The Influence of Sleep Talking on Nocturnal Sleep and Sleep-Dependent Cognitive Processes
Abstract
1. Introduction
2. Materials and Methods
2.1. Participants
2.2. Procedures
2.3. Measures
2.3.1. Pittsburgh Sleep Quality Index (PSQI)-Italian Validation
2.3.2. Epworth Sleepiness Scale (ESS)-Italian Validation
2.3.3. Sleep Diaries
- Total Sleep Time in minutes (TST), computing the amount of time spent asleep.
- Total Bed Time (TBT), corresponding to the amount of time from the light off and the final awakening).
- Sleep Efficiency (SE = TST/TBT × 100).
2.3.4. Dream Reports
2.3.5. Vocal Activations
2.3.6. Word-Pair Task
2.4. Statistical Analyses
2.4.1. Demographic Characteristics
2.4.2. Qualitative Characteristics of Sleep and Dreams in STs
2.4.3. Memory Performance
3. Results
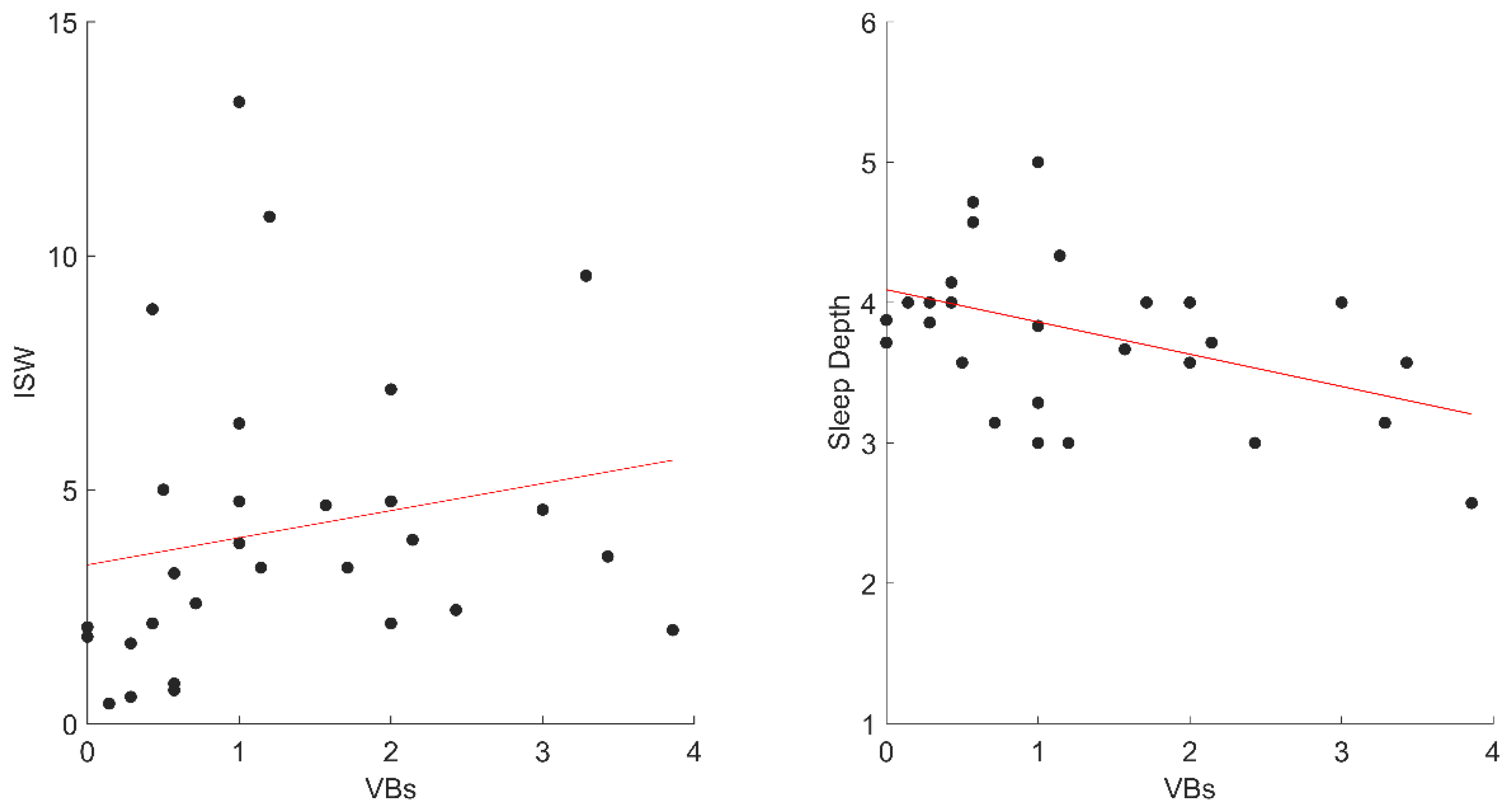
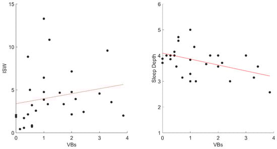
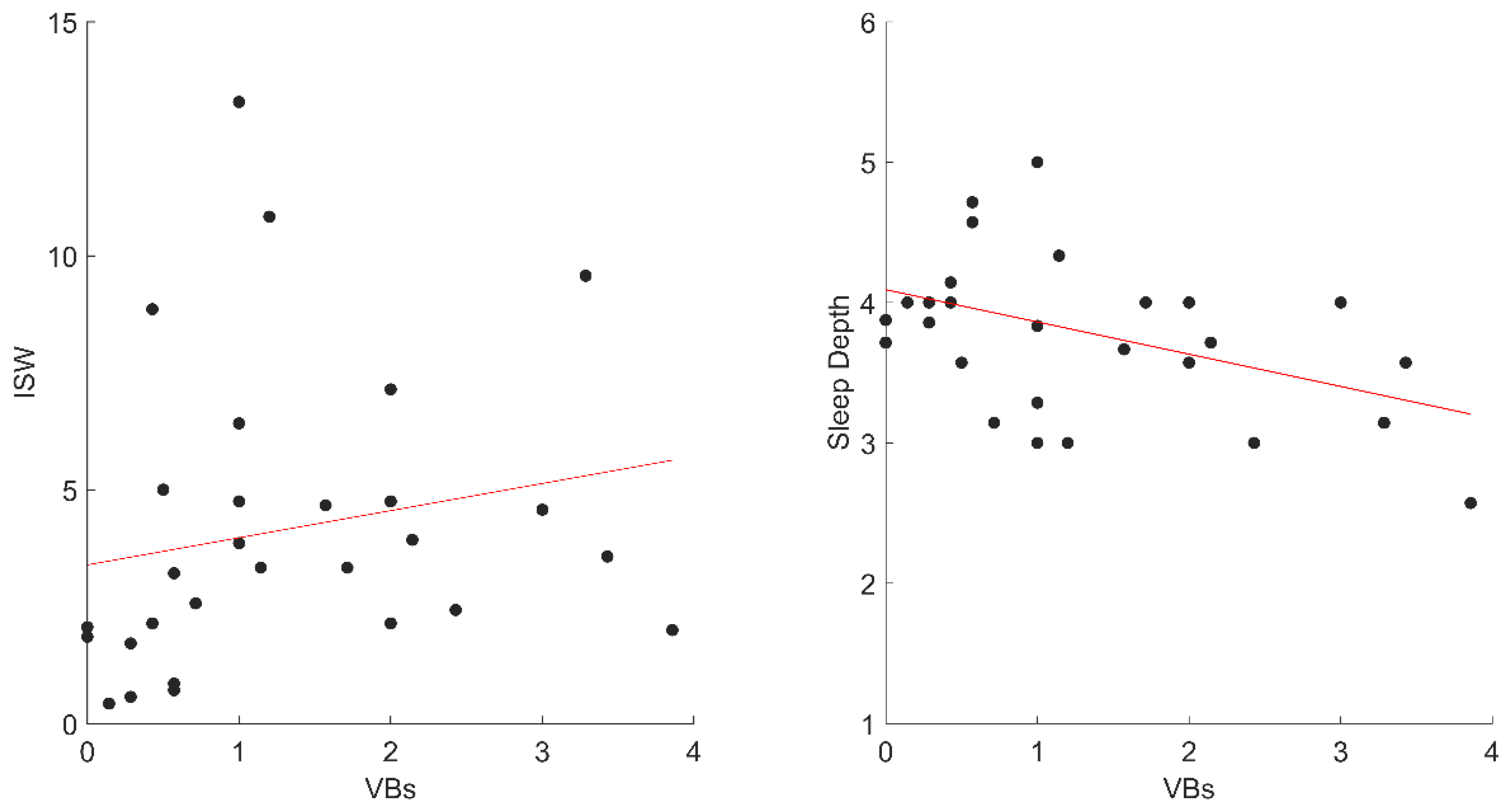
3.1. Qualitative Characteristics of Sleep and Dreams in STs
3.2. Memory Performance
4. Discussion
Limitations and Future Directions
5. Conclusions
Supplementary Materials
Author Contributions
Funding
Institutional Review Board Statement
Informed Consent Statement
Data Availability Statement
Acknowledgments
Conflicts of Interest
References
- Alfonsi, V.; D’Atri, A.; Scarpelli, S.; Mangiaruga, A.; De Gennaro, L. Sleep Talking: A Viable Access to Mental Processes during Sleep. Sleep Med. Rev. 2019, 44, 12–22. [Google Scholar] [CrossRef] [PubMed]
- Mangiaruga, A.; D’Atri, A.; Scarpelli, S.; Alfonsi, V.; Camaioni, M.; Annarumma, L.; Gorgoni, M.; Pazzaglia, M.; De Gennaro, L. Sleep Talking versus Sleep Moaning: Electrophysiological Patterns Preceding Linguistic Vocalizations during Sleep. Sleep 2022, 45, zsab284. [Google Scholar] [CrossRef]
- Arkin, A.M.; Antrobus, J.S.; Toth, M.F.; Baker, J.; Jackler, F. A Comparison of the Content of Mentation Reports Elicited after Nonrapid Eye Movement (Nrem) Associated Sleep Utterance and Nrem “Silent” Sleep. J. Nerv. Ment. Dis. 1972, 155, 427–435. [Google Scholar] [CrossRef] [PubMed]
