A Focus on the Role of DSC-PWI Dynamic Radiomics Features in Diagnosis and Outcome Prediction of Ischemic Stroke
Abstract
:1. Introduction
- (1)
- This study explored the role of DRF in ischemic stroke. First, the radiomics features of 3D images in the time series of DSC-PWI were used to obtain the DRF of the whole brain. Then feature selection and dimensionality reduction methods were used to generate various combinations. Finally, by comparing the effects of multiple features in stroke diagnosis, NIHSS evaluation, and outcome prediction, the clinical value of DRF in stroke treatment and outcome prediction can be proved, providing a potential tool for clinical application.
- (2)
- In this study, the DRF of the whole brain were extracted instead of lesion features, which reduced the process of lesion segmentation and saved time for clinical treatment.
- (3)
- This study can extract useful features related to the target using feature analysis, reducing the problem of enormous computation costs caused by the direct analysis of a four-dimensional (4D) DSC-PWI image.
2. Materials and Methods
2.1. Materials
2.2. Methods
2.2.1. Preprocessing DSC-PWI Datasets and Computing Dynamic Radiomics Features
- (A)
- Registration and smoothing of DSC-PWI datasets
- (B)
- Making ground truth for three evaluation items
- (C)
- Computing DRF
2.2.2. Feature Selection and Combination Strategy
- (A)
- Extracting significant DRF
- (B)
- Supervised feature selection
- (C)
- Unsupervised feature selection
- (D)
- Feature combination strategy
2.2.3. Performance Evaluation
3. Results
3.1. Preprocessing Results
3.1.1. Ground Truth Distribution for Three Evaluation Items
3.1.2. Computed DRF
3.2. Selected Outstanding DRF and Dimension-Reduction DRF
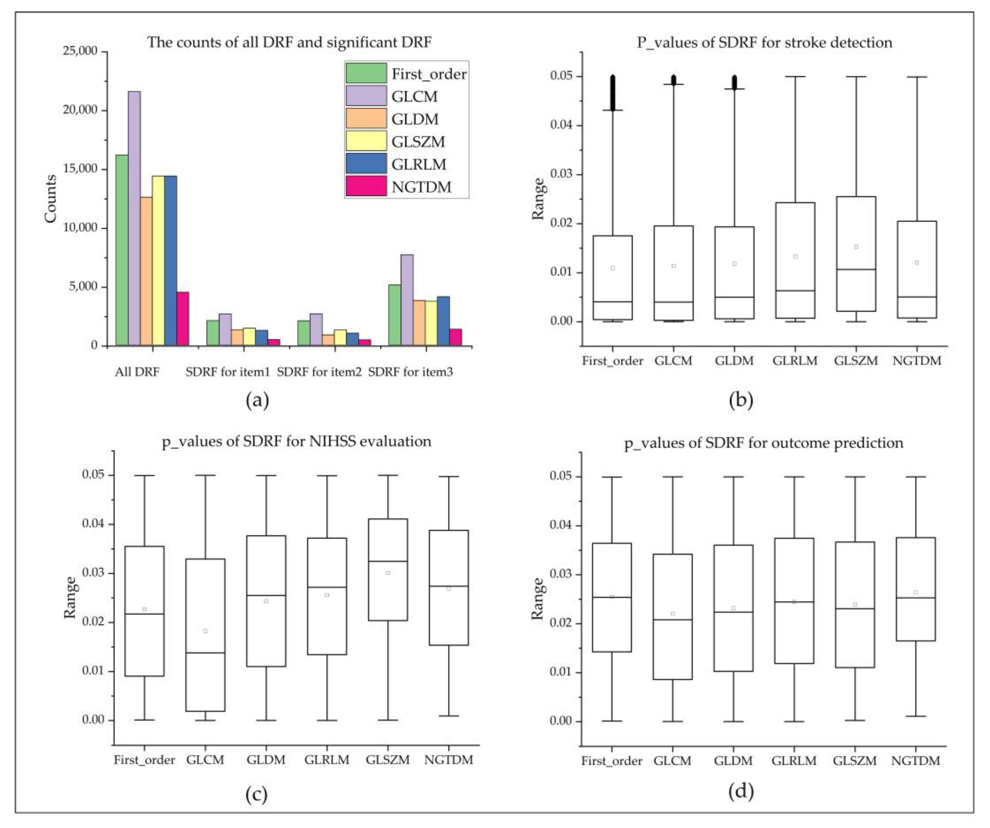
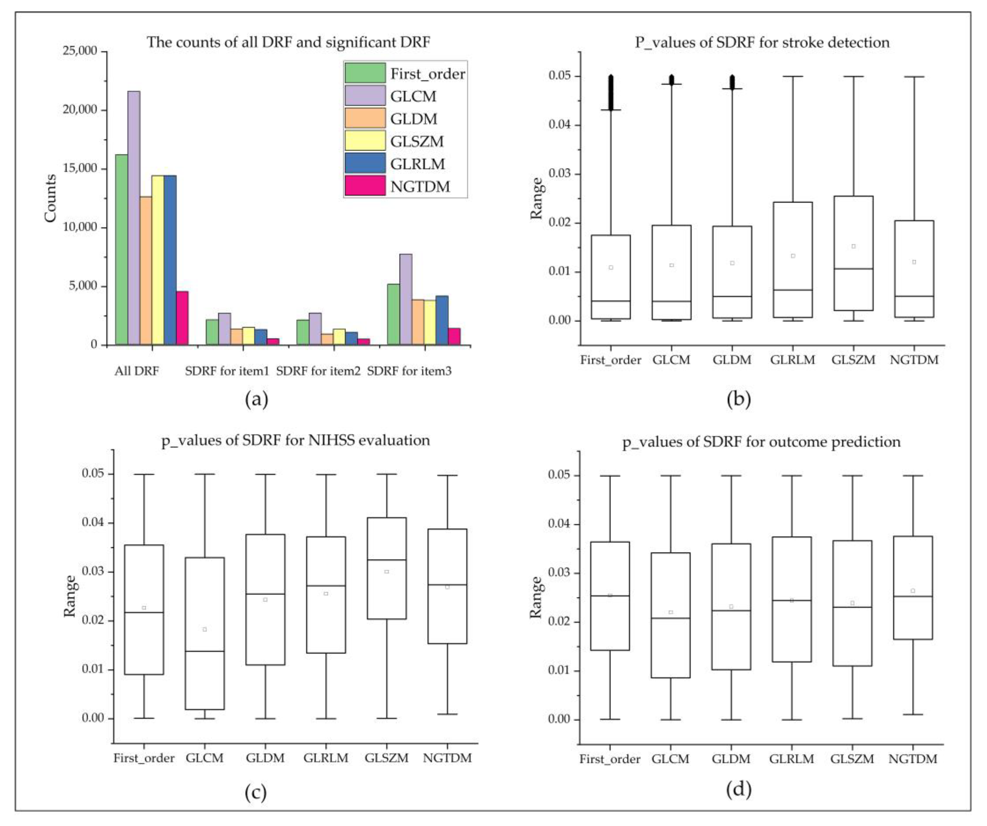
3.2.1. Significant DRF for Three Evaluation Items
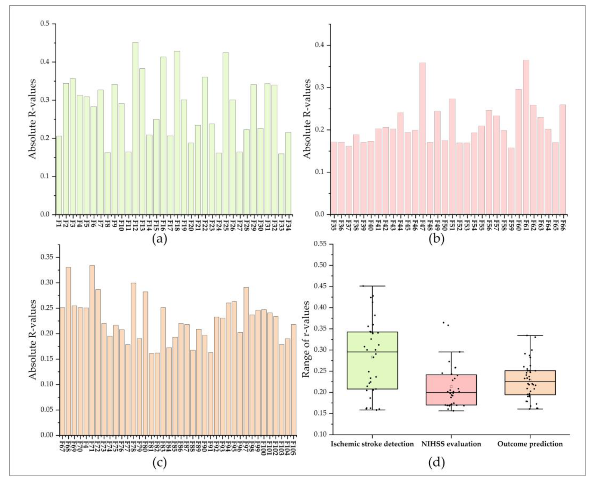
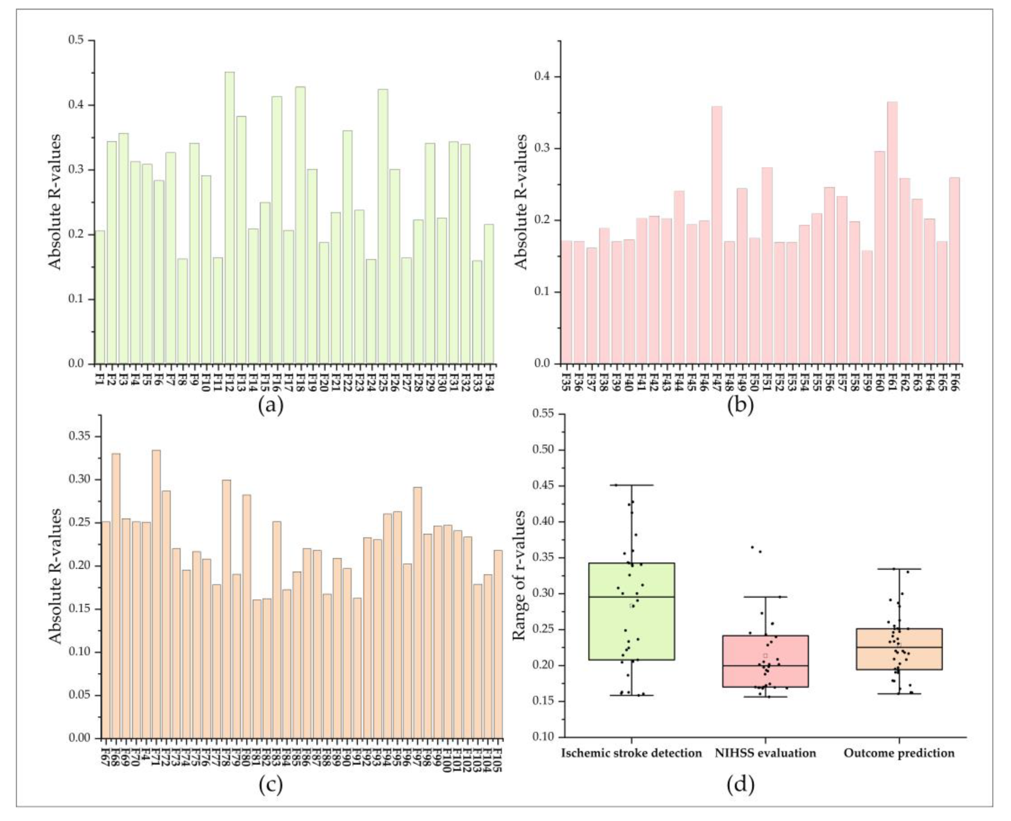
3.2.2. Selected Outstanding DRF for Three Evaluation Items
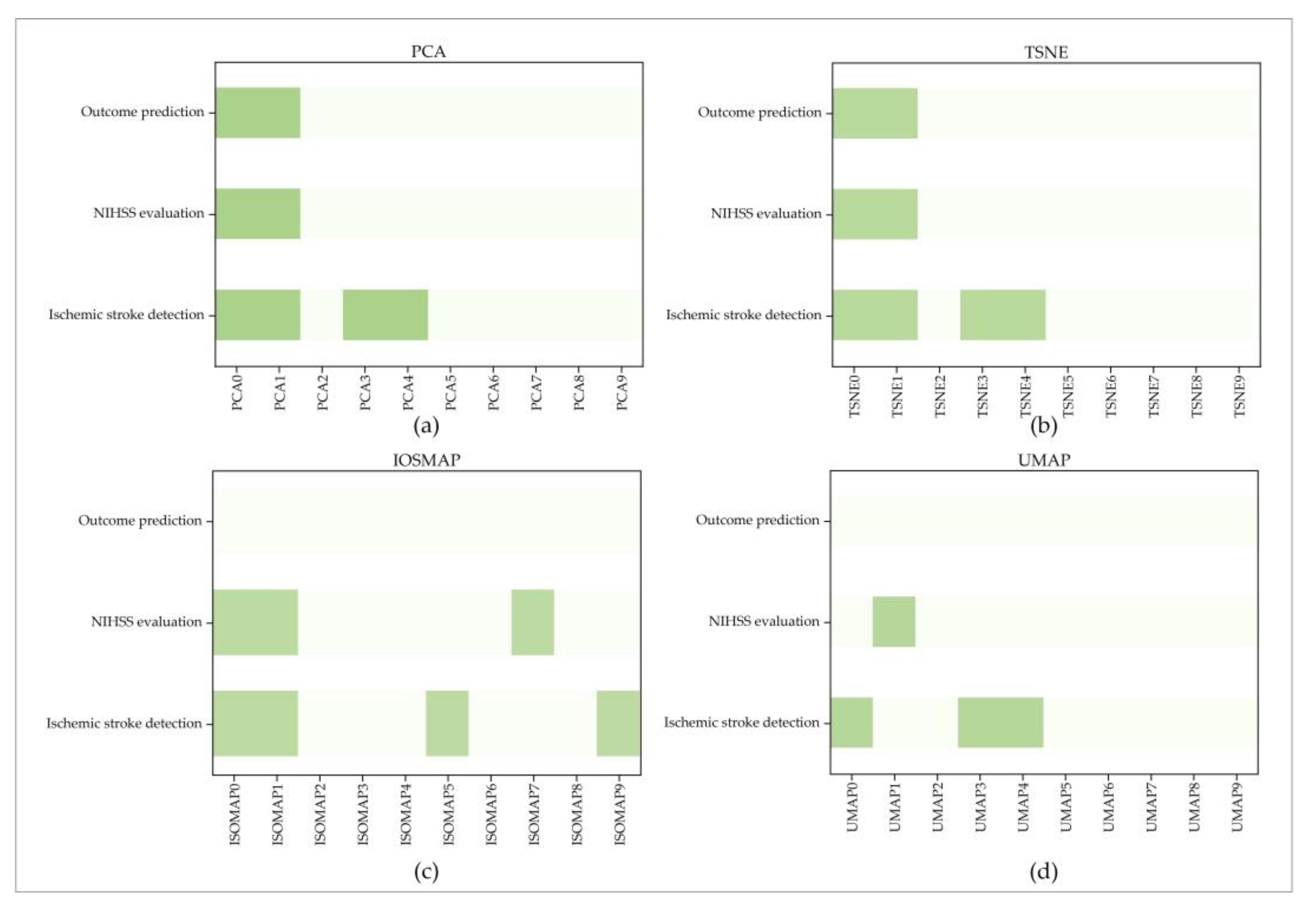
3.2.3. Dimension-Reduction DRF Obtained from Five Dimension-Reduction Algorithms
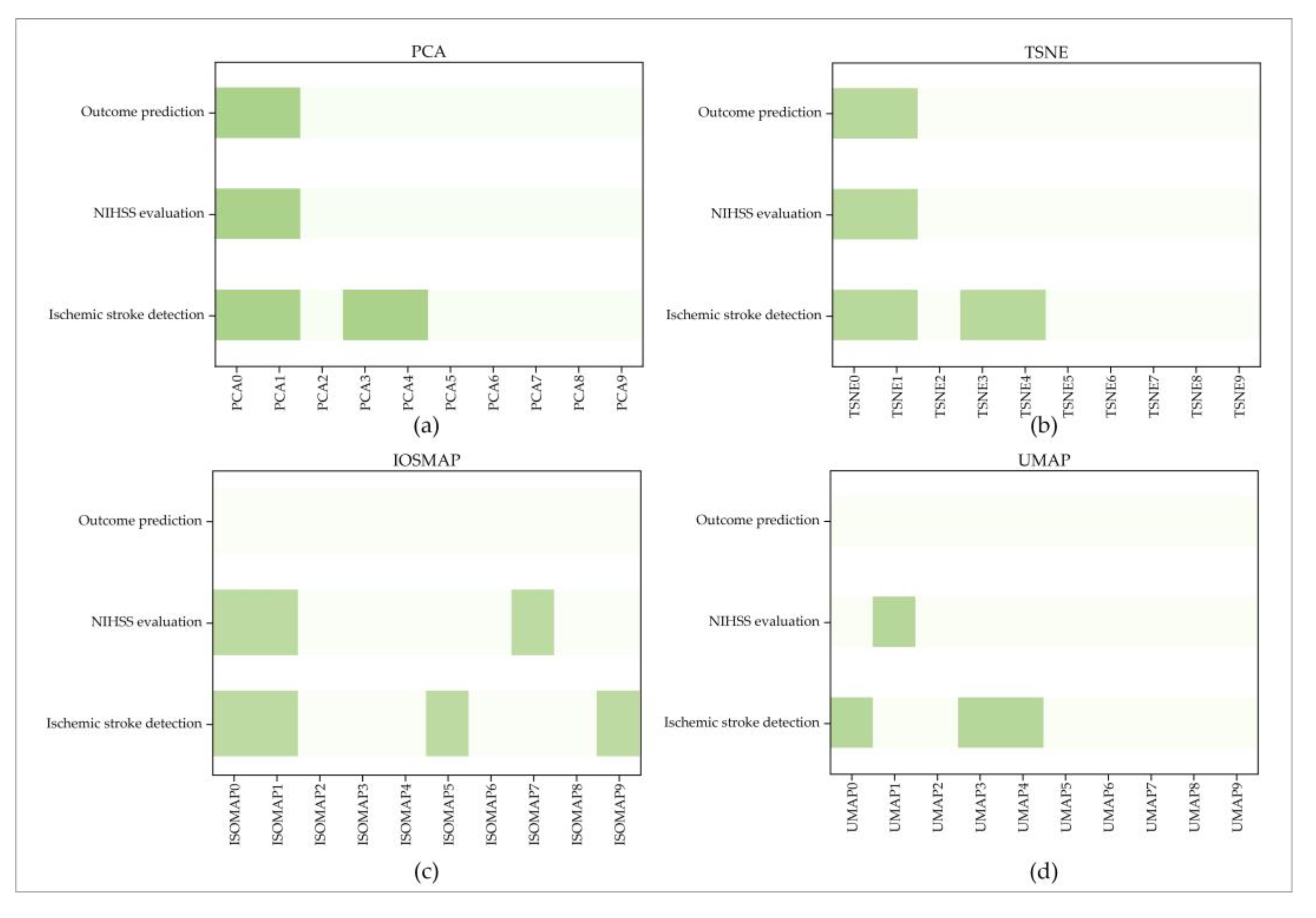
3.2.4. Selected Outstanding Dimension-Reduction DRF
3.3. Performance of Four Experimental Groups
4. Discussion
5. Conclusions
Author Contributions
Funding
Institutional Review Board Statement
Informed Consent Statement
Data Availability Statement
Acknowledgments
Conflicts of Interest
References
- Puzio, M.; Moreton, N.; O’Connor, J.J. Neuroprotective Strategies for Acute Ischemic Stroke: Targeting Oxidative Stress and Prolyl Hydroxylase Domain Inhibition in Synaptic Signalling. Brain Disord. 2022, 5, 100030. [Google Scholar] [CrossRef]
- Rha, J.H.; Saver, J.L. The impact of recanalization on ischemic stroke outcome: A meta-analysis. Stroke 2007, 38, 967–973. [Google Scholar] [CrossRef] [PubMed]
- Zaidat, O.O.; Suarez, J.I.; Sunshine, J.L.; Tarr, R.W.; Alexander, M.J.; Smith, T.P.; Enterline, D.S.; Selman, W.R.; Dennis, D.M. Thrombolytic therapy of acute ischemic stroke: Correlation of angiographic recanalization with clinical outcome. Am. J. Neuroradiol. 2005, 26, 880–884. [Google Scholar]
- Kaur, M.; Sakhare, S.R.; Wanjale, K.; Akter, F. Early stroke prediction methods for prevention of strokes. Behav. Neurol. 2022, 2022, 7725597. [Google Scholar] [CrossRef]
- Hinman, J.D.; Rost, N.S.; Leung, T.W.; Montaner, J.; Muir, K.W.; Brown, S.; Arenillas, J.F.; Feldmann, E.; Liebeskind, D.S. Principles of precision medicine in stroke. J. Neurol. Neurosurg. Psychiatry 2017, 88, 54–61. [Google Scholar] [CrossRef]
- Baird, A.E.; Dambrosia, J.; Janket, S.J.; Eichbaum, Q.; Chaves, C.; Silver, B.; Barber, P.A.; Parsons, M.; Darby, D.; Davis, S.; et al. A three-item scale for the early prediction of stroke recovery. Lancet 2001, 357, 2095–2099. [Google Scholar] [CrossRef]
