Effect of a 6-Week Cycle of Nordic Walking Training on Vitamin 25(OH)D3, Calcium-Phosphate Metabolism and Muscle Damage in Multiple Myeloma Patients–Randomized Controlled Trial
Abstract
1. Introduction
2. Materials and Methods
2.1. Study Group
2.2. Study Protocol
2.3. Nordic Walking Training
2.4. Statistical Analysis
3. Results
3.1. Study Group Characteristics
3.2. Serum Concentrations of Studied Parameters
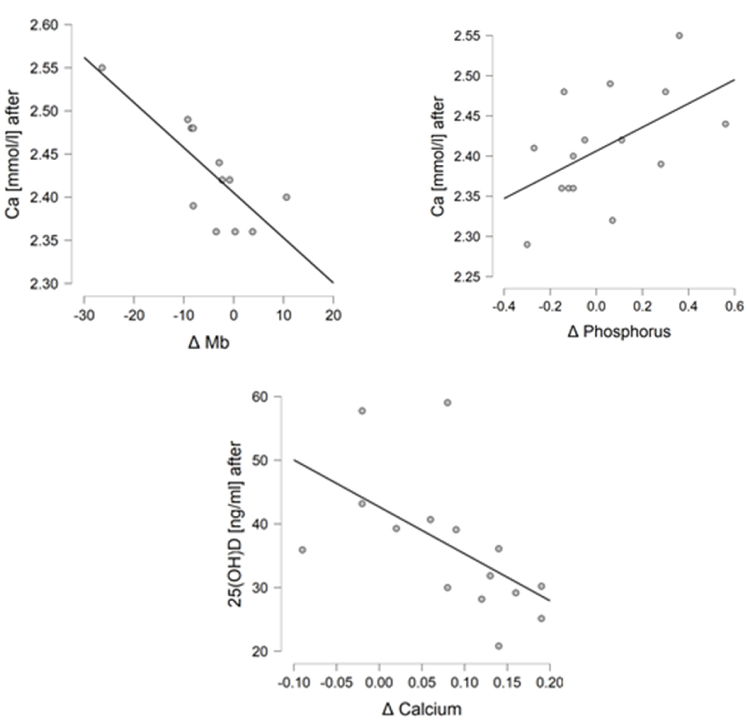
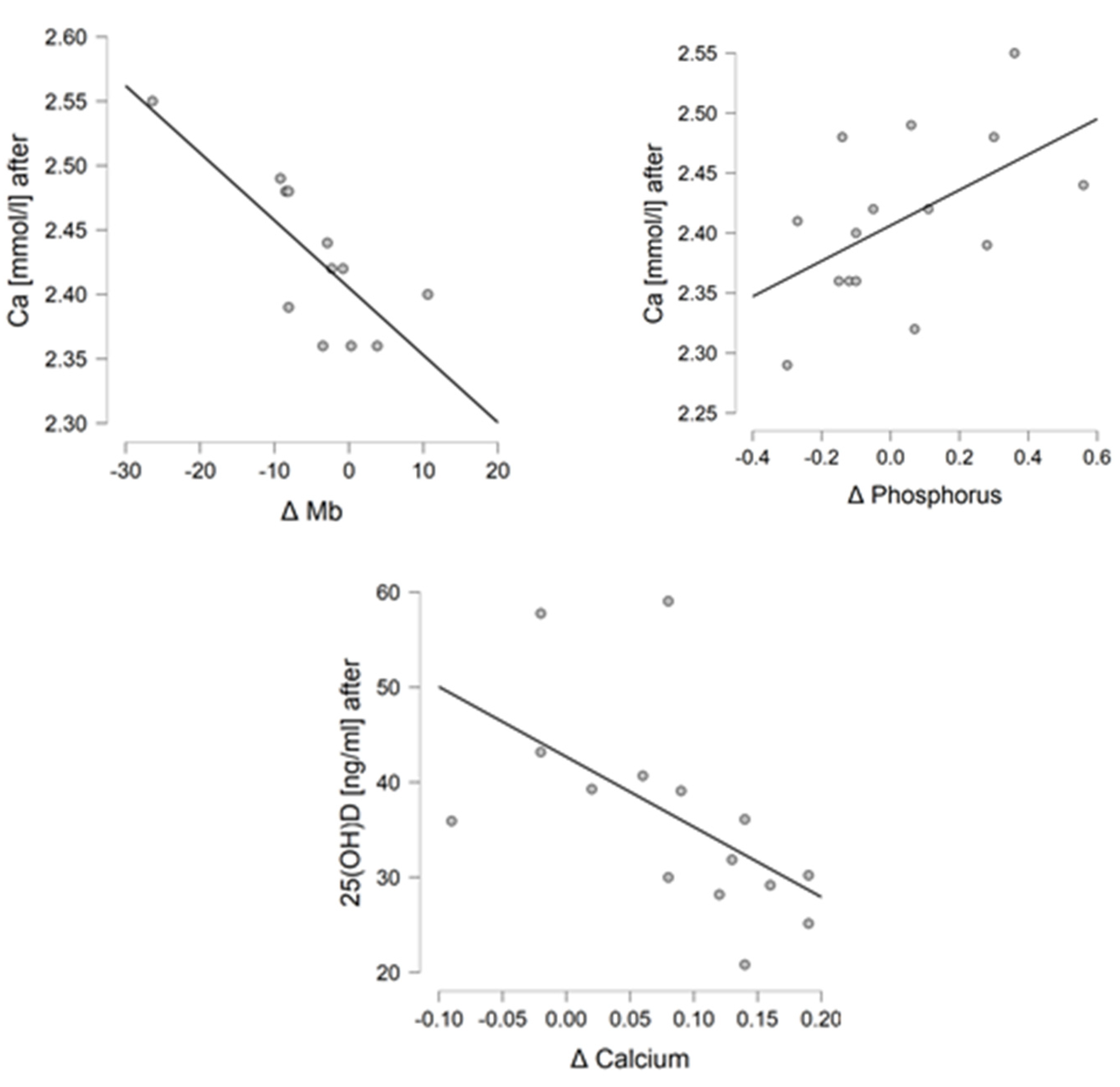
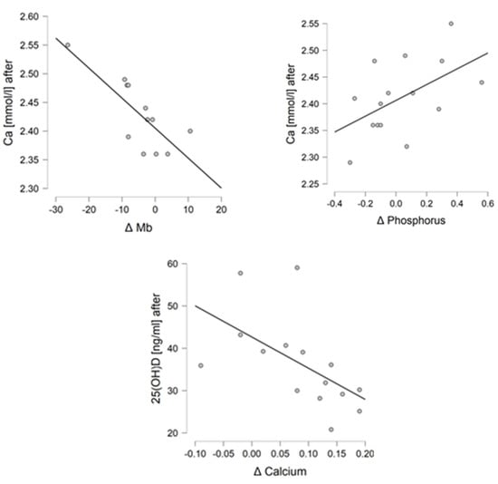
3.3. Correlations
4. Discussion
4.1. Biochemical Parameters of Skeletal Muscle Damage
4.1.1. Lactate Dehydrogenase (LDH)
4.1.2. Myoglobin (Mb)
4.2. Bone Metabolism Indicators: Calcium-Phosphate Metabolism, Vitamin 25-(OH)D3
4.2.1. Calcium (Ca) and Phosphorus (P)
4.2.2. Vitamin 25(OH)D3
4.3. Study Limitations and Strengths
5. Conclusions
Author Contributions
Funding
Institutional Review Board Statement