- Arnulf, I.; Baldayrou, E.; Gayraud, F.; Gay, F.; Uguccioni, G.; Golmard, J.-L.; Devevey, A. What Does the Sleeping Brain Say? Syntax and Semantics of Sleep Talking in Healthy Subjects and in Parasomnia Patients. Sleep 2017, 40, zsx159. [Google Scholar] [CrossRef] [PubMed]
- Sateia, M.J. International Classification of Sleep Disorders-Third Edition Highlights and Modifications. Chest 2014, 146, 1387–1394. [Google Scholar] [CrossRef]
- Arkin, A.M.; Toth, M.F.; Baker, J.; Hastey, J.M. The Degree of Concordance between the Content of Sleep Talking and Mentation Recalled in Wakefulness. South Med. J. 1970, 151, 375–393. [Google Scholar] [CrossRef]
- Aarons, L. Evoked Sleep-Talking. Percepiual Major Ski. 1970, 31, 27–40. [Google Scholar] [CrossRef]
- Rechtschaffen, A.; Goodenough, D.R.; Shapiro, A. Patterns of Sleep. Pharm. J. 1962, 271, 754. [Google Scholar]
- Oudiette, D.; Constantinescu, I.; Leclair-Visonneau, L.; Vidailhet, M.; Schwartz, S.; Arnulf, I. Evidence for the Re-Enactment of a Recently Learned Behavior during Sleepwalking. PLoS ONE 2011, 6, e18056. [Google Scholar] [CrossRef]
- Wamsley, E.J.; Stickgold, R. Memory, Sleep, and Dreaming: Experiencing Consolidation. Sleep Med. Clin. 2011, 6, 97–108. [Google Scholar] [CrossRef]
- Uguccioni, G.; Pallanca, O.; Golmard, J.; Dodet, P.; Herlin, B. Sleep-Related Declarative Memory Consolidation and Verbal Replay during Sleep Talking in Patients with REM Sleep Behavior Disorder. PLoS ONE 2013, 8, e83352. [Google Scholar] [CrossRef] [PubMed]
- Bjorvatn, B.; Grønli, J.; Pallesen, S. Prevalence of Different Parasomnias in the General Population. Sleep Med. 2010, 11, 1031–1034. [Google Scholar] [CrossRef] [PubMed]
- Curcio, G.; Tempesta, D.; Scarlata, S.; Marzano, C.; Moroni, F.; Rossini, P.M.; Ferrara, M.; De Gennaro, L. Validity of the Italian Version of the Pittsburgh Sleep Quality Index (PSQI). Neurol. Sci. 2013, 34, 511–519. [Google Scholar] [CrossRef] [PubMed]
- Fulda, S.; Hornyak, M.; Müller, K.; Cerny, L.; Beitinger, P.A.; Wetter, T.C. Development and Validation of the Munich Parasomnia Screening (MUPS): A Questionnaire for Parasomnias and Nocturnal Behaviors. Somnologie 2008, 12, 56–65. [Google Scholar] [CrossRef]
