Diagnostic Value of 18F-FDG PET/CT vs. Chest-Abdomen-Pelvis CT Scan in Management of Patients with Fever of Unknown Origin, Inflammation of Unknown Origin or Episodic Fever of Unknown Origin: A Comparative Multicentre Prospective Study
Abstract
1. Introduction
2. Materials and Methods
2.1. Study Design and Participants
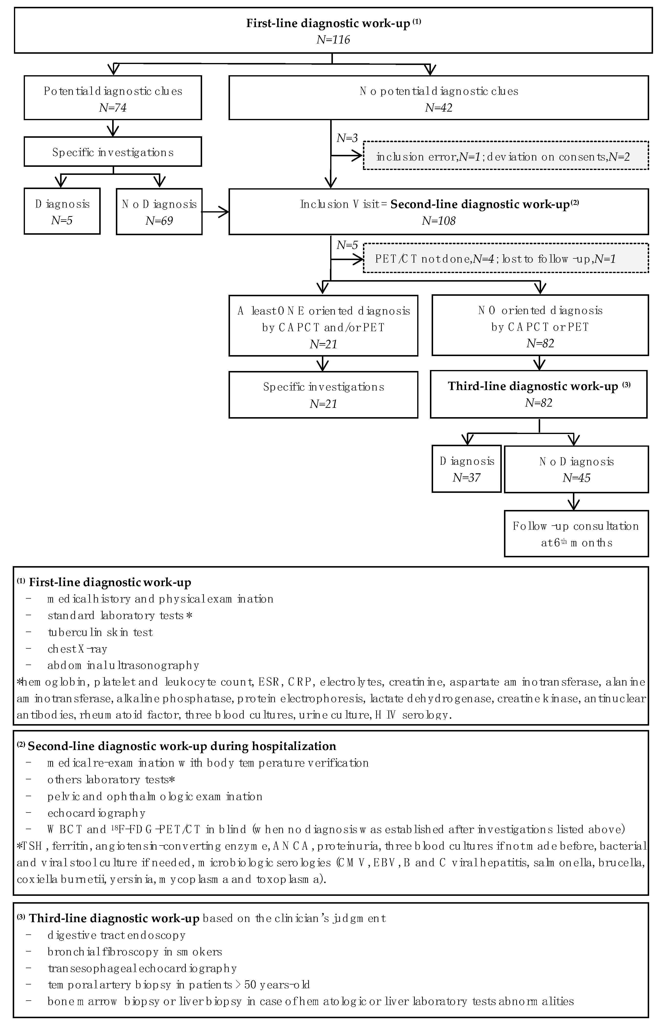
2.2. Procedures and Diagnostic Work-Up
2.3. Study Technique: 18F-FDG PET/CT and Chest-Abdomen-Pelvis CT Scan Processing
2.4. Outcomes and Results Interpretation
2.5. Statistical Analysis
3. Results
3.1. Patients and Diagnosis
3.2. Diagnostic Orientation (DO) and Contribution (DC) of PET/CT and CAPCT Scan
3.3. Diagnoses Not Related to the PET/CT and/or CAPCT Scan Results
3.4. Predictive Factors for Diagnosis
4. Discussion
5. Conclusions
Author Contributions
Funding
Institutional Review Board Statement
Informed Consent Statement
Data Availability Statement
Acknowledgments
Conflicts of Interest
Appendix A
| Variables | FUO (n = 35) | EFUO (n = 33) | IUO (n = 35) | Total (n = 103) | p-Value |
|---|---|---|---|---|---|
| Gender: female/male (%) | 42.9/57.1 | 54.5/45.5 | 48.6/51.4 | 48.5/51.5 | n.s. |
| Tobacco (%) | 11.4 | 27.3 | 25.7 | 21.4 | n.s. |
| Allergy (%) | 35.3 | 34.48 | 25.7 | 31.7 | n.s. |
| Addiction (%) | 0.0 | 3.0 | 0.0 | 1.0 | n.s. |
| Transfusion (%) | 15.6 | 14.3 | 25.0 | 18.2 | n.s. |
| Mediterranean origin (%) | 17.1 | 23.3 | 13.3 | 17.9 | n.s. |
| TB confinement (%) | 6.7 | 14.3 | 12.9 | 11.2 | n.s. |
| Vaccine within 2 month (%) | 5.9 | 0.0 | 0.0 | 2.1 | n.s. |
| Surgery within 2 months (%) | 2.9 | 9.4 | 0.0 | 3.9 | n.s. |
| Travel within 2 months (%) | 8.6 | 12.9 | 0.0 | 7.2 | n.s. |
| Bite (%) | 11.8 | 13.8 | 9.1 | 11.5 | n.s. |
| Contact animals (%) | 42.4 | 53.8 | 42.9 | 46.0 | n.s. |
References
- Petersdorf, R.G.; Beeson, P.B. Fever of Unexplained Origin: Report on 100 Cases. Medicine 1961, 40, 1–30. [Google Scholar] [CrossRef]
- Durack, D.T.; Street, A.C. Fever of unknown origin-re-examined and redefined. Curr. Clin. Top. Infect. Dis. 1991, 11, 35–51. [Google Scholar]
- Knockaert, D.C.; Vanneste, L.J.; Bobbaers, H.J. Recurrent or episodic fever of unknown origin. Review of 45 cases and survey of the literature. Medicine 1993, 72, 184–196. [Google Scholar] [CrossRef]
- De Kleijn, E.M.; van Lier, H.J.; van der Meer, J.W.; The Netherlands FUO Study Group. Fever of unknown origin (FUO). II. Diagnostic procedures in a prospective multicenter study of 167 patients. Medicine 1997, 76, 401–414. [Google Scholar] [CrossRef]
- Vanderschueren, S.; Del Biondo, E.; Ruttens, D.; Van Boxelaer, I.; Wauters, E.; Knockaert, D.D. Inflammation of unknown origin versus fever of unknown origin: Two of a kind. Eur. J. Intern. Med. 2009, 20, 415–418. [Google Scholar] [CrossRef] [PubMed]