Informed Consent Statement
Data Availability Statement
Acknowledgments
Conflicts of Interest
References
- Giannopoulos, K.; Jamroziak, K.; Usnarska-Zubkiewicz, L.; Dytfeld, D.; Jurczyszyn, A.; Walewski, J.; Lech-Marańda, E.; Walter-Croneck, A.; Pieńkowska-Grela, B.; Wróbel, T.; et al. Zalecenia Polskiej Grupy Szpiczakowej Dotyczące Rozpoznawania i Leczenia Szpiczaka Plazmocytowego Oraz Innych Dyskrazji Plazmocytowych Na Rok 2021; Polska Grupa Szpiczakowa: Lublin, Poland, 2020. [Google Scholar]
- Wojciechowska, U.; Czaderny, K.; Ciuba, A.; Olasek, P.; Didkowska, J. Cancer in Poland—2016; Maria Skłodowska-Curie Institute of Oncology: Warsaw, Poland, 2018. [Google Scholar]
- Rajkumar, S.V. Multiple Myeloma: 2020 Update on Diagnosis, Risk-Stratification and Management. Am. J. Hematol. 2020, 95, 548–567. [Google Scholar] [CrossRef]
- National Cancer Institute. Cancer Stat Facts: Myeloma; National Cancer Institute: Bethesda, MD, USA, 2019.