- Ogoh, S.; Tarumi, T. Cerebral blood flow regulation and cognitive function: A role of arterial baroreflex function. J. Physiol. Sci. 2019, 69, 813–823. [Google Scholar] [CrossRef]
- You, W.; Andescavage, N.N.; Kapse, K.; Donofrio, M.T.; Jacobs, M.; Limperopoulos, C. Hemodynamic responses of the placenta and brain to maternal hyperoxia in fetuses with congenital heart disease by using blood oxygen–level dependent MRI. Radiology 2020, 294, 141. [Google Scholar] [CrossRef]
- Conti, E.; Piccardi, B.; Sodero, A.; Tudisco, L.; Lombardo, I.; Fainardi, E.; Nencini, P.; Sarti, C.; Allegra Mascaro, A.L.; Baldereschi, M. Translational Stroke Research Review: Using the Mouse to Model Human Futile Recanalization and Reperfusion Injury in Ischemic Brain Tissue. Cells 2021, 10, 3308. [Google Scholar] [CrossRef]
- Lv, Y.; Zhang, Y.; Wu, J. Diffusion-Weighted Imaging Image Combined with Transcranial Doppler Ultrasound in the Diagnosis of Patients with Cerebral Infarction and Vertigo. Contrast Media Mol. Imaging 2022, 2022, 5313238. [Google Scholar] [CrossRef]
- Guyon, J.; Chapouly, C.; Andrique, L.; Bikfalvi, A.; Daubon, T. The normal and brain tumor vasculature: Morphological and functional characteristics and therapeutic targeting. Front. Physiol. 2021, 12, 622615. [Google Scholar] [CrossRef] [PubMed]
- Arvanitis, C.D.; Ferraro, G.B.; Jain, R.K. The blood–brain barrier and blood–tumour barrier in brain tumours and metastases. Nat. Rev. Cancer 2020, 20, 26–41. [Google Scholar] [CrossRef] [PubMed]
- Gregori-Pla, C.; Blanco, I.; Camps-Renom, P.; Zirak, P.; Serra, I.; Cotta, G.; Maruccia, F.; Prats-Sánchez, L.; Martínez-Domeño, A.; Busch, D.R.; et al. Early microvascular cerebral blood flow response to head-of-bed elevation is related to outcome in acute ischemic stroke. J. Neurol. 2019, 266, 990–997. [Google Scholar] [CrossRef] [PubMed]
- Demeestere, J.; Wouters, A.; Christensen, S.; Lemmens, R.; Lansberg, M.G. Review of perfusion imaging in acute ischemic stroke: From time to tissue. Stroke 2020, 51, 1017–1024. [Google Scholar] [CrossRef] [PubMed]
- Kuriakose, D.; Xiao, Z. Pathophysiology and treatment of stroke: Present status and future perspectives. Int. J. Mol. Sci. 2020, 21, 7609. [Google Scholar] [CrossRef]
- De Jong, D.L.K.; de Heus, R.A.A.; Rijpma, A.; Donders, R.; Olde Rikkert, M.G.; Günther, M.; Lawlor, B.A.; van Osch, M.J.; Claassen, J.A. Effects of nilvadipine on cerebral blood flow in patients with Alzheimer disease: A randomized trial. Hypertension 2019, 74, 413–420. [Google Scholar] [CrossRef]
- De Heus RA, A.; de Jong DL, K.; Sanders, M.L.; van Spijker, G.J.; Oudegeest-Sander, M.H.; Hopman, M.T.; Lawlor, B.A.; Rikkert, M.G.M.O.; Claassen, J.A.H.R. Dynamic regulation of cerebral blood flow in patients with Alzheimer disease. Hypertension 2018, 72, 139–150. [Google Scholar] [CrossRef]
- Olivot, J.M.; Mlynash, M.; Vincent, N. Relationships between cerebral perfusion and reversibility of acute diffusion lesions in DEFUSE: Insights from RADAR. Stroke 2009, 40, 1692–1697. [Google Scholar] [CrossRef]
- Wang, Y.R.; Li, Z.S.; Huang, W.; Yang, H.Q.; Gao, B.; Chen, Y.T. The value of susceptibility-weighted imaging (SWI) in evaluating the ischemic penumbra of patients with acute cerebral ischemic stroke. Neuropsychiatr. Dis. Treat. 2021, 17, 1745. [Google Scholar] [CrossRef]
- Ermine, C.M.; Bivard, A.; Parsons, M.W.; Baron, J. The ischemic penumbra: From concept to reality. Int. J. Stroke 2021, 16, 497–509. [Google Scholar] [CrossRef]
- Fischer, U.; Arnold, M.; Nedeltchev, K.; Brekenfeld, C.; Ballinari, P.; Remonda, L.; Schroth, G.; Mattle, H.P. NIHSS score and arteriographic findings in acute ischemic stroke. Stroke 2005, 36, 2121–2125. [Google Scholar] [CrossRef] [Green Version]