- Hot, A.; Jaisson, I.; Girard, C.; French, M.; Durand, D.V.; Rousset, H.; Ninet, J. Yield of Bone Marrow Examination in Diagnosing the Source of Fever of Unknown Origin. Arch. Intern. Med. 2009, 169, 2018–2023. [Google Scholar] [CrossRef] [PubMed]
- Vidal, E.; Liozon, E.; Loustaud-Ratti, V. [Management of intermittent fever in the adult]. Rev. Prat. 2002, 52, 167–171. [Google Scholar] [PubMed]
- Mourad, O.; Palda, V.; Detsky, A.S. A Comprehensive Evidence-Based Approach to Fever of Unknown Origin. Arch. Intern. Med. 2003, 163, 545–551. [Google Scholar] [CrossRef]
- De Kleijn, E.M.; Vandenbroucke, J.P.; van der Meer, J.W.; The Netherlands FUO Study Group. Fever of unknown origin (FUO). I A. prospective multicenter study of 167 patients with FUO, using fixed epidemiologic entry criteria. Medicine 1997, 76, 392–400. [Google Scholar] [CrossRef]
- Vanderschueren, S.; Knockaert, D.; Adriaenssens, T.; Demey, W.; Durnez, A.; Blockmans, D.; Bobbaers, H. From prolonged febrile illness to fever of unknown origin: The challenge continues. Arch. Intern. Med. 2003, 163, 1033–1041. [Google Scholar] [CrossRef]
- Schönau, V.; Vogel, K.; Englbrecht, M.; Wacker, J.; Schmidt, D.; Manger, B.; Kuwert, T.; Schett, G. The value of 18F-FDG-PET/CT in identifying the cause of fever of unknown origin (FUO) and inflammation of unknown origin (IUO): Data from a prospective study. Ann. Rheum. Dis. 2018, 77, 70–77. [Google Scholar] [CrossRef]
- Mulders-Manders, C.; Simon, A.; Bleeker-Rovers, C. Fever of unknown origin. Clin. Med. 2015, 15, 280–284. [Google Scholar] [CrossRef] [PubMed]
- Keidar, Z.; Gurman-Balbir, A.; Gaitini, D.; Israel, O. Fever of Unknown Origin: The Role of 18F-FDG PET/CT. J. Nucl. Med. 2008, 49, 1980–1985. [Google Scholar] [CrossRef]
- Bleeker-Rovers, C.P.; Vos, F.J.; Mudde, A.H.; Dofferhoff, T.S.M.; Richter, C.; Smilde, T.J.; Krabbe, P.F.M.; Oyen, W.J.G.; van der Meer, J.W.M. A prospective multi-centre study of the value of FDG-PET as part of a structured diagnostic protocol in patients with fever of unknown origin. Eur. J. Nucl. Med. Mol. Imaging 2007, 34, 694–703. [Google Scholar] [CrossRef] [PubMed]
- Wang, Q.; Li, Y.-M.; Li, Y.; Hua, F.-C.; Wang, Q.-S.; Zhang, X.-L.; Cheng, C.; Wu, H.; Yao, Z.-M.; Zhang, W.-F.; et al. 18F-FDGPET/CT in fever of unknown origin and inflammation of unknown origin: A Chinese multi-center study. Eur. J. Nucl. Med. Mol. Imaging 2019, 46, 159–165. [Google Scholar] [CrossRef] [PubMed]
- Kan, Y.; Wang, W.; Liu, J.; Yang, J.; Wang, Z. Contribution of 18F-FDG PET/CT in a case-mix of fever of unknown origin and inflammation of unknown origin: A meta-analysis. Acta Radiol. 2019, 60, 716–725. [Google Scholar] [CrossRef]
- Meller, J.; Altenvoerde, G.; Munzel, U.; Jauho, A.; Behe, M.; Gratz, S.; Luig, H.; Becker, W. Fever of unknown origin: Prospective comparison of [18F]FDG imaging with a double-head coincidence camera and gallium-67 citrate SPET. Eur. J. Nucl. Med. Mol. Imaging 2000, 27, 1617–1625. [Google Scholar] [CrossRef]
