Tildrakizumab: Efficacy, Safety and Survival in Mid-Term (52 Weeks) in Three Tertiary Hospitals in Andalucia (Spain)
Abstract
:1. Introduction
2. Materials and Methods
2.1. Study Design
2.2. Patients
- (1)
- Adult moderate-to-severe plaque psoriasis patients,
- (2)
- Psoriasis diagnosis since ≥ 1 year,
- (3)
- Patients who experimented unspecified inefficacy, primary or secondary failure to anti-TNFα, anti-IL17 and/or anti-IL12/23 as well as patients who discontinued treatment due to adverse events (AE),
- (4)
- Patients on tildakizumab treatment 100 mg s.c. (at week 0 and 4, followed by a maintenance dose every 12 weeks). None of the patients required a dose of 200 mg, which on the label can be recommended in patients weighing more than 90 kg.
- (1)
- Other types of PSORIASIS different than psoriasis vulgaris (generalized or palmoplantar pustular psoriasis, erythrodermic psoriasis),
- (2)
- Presence of other inflammatory diseases such as rheumatoid arthritis, Crohn disease, ulcerative colitis and/or ankylosing spondylitis,
- (3)
- Participation at the time of data collection in a randomized clinical trial.
- (a)
- Psoriasis patients can, in general, continue their treatment during the COVID-19 pandemic in order to avoid psoriasis outbreaks that would directly impact the patient and the use of greater healthcare resources.
- (b)
- In general, it is recommended to discontinue small molecule immunosuppressive therapy or biological therapy in patients with suspected active COVID-19 infection. Starting these treatments in case of active infection would be contraindicated.
- (c)
- If patients live in areas with a high incidence of COVID-19 infection, or in close contact with confirmed cases, the temporary interruption of some selective immunosuppressive or immunomodulatory therapies should be evaluated considering factors such as age or comorbidities until confirming or ruling out infection.
2.3. Treatment
2.4. Outcome Measures
2.5. Safety
2.6. Statistical Analysis
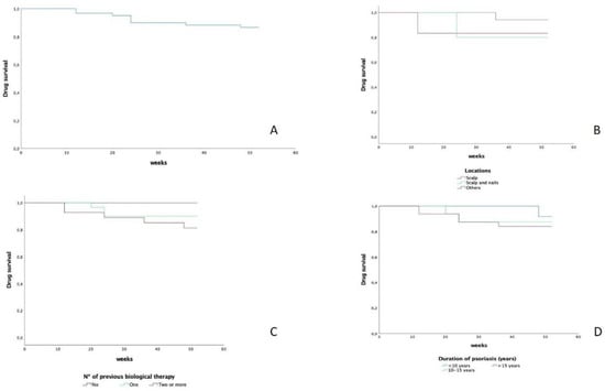
3. Results
4. Discussion
Author Contributions
Funding
Institutional Review Board Statement
Informed Consent Statement
Conflicts of Interest
References
- Wei, N.W.; Chi, S.; Lebwohl, M.G. Retrospective Analysis in Patients With Moderate to Severe Plaque Psoriasis Treated With Tildrakizumab: Real-Life Clinical Data. J. Psoriasis Psoriasis Arthritis 2022, 7, 55–59. [Google Scholar] [CrossRef]
- Reich, K.; Warren, R.B.; Iversen, L.; Puig, L.; Pau-Charles, I.; Igarashi, A.; Ohtsuki, M.; Falqués, M.; Harmut, M.; Rozzo, S.; et al. Long-term efficacy and safety of tildrakizumab for moderate-to-severe psoriasis: Pooled analyses of two randomized phase III clinical trials (reSURFACE 1 and reSURFACE 2) through 148 weeks. Br. J. Dermatol. 2020, 182, 605–617. [Google Scholar] [CrossRef] [PubMed]
- Galán-Gutierrez, M.; Rodriguez-Fernandez Freire, L.; Ruiz-Villaverde, R. Tildrakizumab: Short-term efficacy and safety in real clinical practice. Int. J. Dermatol. 2022, 61, e355–e357. [Google Scholar] [CrossRef] [PubMed]