- Kwah, L.K.; Diong, J. National institutes of health stroke scale (NIHSS). J. Physiother. 2014, 60, 61. [Google Scholar] [CrossRef] [PubMed]
- Martin-Schild, S.; Albright, K.C.; Tanksley, J.; Pandav, V.; Jones, E.B.; Grotta, J.C.; Savitz, S.I. Zero on the NIHSS does not equal the absence of stroke. Ann. Emerg. Med. 2011, 57, 42–45. [Google Scholar] [CrossRef] [PubMed]
- Ahuja, A.S. The impact of artificial intelligence in medicine on the future role of the physician. PeerJ 2019, 7, e7702. [Google Scholar] [CrossRef] [PubMed]
- Lea-Pereira, M.C.; Amaya-Pascasio, L.; Martínez-Sánchez, P.; Rodríguez Salvador, M.D.M.; Galván-Espinosa, J.; Téllez-Ramírez, L.; Reche-Lorite, F.; Sánchez, M.-J.; García-Torrecillas, J.M. Predictive Model and Mortality Risk Score during Admission for Ischaemic Stroke with Conservative Treatment. Int. J. Environ. Res. Public Health 2022, 19, 3182. [Google Scholar] [CrossRef]
- Xie, Y.; Jiang, B.; Gong, E.; Li, Y.; Zhu, G.; Michel, P.; Wintermark, M.; Zaharchuk, G. Use of gradient boosting machine learning to predict patient outcome in acute ischemic stroke on the basis of imaging, demographic, and clinical information. Am. J. Roentgenol. 2019, 212, 44–51. [Google Scholar] [CrossRef]
- Brugnara, G.; Neuberger, U.; Mahmutoglu, M.A.; Foltyn, M.; Herweh, C.; Nagel, S.; Schönenberger, S.; Heiland, S.; Ulfert, C.; Ringleb, P.A.; et al. Multimodal predictive modeling of endovascular treatment outcome for acute ischemic stroke using machine-learning. Stroke 2020, 51, 3541–3551. [Google Scholar] [CrossRef]
- Brooks, S.D.; Spears, C.; Cummings, C.; VanGilder, R.L.; Stinehart, K.R.; Gutmann, L.; Domico, J.; Culp, S.; Carpenter, J.; Rai, A.; et al. Admission neutrophil–lymphocyte ratio predicts 90 day outcome after endovascular stroke therapy. J. Neurointerv. Surg. 2014, 6, 578–583. [Google Scholar] [CrossRef]
- Barrett, K.M.; Ding, Y.H.; Wagner, D.P.; Kallmes, D.F.; Johnston, K.C. Change in diffusion-weighted imaging infarct volume predicts neurologic outcome at 90 days: Results of the Acute Stroke Accurate Prediction (ASAP) trial serial imaging substudy. Stroke 2009, 40, 2422–2427. [Google Scholar] [CrossRef]
- Isensee, F.; Kickingereder, P.; Wick, W.; Bendszus, M.; Maier-Hein, K.H. Brain tumor segmentation and radiomics survival prediction: Contribution to the brats. In Proceedings of the International MICCAI Brainlesion Workshop, Quebec City, QC, Canada, 14 September 2017; Springer: Berlin, Germany, 2017; pp. 287–297. [Google Scholar]
- Zhou, M.; Scott, J.; Chaudhury, B.; Hall, L.; Goldgof, D.; Yeom, K.W.; Iv, M.; Ou, Y.; Kalpathy-Cramer, J.; Napel, S.; et al. Radiomics in brain tumor: Image assessment, quantitative feature descriptors, and machine-learning approaches. Am. J. Neuroradiol. 2018, 39, 208–216. [Google Scholar] [CrossRef]
- Zhu, H.; Jiang, L.; Zhang, H.; Luo, L.; Chen, Y.; Chen, Y. An automatic machine learning approach for ischemic stroke onset time identification based on DWI and FLAIR imaging. NeuroImage Clin. 2021, 31, 102744. [Google Scholar] [CrossRef] [PubMed]
- Gillies, R.J.; Kinahan, P.E.; Hricak, H. Radiomics: Images are more than pictures, they are data. Radiology 2016, 278, 563–577. [Google Scholar] [CrossRef] [PubMed]
- Gatenby, R.A.; Grove, O.; Gillies, R.J. Quantitative imaging in cancer evolution and ecology. Radiology 2013, 269, 8–14. [Google Scholar] [CrossRef] [PubMed]
- Lambin, P.; Leijenaar, R.T.H.; Deist, T.M.; Peerlings, J.; de Jong, E.E.C.; van Timmeren, J.; Sanduleanu, S.; Larue, R.T.H.M.; Even, A.J.G.; Jochems, A.; et al. Radiomics: The bridge between medical imaging and personalized medicine. Nat. Rev. Clin. Oncol. 2017, 14, 749–762. [Google Scholar] [CrossRef]
