Survival Analysis in Patients with Lung Cancer and Subsequent Primary Cancer: A Nationwide Cancer Registry Study
Abstract
1. Introduction
2. Materials and Methods
2.1. Data Sources and Research Samples
2.2. Study Population and Exclusion Criteria
2.3. Statistical Analyses
3. Results
4. Discussion
4.1. Heterogeneity in the Incidence of MPMs Involving Lung Cancer
4.2. Survival and Prognosis of MPMs Involving Lung Cancer
5. Conclusions and Limitations
Supplementary Materials
Author Contributions
Funding
Institutional Review Board Statement
Informed Consent Statement
Data Availability Statement
Conflicts of Interest
References
- Administration, H.P. Health Promotion Administration. Health Promotion Administration—Lung Cancer Prevention. Available online: https://www.hpa.gov.tw/Pages/List.aspx?nodeid=4050 (accessed on 1 September 2022).
- Yoder, L.H. Lung Cancer Epidemiology. Medsurg Nurs. 2016, 15, 5. [Google Scholar]
- Ridge, C.A.; McErlean, A.M.; Ginsberg, M.S. Epidemiology of Lung Cancer. Semin. Interv. Radiol 2013, 30, 093–098. [Google Scholar] [CrossRef] [PubMed]
- Lu, T.; Yang, X.; Huang, Y.; Zhao, M.; Li, M.; Ma, K.; Yin, J.; Zhan, C.; Wang, Q. Trends in the incidence, treatment, and survival of patients with lung cancer in the last four decades. Cancer Manag. Res. 2019, 11, 943–953. [Google Scholar] [CrossRef] [PubMed]
- Investigators, I.E.L.C.A.P. Survival of patients with stage I lung cancer detected on CT screening. N. Engl. J. Med. 2006, 355, 1763–1771. [Google Scholar]
- Morton, L.M.; Savage, S.A.; Bhatia, S. 60 Multiple Primary Cancers. In Cancer Epidemiology and Prevention; Thun, M., Linet, M.S., Cerhan, J.R., Haiman, C.A., Schottenfeld, D., Eds.; Oxford University Press: New York, NY, USA, 2017; pp. 1155–1190. [Google Scholar] [CrossRef]
- Li, F.; Zhong, W.-Z.; Niu, F.-Y.; Zhao, N.; Yang, J.-J.; Yan, H.-H.; Wu, Y.-L. Multiple primary malignancies involving lung cancer. BMC Cancer 2015, 15, 696. [Google Scholar] [CrossRef]
- Renda, A. Multiple Primary Malignancies. [Electronic Resource]; Springer Milan: New York, NY, USA, 2009. [Google Scholar]
- Wang, H.; Hou, J.; Zhang, G.; Zhang, M.; Li, P.; Yan, X.; Ma, Z. Clinical characteristics and prognostic analysis of multiple primary malignant neoplasms in patients with lung cancer. Cancer Gene Ther. 2019, 26, 419–426. [Google Scholar] [CrossRef]
- Shan, S.; She, J.; Xue, Z.Q.; Su, C.X.; Ren, S.X.; Wu, F.Y. Clinical characteristics and survival of lung cancer patients associated with multiple primary malignancies. PLoS ONE 2017, 12, e0185485. [Google Scholar] [CrossRef]
- Wu, F.Y.; Shan, S.; Ren, T. Clinical Characteristics and Survival of Patients with Multiple Primary Malignancies Involving Lung Cancer. Chest 2016, 149, 271A. [Google Scholar] [CrossRef]
- Sert, F.; Caner, A.; Haydaroglu, A. Trends in the incidence and overall survival of multiple primary cancers in Turkey. J. BUON 2020, 25, 1230–1236. [Google Scholar]