- Belinchón, I.; Puig, L.; Ferrándiz, L.; de la Cueva, P.; Carrascosa, J.M.; en nombre del Grupo de Psoriasis de la AEDV. Managing Psoriasis Consultations During the COVID-19 Pandemic: Recommendations From the Psoriasis Group of the Spanish Academy of Dermatology and Venereology (AEDV). Actas Dermosifiliogr. 2020, 111, 802–804. [Google Scholar] [CrossRef] [PubMed]
- Burlando, M.; Castelli, R.; Cozzani, E.; Parodi, A. Treatment of moderate-to-severe plaque psoriasis with tildrakizumab in the real-life setting. Drugs Context 2021, 10, 2021-2-6. [Google Scholar] [PubMed]
- Drerup, K.A.; Seemann, C.; Gerdes, S.; Mrowietz, U. Effective and Safe Treatment of Psoriatic Disease with the Anti-IL-23p19 Biologic Tildrakizumab: Results of a Real-World Prospective Cohort Study in Nonselected Patients. Dermatology 2022, 238, 615–619. [Google Scholar] [CrossRef] [PubMed]
- Caldarola, G.; Galluzzo, M.; Bernardini, N.; Calabrese, L.; Grimaldi, M.; Moretta, G.; Pagnanelli, G.; Shumak, R.G.; Talamonti, M.; Tofani, L.; et al. Tildrakizumab in moderate-to-severe plaque psoriasis: A multi-center, retrospective, real-life study. Dermatol. Ther. 2022, 35, e15488. [Google Scholar] [PubMed]
- Blauvelt, A.; Sofen, H.; Papp, K.; Gooderham, M.; Tyring, S.; Zhao, Y.; Lowry, S.; Mendelsohn, A.; Parno, J.; Reich, K. Tildrakizumab efficacy and impact on quality of life up to 52 weeks in patients with moderate-to-severe psoriasis: A pooled analysis of two randomized controlled trials. J. Eur. Acad. Dermatol. Venereol. 2019, 33, 2305–2312. [Google Scholar] [CrossRef] [PubMed]
- Thaci, D.; Piaserico, S.; Warren, R.B.; Gupta, A.K.; Cantrell, W.; Draelos, Z.; Foley, P.; Igarashi, A.; Langley, R.G.; Asahina, A.; et al. Five-year efficacy and safety of tildrakizumab in patients with moderate-to-severe psoriasis who respond at week 28: Pooled analyses of two randomized phase III clinical trials (reSURFACE 1 and reSURFACE 2). Br. J. Dermatol. 2021, 185, 323–334. [Google Scholar] [CrossRef] [PubMed]
- Ebrahimi, A.; Sayad, B.; Rahimi, Z. COVID-19 and psoriasis: Biologic treatment and challenges. J. Dermatolog. Treat. 2022, 33, 699–703. [Google Scholar] [CrossRef] [PubMed]
- Gisondi, P.; Geat, D.; Bellinato, F.; Girolomoni, G. Use of biologics during the COVID-19 pandemic: Lessons learned from psoriasis. Expert Opin Biol Ther. 2022, 1–9. [Google Scholar] [CrossRef] [PubMed]
- Carrascosa, J.M.; Puig, L.; Romero, I.B.; Salgado-Boquete, L.; Del Alcázar, E.; Lencina, J.J.A.; Moreno, D.; de la Cueva, P. Practical Update of the Guidelines Published by the Psoriasis Group of the Spanish Academy of Dermatology and Venereology (GPs) on the Treatment of Psoriasis With Biologic Agents: Part 2—Management of Special Populations, Patients With Comorbid Conditions, and Risk. Actas Dermosifiliogr. 2022, 113, T583–T609. [Google Scholar] [PubMed]

| Basal Data | SD | N = 61 |
|---|---|---|
| Age (years), media (SD) | 13.90 | 49.5 |
| Sex, n (%) | ||
| Male | 30 (49.18%) | |
| Women | 31 (50.81%) | |