- Chen, Q.; Xia, T.; Zhang, M.; Xia, N.; Liu, J.; Yang, Y. Radiomics in Stroke Neuroimaging: Techniques, Applications, and Challenges. Aging Dis. 2021, 12, 143–154. [Google Scholar] [CrossRef] [PubMed]
- Yang, Y.; Li, W.; Kang, Y.; Guo, Y.; Yang, K.; Li, Q.; Liu, Y.; Yang, C.; Chen, R.; Chen, H.; et al. A novel lung radiomics feature for characterizing resting heart rate and COPD stage evolution based on radiomics feature combination strategy. Math. Biosci. Eng. 2022, 19, 4145–4165. [Google Scholar] [CrossRef] [PubMed]
- Ortiz-Ramón, R.; Hernández, M.D.C.V.; González-Castro, V.; Makin, S.; Armitage, P.A.; Aribisala, B.S.; Bastin, M.E.; Deary, I.J.; Wardlaw, J.M.; Moratal, D. Identification of the presence of ischaemic stroke lesions by means of texture analysis on brain magnetic resonance images. Comput. Med. Imaging Graph. 2019, 74, 12–24. [Google Scholar] [CrossRef]
- Tang, T.-Y.; Jiao, Y.; Cui, Y.; Zhao, D.-L.; Zhang, Y.; Wang, Z.; Meng, X.-P.; Yin, X.-D.; Yang, Y.-J.; Teng, G.-J.; et al. Penumbra-based radiomics signature as prognostic biomarkers for thrombolysis of acute ischemic stroke patients: A multicenter cohort study. J. Neurol. 2020, 267, 1454–1463. [Google Scholar] [CrossRef]
- Guo, Y.; Yang, Y.; Cao, F.; Li, W.; Wang, M.; Luo, Y.; Guo, J.; Zaman, A.; Zeng, X.; Miu, X.; et al. Novel Survival Features Generated by Clinical Text Information and Radiomics Features May Improve the Prediction of Ischemic Stroke Outcome. Diagnostics 2022, 12, 1664. [Google Scholar] [CrossRef]
- Wang, H.; Sun, Y.; Ge, Y.; Wu, P.-Y.; Lin, J.; Zhao, J.; Song, B. A Clinical-Radiomics Nomogram for Functional Outcome Predictions in Ischemic Stroke. Neurol. Ther. 2021, 10, 819–832. [Google Scholar] [CrossRef]
- Sohn, J.; Jung, I.Y.; Ku, Y.; Kim, Y. Machine-learning-based rehabilitation prognosis prediction in patients with ischemic stroke using brainstem auditory evoked potential. Diagnostics 2021, 11, 673. [Google Scholar] [CrossRef] [PubMed]
- Studholme, C.; Hill, D.; Hawkes, D. An overlap invariant entropy measure of 3D medical image alignment. Pattern Recognit. 1999, 32, 71–86. [Google Scholar] [CrossRef]
- Smith, S.M.; Jenkinson, M.; Woolrich, M.W.; Beckmann, C.F.; Behrens, T.E.; Johansen-Berg, H.; Bannister, P.R.; De Luca, M.; Drobnjak, I.; Flitney, D.E.; et al. Advances in functional and structural MR image analysis and implementation as FSL. Neuroimage 2004, 23, S208–S219. [Google Scholar] [CrossRef] [PubMed]
- Fan, S.; Bian, Y.; Wang, E.; Kang, Y.; Wang, D.; Yang, Q.; Ji, X. An Automatic Estimation of Arterial Input Function Based on Multi-Stream 3D CNN. Front. Neuroinform. 2019, 13, 49. [Google Scholar] [CrossRef]
- Van Griethuysen, J.J.M.; Fedorov, A.; Parmar, C.; Hosny, A.; Aucoin, N.; Narayan, V.; Beets-Tan, R.G.H.; Fillion-Robin, J.-C.; Pieper, S.; Aerts, H.J.W.L. Computational Radiomics System to Decode the Radiographic Phenotype. Cancer Res. 2017, 77, e104–e107. [Google Scholar] [CrossRef]
- Zhang, Y.; Zhang, B.; Liang, F.; Liang, S.; Zhang, Y.; Yan, P.; Ma, C.; Liu, A.; Guo, F.; Jiang, C. Radiomics features on non-contrast-enhanced CT scan can precisely classify AVM-related hematomas from other spontaneous intraparenchymal hematoma types. Eur. Radiol. 2019, 29, 2157–2165. [Google Scholar] [CrossRef]
- Ghosh, P.; Azam, S.; Jonkman, M.; Karim, A.; Shamrat, F.J.M.; Ignatious, E.; Shultana, S.; Beeravolu, A.B.; De Boer, F. Efficient prediction of cardiovascular disease using machine learning algorithms with relief and LASSO feature selection techniques. IEEE Access 2021, 9, 19304–19326. [Google Scholar] [CrossRef]
- Muthukrishnan, R.; Rohini, R. LASSO: A feature selection technique in predictive modeling for machine learning. In Proceedings of the IEEE International Conference on Advances in Computer Applications (ICACA), Coimbatore, India, 24 October 2016. [Google Scholar] [CrossRef]