- Pandurengan, R.K.; Dumont, A.G.; Araujo, D.M.; Ludwig, J.A.; Ravi, V.; Patel, S.; Garber, J.; Benjamin, R.S.; Strom, S.S.; Trent, J.C. Survival of patients with multiple primary malignancies: A study of 783 patients with gastrointestinal stromal tumor. Ann. Oncol. 2010, 21, 2107–2111. [Google Scholar] [CrossRef]
- Skelton, W.P.T.; Ali, A.; Skelton, M.N.; Federico, R.; Bosse, R.; Nguyen, T.C.; Dang, L.H.; Bishnoi, R. Analysis of Overall Survival in Patients with Multiple Primary Malignancies: A Single-center Experience. Cureus 2019, 11, e4552. [Google Scholar] [CrossRef] [PubMed]
- Barclay, M.E.; Lyratzopoulos, G.; Walter, F.M.; Jefferies, S.; Peake, M.D.; Rintoul, R.C. Incidence of second and higher order smoking-related primary cancers following lung cancer: A population-based cohort study. Thorax 2019, 74, 466–472. [Google Scholar] [CrossRef] [PubMed]
- Ventura, L.; Carbognani, P.; Gnetti, L.; Rossi, M.; Tiseo, M.; Silini, E.M.; Sverzellati, N.; Silva, M.; Succi, M.; Braggio, C.; et al. Multiple primary malignancies involving lung cancer: A single-center experience. Tumori 2021, 107, 196–203. [Google Scholar] [CrossRef] [PubMed]
- Lin, S.Y.; Lin, C.L.; Lin, C.C.; Hsu, W.H.; Lin, C.D.; Wang, I.K.; Hsu, C.Y.; Kao, C.H. Association between Angiotensin-Converting Enzyme Inhibitors and Lung Cancer-A Nationwide, Population-Based, Propensity Score-Matched Cohort Study. Cancers 2020, 12, 747. [Google Scholar] [CrossRef]
- Chiang, C.J.; Wang, Y.W.; Lee, W.C. Taiwan’s Nationwide Cancer Registry System of 40 years: Past, present, and future. J. Formos. Med. Assoc. 2019, 118, 856–858. [Google Scholar] [CrossRef]
- Allemani, C.; Matsuda, T.; Di Carlo, V.; Harewood, R.; Matz, M.; Nikšić, M.; Bonaventure, A.; Valkov, M.; Johnson, C.J.; Estève, J.; et al. Global surveillance of trends in cancer survival 2000–14 (CONCORD-3): Analysis of individual records for 37,513,025 patients diagnosed with one of 18 cancers from 322 population-based registries in 71 countries. Lancet 2018, 391, 1023–1075. [Google Scholar] [CrossRef]
- Warren, S. Multiple primary malignant tumors. A survey of the literature and a statistical study. Am. J. Cancer 1932, 16, 1358–1414. [Google Scholar]
- Zhang, L.W.; Feng, L.X.; Cong, H.; Yu, Z.; Wang, H.C.; Dong, Y.; Wang, J. Multiple primary malignant neoplasms: A case report and literature review. Oncol. Lett. 2019, 18, 4210–4220. [Google Scholar] [CrossRef]
- Shintani, Y.; Okami, J.; Ito, H.; Ohtsuka, T.; Toyooka, S.; Mori, T.; Watanabe, S.; Asamura, H.; Chida, M.; Date, H.; et al. Clinical features and outcomes of patients with stage I multiple primary lung cancers. Cancer Sci. 2021, 112, 1924–1935. [Google Scholar] [CrossRef]
- Dang, L.H.; Skelton, W.P.; Bishnoi, R.; Ali, A.; Bosse, R.; Nguyen, C. Analysis of overall survival in patients with multiple primary malignancies. J. Clin. Oncol. 2018, 36, e14520. [Google Scholar] [CrossRef]
- Liu, Y.Y.; Chen, Y.M.; Yen, S.H.; Tsai, C.M.; Perng, R.P. Multiple primary malignancies involving lung cancer—Clinical characteristics and prognosis. Lung Cancer 2002, 35, 189–194. [Google Scholar] [CrossRef]