- Lorenzen, J.; Buchert, R.; Bohuslavizki, K.H. Value of FDG PET in patients with fever of unknown origin. Nucl. Med. Commun. 2001, 22, 779–783. [Google Scholar] [CrossRef]
- Blockmans, D.; Knockaert, D.; Maes, A.; De Caestecker, J.; Stroobants, S.; Bobbaers, H.; Mortelmans, L. Clinical Value of [18F]fluoro-Deoxyglucose Positron Emission Tomography for Patients with Fever of Unknown Origin. Clin. Infect. Dis. 2001, 32, 191–196. [Google Scholar] [CrossRef]
- Buysschaert, I.; Vanderschueren, S.; Blockmans, D.; Mortelmans, L.; Knockaert, D. Contribution of 18fluoro-deoxyglucose positron emission tomography to the work-up of patients with fever of unknown origin. Eur. J. Intern. Med. 2004, 15, 151–156. [Google Scholar] [CrossRef]
- Federici, L.; Blondet, C.; Imperiale, A.; Sibilia, J.; Pasquali, J.-L.; Pflumio, F.; Goichot, B.; Blaison, G.; Weber, J.-C.; Christmann, D.; et al. Value of 18F-FDG-PET/CT in patients with fever of unknown origin and unexplained prolonged inflammatory syndrome: A single centre analysis experience. Int. J. Clin. Pract. 2010, 64, 55–60. [Google Scholar] [CrossRef]
- Letertre, S.; Fesler, P.; Zerkowski, L.; Picot, M.-C.; Ribstein, J.; Guilpain, P.; Le Moing, V.; Mariano-Goulart, D.; Roubille, C. Place of the 18F-FDG-PET/CT in the Diagnostic Workup in Patients with Classical Fever of Unknown Origin (FUO). J. Clin. Med. 2021, 10, 3831. [Google Scholar] [CrossRef]
- Bleeker-Rovers, C.P.; De Kleijn, E.M.H.A.; Corstens, F.H.M.; Van Der Meer, J.W.M.; Oyen, W.J.G. Clinical value of FDG PET in patients with fever of unknown origin and patients suspected of focal infection or inflammation. Eur. J. Nucl. Med. Mol. Imaging 2004, 31, 29–37. [Google Scholar] [CrossRef]
- Rosenbaum, J.; Basu, S.; Beckerman, S.; Werner, T.; Torigian, D.A.; Alavi, A. Evaluation of diagnostic performance of 18F-FDG-PET compared to CT in detecting potential causes of fever of unknown origin in an academic centre. Hell J. Nucl Med. 2011, 14, 255–259. [Google Scholar]
- Buchrits, S.; Gafter-Gvili, A.; Eynath, Y.; Bernstine, H.; Guz, D.; Avni, T. The yield of F18 FDG PET-CT for the investigation of fever of unknown origin, compared with diagnostic CT. Eur. J. Intern. Med. 2021, 93, 50–56. [Google Scholar] [CrossRef] [PubMed]
- Boellaard, R.; Delgado-Bolton, R.; Oyen, W.J.G.; Giammarile, F.; Tatsch, K.; Eschner, W.; Verzijlbergen, F.J.; Barrington, S.F.; Pike, L.C.; Weber, W.A.; et al. FDG PET/CT: EANM procedure guidelines for tumour imaging: Version 2.0. Eur. J. Nucl. Med. Mol. Imaging 2015, 42, 328–354. [Google Scholar] [CrossRef] [PubMed]
- Damasio, M.B.; Magnaguagno, F.; Stagnaro, G. Whole-body MRI: Non-oncological applications in paediatrics. Radiol. Med. 2016, 121, 454–461. [Google Scholar] [CrossRef] [PubMed]