- Ezzeddine, M.A.; Lev, M.H.; McDonald, C.T.; Rordorf, G.; Oliveira-Filho, J.; Aksoy, F.G.; Farkas, J.; Segal, A.Z.; Segal, L.H.; Schwamm, R.; et al. CT angiography with whole brain perfused blood volume imaging: Added clinical value in the assessment of acute stroke. Stroke 2002, 33, 959–966. [Google Scholar] [CrossRef]
- Chawla, M.; Sharma, S.; Sivaswamy, J.; Kishore, L. A method for automatic detection and classification of stroke from brain CT images. In Proceedings of the Annual International Conference of the IEEE Engineering in Medicine and Biology Society, Minneapolis, MN, USA, 3–6 September 2009. [Google Scholar] [CrossRef]
- Edlow, B.L.; Hurwitz, S.; Edlow, J.A. Diagnosis of DWI-negative acute ischemic stroke: A meta-analysis. Neurology 2017, 89, 256–262. [Google Scholar] [CrossRef]
- Lansberg, M.G.; Albers, G.W.; Beaulieu, C.; Marks, M.P. Comparison of diffusion-weighted MRI and CT in acute stroke. Neurology 2000, 54, 1557–1561. [Google Scholar] [CrossRef]
- Abdelgawad, E.A.; Amin, M.F.; Abdellatif, A.; Mourad, M.A.; Abusamra, M.F. Value of susceptibility weighted imaging (SWI) in assessment of intra-arterial thrombus in patients with acute ischemic stroke. Egypt. J. Radiol. Nucl. Med. 2021, 52, 270. [Google Scholar] [CrossRef]
- Zhang, S.; Yao, Y.; Zhang, S.; Zhu, W.; Tang, X.; Yu, Q.; Zhao, L.; Liu, C.; Zhu, W. Comparative study of DSC-PWI and 3D-ASL in ischemic stroke patients. J. Huazhong Univ. Sci. Technol. Med. Sci. 2015, 35, 923–927. [Google Scholar] [CrossRef] [PubMed]
- Barber, P.A.; Darby, D.G.; Desmond, P.M.; Yang, Q.; Gerraty, R.P.; Jolley, D.; Donnan, G.A.; Tress, B.M.; Davis, S.M. Prediction of stroke outcome with echoplanar perfusion-and diffusion-weighted MRI. Neurology 1998, 51, 418–426. [Google Scholar] [CrossRef] [PubMed]
- Dejobert, M.; Cazals, X.; Annan, M.; Debiais, S.; Lauvin, M.; Cottier, J. Susceptibility–diffusion mismatch in hyperacute stroke: Correlation with perfusion–diffusion mismatch and clinical outcome. J. Stroke Cerebrovasc. Dis. 2016, 25, 1760–1766. [Google Scholar] [CrossRef] [PubMed]
- Beaulieu, C.; De Crespigny, A.; Tong, D.C.; Moseley, M.E.; Albers, G.W.; Marks, M.P. Longitudinal magnetic resonance imaging study of perfusion and diffusion in stroke: Evolution of lesion volume and correlation with clinical outcome. Ann. Neurol. Off. J. Am. Neurol. Assoc. Child Neurol. Society 1999, 46, 568–578. [Google Scholar] [CrossRef]
- Bruno, A.; Saha, C.; Williams, L.S. Percent change on the National Institutes of Health Stroke Scale: A useful acute stroke outcome measure. J. Stroke Cerebrovasc. Dis. 2009, 18, 56–59. [Google Scholar] [CrossRef]
- Kasner, S.E. Clinical interpretation and use of stroke scales. Lancet Neurol. 2006, 5, 603–612. [Google Scholar] [CrossRef]
- Fernandez-Lozano, C.; Hervella, P.; Mato-Abad, V.; Rodríguez-Yáñez, M.; Suárez-Garaboa, S.; López-Dequidt, I.; Estany-Gestal, A.; Sobrino, T.; Campos, F.; Castillo, J.; et al. Random forest-based prediction of stroke outcome. Sci. Rep. 2021, 11, 10071. [Google Scholar] [CrossRef]
- Wu, X.; Wang, H.; Chen, F.; Jin, L.; Li, J.; Feng, Y.; DeKeyzer, F.; Yu, J.; Marchal, G.; Ni, Y. Rat model of reperfused partial liver infarction: Characterization with multiparametric magnetic resonance imaging, microangiography, and histomorphology. Acta Radiol. 2009, 50, 276–287. [Google Scholar] [CrossRef]
- Bonkhoff, A.K.; Xu, T.; Nelson, A.; Gray, R.; Jha, A.; Cardoso, J.; Ourselin, S.; Hans, G.R.; Jäger, R.; Nachev, P. Reclassifying stroke lesion anatomy. Cortex 2021, 145, 1–12. [Google Scholar] [CrossRef]
- Nanga, S.; Bawah, A.T.; Acquaye, B.A.; Billa, M.; Baeta, F.D.; Odai, N.A.; Obeng, S.K.; Nsiah, A.D. Review of Dimension Reduction Methods. J. Data Anal. Inf. Process. 2021, 9, 189–231. [Google Scholar] [CrossRef]