- Wu, B.Q.; Cui, Y.; Tian, J.T.; Song, X.P.; Hu, P.C.; Wei, S.H. Effect of second primary cancer on the prognosis of patients with non-small cell lung cancer. J. Thorac. Dis. 2019, 11, 573–582. [Google Scholar] [CrossRef] [PubMed]
- Engin, K. Cancers in multiple primary sites. Int. Surg. 1994, 79, 33–37. [Google Scholar] [PubMed]
- Donin, N.M.; Kwan, L.; Lenis, A.T.; Drakaki, A.; Chamie, K. Second primary lung cancer in United States Cancer Survivors, 1992–2008. Cancer Causes Control 2019, 30, 465–475. [Google Scholar] [CrossRef] [PubMed]
- Jeon, Y.J.; Kwon, Y.S.; Jung, C.Y. Clinical features and prognosis of multiple primary malignancies in patients with lung cancer. Eur. Respir. J. 2013, 42, 1. [Google Scholar]
- Fujita, S.; Masago, K.; Takeshita, J.; Togashi, Y.; Hata, A.; Kaji, R.; Kokubo, M.; Katakami, N. Multiple Primary Malignancies in Patients with Non-Small Cell Lung Cancer. Intern. Med. 2015, 54, 325–331. [Google Scholar] [CrossRef]
- Zheng, R.N.; Li, H.P.; Ye, Y.K.; Guan, L.; Li, H.J.; Ye, Z.K.; Yuan, G.H.; Zhang, X.F.; Wang, G.H.; Cao, M.Q.; et al. Clinicopathological features and prognostic analysis of 77 patients with multiple primary cancers. J. BUON 2020, 25, 2110–2116. [Google Scholar]
- Shi, Y.; Au, J.S.K.; Thongprasert, S.; Srinivasan, S.; Tsai, C.M.; Khoa, M.T.; Heeroma, K.; Itoh, Y.; Cornelio, G.; Yang, P.C. A Prospective, Molecular Epidemiology Study of EGFR Mutations in Asian Patients with Advanced Non-Small-Cell Lung Cancer of Adenocarcinoma Histology (PIONEER). J. Thorac. Oncol. 2014, 9, 154–162. [Google Scholar] [CrossRef]
- Zhang, S.; Xu, Z.; Dong, G.; Li, M.; Xu, L. Analysis of Clinical Characteristics of Lung Cancer Combined with Multiple Primary Malignancies in Other Organs. Zhongguo Fei Ai Za Zhi 2021, 24, 7–12. [Google Scholar] [CrossRef]



| Characteristics | Two or More Malignancies Involving Lung Cancer (n = 10,577) | ||
|---|---|---|---|
| LCF (n = 3728) | OCF (n = 6849) | ||
| n (%) | n (%) | ||
| Age (years) | <65 | 1797 (48.20) | 2390 (34.9) |
| >65 | 1931 (51.8) | 4459 (65.1) | |
| Diagnostic age of first and second primary malignancies (mean [SD]) | First primary malignancy | 65.18 (11.86) | 65.28 (12.09) |
| Second primary malignancy | 66.03 (11.96) | 68.92 (12.08) | |
| Median interval between the onset of the two primary malignancies (year) | 0.11 | 3.26 | |
| Sex | Female | 1599 (42.89) | 2610 (38.11) |
| Male | 2129 (57.11) | 4239 (61.89) | |
| Hx of smoking | Yes | 1233 (33.07) | 2014 (29.41) |
| No | 1750 (46.94) | 3893 (56.84) | |
| Unknown | 745 (19.98) | 942 (13.75) | |
| Hx of alcohol drinking | Yes | 602 (16.15) | 1042 (15.21) |
| No | 2271 (60.92) | 4749 (69.34) | |
| Unknown | 855 (22.93) | 1058 (15.45) | |
| SMPM or MMPM | SMPM | 2443 (65.53) | 378 (5.52) |
| MMPM | 1285 (34.47) | 6471 (94.48) | |
| Stage of lung cancer | 0 | 120 (3.22) | 277 (4.04) |
| 1 | 1152 (30.9) | 1653 (24.13) | |
| 2 | 266 (7.14) | 903 (13.18) | |
| 3 | 498 (13.36) | 1037 (15.14) | |
| 4 | 1104 (29.61) | 2161 (31.55) | |
| Unknown | 588 (15.77) | 818 (11.94) | |
| Histological type of lung cancer | AC | 2456 (65.88) | 4149 (60.58) |