- Martin, O.; Schaarschmidt, B.M.; Kirchner, J.; Suntharalingam, S.; Grueneisen, J.; Demircioglu, A.; Heusch, P.; Quick, H.H.; Forsting, M.; Antoch, G.; et al. PET/MRI Versus PET/CT for Whole-Body Staging: Results from a Single-Center Observational Study on 1003 Sequential Examinations. J. Nucl. Med. 2019, 61, 1131–1136. [Google Scholar] [CrossRef]






| FUO n = 35 | IUO n = 35 | EFUO n = 33 | Total n = 103 | p Value | |
|---|---|---|---|---|---|
| Variables | n (%) or mean (SD) | ||||
| Sex: Male/Female | 20/15 | 18/17 | 15/18 | 53/50 | 0.6285 |
| Age (years) | 59.3 (16.7) | 65.1 (13.6) | 49.8 (16.6) | 58.2 (16.7) | 0.0005 |
| Duration of symptoms (months) | 7.7 (18.0) | 9.4 (12.9) | 34.5 (55.9) | 16.8 (35.8) | <0.0001 |
| Maximum fever (°C) | 39.5 (0.7) | 38.5 (0.3) | 39.6 (0.6) | 39.4 (0.7) | 0.0002 |
| Duration of fever (weeks) | 24.1 (12.1) | 4.4 (1.2) | 67.2 (31.3) | 39.9 (14.3) | 0.0309 |
| Arthralgia (%) | 15 (42.8) | 22 (62.8) | 14 (42.4) | 51 (49.5) | 0.1513 |
| Sweating (%) | 20 (57.1) | 8 (22.9) | 19 (59.4) | 47 (46.1) | 0.0030 |
| Chills (%) | 19 (54.3) | 4 (11.4) | 23 (71.9) | 46 (45.1) | <0.0001 |
| Myalgia (%) | 17 (48.6) | 9 (25.7) | 9 (27.3) | 35 (34.0) | 0.0801 |
| Cutaneous signs (%) | 13 (37.1) | 2 (5.7) | 10 (30.3) | 25 (24.3) | 0.0056 |
| Headaches (%) | 8 (22.9) | 7 (20.0) | 7 (21.2) | 22 (21.4) | 0.9581 |
| Arthritis (%) | 7 (20.6) | 5 (14.3) | 4 (12.1) | 16 (15.7) | 0.6106 |
| Transit disorders (%) | 2 (5.9) | 2 (5.7) | 10 (30.3) | 14 (13.7) | 0.0035 |
| Heart murmur (%) | 4 (11.8) | 9 (25.7) | 0 (0.0) | 13 (12.7) | 0.0063 |
| Lymph nodes (%) | 5 (14.3) | 2 (5.7) | 4 (12.1) | 11 (10.7) | 0.4834 |
| Hepatomegaly (%) | 4 (11.8) | 1 (2.9) | 1 (3.0) | 6 (5.9) | 0.2110 |
| Abdominal pain (%) | 1 (2.9) | 1 (2.9) | 1 (3.0) | 3 (2.9) | 0.9988 |
| White blood cells | 9.2 (4.3) | 9.2 (3.2) | 9.5 (3.9) | 9.3 (3.8) | 0.2779 |
| Haemoglobin | 11.4 (1.5) | 11.1 (1.8) | 11.8 (2.2) | 11.4 (1.8) | 0.0741 |
| Platelets | 347.1 (191.8) | 394.7 (177.2) | 306.6 (117.5) | 350.7 (168.8) | 0.0329 * |
| ESR | 74.3 (34.5) | 87.6 (35.0) | 58.6 (35.2) | 73.7 (36.4) | 0.0097 * |
| CRP | 111.4 (81.2) | 90.6 (54.5) | 61.2 (64.3) | 88.8 (70.2) | 0.0201 # |
| AST | 33.1 (3.8) | 22.7 (1.7) | 29.0 (3.4) | 28.3 (18.2) | 0.0327 # |
| ALT | 37.9 (24.6) | 20.5 (12.7) | 30.7 (19.5) | 29.8 (20.8) | 0.0020 # |
| LDH | 446.6 (258.1) | 320.1 (139.5) | 374.3 (156.3) | 382.0 (199.0) | 0.0253 + |
| Albuminemia | 32.0 (6.6) | 31.6 (5.4) | 35.3 (5.7) | 32.9 (6.1) | 0.0346 ** 0.0193 * |
| FUO n = 35 | IUO n = 35 | EFUO n = 33 | Total n = 103 | p Value | |
|---|---|---|---|---|---|
| Variables | n (%) | ||||
| Non-diagnosis | 11 (31.4) | 15 (42.9) | 19 (57.6) | 45 (43.7) | |
| Diagnosis | 24 (68.6) | 20 (57.1) | 14 (42.4) | 58 (56.3) | |
| n (% of diagnoses) | |||||
| NIID | 15 (62.5) | 16 (80.0) | 4 (28.6) | 35 (60.3) | 0.0101 |
| Systemic vasculitis | 7 (29.2) | 8 (40.0) | 0 (0.0) | 15 (25.9) | 0.0263 |