| Patient Information | Scanning Parameters of DSC-PWI Images | ||
|---|---|---|---|
| Numbers of patients | 88 | TE/TR | 32/1590 ms |
| Datasets (sets) | 156 | Matrix | 256 × 256 |
| Image with ischemic stroke (%) | 78 (50%) | FOV | 230 × 230 mm2 |
| image of outcome patient (%) | 73 (46.8%) | Thickness | 5 mm |
| Female (%) | 39 (25%) | Number of measurements | 50 |
| Age (Mean ± Std) | 9.919 ± 6.747 | Spacing between slices | 6.5 mm |
| NIHSS (Mean ± Std) | 6.275 ± 6.875 | Pixel bandwidth | 1347 Hz/pixel |
| 90-day mRS | 38 (47.5%) | Number of slices | 20 |
| Method | Implementation in Python 3.6 |
|---|---|
| Lasso | LassoCV (alphas = alphas, cv = 10, max_iter = 100,000, normalize = False). fit (features, targets) |
| PCA | sklearn.decomposition.PCA (svd_solver = ‘auto’, n_components = num_fea) |
| ICA | sklearn.decomposition.FastICA (n_components = num_fea, random_state = 12, max_iter = 1,000,000) |
| tSNE | sklearn.manifold.TSNE (n_components = num_fea, init = ‘pca’, random_state = 12, method = ‘exact’) |
| UMAP | umap.UMAP (n_neighbors = 5, min_dist = 0.3, n_components = num_fea). fit_transform(features) |
| ISOMAP | sklearn.manifold.Isomap (n_neighbors = 5, n_components = num_fea, n_jobs = −1). fit_transform(features) |
| Model | Definition in Python 3.6 |
|---|---|
| SVM | sklearn.svm.SVC (kernel = ‘rbf’, probability = True) |
| DT | sklearn.tree. DecisionTreeClassifier () |
| Ada | sklearn.ensemble.AdaBoostClassifier () |
| NN | sklearn.neural_network. MLPClassifier (hidden_layer_sizes = (400, 100), alpha = 0.01, max_iter = 10,000) |
| RF | sklearn.ensemble.RandomForestClassifier (n_estimators = 200) |
| KNN | sklearn.neighbors. sklearn.neighbors () |
| LR | sklearn.linear_model.logisticRegressionCV(max_iter = 100,000, solver = “liblinear”) |
| DA | sklearn.discriminant_analysis () |
| GBDT | sklearn.ensemble.GradientBoostingClassifier () |
| NB | sklearn.naive_bayes. GaussianNB () |
| Ground Truth | Ischemic Stroke | NIHSS | 90-Day mRS |
|---|---|---|---|
| 1 | 78 | 61 | 55 |
| 0 | 78 | 95 | 101 |
| Item | Feature Group | Significant DRF | Mean | Std | Min | Medium | Max |
|---|---|---|---|---|---|---|---|
| Stroke detection | First_order | 5118 | 0.0109 | 0.0139 | <0.0001 | 0.0041 | 0.0500 |
| GLCM | 7698 | 0.0114 | 0.0143 | <0.0001 | 0.0040 | 0.0500 | |
| GLDM | 3800 | 0.0118 | 0.0142 | <0.0001 | 0.0050 | 0.0500 | |
| GLRLM | 4117 | 0.0133 | 0.0149 | <0.0001 | 0.0063 | 0.0500 | |
| GLSZM | 3737 | 0.0153 | 0.0148 | <0.0001 | 0.0107 | 0.0500 | |
| NGTDM | 1352 | 0.0121 | 0.0145 | <0.0001 | 0.0050 | 0.0499 | |
| NIHSS evaluation | First_order | 2061 | 0.0227 | 0.0146 | 0.0001 | 0.0217 | 0.0500 |
| GLCM | 2655 | 0.0183 | 0.0166 | <0.0001 | 0.0138 | 0.0500 | |
| GLDM | 866 | 0.0243 | 0.0154 | <0.0001 | 0.0255 | 0.0500 | |
| GLRLM | 1016 | 0.0256 | 0.0144 | <0.0001 | 0.0272 | 0.0499 | |
| GLSZM | 1289 | 0.0300 | 0.0135 | 0.0001 | 0.0325 | 0.0500 | |
| NGTDM | 437 | 0.0269 | 0.0136 | 0.0009 | 0.0274 | 0.0498 | |
| Outcome prediction | First_order | 2089 | 0.0255 | 0.0137 | 0.0001 | 0.0254 | 0.0499 |
| GLCM | 2650 | 0.0220 | 0.0147 | <0.0001 | 0.0208 | 0.0500 | |
| GLDM | 1304 | 0.0232 | 0.0148 | <0.0001 | 0.0224 | 0.0500 | |
| GLRLM | 1254 | 0.0244 | 0.0147 | <0.0001 | 0.0244 | 0.0500 | |
| GLSZM | 1439 | 0.0239 | 0.0143 | 0.0002 | 0.0231 | 0.0500 | |
| NGTDM | 467 | 0.0264 | 0.0127 | 0.0011 | 0.0253 | 0.0500 |
| Item | Classifier | Lasso | PCA | TSNE | UMAP | ICA | IOSMAP | t-Test |
|---|---|---|---|---|---|---|---|---|
| Stroke detection | SVM | 0.861 | 0.691 | 0.691 | 0.710 | 0.686 | 0.731 | 0.716 |
| nn | 0.861 | 0.680 | 0.634 | 0.680 | 0.666 | 0.646 | 0.713 | |
| RF | 0.783 | 0.711 | 0.666 | 0.660 | 0.688 | 0.704 | 0.698 | |
| DT | 0.662 | 0.615 | 0.596 | 0.613 | 0.632 | 0.647 | 0.601 | |