- Vignatelli, L.; Plazzi, G.; Barbato, A.; Ferini-Strambi, L.; Manni, R.; Pompei, F.; D’Alessandro, R.; Brancasi, B.; Misceo, S.; Puca, F.; et al. Italian Version of the Epworth Sleepiness Scale: External Validity. Neurol. Sci. 2003, 23, 295–300. [Google Scholar] [CrossRef]
- De Gennaro, L.; Ferrara, M.; Cristiani, R.; Curcio, G.; Martiradonna, V.; Bertini, M. Alexithymia and Dream Recall upon Spontaneous Morning Awakening. Psychosom. Med. 2003, 65, 301–306. [Google Scholar] [CrossRef]
- Casagrande, M.; Cortini, P. Spoken and Written Dream Communication: Differences and Methodological Aspects. Conscious. Cogn. 2008, 17, 145–158. [Google Scholar] [CrossRef]
- Ferrara, M.; De Gennaro, L. The Sleep Inertia Phenomenon during the Sleep-Wake Transition: Theoretical and Operational Issues. Aviat. Sp. Environ. Med. 2000, 71, 843–848. [Google Scholar]
- Gorgoni, M.; Ferrara, M.; D’Atri, A.; Lauri, G.; Scarpelli, S.; Truglia, I.; De Gennaro, L. EEG Topography during Sleep Inertia upon Awakening after a Period of Increased Homeostatic Sleep Pressure. Sleep Med. 2015, 16, 883–890. [Google Scholar] [CrossRef]
- De Gennaro, L.; Cipolli, C.; Cherubini, A.; Assogna, F.; Cacciari, C.; Marzano, C.; Curcio, G.; Ferrara, M.; Caltagirone, C.; Spalletta, G. Amygdala and Hippocampus Volumetry and Diffusivity in Relation to Dreaming. Hum. Brain Mapp. 2011, 32, 1458–1470. [Google Scholar] [CrossRef]
- Barca, L.; Burani, C.; Arduino, L.S. Word Naming Times and Psycholinguistic Norms for Italian Nouns. Behav. Res. Methods Instrum. Comput. 2002, 34, 424–434. [Google Scholar] [CrossRef] [PubMed]
- Benjamini, Y.; Hochberg, Y. Controlling the False Discovery Rate: A Practical and Powerful Approach to Multiple Testing. J. R. Stat. Soc. Ser. B 1995, 57, 289–300. [Google Scholar] [CrossRef]
- Cellini, N. Memory Consolidation in Sleep Disorders. Sleep Med. Rev. 2017, 35, 101–112. [Google Scholar] [CrossRef] [PubMed]
