Multimorbidity and Polytherapy in Patients with Femoral Neck Fracture: A Retrospective Observational Study
Abstract
1. Introduction
2. Materials and Methods
2.1. Measures
2.2. Statistical Analysis
3. Results
3.1. Demographic Data
3.2. Multimorbidity
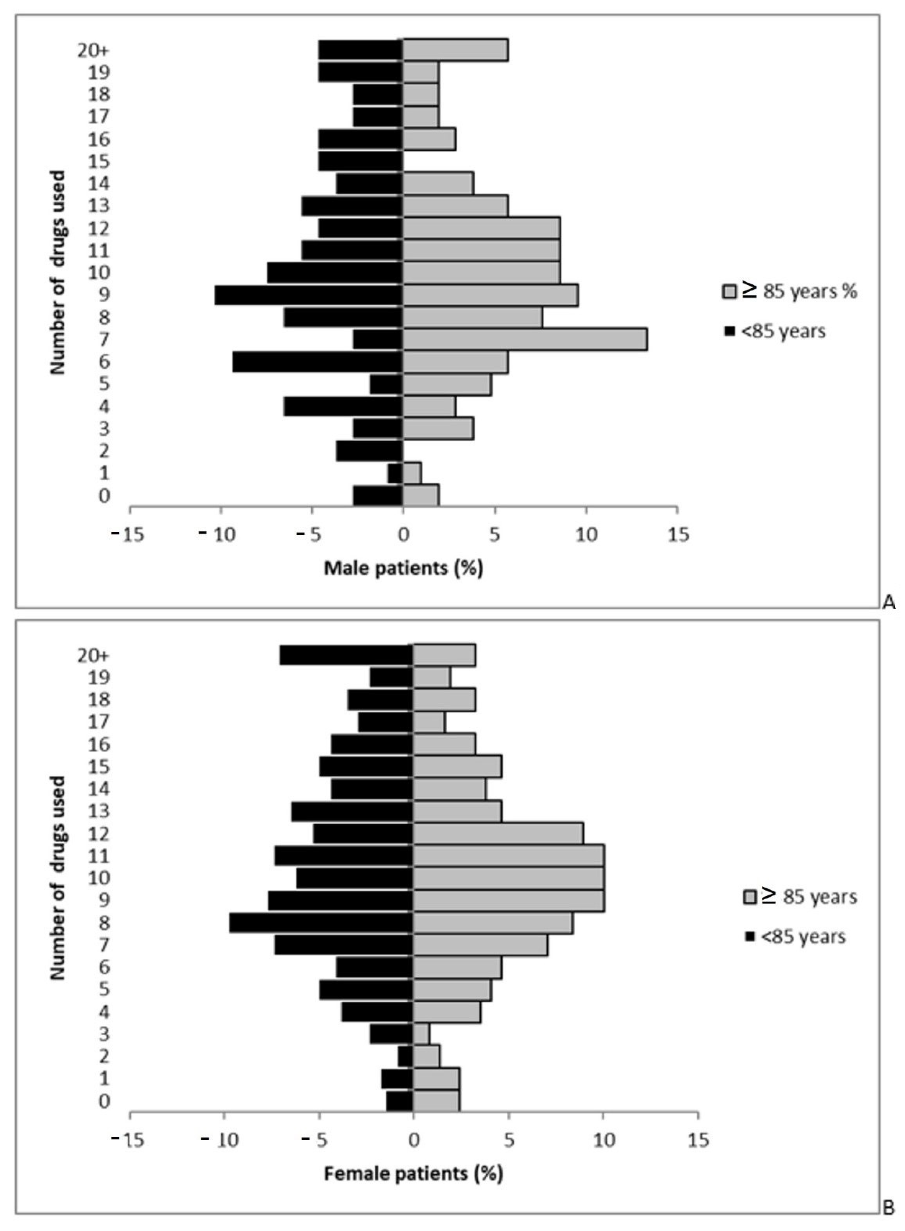
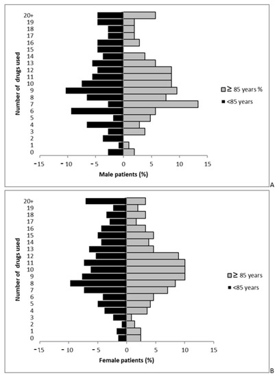
3.3. Polytherapy
4. Discussion
5. Conclusions
Author Contributions
Funding
Institutional Review Board Statement
Informed Consent Statement
Data Availability Statement
Conflicts of Interest
References
- European Union. The 2018 Ageing Report: Underlying Assumptions & Projection Methodologies; Publications Office of the European Union: Luxembourg; European Commission, Directorate-General for Economic and Financial Affairs: Brussels, Belgium, 2017. [Google Scholar]
- Statistica Research Department. Share of Elderly Population in Italy 2009–2021. November 2021. Available online: https://www.statista.com/statistics/785104/elderly-population-in-italy (accessed on 30 June 2020).