| KNN | 0.873 | 0.669 | 0.669 | 0.692 | 0.666 | 0.705 | 0.719 | |
| Ada | 0.797 | 0.642 | 0.642 | 0.639 | 0.739 | 0.669 | 0.679 | |
| LR | 0.854 | 0.704 | 0.704 | 0.723 | 0.729 | 0.699 | 0.723 | |
| NB | 0.840 | 0.639 | 0.639 | 0.722 | 0.646 | 0.685 | 0.653 | |
| GBDT | 0.791 | 0.659 | 0.685 | 0.648 | 0.677 | 0.683 | 0.687 | |
| DA | 0.867 | 0.710 | 0.710 | 0.722 | 0.710 | 0.692 | 0.731 | |
| NIHSS evaluation | SVM | 0.727 | 0.482 | 0.482 | 0.500 | 0.528 | 0.492 | 0.500 |
| nn | 0.743 | 0.619 | 0.562 | 0.464 | 0.610 | 0.533 | 0.652 | |
| RF | 0.692 | 0.548 | 0.521 | 0.486 | 0.504 | 0.533 | 0.587 | |
| DT | 0.663 | 0.587 | 0.568 | 0.521 | 0.494 | 0.557 | 0.603 | |
| KNN | 0.677 | 0.523 | 0.523 | 0.428 | 0.522 | 0.480 | 0.536 | |
| Ada | 0.731 | 0.526 | 0.526 | 0.491 | 0.476 | 0.597 | 0.574 | |
| LR | 0.795 | 0.532 | 0.532 | 0.496 | 0.512 | 0.568 | 0.629 | |
| NB | 0.755 | 0.527 | 0.527 | 0.618 | 0.607 | 0.649 | 0.667 | |
| GBDT | 0.687 | 0.513 | 0.509 | 0.531 | 0.518 | 0.527 | 0.606 | |
| DA | 0.783 | 0.541 | 0.541 | 0.489 | 0.541 | 0.574 | 0.607 | |
| Outcome prediction | SVM | 0.818 | 0.546 | 0.546 | 0.500 | 0.549 | 0.573 | 0.576 |
| nn | 0.766 | 0.551 | 0.554 | 0.635 | 0.605 | 0.646 | 0.647 | |
| RF | 0.684 | 0.553 | 0.526 | 0.572 | 0.540 | 0.588 | 0.578 | |
| DT | 0.595 | 0.515 | 0.525 | 0.596 | 0.550 | 0.592 | 0.521 | |
| KNN | 0.694 | 0.592 | 0.592 | 0.584 | 0.553 | 0.667 | 0.638 | |
| Ada | 0.681 | 0.504 | 0.504 | 0.525 | 0.562 | 0.622 | 0.553 | |
| LR | 0.797 | 0.546 | 0.546 | 0.503 | 0.510 | 0.559 | 0.679 | |
| NB | 0.818 | 0.526 | 0.526 | 0.616 | 0.606 | 0.597 | 0.664 | |
| GBDT | 0.681 | 0.544 | 0.561 | 0.562 | 0.580 | 0.618 | 0.593 | |
| DA | 0.676 | 0.563 | 0.563 | 0.508 | 0.563 | 0.556 | 0.571 |
| Classifier | Lasso + PCA | Lasso + TSNE | Lasso + UMAP | Lasso + ICA | Lasso + IOSMAP | |
|---|---|---|---|---|---|---|
| Stroke detection | SVM | 0.691 | 0.691 | 0.840 | 0.861 | 0.731 |
| nn | 0.730 | 0.685 | 0.848 | 0.842 | 0.743 | |
| RF | 0.808 | 0.802 | 0.796 | 0.808 | 0.809 | |
| DT | 0.684 | 0.700 | 0.648 | 0.682 | 0.641 | |
| KNN | 0.669 | 0.669 | 0.853 | 0.873 | 0.705 | |
| Ada | 0.766 | 0.766 | 0.772 | 0.784 | 0.753 | |
| LR | 0.899 | 0.905 | 0.873 | 0.874 | 0.874 | |
| NB | 0.847 | 0.847 | 0.820 | 0.839 | 0.846 | |
| GBDT | 0.790 | 0.790 | 0.778 | 0.758 | 0.777 | |
| DA | 0.893 | 0.893 | 0.843 | 0.893 | 0.837 | |
| NIHSS evaluation | SVM | 0.482 | 0.482 | 0.658 | 0.727 | 0.492 |
| nn | 0.586 | 0.636 | 0.782 | 0.780 | 0.573 | |
| RF | 0.674 | 0.684 | 0.665 | 0.662 | 0.667 | |
| DT | 0.633 | 0.650 | 0.607 | 0.657 | 0.660 | |
| KNN | 0.536 | 0.536 | 0.622 | 0.677 | 0.480 | |
| Ada | 0.701 | 0.701 | 0.676 | 0.684 | 0.747 | |
| LR | 0.824 | 0.824 | 0.776 | 0.805 | 0.800 | |
| NB | 0.760 | 0.760 | 0.732 | 0.745 | 0.744 | |
| GBDT | 0.667 | 0.667 | 0.684 | 0.686 | 0.671 | |
| DA | 0.835 | 0.835 | 0.786 | 0.835 | 0.812 | |
| Outcome prediction | SVM | 0.555 | 0.555 | 0.732 | 0.818 | 0.573 |
| nn | 0.616 | 0.616 | 0.793 | 0.770 | 0.697 | |
| RF | 0.662 | 0.684 | 0.694 | 0.657 | 0.669 | |
| DT | 0.634 | 0.618 | 0.623 | 0.673 | 0.622 | |
| KNN | 0.594 | 0.594 | 0.639 | 0.694 | 0.667 | |
| Ada | 0.715 | 0.715 | 0.696 | 0.689 | 0.697 | |
| LR | 0.770 | 0.770 | 0.795 | 0.802 | 0.765 | |
| NB | 0.804 | 0.804 | 0.795 | 0.796 | 0.814 | |
| GBDT | 0.642 | 0.654 | 0.697 | 0.663 | 0.660 | |
| DA | 0.806 | 0.806 | 0.735 | 0.806 | 0.716 |
| Classifier | PCA_Lasso | TSNE_Lasso | UMAP_Lasso | IOSMAP_Lasso | |
|---|---|---|---|---|---|
| Stroke detection | SVM | 0.717 | 0.717 | 0.722 | 0.724 |
| nn | 0.634 | 0.633 | 0.704 | 0.707 | |
| RF | 0.670 | 0.677 | 0.705 | 0.742 | |
| DT | 0.618 | 0.598 | 0.652 | 0.672 | |
| KNN | 0.704 | 0.704 | 0.690 | 0.679 | |
| Ada | 0.647 | 0.647 | 0.588 | 0.704 | |
| LR | 0.742 | 0.742 | 0.748 | 0.712 | |