- Diekelmann, S.; Born, J. The Memory Function of Sleep. Nat. Rev. Neurosci. 2010, 11, 114–126. [Google Scholar] [CrossRef] [PubMed]
- Mangiaruga, A.; Scarpelli, S.; D’Atri, A.; Alfonsi, V.; Bartolacci, C.; Reda, F.; Schiappa, C.; Gorgoni, M.; De Gennaro, L. Prevalence of Sleep Talking in an Italian Sample, Association with Other Altered Nocturnal Behaviours and Quality of Sleep: Preliminary Findings. Sleep Med. 2017, 40, e208. [Google Scholar] [CrossRef]
- Idir, Y.; Oudiette, D.; Arnulf, I. Sleepwalking, Sleep Terrors, Sexsomnia and Other Disorders of Arousal: The Old and the New. J. Sleep Res. 2022, 31, e13596. [Google Scholar] [CrossRef]
- Castelnovo, A.; Loddo, G.; Provini, F.; Miano, S.; Manconi, M. Mental Activity during Episodes of Sleepwalking, Night Terrors or Confusional Arousals: Differences between Children and Adults. Nat. Sci. Sleep 2021, 13, 829. [Google Scholar] [CrossRef]
- Uguccioni, G.; Golmard, J.-L.; de Fontreaux, A.N.; Leu-Semenescu, S.; Brion, A.; Arnulf, I. Fight or Flight? Dream Content during Sleepwalking/Sleep Terrors vs. Rapid Eye Movement Sleep Behavior Disorder. Sleep Med. 2013, 14, 391–398. [Google Scholar] [CrossRef]
- Scarpelli, S.; Alfonsi, V.; Gorgoni, M.; De Gennaro, L. What about Dreams? State of the Art and Open Questions. J. Sleep Res. 2022, 31, e13609. [Google Scholar] [CrossRef]
- Foulkes, D. Nonrapid Eye Movement Mentation. Exp. Neurol. 1967, 19, 28–38. [Google Scholar] [CrossRef]
- Rechtschaffen, A.; Verdone, P.; Wheaton, J. Reports of Mental Activity during Sleep. Can. Psychiatr. Assoc. J. 1963, 8, 409–414. [Google Scholar] [CrossRef] [PubMed]
- Casagrande, M.; Violani, C.; Lucidi, F.; Buttinelli, E.; Bertini, M. Variations in Sleep Mentation as a Function of Time of Night. Int. J. Neurosci. 1996, 85, 19–30. [Google Scholar] [CrossRef] [PubMed]
- Antrobus, J. Dreaming: Cognitive Processes During Cortical Activation and High Afferent Thresholds. Psychol. Rev. 1991, 98, 96–121. [Google Scholar] [CrossRef] [PubMed]
- Rechtschaffen, A.; Goodenough, D.R.; Shapiro, A. Patterns of Sleep Talking. Arch. Gen. Psychiatry 1962, 7, 418–426. [Google Scholar] [CrossRef] [PubMed]