- ISTAT. Indicatori Demografici. Available online: https://www.istat.it/it/archivio/269677 (accessed on 30 June 2020).
- Tarantino, U.; Piscitelli, P.; Feola, M.; Neglia, C.; Rao, C.; Gimigliano, F.; Iolascon, G. Decreasing trend of hip fractures incidence in Italy between 2007 and 2014: Epidemiological changes due to population aging. Arch. Osteoporos. 2018, 13, 23. [Google Scholar] [CrossRef] [PubMed]
- Patterson, S.M.; Cadogan, C.A.; Kerse, N.; Cardwell, C.R.; Bradley, M.C.; Ryan, C.; Hughes, C. Interventions to improve the appropriate use of polypharmacy for older people. Cochrane Database Syst. Rev. 2018, 9, CD008165. [Google Scholar]
- Harries, L.; Moore, A.; Kendall, C.; Stanger, S.; Stringfellow, T.D.; Davies, A.; Kelly, M. Attitudes to Palliative Care in Patients with Neck-of-Femur Fracture-A Multicenter Survey. Geriatr. Orthop. Surg. Rehabil. 2020, 11, 2151459320916931. [Google Scholar] [CrossRef] [PubMed]
- Burgers, P.T.; Hoogendoorn, M.; Van Woensel, E.A.; Poolman, R.W.; Bhandari, M.; Patka, P.; Van Lieshout, E.M.M.; HEALTH Trial Investigators. Total medical costs of treating femoral neck fracture patients with hemi- or total hip arthroplasty: A cost analysis of a multicenter prospective study. Osteoporos. Int. 2016, 27, 1999–2008. [Google Scholar] [CrossRef] [PubMed]
- Shin, K.H.; Hong, S.H.; Han, S.B. Posterior fully threaded positioning screw prevents femoral neck collapse in Garden I or II femoral neck fractures. Injury 2020, 51, 1031–1037. [Google Scholar] [CrossRef]
- The HIP ATTACK Investigators. Accelerated surgery versus standard care in hip fracture (HIP ATTACK): An international, randomised, controlled trial. Lancet 2020, 395, 698–708. [Google Scholar] [CrossRef]
- Vetrano, D.L.; Palmer, K.; Marengoni, A.; Marzetti, E.; Lattanzio, F.; Roller-Wirnsberger, R.; Samaniego, L.L.; Rodríguez-Mañas, L.; Bernabei, R.; et al.; Joint Action ADVANTAGE WP4 Group Frailty and multimorbidity: A systematic review and meta-analysis. J. Gerontol. A Biol. Sci. Med. Sci. 2019, 74, 659–666. [Google Scholar] [CrossRef] [PubMed]
- Davies, L.E.; Spiers, G.; Kingston, A.; Todd, A.; Adamson, J.; Hanratty, B. Adverse Outcomes of Polypharmacy in Older People: Systematic Review of Reviews. J. Am. Med. Dir. Assoc. 2020, 21, 181–187. [Google Scholar] [CrossRef] [PubMed]
- Calderón-Larrañaga, A.; Vetrano, D.L.; Onder, G.; Gimeno-Feliu, L.A.; Coscollar-Santaliestra, C.; Carfí, A.; Pisciotta, M.S.; Angleman, S.; Melis, R.J.F.; Santoni, G.; et al. Assessing and Measuring Chronic Multimorbidity in the Older Population: A Proposal for Its Operationalization. Gerontol. A Biol. Sci. Med. Sci. 2017, 72, 1417–1423. [Google Scholar] [CrossRef] [PubMed]
- Cherubini, A.; Corsonello, A.; Lattanzio, F. Polypharmacy in Nursing Home Residents: What Is the Way Forward? J. Am. Med. Dir. Assoc. 2016, 17, 4–6. [Google Scholar] [CrossRef] [PubMed]