| Rheumatic disease | 1 (4.2) | 8 (40.0) | 1 (7.1) | 10 (17.2) | 0.0008 |
| Still’s disease | 5 (20.8) | 0 (0.0) | 3 (21.4) | 8 (13.8) | 0.0779 |
| Autoimmune diseases | 2 (8.3) | 0 (0.0) | 0 (0.0) | 2 (3.4) | 0.1379 |
| Infections | 3 (12.5) | 1 (5.0) | 4 (28.6) | 8 (13.8) | 0.3530 |
| Miscellaneous diseases | 1 (4.2) | 1 (5.0) | 6 (42.8) | 8 (13.8) | 0.0014 |
| Malignancy | 5 (20.8) | 2 (10.0) | 0 (0.0) | 7 (12.1) | 0.0617 |
Publisher’s Note: MDPI stays neutral with regard to jurisdictional claims in published maps and institutional affiliations. |
© 2022 by the authors. Licensee MDPI, Basel, Switzerland. This article is an open access article distributed under the terms and conditions of the Creative Commons Attribution (CC BY) license (https://creativecommons.org/licenses/by/4.0/).
Share and Cite
Ly, K.-H.; Costedoat-Chalumeau, N.; Liozon, E.; Dumonteil, S.; Ducroix, J.-P.; Sailler, L.; Lidove, O.; Bienvenu, B.; Decaux, O.; Hatron, P.-Y.; et al. Diagnostic Value of 18F-FDG PET/CT vs. Chest-Abdomen-Pelvis CT Scan in Management of Patients with Fever of Unknown Origin, Inflammation of Unknown Origin or Episodic Fever of Unknown Origin: A Comparative Multicentre Prospective Study. J. Clin. Med. 2022, 11, 386. https://doi.org/10.3390/jcm11020386
Ly K-H, Costedoat-Chalumeau N, Liozon E, Dumonteil S, Ducroix J-P, Sailler L, Lidove O, Bienvenu B, Decaux O, Hatron P-Y, et al. Diagnostic Value of 18F-FDG PET/CT vs. Chest-Abdomen-Pelvis CT Scan in Management of Patients with Fever of Unknown Origin, Inflammation of Unknown Origin or Episodic Fever of Unknown Origin: A Comparative Multicentre Prospective Study. Journal of Clinical Medicine. 2022; 11(2):386. https://doi.org/10.3390/jcm11020386
Chicago/Turabian StyleLy, Kim-Heang, Nathalie Costedoat-Chalumeau, Eric Liozon, Stéphanie Dumonteil, Jean-Pierre Ducroix, Laurent Sailler, Olivier Lidove, Boris Bienvenu, Olivier Decaux, Pierre-Yves Hatron, and et al. 2022. "Diagnostic Value of 18F-FDG PET/CT vs. Chest-Abdomen-Pelvis CT Scan in Management of Patients with Fever of Unknown Origin, Inflammation of Unknown Origin or Episodic Fever of Unknown Origin: A Comparative Multicentre Prospective Study" Journal of Clinical Medicine 11, no. 2: 386. https://doi.org/10.3390/jcm11020386
APA StyleLy, K.-H., Costedoat-Chalumeau, N., Liozon, E., Dumonteil, S., Ducroix, J.-P., Sailler, L., Lidove, O., Bienvenu, B., Decaux, O., Hatron, P.-Y., Smail, A., Astudillo, L., Morel, N., Boutemy, J., Perlat, A., Denes, E., Lambert, M., Papo, T., Cypierre, A., ... Fauchais, A.-L. (2022). Diagnostic Value of 18F-FDG PET/CT vs. Chest-Abdomen-Pelvis CT Scan in Management of Patients with Fever of Unknown Origin, Inflammation of Unknown Origin or Episodic Fever of Unknown Origin: A Comparative Multicentre Prospective Study. Journal of Clinical Medicine, 11(2), 386. https://doi.org/10.3390/jcm11020386