| SCC | 491 (13.17) | 1513 (22.09) | |
| Small cell | 395 (10.6) | 605 (8.83) | |
| Others | 386 (10.35) | 582 (8.50) | |
| EGFR | Mutant | 638 (17.11) | 755 (11.02) |
| Not detected | 480 (12.88) | 649 (9.48) | |
| Unknown | 2610 (70.01) | 5445 (79.5) | |
| Operation | Lobectomy | 1750 (46.94) | 2512 (36.68) |
| Pneumonectomy | 4 (0.11) | 5 (0.07) | |
| No | 1974 (52.95) | 4332 (63.25) | |
| Characteristics | Single Lung Cancer (n = 61,642) | LCF (n = 3728) | p | |
|---|---|---|---|---|
| n (%) | n (%) | |||
| Mean diagnostic age of lung cancer (mean (SD)) | 67.12 (12.87) | 65.18 (11.86) | <0.001 | |
| Age (years) | <65 | 26,163 (42.44) | 1797 (48.20) | <0.001 |
| >65 | 35,479 (57.56) | 1931 (51.8) | ||
| Diagnostic age of first and second primary malignancies (mean [SD]) | First primary malignancy | 67.12 (12.87) | 65.18 (11.86) | <0.001 |
| Second primary malignancy | - | 66.03 (11.96) | - | |
| Sex | Female | 25,268 (40.99) | 1599 (42.89) | 0.022 |
| Male | 36,374 (59.01) | 2129 (57.11) | ||
| Hx of smoking | Yes | 24,121 (39.13) | 1233 (33.07) | <0.001 |
| No | 27,997 (45.42) | 1750 (46.94) | ||
| Unknown | 9524 (15.45) | 745 (19.98) | ||
| Hx of alcohol drinking | Yes | 11,132 (18.06) | 602 (16.15) | <0.001 |
| No | 39,434 (63.97) | 2271 (60.92) | ||
| Unknown | 9524 (15.45) | 855 (22.93) | ||
| Time of occurrence | SMPM | - | 0.02 | - |
| MMPM | 2.35 | |||
| Stage of lung cancer | 0 | 577 (0.94) | 120 (3.22) | <0.001 |
| 1 | 9974 (16.18) | 1152 (30.9) | ||
| 2 | 2588 (4.2) | 266 (7.14) | ||
| 3 | 8849 (14.36) | 498 (13.36) | ||
| 4 | 34,555 (56.06) | 1104 (29.61) | ||
| Unknown | 5099 (8.27) | 588 (15.77) | ||
| Histological type of lung cancer | AC | 41,383 (67.13) | 2456 (65.88) | <0.001 |
| SCC | 9212 (14.94) | 491 (13.17) | ||
| Small cell | 6115 (9.92) | 395 (10.6) | ||
| Others | 4932 (8) | 386 (10.35) | ||
| EGFR | Mutant | 15,287 (24.8) | 638 (17.11) | <0.001 |
| Not detected | 11,255 (18.26) | 480 (12.88) | ||
| Unknown | 35,100 (56.94) | 2610 (70.01) | ||
| Operation | Lobectomy | 15,514 (25.17) | 1750 (46.94) | <0.001 |
| Pneumonectomy | 86 (0.14) | 4 (0.11) | ||
| No | 46,042 (74.69) | 1974 (52.95) | ||
| Characteristics | Single Lung Cancer (n = 61,642) | LCF (n = 3728) | p | |
|---|---|---|---|---|
| Mean (std) | ||||
| Stage of lung cancer | 0 | 4.33 (1.37) | 4.37 (2.06) | 0.8407 |
| 1 | 4.82 (2.01) | 4.76 (1.98) | 0.3277 | |
| 2 | 3.50 (2.40) | 4.07 (2.39) | 0.0002 | |
| 3 | 2.22 (2.14) | 2.96 (2.27) | <0.001 | |
| 4 | 1.35 (1.55) | 1.80 (1.78) | <0.001 | |
| Hx of smoking | Yes | 1.75 (2.01) | 2.791 (2.33) | <0.001 |
| No | 2.79 (2.32) | 3.88 (2.32) | <0.001 | |
| Unknown | 1.73 (1.98) | 2.42 (2.23) | <0.001 | |
| Hx of alcohol drinking | Yes | 1.93 (2.12) | 3.06 (2.43) | <0.001 |
| No | 2.42 (2.27) | 3.57 (2.37) | <0.001 | |
| Unknown | 1.73 (1.98) | 2.42 (2.23) | <0.001 | |
| EGFR | Mutant | 2.58 (1.96) | 3.51 (1.97) | <0.001 |
| Not detected | 1.77 (1.91) | 2.78 (2.20) | <0.001 | |
| Unknown | 2.20 (2.37) | 3.24 (2.50) | <0.001 | |