- Fried, L.P.; Tangen, C.M.; Walston, J.; Newman, A.B.; Hirsch, C.; Gottdiener, J.; Seeman, T.; Tracy, R.; Kop, W.J.; et al.; Cardiovascular Health Study Collaborative Research Group Frailty in older adults: Evidence for a phenotype. J. Gerontol. A Biol. Sci. Med. Sci. 2001, 6, M146–M156. [Google Scholar] [CrossRef] [PubMed]
- Veronesi, F.; Borsari, V.; Martini, L.; Visani, A.; Gasbarrini, A.; Barbanti Brodano, G.; Fini, M. The Impact of Frailty on Spine Surgery: Systematic Review on 10 years Clinical Studies. Aging. Dis. 2021, 12, 625–645. [Google Scholar] [CrossRef] [PubMed]
- Angioni, D.; Macaron, T.; Takeda, C.; Sourdet, S.; Cesari, M.; Virecoulon Giudici, K.; Raffin, J.; Lu, W.H.; Delrieu, J.; Touchon, J.; et al. Can We Distinguish Age-Related Frailty from Frailty Related to Diseases? Data from the MAPT Study. J. Nutr. Health Aging 2020, 24, 1144–1151. [Google Scholar] [CrossRef] [PubMed]
- Rahman, S.; Singh, K.; Dhingra, S.; Charan, J.; Sharma, P.; Islam, S.; Jahan, D.; Iskandar, K.; Samad, N.; Haque, M. The Double Burden of the COVID-19 Pandemic and Polypharmacy on Geriatric Population-Public Health Implications. Ther. Clin. Risk Manag. 2020, 16, 1007–1022. [Google Scholar] [CrossRef] [PubMed]
- Moltó, A.; Dougados, M. Comorbidity indices. Clin. Exp. Rheumatol. 2014, 32, S131–S134. [Google Scholar]
- Beck, D.; Winzenborg, I.; Gao, W.; Mostafa, N.M.; Noertersheuser, P.; Chiuve, S.E.; Owens, C.; Shebley, M. Integrating real-world data and modeling to project changes in femoral neck bone mineral density and fracture risk in premenopausal women. Clin. Transl. Sci. 2021, 14, 1452–1463. [Google Scholar] [CrossRef]
- Wastesson, J.W.; Minguez, A.C.; Fastbom, J.; Maioli, S.; Johnell, K. The composition of polypharmacy: A register-based study of Swedes aged 75 years and older. PLoS ONE 2018, 13, e0194892. [Google Scholar] [CrossRef] [PubMed]
- Bientinesi, E.; Monti, D. Gender differences in cognitive decline in centenarians and the oldest old. Ital. J. Gender-Specific Med. 2020, 6, 107–117. [Google Scholar]
- Pellikaan, P.; Giarmatzis, G.; Sloten, J.V.; Verschueren, S.; Jonkers, I. Ranking of osteogenic potential of physical exercises in postmenopausal women based on femoral neck strains. PLoS One 2018, 13, e0195463. [Google Scholar] [CrossRef]
- Gawthorne, J.; Stevens, J.; Faux, S.G.; Leung, J.; McInnes, E.; Fasugba, O.; Mcelduff, B.; Middleton, S. Can emergency nurses safely and effectively insert fascia iliaca blocks in patients with a fractured neck of femur? A prospective cohort study in an Australian emergency department. J. Clin. Nurs. 2021, 30, 3611–3622. [Google Scholar] [CrossRef] [PubMed]
