ATOMS (Adjustable Trans-Obturator Male System) in Patients with Post-Prostatectomy Incontinence and Previously Treated Urethral Stricture or Bladder Neck Contracture
Abstract
:1. Introduction
2. Materials and Methods
2.1. Study Population
2.2. Study Endpoints
2.3. Variables Evaluated
2.4. Statistical Analysis
3. Results
3.1. Comparison of Baseline and Operative Data among Populations
3.2. Comparison of Effectiveness among Populations
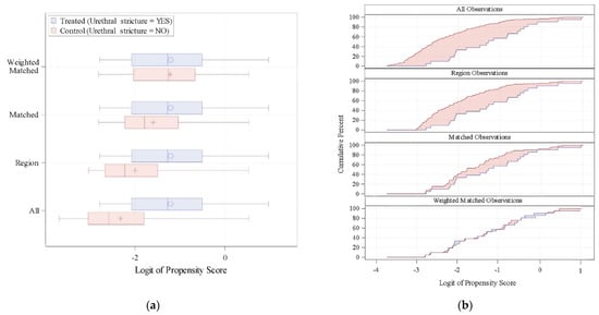
3.3. Propensity Score Matching
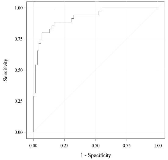
3.4. Multivariate Analysis for Factors Predictive of Dryness
3.5. Comparison of Safety Data among Populations
4. Discussion
5. Conclusions
Supplementary Materials
Author Contributions
Funding
Institutional Review Board Statement
Informed Consent Statement
Data Availability Statement
Conflicts of Interest
References
- Esquinas, C.; Angulo, J.C. Effectiveness of adjustable Trans-Obturator Male System (ATOMS) to treat male stress incontinence: A systematic review and meta-analysis. Adv. Ther. 2019, 36, 426–441. [Google Scholar] [CrossRef] [PubMed]
- Esquinas, C.; Ruiz, S.; de Sancha, E.; Vazquez, M.; Dorado, J.F.; Virseda, M.; Arance, I.; Angulo, J.C. Outcomes of a series of patients with post-prostatectomy incontinence treated with an adjustable transobturator male system or artificial urinary sphincter. Adv. Ther. 2021, 38, 678–690. [Google Scholar] [CrossRef] [PubMed]
- Dorado, J.F.; Angulo, J.C. Refined nomogram incorporating Standing Cough Test improves prediction of Adjustable Trans-Obturator Male System (ATOMS) success to treat post-prostatectomy male stress incontinence. J. Pers. Med. 2022, 12, 94. [Google Scholar] [CrossRef] [PubMed]
- Angulo, J.C.; Arance, I.; Esquinas, C.; Dorado, J.F.; Marcelino, J.P.; Martins, F.E. Outcome measures of adjustable transobturator male system with pre-attached scrotal port for male stress urinary incontinence after radical prostatectomy: A prospective study. Adv. Ther. 2017, 34, 1173–1183. [Google Scholar] [CrossRef] [PubMed]
- Angulo, J.C.; Esquinas, C.; Arance, I.; Rodríguez, A.; Pereira, J.; Rabassa, M.; Teyrouz, A.; Teba, F.; Celada, G.; Marcelino, J.P.; et al. Adjustable transobturator male system after failed surgical devices for male stress urinary incontinence: A feasibility study. Urol. Int. 2018, 101, 106–113. [Google Scholar] [CrossRef] [PubMed]
- Queissert, F.; Rourke, K.; Schönburg, S.; Giammò, A.; Gonsior, A.; González-Enguita, C.; Romero, A.; Schrader, A.J.; Cruz, F.; Martins, F.E.; et al. ATOMS (Adjustable Transobturator Male System) is an effective and safe second-line treatment option for recurrent urinary incontinence after implantation of an AdVance/AdVance XP fixed male sling? A multicenter cohort analysis. J. Clin. Med. 2021, 11, 81. [Google Scholar] [CrossRef] [PubMed]
- Angulo, J.C.; Schönburg, S.; Giammò, A.; Queissert, F.; Gonsior, A.; González-Enguita, C.; Martins, F.E.; Rourke, K.; Cruz, F. Artificial urinary sphincter or a second adjustable transobturator male system offer equivalent outcomes in patients whom required revision on the initial ATOMS device: An international multi-institutional experience. Neurourol. Urodyn. 2021, 40, 897–909. [Google Scholar] [CrossRef]
- Ruiz, S.; Virseda-Chamorro, M.; Queissert, F.; López, A.; Arance, I.; Angulo, J.C. The mode of action of adjustable Trans-Obturator Male System (ATOMS): Intraoperative urethral pressure measurements. Uro 2021, 1, 45–53. [Google Scholar] [CrossRef]
- Angulo, J.C.; Cruz, F.; Esquinas, C.; Arance, I.; Manso, M.; Rodríguez, A.; Pereira, J.; Ojea, A.; Carballo, M.; Rabassa, M.; et al. Treatment of male stress urinary incontinence with the adjustable transobturator male system: Outcomes of a multi-center Iberian study. Neurourol. Urodyn. 2018, 37, 1458–1466. [Google Scholar] [CrossRef]
- Angulo, J.C.; Virseda-Chamorro, M.; Arance, I.; Ruiz, S.; Ojea, A.; Carballo, M.; Rodriguez, A.; Pereira, J.; Teyrouz, A.; Rebassa, M.; et al. Long-term outcome of adjustable transobturator male system for stress urinary incontinence in the Iberian multicentre study. Neurourol. Urodyn. 2020, 39, 1737–1745. [Google Scholar] [CrossRef]
- Myers, J.B.; Brant, W.O.; Hotaling, J.N.; Lenherr, S.M. Urethral strictures and artificial urinary sphincter placement. Urol. Clin. N. Am. 2017, 44, 93–103. [Google Scholar] [CrossRef]