- Coriu, D.; Dytfeld, D.; Niepel, D.; Spicka, I.; Markuljak, I.; Mihaylov, G.; Ostojic-kolonic, S.; Fink, L.; Toka, K.S.; Björklöf, K. Real-world Multiple Myeloma Management Practice Patterns and Outcomes in Selected Central and Eastern European Countries. Pol. Arch. Intern. Med. 2018, 128, 500–511. [Google Scholar] [PubMed]
- Terpos, E.; Zamagni, E.; Lentzsch, S.; Drake, M.T.; García-Sanz, R.; Abildgaard, N.; Ntanasis-Stathopoulos, I.; Schjesvold, F.; de la Rubia, J.; Kyriakou, C.; et al. Treatment of Multiple Myeloma-Related Bone Disease: Recommendations from the Bone Working Group of the International Myeloma Working Group. Lancet Oncol. 2021, 22, e119–e130. [Google Scholar] [CrossRef]
- Jurczyszyn, A.; Gdula-Argasińska, J.; Kosmaczewska, A.; Skotnicki, A.B. Rola Mikrośrodowiska Szpiku Kostnego w Patogenezie Szpiczaka Plazmocytowego. Postepy Hig. Med. Dosw. 2015, 69, 521–533. [Google Scholar] [CrossRef] [PubMed]
- Craike, M.; Hose, K.; Courneya, K.S.; Harrison, S.J.; Livingston, P.M. Physical Activity Preferences for People Living with Multiple Myeloma. Cancer Nurs. 2017, 40, E1–E8. [Google Scholar] [CrossRef] [PubMed]
- Czerwińska-Ledwig, O.; Szaporów, T.; Majcher, P.; Jurczyszyn, A. Problemy Rehabilitacji Pacjentów Ze Szpiczakiem Plazmocytowym. Przegl. Lek. 2018, 41, 131–135. [Google Scholar]
- Coleman, E.A.; Goodwin, J.A.; Coon, S.K.; Richards, K.; Enderlin, C.; Kennedy, R.; Stewart, C.B.; McNatt, P.; Lockhart, K.; Anaissie, E.J.; et al. Fatigue, Sleep, Pain, Mood, and Performance Status in Patients with Multiple Myeloma. Cancer Nurs. 2011, 34, 219–227. [Google Scholar] [CrossRef]
- Coleman, E.A.; Goodwin, J.A.; Kennedy, R.; Coon, S.K.; Richards, K.; Enderlin, C.; Stewart, C.B.; McNatt, P.; Lockhart, K.; Anaissie, E.J. Effects of Exercise on Fatigue, Sleep, and Performance: A Randomized Trial. Oncol. Nurs. Forum 2012, 39, 468–477. [Google Scholar] [CrossRef]
- Craike, M.J.; Hose, K.; Courneya, K.S.; Harrison, S.J.; Livingston, P.M. Perceived Benefits and Barriers to Exercise for Recently Treated Patients with Multiple Myeloma: A Qualitative Study. BMC Cancer 2013, 13, 1. [Google Scholar] [CrossRef]
- Coleman, E.A.; Coon, S.; Hall-Barrow, J.; Richards, K.; Gaylor, D.; Stewart, B. Feasibility of Exercise during Treatment for Multiple Myeloma. Cancer Nurs. 2003, 26, 410–419. [Google Scholar] [CrossRef]
- Coon, S.K.; Coleman, E.A. Exercise Decisions within the Context of Multiple Myeloma, Transplant, and Fatigue. Cancer Nurs. 2004, 27, 108–118. [Google Scholar] [CrossRef] [PubMed]