| Disease evolution (years), media (SD) | 9.76 | 19.24 |
| BMI | 29.01 | |
| Underweight | 0 | |
| Normal weight (BMI 18.5–24.9) | 17 (27.86%) | |
| Overweight (BMI 25–29.9) | 23 (37.70%) | |
| Obesity (BMI ≥ 30) | 21 (34.42%) | |
| Psoriasis type, n (%) | ||
| Plaque | 59 (96.72%) | |
| Nails | 12 (19.67%) | |
| Scalp | 27 (44.26%) | |
| Palmoplantar | 3 (4.91%) | |
| Inversa | 2 (3.27%) | |
| Comorbidities | ||
| Psoriatic arthritis | 21 (34.42%) | |
| Metabolic syndrome | 12 (19.67%) | |
| Diabetes | 8 (13.11%) | |
| Hypertension | 15 (24.59%) | |
| Dyslipidemia | 21 (34.42%) | |
| Psychiatric comorbidity | 6 (9.83%) | |
| Non-alcoholic fatty liver | 5 (8.19%) | |
| PASI, media | 5.5 | 10.65 |
| BSA, media | 8.3 | 14.45 |
| VAS pruritus, media | ||
| PGA, medio | 1.2 | 3.37 |
| DLQI, media | 6.5 | 15.75 |
| Number of previous biological treatments | ||
| 0 | 3 (4.91%) | |
| 1 | 30 (49.18%) | |
| 2 | 13 (21.31%) | |
| 3 | 10 (16.39%) | |
| 4 | 3 (4.91%) | |
| 5 | 2 (3.27%) |
| Basal (n = 61) | 12w (n = 55) | 24w (n = 47) | 52w (n = 34) | |
|---|---|---|---|---|
| PASI, media | 10.65 | 2.94 | 1.88 | 1.38 |
| PASI reduction | 87% | |||
| PASI ≤ 3 | 76% | 81% | 91% | |
| PASI ≤ 2 | 67% | 74% | 85% | |
| PASI ≤ 1 | 45% | 57% | 68% | |
| BSA, media | 14.45 | 3.41 | 1.93 | 1.64 |
| BSA reduction | 89% | |||
| PGA, media | 3.37 | 1.24 | 1.24 | 1.05 |
| PGA reduction | 69% | |||
| DLQI, media | 15.75 | 3.38 | 3.07 | 2.24 |
| DLQI reduction | 86% |
Publisher’s Note: MDPI stays neutral with regard to jurisdictional claims in published maps and institutional affiliations. |
© 2022 by the authors. Licensee MDPI, Basel, Switzerland. This article is an open access article distributed under the terms and conditions of the Creative Commons Attribution (CC BY) license (https://creativecommons.org/licenses/by/4.0/).
Share and Cite
Ruiz-Villaverde, R.; Rodriguez Fernandez-Freire, L.; Font-Ugalde, P.; Galan-Gutierrez, M. Tildrakizumab: Efficacy, Safety and Survival in Mid-Term (52 Weeks) in Three Tertiary Hospitals in Andalucia (Spain). J. Clin. Med. 2022, 11, 5098. https://doi.org/10.3390/jcm11175098
Ruiz-Villaverde R, Rodriguez Fernandez-Freire L, Font-Ugalde P, Galan-Gutierrez M. Tildrakizumab: Efficacy, Safety and Survival in Mid-Term (52 Weeks) in Three Tertiary Hospitals in Andalucia (Spain). Journal of Clinical Medicine. 2022; 11(17):5098. https://doi.org/10.3390/jcm11175098
Chicago/Turabian StyleRuiz-Villaverde, Ricardo, Lourdes Rodriguez Fernandez-Freire, Pilar Font-Ugalde, and Manuel Galan-Gutierrez. 2022. "Tildrakizumab: Efficacy, Safety and Survival in Mid-Term (52 Weeks) in Three Tertiary Hospitals in Andalucia (Spain)" Journal of Clinical Medicine 11, no. 17: 5098. https://doi.org/10.3390/jcm11175098
APA StyleRuiz-Villaverde, R., Rodriguez Fernandez-Freire, L., Font-Ugalde, P., & Galan-Gutierrez, M. (2022). Tildrakizumab: Efficacy, Safety and Survival in Mid-Term (52 Weeks) in Three Tertiary Hospitals in Andalucia (Spain). Journal of Clinical Medicine, 11(17), 5098. https://doi.org/10.3390/jcm11175098