| Histological type of lung cancer | AC | 2.63 (2.26) | 3.77 (2.29) | <0.001 |
| SCC | 1.56 (1.90) | 2.57 (2.34) | <0.001 | |
| Small cell | 0.96 (1.35) | 1.47 (1.67) | <0.001 | |
| Others | 1.56 (2.22) | 2.46 (2.41) | <0.001 | |
| Order | Most Common Second Primary Malignancies (ICD-9) | Total Population |
|---|---|---|
| N (%) | ||
| 1 | Malignant neoplasm of bronchus and lung (162) | 1866 (17.64) |
| 2 | Malignant neoplasm of hepatic flexure colon (153) | 932 (8.81) |
| 3 | Malignant neoplasm of female breast, nipple, and areola (174) | 841 (7.95) |
| 4 | Malignant neoplasm of prostate (185) | 685 (6.48) |
| 5 | Malignant neoplasm of liver, primary (155) | 659 (6.23) |
| 6 | Malignant neoplasm of the rectosigmoid junction (154) | 597 (5.64) |
| 7 | Malignant neoplasm of skin of lip (173) | 573 (5.42) |
| 8 | Malignant neoplasm of trigone of the urinary bladder (188) | 458 (4.33) |
| 9 | Malignant neoplasm of the cardia of the stomach (151) | 372 (3.52) |
| 10 | Malignant neoplasm of endocervix (180) | 332 (3.14) |
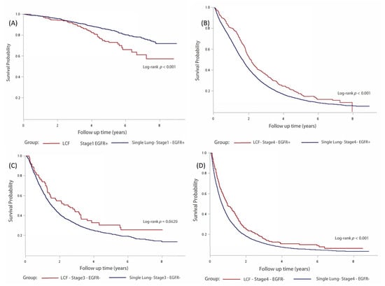
| Stage of Lung Cancer | LCF | |||||||||
|---|---|---|---|---|---|---|---|---|---|---|
| Stage 1 | Stage 2 | Stage 3 | Stage 4 | Stage 1 | Stage 2 | Stage 3 | Stage 4 | |||
| EGFR+ | EGFR+ | EGFR+ | EGFR+ | EGFR− | EGFR− | EGFR− | EGFR− | |||
| Single lung cancer | Stage 1 | EGFR+ | <0.001 | |||||||
| Stage 2 | EGFR+ | 0.8602 | ||||||||
| Stage 3 | EGFR+ | 0.7337 | ||||||||
| Stage 4 | EGFR+ | <0.001 | ||||||||
| Stage 1 | EGFR− | 0.6875 | ||||||||
| Stage 2 | EGFR− | 0.7051 | ||||||||
| Stage 3 | EGFR− | 0.0429 | ||||||||
| Stage 4 | EGFR− | <0.001 | ||||||||
Publisher’s Note: MDPI stays neutral with regard to jurisdictional claims in published maps and institutional affiliations. |
© 2022 by the authors. Licensee MDPI, Basel, Switzerland. This article is an open access article distributed under the terms and conditions of the Creative Commons Attribution (CC BY) license (https://creativecommons.org/licenses/by/4.0/).
Share and Cite
Chou, W.-R.; Shia, B.-C.; Huang, Y.-C.; Ho, C.-W.; Chen, M. Survival Analysis in Patients with Lung Cancer and Subsequent Primary Cancer: A Nationwide Cancer Registry Study. J. Clin. Med. 2022, 11, 5944. https://doi.org/10.3390/jcm11195944
Chou W-R, Shia B-C, Huang Y-C, Ho C-W, Chen M. Survival Analysis in Patients with Lung Cancer and Subsequent Primary Cancer: A Nationwide Cancer Registry Study. Journal of Clinical Medicine. 2022; 11(19):5944. https://doi.org/10.3390/jcm11195944
Chicago/Turabian StyleChou, Wen-Ru, Ben-Chang Shia, Yen-Chun Huang, Chieh-Wen Ho, and Mingchih Chen. 2022. "Survival Analysis in Patients with Lung Cancer and Subsequent Primary Cancer: A Nationwide Cancer Registry Study" Journal of Clinical Medicine 11, no. 19: 5944. https://doi.org/10.3390/jcm11195944
APA StyleChou, W.-R., Shia, B.-C., Huang, Y.-C., Ho, C.-W., & Chen, M. (2022). Survival Analysis in Patients with Lung Cancer and Subsequent Primary Cancer: A Nationwide Cancer Registry Study. Journal of Clinical Medicine, 11(19), 5944. https://doi.org/10.3390/jcm11195944