- Anesi, A.; Rondanelli, M.; Trotti, R.; Melzi d’Eril, G.V. Biological Variability of Myoglobin in Healthy Elderly and Younger Subjects. Aging Clin. Exp. Res. 2000, 12, 168–172. [Google Scholar] [CrossRef] [PubMed]
- Banfi, G.; Colombini, A.; Lombardi, G.; Lubkowska, A. Metabolic Markers in Sports Medicine, 1st ed.; Elsevier Inc.: Amsterdam, The Netherlands, 2012; Volume 56, ISBN 9780123943170. [Google Scholar]
- Janik, M.; Stuss, M.; Michalska-Kasiczak, M.; Jegier, A.; Sewerynek, E. Effects of Physical Activity on Sclerostin Concentrations. Endokrynol. Pol. 2018, 69, 142–149. [Google Scholar] [CrossRef] [PubMed]
- Lee, H.S.; Park, J.H. Effects of Nordic Walking on Physical Functions and Depression in Frail People Aged 70 Years and Above. J. Phys. Ther. Sci. 2015, 27, 2453–2456. [Google Scholar] [CrossRef] [PubMed]
- Wolin, K.Y.; Ruiz, J.R.; Tuchman, H.; Lucia, A. Exercise in Adult and Pediatric Hematological Cancer Survivors: An Intervention Review. Leukemia 2010, 24, 1113–1120. [Google Scholar] [CrossRef]
- Sánchez-Lastra, M.A.; Torres, J.; Martínez-Lemos, I.; Ayán, C. Nordic Walking for Women with Breast Cancer: A Systematic Review. Eur. J. Cancer Care 2019, 28, e13130. [Google Scholar] [CrossRef]
- Rutkowska, A.; Jastrzebski, D.; Rutkowski, S.; Zebrowska, A.; Stanula, A.; Szczegielniak, J.; Ziora, D.; Casaburi, R. Exercise Training in Patients With Non-Small Cell Lung Cancer During In-Hospital Chemotherapy Treatment: A RANDOMIZED CONTROLLED TRIAL. J. Cardiopulm. Rehabil. Prev. 2019, 39, 127–133. [Google Scholar] [CrossRef]
- Büntzel, J.; Büntzel, H.; Mücke, R.; Besser, A.; Micke, O. Sport in the Rehabilitation of Patients after Total Laryngectomy. Anticancer Res. 2016, 36, 3191–3194. [Google Scholar]
- Oken, M.M.; Creech, R.H.; Tormey, D.C.; Horton, J.; Davis, T.E.; McFadden, E.T.; Carbone, P.P. Toxicity and Response Criteria of the Eastern Cooperative Oncology Group. Am. J. Clin. Oncol. 1982, 5, 649–655. [Google Scholar] [CrossRef]
- Nes, B.M.; Janszky, I.; Wisløff, U.; Støylen, A.; Karlsen, T. Age-Predicted Maximal Heart Rate in Healthy Subjects: The HUNT Fitness Study. Scand. J. Med. Sci. Sport. 2013, 23, 697–704. [Google Scholar] [CrossRef]
- Callegari, G.A.; Novaes, J.S.; Neto, G.R.; Dias, I.; Garrido, N.D.; Dani, C. Creatine Kinase and Lactate Dehydrogenase Responses after Different Resistance and Aerobic Exercise Protocols. J. Hum. Kinet. 2017, 58, 65–72. [Google Scholar] [CrossRef] [PubMed]
- Hagner-Derengowska, M.; Kałuzny, K.; Hagner, W.; Plaskiewicz, A.; Bronisz, A.; Borkowska, A.; Budzynski, J. The Effect of a 10-Week Nordic Walking Training Program on the Level of GH and LH in Elderly Women. Climacteric 2015, 18, 835–840. [Google Scholar] [CrossRef] [PubMed]