- Garu, A.; Yano, S.; Sheik, A.M.; Yu, A.; Okuyama, K.; Takeda, M.; Kohno, K.; Yamasaki, M.; Isomura, M.; Nabika, T.; et al. Effect of Multimorbidity on Fragility Fractures in Community-Dwelling Older Adults: Shimane CoHRE Study. J. Clin. Med. 2021, 10, 3225. [Google Scholar]
- Salive, M.E. Multimorbidity in older adults. Epidemiol. Rev. 2013, 35, 75–83. [Google Scholar] [CrossRef] [PubMed]
- Schousboe, J.T.; Paudel, M.L.; Taylor, B.C.; Kats, A.M.; Virnig, B.A.; Dowd, B.E.; Langsetmo, L.; Ensrud, K.E. Pre-fracture individual characteristics associated with high total health care costs after hip fracture. Osteoporos. Int. 2017, 28, 889–899. [Google Scholar] [CrossRef] [PubMed]
- Cauley, J.A.; Cawthon, P.M.; Peters, K.E.; Cummings, S.R.; Ensrud, K.E.; Bauer, D.C.; Taylor, B.C.; Shikany, J.M.; Hoffman, A.R.; et al.; Osteoporotic Fractures in Men (MrOS) Study Research Group Osteoporotic Fractures in Men (MrOS) Study Research Group. Risk Factors for Hip Fracture in Older Men: The Osteoporotic Fractures in Men Study (MrOS). J. Bone Miner. Res. 2016, 31, 1810–1819. [Google Scholar] [CrossRef]
- Fortuna, D.; Berti, E.; Moro, M.L. Multimorbidity epidemiology and health care utilization through combined healthcare administrative databases. Epidemiol. Prev. 2021, 45, 62–71. [Google Scholar]
- Li, C.; Zeng, Y.; Tao, L.; Liu, S.; Ni, Z.; Huang, Q.; Wang, Q. Meta-analysis of hypertension and osteoporotic fracture risk in women and men. Osteoporos. Int. 2017, 28, 2309–2318. [Google Scholar] [CrossRef] [PubMed]
- Ong, T.; Khor, H.M.; Kumar, C.S.; Singh, S.; Chong, E.; Ganthel, K.; Lee, J.K. The Current and Future Challenges of Hip Fracture Management in Malaysia. Malays. Orthop. J. 2020, 4, 16–21. [Google Scholar]
- Gleich, J.; Pfeufer, D.; Zeckey, C.; Böcker, W.; Gosch, M.; Kammerlander, C.; Neuerburg, C. Orthogeriatric treatment reduces potential inappropriate medication in older trauma patients: A retrospective, dual-center study comparing conventional trauma care and co-managed treatment. Eur. J. Med. Res. 2019, 24, 4. [Google Scholar] [CrossRef] [PubMed]
- Randelli, F.; Romanini, E.; Biggi, F.; Danelli, G.; Della Rocca, G.; Laurora, N.R.; Imberti, D.; Palareti, G.; Prisco, D. II Italian intersociety consensus statement on antithrombotic prophylaxis in orthopaedics and traumatology: Arthroscopy, traumatology, leg immobilization, minor orthopaedic procedures and spine surgery. J. Orthop. Traumatol. 2013, 14, 1–13. [Google Scholar] [CrossRef]
- Thorell, K.; Ranstad, K.; Midlöv, P.; Borgquist, L.; Halling, A. Is use of fall risk-increasing drugs in an elderly population associated with an increased risk of hip fracture, after adjustment for multimorbidity level: A cohort study. BMC Geriatr. 2014, 14, 131. [Google Scholar] [CrossRef] [PubMed]
- Kim, J.; Lee, M.; Dan, H. Gender Differences in Factors Affecting Life Satisfaction of the Elderly with Multimorbidity in Korea. Nurs. Rep. 2021, 11, 54–63. [Google Scholar] [CrossRef] [PubMed]