| NB | 0.658 | 0.658 | 0.737 | 0.717 | |
| GBDT | 0.665 | 0.633 | 0.665 | 0.716 | |
| DA | 0.730 | 0.730 | 0.730 | 0.718 | |
| NIHSS evaluation | SVM | 0.496 | 0.496 | 0.500 | 0.501 |
| nn | 0.550 | 0.613 | 0.524 | 0.557 | |
| RF | 0.645 | 0.655 | 0.536 | 0.502 | |
| DT | 0.602 | 0.627 | 0.536 | 0.534 | |
| KNN | 0.621 | 0.621 | 0.472 | 0.581 | |
| Ada | 0.618 | 0.618 | 0.433 | 0.532 | |
| LR | 0.550 | 0.550 | 0.482 | 0.574 | |
| NB | 0.570 | 0.570 | 0.492 | 0.580 | |
| GBDT | 0.641 | 0.660 | 0.507 | 0.514 | |
| DA | 0.541 | 0.541 | 0.508 | 0.554 | |
| Outcome prediction | SVM | 0.532 | 0.532 | ||
| nn | 0.573 | 0.575 | |||
| RF | 0.571 | 0.556 | |||
| DT | 0.524 | 0.506 | |||
| KNN | 0.555 | 0.555 | |||
| Ada | 0.505 | 0.505 | |||
| LR | 0.596 | 0.596 | |||
| NB | 0.577 | 0.577 | |||
| GBDT | 0.531 | 0.531 | |||
| DA | 0.591 | 0.591 |
| Classifier | Lasso + PCA_Lasso | Lasso + Tsne_Lasso | Lasso + UMAP_Lasso | Lasso + Iosmap_Lasso | |
|---|---|---|---|---|---|
| Stroke detection | SVM | 0.717 | 0.717 | 0.872 | 0.724 |
| nn | 0.795 | 0.803 | 0.861 | 0.732 | |
| RF | 0.809 | 0.802 | 0.796 | 0.814 | |
| DT | 0.623 | 0.663 | 0.614 | 0.662 | |
| KNN | 0.704 | 0.704 | 0.834 | 0.679 | |
| Ada | 0.776 | 0.776 | 0.773 | 0.766 | |
| LR | 0.905 | 0.905 | 0.873 | 0.887 | |
| NB | 0.847 | 0.847 | 0.833 | 0.847 | |
| GBDT | 0.790 | 0.778 | 0.772 | 0.770 | |
| DA | 0.925 | 0.925 | 0.862 | 0.874 | |
| NIHSS evaluation | SVM | 0.496 | 0.496 | 0.761 | 0.501 |
| nn | 0.788 | 0.735 | 0.777 | 0.741 | |
| RF | 0.703 | 0.692 | 0.656 | 0.684 | |
| DT | 0.675 | 0.612 | 0.636 | 0.630 | |
| KNN | 0.616 | 0.616 | 0.662 | 0.577 | |
| Ada | 0.726 | 0.726 | 0.756 | 0.686 | |
| LR | 0.846 | 0.846 | 0.770 | 0.829 | |
| NB | 0.759 | 0.759 | 0.736 | 0.740 | |
| GBDT | 0.673 | 0.673 | 0.672 | 0.657 | |
| DA | 0.853 | 0.853 | 0.787 | 0.822 | |
| Outcome prediction | SVM | 0.522 | 0.522 | ||
| nn | 0.808 | 0.808 | |||
| RF | 0.669 | 0.699 | |||
| DT | 0.592 | 0.615 | |||
| KNN | 0.541 | 0.541 | |||
| Ada | 0.705 | 0.705 | |||
| LR | 0.803 | 0.803 | |||
| NB | 0.828 | 0.828 | |||
| GBDT | 0.629 | 0.647 | |||
| DA | 0.756 | 0.756 |
Publisher’s Note: MDPI stays neutral with regard to jurisdictional claims in published maps and institutional affiliations. |
© 2022 by the authors. Licensee MDPI, Basel, Switzerland. This article is an open access article distributed under the terms and conditions of the Creative Commons Attribution (CC BY) license (https://creativecommons.org/licenses/by/4.0/).
Share and Cite
Guo, Y.; Yang, Y.; Cao, F.; Wang, M.; Luo, Y.; Guo, J.; Liu, Y.; Zeng, X.; Miu, X.; Zaman, A.; et al. A Focus on the Role of DSC-PWI Dynamic Radiomics Features in Diagnosis and Outcome Prediction of Ischemic Stroke. J. Clin. Med. 2022, 11, 5364. https://doi.org/10.3390/jcm11185364
Guo Y, Yang Y, Cao F, Wang M, Luo Y, Guo J, Liu Y, Zeng X, Miu X, Zaman A, et al. A Focus on the Role of DSC-PWI Dynamic Radiomics Features in Diagnosis and Outcome Prediction of Ischemic Stroke. Journal of Clinical Medicine. 2022; 11(18):5364. https://doi.org/10.3390/jcm11185364
Chicago/Turabian StyleGuo, Yingwei, Yingjian Yang, Fengqiu Cao, Mingming Wang, Yu Luo, Jia Guo, Yang Liu, Xueqiang Zeng, Xiaoqiang Miu, Asim Zaman, and et al. 2022. "A Focus on the Role of DSC-PWI Dynamic Radiomics Features in Diagnosis and Outcome Prediction of Ischemic Stroke" Journal of Clinical Medicine 11, no. 18: 5364. https://doi.org/10.3390/jcm11185364
APA StyleGuo, Y., Yang, Y., Cao, F., Wang, M., Luo, Y., Guo, J., Liu, Y., Zeng, X., Miu, X., Zaman, A., Lu, J., & Kang, Y. (2022). A Focus on the Role of DSC-PWI Dynamic Radiomics Features in Diagnosis and Outcome Prediction of Ischemic Stroke. Journal of Clinical Medicine, 11(18), 5364. https://doi.org/10.3390/jcm11185364