- Teke, H.Ü.; Başak, M.; Teke, D.; Kanbay, M. Serum Level of Lactate Dehydrogenase Is a Useful Clinical Marker to Monitor Progressive Multiple Myeloma Diseases: A Case Report. Turk. J. Hematol. 2014, 31, 2012–2015. [Google Scholar] [CrossRef]
- Gu, Y.; Yuan, Y.H.; Xu, J.; Shi, Q.L.; Qu, X.Y.; Guo, R.; Bai, H.; Xu, J.D.; Li, J.Y.; Chen, L.J. High Serum Lactate Dehydrogenase Predicts an Unfavorable Outcome in Chinese Elderly Patients with Multiple Myeloma. Oncotarget 2017, 8, 48350–48361. [Google Scholar] [CrossRef]
- Robling, A.G.; Turner, C.H. Mechanical Signaling for Bone Modeling and Remodeling. Crit. Rev. Eukaryot. Gene Expr. 2009, 19, 319–338. [Google Scholar] [CrossRef] [PubMed]
- Żebrowska, A.; Sadowska-Krępa, E.; Stanula, A.; Waśkiewicz, Z.; Łakomy, O.; Bezuglov, E.; Nikolaidis, P.T.; Rosemann, T.; Knechtle, B. The Effect of Vitamin D Supplementation on Serum Total 25(OH) Levels and Biochemical Markers of Skeletal Muscles in Runners. J. Int. Soc. Sports Nutr. 2020, 17, 1. [Google Scholar] [CrossRef] [PubMed]
- Cornish, S.M.; Chase, J.E.; Bugera, E.M.; Giesbrecht, G.G. Systemic IL-6 and Myoglobin Response to Three Different Resistance Exercise Intensities in Older Men. J. Aging Phys. Act. 2018, 26, 451–456. [Google Scholar] [CrossRef]
- Karakukcu, C.; Polat, Y.; Torun, Y.A.; Aysenur Kisaarslan, P.A.C. The Effects of Acute and Regular Exercise on Calcium, Phosphorus and Trace Elements in Young Amateur Boxers. Clin. Lab. 2013, 59, 557–562. [Google Scholar] [CrossRef]
- Kałużny, K.; Kałużna, A.; Budzyński, J.; Hagner, W.; Kochański, B.; Żukow, W.; Bronisz, A.; Hagner-Derengowska, M. Effect of a Ten-Week Nordic Walking Exercise Program on Serum Electrolyte Concentration and Plasma Acid-Base Balance in Postmenopausal Women with Overweight or Obesity. J. Educ. Health Sport 2016, 6, 353–364. [Google Scholar]
- Markiewicz-Żukowska, R. Stężenie Wapnia w Surowicy Krwi Osób Starszych. Bromatol.Chem. Toksykol. 2012, 3, 771–774. [Google Scholar]
- Barutçuoǧlu, B.; Parildar, Z.; Mutaf, I.; Habif, S.; Bayindir, O. Spuriously Elevated Inorganic Phosphate Level in a Multiple Myeloma Patient. Clin. Lab. Haematol. 2003, 25, 271–274. [Google Scholar] [CrossRef] [PubMed]
- Vaidya, G.N.; Bhattad, V.B.; Aggarwal, A. Pseudohyperphosphatemia in Multiple Myeloma: A Commonly Misdiagnosed Phenomenon. Sci. Postprint 2014, 1, e00039. [Google Scholar] [CrossRef]
- Sy-Go, J.P.T.; Dingli, D.; Gertz, M.A.; Kapoor, P.; Buadi, F.K.; Dispenzieri, A.; Lacy, M.Q.; Fidler, M.E.; Leung, N. Acute Acquired Fanconi Syndrome in Multiple Myeloma After Hematopoietic Stem Cell Transplantation. Kidney Int. Rep. 2021, 6, 857–864. [Google Scholar] [CrossRef]