- MacNeilage, P.F. Motor Control of Serial Ordering of Speech. Psychol. Rev. 1970, 77, 182–196. [Google Scholar] [CrossRef]
- Scarpelli, S.; Bartolacci, C.; D’Atri, A.; Gorgoni, M.; De Gennaro, L. The Functional Role of Dreaming in Emotional Processes. Front. Psychol. 2019, 10, 459. [Google Scholar] [CrossRef]
- Hobson, J.A.; Hong, C.C.H.; Friston, K.J. Virtual Reality and Consciousness Inference in Dreaming. Front. Psychol. 2014, 5, 1133. [Google Scholar] [CrossRef]
- Revonsuo, A. The Reinterpretation of Dreams: An Evolutionary Hypothesis of the Function of Dreaming. Behav. Brain Sci. 2000, 23, 877–901. [Google Scholar] [CrossRef]
- Scarpelli, S.; Bartolacci, C.; D’Atri, A.; Camaioni, M.; Annarumma, L.; Gorgoni, M.; Cloos, C.; Ferrara, M.; De Gennaro, L. Electrophysiological Correlates of Dream Recall During REM Sleep: Evidence from Multiple Awakenings and Within-Subjects Design. Nat. Sci. Sleep 2020, 12, 1043–1052. [Google Scholar] [CrossRef]
- Koch, C.; Massimini, M.; Boly, M.; Tononi, G. Neural Correlates of Consciousness: Progress and Problems. Nat. Rev. Neurosci. 2016, 17, 307–321. [Google Scholar] [CrossRef]
- Uguccioni, G.; Pallanca, O.; Golmard, J.-L.; Leu-Semenescu, S.; Arnulf, I. Is Sleep-Related Verbal Memory Consolidation Impaired in Sleepwalkers? J. Sleep Res. 2015, 24, 197–205. [Google Scholar] [CrossRef] [PubMed]
- Cellini, N.; McDevitt, E.A. The Temporal Dynamics of Motor Memory across Wake and Sleep. J. Neurosci. 2015, 35, 12085–12087. [Google Scholar] [CrossRef] [PubMed]
- Konjarski, M.; Murray, G.; Lee, V.V.; Jackson, M.L. Reciprocal Relationships between Daily Sleep and Mood: A Systematic Review of Naturalistic Prospective Studies. Sleep Med. Rev. 2018, 42, 47–58. [Google Scholar] [CrossRef] [PubMed]
- Loddo, G.; Lopez, R.; Cilea, R.; Dauvilliers, Y.; Provini, F. Disorders of Arousal in Adults: New Diagnostic Tools for Clinical Practice. Sleep Sci. Pract. 2019, 3, 5. [Google Scholar] [CrossRef]
