood Institute. Study Quality Assessment Tools. Available online: https://www.nhlbi.nih.gov/health-topics/study-quality-assessment-tools (accessed on 1 October 2022).
- Al-Kawaz, M.; Shou, B.; Prokupets, R.; Whitman, G.; Geocadin, R.; Cho, S.M. Mild hypothermia and neurologic outcomes in patients undergoing venoarterial extracorporeal membrane oxygenation. J. Card. Surg. 2022, 37, 825–830. [Google Scholar] [CrossRef] [PubMed]
- Alhijab, F.A.; Tantawy, T.M.; Ismail, H.H.; AlBarrak, M.; Adam, A.I.; Belghith, M.; Hassan, E.; Pragliola, C.; Albabtain, M.A.; Arafat, A.A. Venoarterial extracorporeal membrane oxygenation for postcardiotomy cardiogenic shock: The impact of cannulation strategy on survival. Perfusion, 2022; in press. [Google Scholar] [CrossRef] [PubMed]
- Alonso-Fernandez-Gatta, M.; Merchan-Gomez, S.; Gonzalez-Cebrian, M.; Diego-Nieto, A.; Alzola, E.; Toranzo-Nieto, I.; Barrio, A.; Martin-Herrero, F.; Sanchez, P.L. Levosimendan in veno-arterial extracorporeal membrane oxygenator supported patients: Impact on the success of weaning and survival. Artif. Organs 2021, 45, 717–725. [Google Scholar] [CrossRef]
- Djordjevic, I.; Deppe, A.-C.; Sabashnikov, A.; Kuhn, E.; Eghbalzadeh, K.; Merkle, J.; Gerfer, S.; Gaisendrees, C.; Ivanov, B.; Moellenbeck, L.; et al. Concomitant ECMO and IABP support in postcardiotomy cardiogenic shock patients. Heart Lung Circ. 2021, 30, 1533–1539. [Google Scholar] [CrossRef]
- Hernández-Pérez, F.J.; Álvarez-Avelló, J.M.; Forteza, A.; Gómez-Bueno, M.; González, A.; López-Ibor, J.V.; Silva-Melchor, L.; Goicolea, J.; Martín, C.E.; Iranzo, R.; et al. Initial outcomes of a multidisciplinary network for the care of patients with cardiogenic shock. Rev. Esp. Cardiol. 2021, 74, 33–43. [Google Scholar] [CrossRef]
- L’Acqua, C.; De Tisi, C.; Lerva, G.; Ballotta, A. Postcardiotomy VA ECMO in adult patients: Italian single center experience in 2021. Int. J. Artif. Organs 2022, 45, 799–800. [Google Scholar] [CrossRef]
- Laimoud, M.; Alanazi, M. The clinical significance of blood lactate levels in evaluation of adult patients with veno-arterial extracorporeal membrane oxygenation. Egypt. Hear. J. 2020, 72, 74. [Google Scholar] [CrossRef]
- Sahli, S.D.; Kaserer, A.; Braun, J.; Halbe, M.; Dahlem, Y.; Spahn, M.A.; Rössler, J.; Krüger, B.; Maisano, F.; Spahn, D.R.; et al. Predictors associated with mortality of extracorporeal life support therapy for acute heart failure: Single-center experience with 679 patients. J. Thorac. Dis. 2022, 14, 1960–1971. [Google Scholar] [CrossRef]
- Samalavicius, R.; Norkiene, I.; Scupakova, N.; Sabliauskas, J.; Urbonas, K.; Andrijauskas, P.; Jankuviene, A.; Puodziukaite, L.; Zorinas, A.; Janusauskas, V. Evaluation of risk factors for adverse outcome in extracorporeal membrane oxygenation-supported elderly postcardiotomy patients. Perfusion 2020, 35 (Suppl. S1), 50–56. [Google Scholar] [CrossRef]
- Rupprecht, L.; Lunz, D.; Philipp, A.; Lubnow, M.; Schmid, C. Pitfalls in percutaneous ECMO cannulation. Heart Lung Vessel. 2015, 7, 320–326. [Google Scholar]
- Radakovic, D.; Hamouda, K.; Penov, K.; Bening, C.; Sayed, S.; Gietzen, C.; Leyh, R.G.; Aleksic, I. Central versus peripheral arterial cannulation for veno-arterial extracorporeal membrane oxygenation in post-cardiotomy patients. ASAIO J. 2021, 67, 67–73. [Google Scholar] [CrossRef]
- Merritt-Genore, H.; Schwabe, M.; Luksan, A.; Ryan, T.; Lyden, E.; Moulton, M. Postcardiotomy extracorporeal membrane oxygenator: No longer a bridge to no where? J. Card. Surg. 2020, 35, 2208–2215. [Google Scholar] [CrossRef]
- Kalampokas, N.; Sipahi, N.F.; Aubin, H.; Akhyari, P.; Petrov, G.; Albert, A.; Westenfeld, R.; Lichtenberg, A.; Saeed, D. Postcardiotomy veno-arterial extracorporeal membrane oxygenation: Does the cannulation technique influence the outcome? Front. Cardiovasc. Med. 2021, 8, 658412. [Google Scholar] [CrossRef]
- Djordjevic, I.; Eghbalzadeh, K.; Sabashnikov, A.; Deppe, A.C.; Kuhn, E.; Merkle, J.; Weber, C.; Ivanov, B.; Ghodsizad, A.; Rustenbach, C. Central vs. peripheral venoarterial ECMO in postcardiotomy cardiogenic shock. J. Card. Surg. 2020, 35, 1037–1042. [Google Scholar] [CrossRef]
- Kinnunen, E.M.; Juvonen, T.; Airaksinen, K.E.; Heikkinen, J.; Kettunen, U.; Mariscalco, G.; Biancari, F. Clinical significance and determinants of the universal definition of perioperative bleeding classification in patients undergoing coronary artery bypass surgery. J. Thorac. Cardiovasc. Surg. 2014, 148, 1640–1646. [Google Scholar] [CrossRef]
- Meng, W.; Li, R.; Lihua, E.; Zha, N. Postoperative acute kidney injury and early and long-term mortality in acute aortic dissection patients: A meta-analysis. Medicine 2021, 100, e23426. [Google Scholar] [CrossRef]
Publisher’s Note: MDPI stays neutral with regard to jurisdictional claims in published maps and institutional affiliations. |
© 2022 by the authors. Licensee MDPI, Basel, Switzerland. This article is an open access article distributed under the terms and conditions of the Creative Commons Attribution (CC BY) license (https://creativecommons.org/licenses/by/4.0/).