- Shinya, M.U.; Haruka, O.; Daisuke, I.; Yoshinori, N.; Yasuyuki, F.; Chiaki, S.; Kazuhiko, A.; Masako, N.; Kuraishi, K.Y. Prognostic Significance of the Serum Phosphorus Level and Its Relationship with Other Prognostic Factors in Multiple Myeloma. Ann. Hematol. 2006, 85, 469–473. [Google Scholar] [CrossRef]
- Swenson, K.; Nissen, M.; Anderson, E.; Shapiro, A.; Schousboe, J.; Leach, J. Effects of Exercise vs Bisphosphonates on Bone Mineral Density in Breast Cancer Patients Receiving Chemotherapy. J. Support. Oncol. 2009, 7, 101–107. [Google Scholar]
- Lespessailles, E.; Jaffré, C.; Beaupied, H.; Nanyan, P.; Dolléans, E.; Benhamou, C.L.; Courteix, D. Does Exercise Modify the Effects of Zoledronic Acid on Bone Mass, Microarchitecture, Biomechanics, and Turnover in Ovariectomized Rats? Calcif. Tissue Int. 2009, 85, 146–157. [Google Scholar] [CrossRef] [PubMed]
- Mason, R.S.; Sequeira, V.B.; Gordon-Thomson, C. Vitamin D: The Light Side of Sunshine. Eur. J. Clin. Nutr. 2011, 65, 986–993. [Google Scholar] [CrossRef]
- Pilch, W.; Kita, B.; Piotrowska, A.; Tota, Ł.; Maciejczyk, M.; Czerwińska-Ledwig, O.; Sadowska- Krepa, E.; Kita, S.; Pałka, T. The Effect of Vitamin D Supplementation on the Muscle Damage after Eccentric Exercise in Young Men: A Randomized, Control Trial. J. Int. Soc. Sports Nutr. 2020, 17, 53. [Google Scholar] [CrossRef]
- Pilch, W.; Tota, Ł.; Piotrowska, A.; Śliwicka, E.; Czerwińska-Ledwig, O.; Zuziak, R.; Pilaczyńska-Szcześniak, Ł. Effects of Nordic Walking on Oxidant and Antioxidant Status: Levels of Calcidiol and Proinflammatory Cytokines in Middle-Aged Women. Oxid. Med. Cell. Longev. 2018, 2018, 6468234. [Google Scholar] [CrossRef]
- Pilch, W.; Tyka, A.; Cebula, A.; Śliwicka, E.; Pilaczyńska-Szcześniak, Ł.; Tyka, A. Effects of a 6-Week Nordic Walking Training on Changes in 25(OH)D Blood Concentration in Women Aged over 55. J. Sports Med. Phys. Fit. 2017, 57, 124–129. [Google Scholar] [CrossRef]
- Piotrowska, A.M.; Czerwińska-Ledwig, O.; Podhorecki, A.; Pilch, W. Aktywne Formy Witaminy D a Zdrowie. Pol. Przegląd Nauk Zdrowiu 2019, 4, 343–351. [Google Scholar] [CrossRef]
- Wortsman, J.; Matsuoka, L.Y.; Chen, T.C.; Lu, Z.; Holick, M.F. Decreased Bioavailability of Vitamin D in Obesity. Am. J. Clin. Nutr. 2000, 72, 690–693. [Google Scholar] [CrossRef] [PubMed]



| NW (n = 15) | CG (n = 13) | |
|---|---|---|
| Age [years] | 62.3 ± 8.5 | 63.7 ± 3.7 |
| MM duration [months] | 35.9 ± 14.8 | 35.6 ± 16.8 |
| ASCT [n (%)] | 15 (100%) | 13 (100%) |