- Sartori, S.; Vecchi, M.; Toldo, I.; Boniver, C.; Bernardina, B.D.; Laverda, A.M. Benign Nocturnal Alternating Hemiplegia of Childhood: The First Clinical Report with Paroxysmal Events Home-Video Recordings. Mov. Disord. 2008, 23, 1605–1608. [Google Scholar] [CrossRef] [PubMed]
- Ramanujam, B.; Dash, D.; Tripathi, M. Can Home Videos Made on Smartphones Complement Video-EEG in Diagnosing Psychogenic Nonepileptic Seizures? Seizure 2018, 62, 95–98. [Google Scholar] [CrossRef]
- Peeters, D.; Dresler, M. Scientific Significance of Sleep Talking. Front. Young Minds 2014, 2. [Google Scholar] [CrossRef]
- Camaioni, M.; Scarpelli, S.; Gorgoni, M.; Alfonsi, V.; De Gennaro, L. EEG Patterns Prior to Motor Activations of Parasomnias: A Systematic Review. Nat. Sci. Sleep 2021, 13, 713–728. [Google Scholar] [CrossRef]



| Demographic Characteristics | STs = 29 Mean (sd) | CNTs = 30 Mean (sd) | Statistical Comparisons | p |
|---|---|---|---|---|
| Age | 23.48 (2.81) | 24.27 (3.24) | U = 366.000 | 0.291 |
| Gender | F = 23 M = 6 | F = 24 M = 6 | χ2 = 0.004 | 0.948 |
| Retrospective Questionnaire | STs = 29 Mean (sd) | CNTs = 30 Mean (sd) | Statistical Comparisons | adj-p |
| PSQI | 5.83(2.78) | 3.90 (1.52) | U = 633.500 | 0.032 |
| ESS | 7.21 (3.84) | 5.27(3.14) | t = −2.13 | 0.202 |
| Sleep Diaries Variables | STs = 29 Mean (sd) | CNTs = 30 Mean (sd) | Statistical Comparisons | adj-p |
| SOL | 14.38 (10.14) | 13.07 (6.02) | U = 420.000 | 0.937 |
| ISW | 4.16 (0.59) | 5.67 (6.95) | U = 418.000 | 0.987 |
| TBT | 490.25 (53.31) | 498.04 (63.57) | t = −0.509 | 1.000 |
| TST | 438.00 (39.86) | 441.64 (41.33) | t = −0.344 | 1.000 |
| SE (%) | 89.86 (4.51) | 89.33 (5.11) | t = 0.420 | 1.000 |
| Sleep Depth | 3.78 (0.56) | 3.80 (0.49) | t = −0.102 | 0.919 |
| Sleep Quiet | 3.32 (0.64) | 3.75 (0.59) | t = −2.669 | 0.080 |
| Sleep Restless | 3.40 (0.65) | 3.56 (0.57) | t = −0.974 | 0.890 |
| Dream Variables | STs = 28 Mean (sd) | CNTs = 24 Mean (sd) | Statistical Comparisons | adj-p |
|---|---|---|---|---|
| TWC | 73.35 (61.89) | 85.79 (65.47) | U = 296.000 | 1.000 |
| EL | 2.44 (1.11) | 2.41 (0.81) | U = 326.000 | 0.910 |