| All Sample (n = 917) | |
|---|---|
| Sex, n (%) | |
| Female | 706 (77.0) |
| Male | 211 (23.0) |
| Age (years), mean ± std | 84 ± 7.6 |
| Age, n (%) | |
| 65–69 | 51 (5.6) |
| 70–74 | 74 (8.1) |
| 75–79 | 131 (14.3) |
| 80–84 | 187 (20.4) |
| 85–89 | 267 (29.1) |
| 90–94 | 168 (18.3) |
| 95–99 | 35 (3.8) |
| >100 | 4 (0.4) |
| Education, n (%) | |
| No academic qualifications | 430 (46.9) |
| Primary school diploma | 276 (30.1) |
| Middle school graduation | 117 (12.8) |
| High school graduation | 78 (8.5) |
| University degree | 10 (1.1) |
| Bachelor’s degree | 6 (0.7) |
| All Sample (n = 917) | |
|---|---|
| Number of chronic conditions, n (%) | |
| 0 | 453 (49.4) |
| 1 | 280 (30.5) |
| 2 | 118 (12.9) |
| 3 | 48 (5.2) |
| 4 | 16 (1.7) |
| 6 | 2 (0.2) |
| Number of drugs used, n (%) | |
| 0 | 19 (2.1) |
| 1–4 | 83 (9.0) |
| 5–9 | 317 (34.6) |
| ≥10 | 498 (54.3) |
| Variable | OR (95%CI) | p-Value | |
|---|---|---|---|
| Multimorbidity (≥2 comorbid conditions) | Yes vs. No | 3.0 (1.4–6.3) | 0.004 |
| LOS (days) | >9 vs. ≤9 | 1.8 (1.1–2.8) | 0.013 |
| Variable | HR (95%CI) | p-Value | |
|---|---|---|---|
| Polytherapy (≥5 drugs) | Yes vs. No | 0.3 (0.2–0.5) | <0.0001 |
| Multimorbidity (≥2 comorbid conditions) | Yes vs. No | 1.7 (1.2–2.4) | 0.003 |
| Sex | M vs. F | 2.6 (1.9–3.5) | <0.0001 |
| Age (years) | ≥85 vs. <85 | 2.9 (2.0–4.0) | <0.0001 |
| LOS (days) | >9 vs. ≤9 | 1.1 (0.8–1.5) | 0.531 |
Publisher’s Note: MDPI stays neutral with regard to jurisdictional claims in published maps and institutional affiliations. |
© 2022 by the authors. Licensee MDPI, Basel, Switzerland. This article is an open access article distributed under the terms and conditions of the Creative Commons Attribution (CC BY) license (https://creativecommons.org/licenses/by/4.0/).
Share and Cite
Borsari, V.; Veronesi, F.; Carretta, E.; Fini, M. Multimorbidity and Polytherapy in Patients with Femoral Neck Fracture: A Retrospective Observational Study. J. Clin. Med. 2022, 11, 6405. https://doi.org/10.3390/jcm11216405
Borsari V, Veronesi F, Carretta E, Fini M. Multimorbidity and Polytherapy in Patients with Femoral Neck Fracture: A Retrospective Observational Study. Journal of Clinical Medicine. 2022; 11(21):6405. https://doi.org/10.3390/jcm11216405
Chicago/Turabian StyleBorsari, Veronica, Francesca Veronesi, Elisa Carretta, and Milena Fini. 2022. "Multimorbidity and Polytherapy in Patients with Femoral Neck Fracture: A Retrospective Observational Study" Journal of Clinical Medicine 11, no. 21: 6405. https://doi.org/10.3390/jcm11216405
APA StyleBorsari, V., Veronesi, F., Carretta, E., & Fini, M. (2022). Multimorbidity and Polytherapy in Patients with Femoral Neck Fracture: A Retrospective Observational Study. Journal of Clinical Medicine, 11(21), 6405. https://doi.org/10.3390/jcm11216405