| Polyneuopathy [n (%)] | 9 (60%) | 6 (46%) |
| Bone pain [n (%)] | 14 (93%) | 12 (92%) |
| MBD [n (%)] | 15 (100%) | 12 (93%) |
| Anthropometrics: | ||
| Body mass [kg] | 164.0 ± 10.6 | 166.9 ± 6.3 |
| Height [cm] | 78.7 ± 10.8 | 79.4 ± 16.2 |
| BMI [kg/m2] | 29.3 ± 3.5 | 28.3 ± 4.5 |
| NW (n = 15) | CG (n = 13) | |||
|---|---|---|---|---|
| Baseline | After 6 Weeks | Baseline | After 6 Weeks | |
| Mb [µg/L] | 50.5 ± 22.6 * | 44.4 ± 16.5 *,# | 52.8 ± 21.3 | 53.6 ± 20.7 # |
| LDH [U/L] | 200.8 ± 34.0 | 204.3 ± 36.8 | 200.3 ± 39.9 | 198.3 ± 35.8 |
| Ca [mmol/L] | 2.33 ± 0.07 * | 2.40 ± 0.07 * | 2.37 ± 0.14 | 2.39 ± 0.10 |
| P [mmol/L] | 0.99 ± 0.22 | 1.02 ± 0.17 | 0.97 ± 0.21 | 0.98 ± 0.20 |
| 25(OH)D3 [ng/mL] | 26.3 ± 11.6 * | 36.4 ± 10.8 *,# | 30.2 ± 11.3 | 31.6 ± 11.5 # |
Publisher’s Note: MDPI stays neutral with regard to jurisdictional claims in published maps and institutional affiliations. |
© 2022 by the authors. Licensee MDPI, Basel, Switzerland. This article is an open access article distributed under the terms and conditions of the Creative Commons Attribution (CC BY) license (https://creativecommons.org/licenses/by/4.0/).
Share and Cite
Czerwińska-Ledwig, O.; Vesole, D.H.; Piotrowska, A.; Gradek, J.; Pilch, W.; Jurczyszyn, A. Effect of a 6-Week Cycle of Nordic Walking Training on Vitamin 25(OH)D3, Calcium-Phosphate Metabolism and Muscle Damage in Multiple Myeloma Patients–Randomized Controlled Trial. J. Clin. Med. 2022, 11, 6534. https://doi.org/10.3390/jcm11216534
Czerwińska-Ledwig O, Vesole DH, Piotrowska A, Gradek J, Pilch W, Jurczyszyn A. Effect of a 6-Week Cycle of Nordic Walking Training on Vitamin 25(OH)D3, Calcium-Phosphate Metabolism and Muscle Damage in Multiple Myeloma Patients–Randomized Controlled Trial. Journal of Clinical Medicine. 2022; 11(21):6534. https://doi.org/10.3390/jcm11216534
Chicago/Turabian StyleCzerwińska-Ledwig, Olga, David H. Vesole, Anna Piotrowska, Joanna Gradek, Wanda Pilch, and Artur Jurczyszyn. 2022. "Effect of a 6-Week Cycle of Nordic Walking Training on Vitamin 25(OH)D3, Calcium-Phosphate Metabolism and Muscle Damage in Multiple Myeloma Patients–Randomized Controlled Trial" Journal of Clinical Medicine 11, no. 21: 6534. https://doi.org/10.3390/jcm11216534
APA StyleCzerwińska-Ledwig, O., Vesole, D. H., Piotrowska, A., Gradek, J., Pilch, W., & Jurczyszyn, A. (2022). Effect of a 6-Week Cycle of Nordic Walking Training on Vitamin 25(OH)D3, Calcium-Phosphate Metabolism and Muscle Damage in Multiple Myeloma Patients–Randomized Controlled Trial. Journal of Clinical Medicine, 11(21), 6534. https://doi.org/10.3390/jcm11216534