| VV | 1.91 (0.88) | 2.15 (0.84) | t = −1.017 | 1.000 |
| B | 2.99 (0.79) | 3.29 (0.81) | t = −1.354 | 0.728 |
| NW | 0.66 (1.07) | 0.44 (0.35) | U = 321.000 | 1.000 |
| PW | 1.38 (1.32) | 1.32 (0.95) | U = 312.500 | 1.000 |
| Word Pair Task Variables | STs = 28 Mean (sd) | CNTs = 30 Mean (sd) | t-Test (d.f.) | p |
|---|---|---|---|---|
| Gain | −0.14 (1.18) | 0.53 (1.63) | t = −1.817 (56) | 0.078 |
| Evening Immediate Recall | 40.04 (5.77) | 41.70 (5.64) | t = −1.110 (56) | 0.272 |
| Numbers of trials | 1.57 (0.57) | 1.67 (0.55) | t = −0.648 (56) | 0.520 |
Publisher’s Note: MDPI stays neutral with regard to jurisdictional claims in published maps and institutional affiliations. |
© 2022 by the authors. Licensee MDPI, Basel, Switzerland. This article is an open access article distributed under the terms and conditions of the Creative Commons Attribution (CC BY) license (https://creativecommons.org/licenses/by/4.0/).
Share and Cite
Camaioni, M.; Scarpelli, S.; Alfonsi, V.; Gorgoni, M.; De Bartolo, M.; Calzolari, R.; De Gennaro, L. The Influence of Sleep Talking on Nocturnal Sleep and Sleep-Dependent Cognitive Processes. J. Clin. Med. 2022, 11, 6489. https://doi.org/10.3390/jcm11216489
Camaioni M, Scarpelli S, Alfonsi V, Gorgoni M, De Bartolo M, Calzolari R, De Gennaro L. The Influence of Sleep Talking on Nocturnal Sleep and Sleep-Dependent Cognitive Processes. Journal of Clinical Medicine. 2022; 11(21):6489. https://doi.org/10.3390/jcm11216489
Chicago/Turabian StyleCamaioni, Milena, Serena Scarpelli, Valentina Alfonsi, Maurizio Gorgoni, Mina De Bartolo, Rossana Calzolari, and Luigi De Gennaro. 2022. "The Influence of Sleep Talking on Nocturnal Sleep and Sleep-Dependent Cognitive Processes" Journal of Clinical Medicine 11, no. 21: 6489. https://doi.org/10.3390/jcm11216489
APA StyleCamaioni, M., Scarpelli, S., Alfonsi, V., Gorgoni, M., De Bartolo, M., Calzolari, R., & De Gennaro, L. (2022). The Influence of Sleep Talking on Nocturnal Sleep and Sleep-Dependent Cognitive Processes. Journal of Clinical Medicine, 11(21), 6489. https://doi.org/10.3390/jcm11216489