- Seweryn, J.; Bauer, W.; Ponholzer, A.; Schramek, P. Initial experience and results with a new adjustable transobturator male system for the treatment of stress urinary incontinence. J. Urol. 2012, 187, 956–961. [Google Scholar] [CrossRef]
- Brant, W.O.; Erickson, B.A.; Elliott, S.P.; Powell, C.; Alsikafi, N.; McClung, C.; Myers, J.B.; Voelzke, B.B.; Smith, T.G., 3rd; Broghammer, J.A. Risk factors for erosion of artificial urinary sphincters: A multicenter prospective study. Urology 2014, 84, 934–938. [Google Scholar] [CrossRef]
- McGeady, J.B.; McAninch, J.W.; Truesdale, M.D.; Blaschko, S.D.; Kenfield, S.; Breyer, B.N. Artificial urinary sphincter placement in compromised urethras and survival: A comparison of virgin, radiated and reoperative cases. J. Urol. 2014, 192, 1756–1761. [Google Scholar] [CrossRef]
- Hoy, N.Y.; Rourke, K.F. Artificial urinary sphincter outcomes in the “fragile urethra”. Urology 2015, 86, 618–624. [Google Scholar] [CrossRef]
- Doiron, R.C.; Saavedra, A.; Haines, T.; Nadeau, G.; Tu, L.M.; Morisset, J.; Steele, S.; Valiquette, L.; Elterman, D.; Maciejewski, C.; et al. Canadian experience with the adjustable transobturator male system for post-prostatectomy incontinence: A multicenter study. J. Urol. 2019, 202, 1022–1028. [Google Scholar] [CrossRef]
- Redmond, E.J.; Nadeau, G.; Tu, L.M.; Doiron, R.C.; Steele, S.S.; Herschorn, S.; Locke, J.A.; Maciejewski, C.C.; Dwyer, N.T.; Campeau, L.; et al. Multicentered assessment of clinical outcomes and factors associated with failure of the Adjustable Trans-Obturator Male System (ATOMS). Urology 2021, 148, 280–286. [Google Scholar] [CrossRef]
- Lai, H.H.; Boone, T.B. Complex artificial urinary sphincter revision and reimplantation cases-how do they fare compared to virgin cases? J. Urol. 2012, 187, 951–955. [Google Scholar] [CrossRef]
- Queissert, F.; Bruecher, B.; Ruiz, S.; Virseda-Chamorro, M.; Schrader, A.J.; Angulo, J.C. Compression or obstruction: Prospective analysis of the function of the Adjustable Trans-Obturator Male System (ATOMS) based on pre and postoperative urodynamic data. Can. Urol. Assoc. J. 2022, 16, E256–E260. [Google Scholar] [CrossRef]
- Ruiz, S.; Virseda-Chamorro, M.; Salinas, J.; Queissert, F.; Arance, I.; Angulo, J.C. Influence of ATOMS implant on the voiding phase of patients with post-prostatectomy urinary incontinence. Neurourol. Urodyn. 2022, 41, 609–615. [Google Scholar] [CrossRef]
- Aaronson, D.S.; Elliott, S.P.; McAninch, J.W. Transcorporal artificial urinary sphincter placement for incontinence in high-risk patients after treatment of prostate cancer. Urology 2008, 72, 825–827. [Google Scholar] [CrossRef]
- Mock, S.; Dmochowski, R.R.; Brown, E.T.; Reynolds, W.S.; Kaufman, M.R.; Milam, D.F. The impact of urethral risk factors on transcorporeal artificial urinary sphincter erosion rates and device survival. J. Urol. 2015, 194, 1692–1696. [Google Scholar] [CrossRef]
- Sayedahmed, K.; Olianas, R.; Kaftan, B.; Omar, M.; El Shazly, M.; Burger, M.; Mayr, R.; Rosenhammer, B. Impact of previous urethroplasty on the outcome after artificial urinary sphincter implantation: A prospective evaluation. World J. Urol. 2020, 38, 183–191. [Google Scholar] [CrossRef]
- El-Akri, M.; Bentellis, I.; Tricard, T.; Brierre, T.; Cousin, T.; Dupuis, H.; Hermieu, N.; Gaillard, V.; Poussot, B.; Robin, D.; et al. Transcorporal vs. bulbar artificial urinary sphincter implantation in male patients with fragile urethra. World J. Urol. 2021, 39, 4449–4457. [Google Scholar] [CrossRef]
- Maurer, V.; Marks, P.; Dahlem, R.; Rosenbaum, C.; Meyer, C.P.; Riechardt, S.; Fisch, M.; Ludwig, T. Prospective analysis of artificial urinary sphincter AMS 800 implantation after buccal mucosa graft urethroplasty. World J. Urol. 2019, 37, 647–653. [Google Scholar] [CrossRef]
- Friedl, A.; Muhlstadt, S.; Zachoval, R.; Giammò, A.; Kivaranovic, D.; Rom, M.; Fornara, P.; Brossner, C. Long-term outcome of the adjustable Trans-Obturator Male System (ATOMS): Results of a European multicentre study. BJU Int. 2017, 119, 785–792. [Google Scholar] [CrossRef]




| Variable | Total Series (n = 149) | With Stricture (n = 21) | W/o Stricture (n = 128) | p-Value |
|---|---|---|---|---|
| Preoperative data | ||||
| Age, years, median (IQR) | 70 (7) | 69 (8) | 70 (7) | 0.99 |
| Body mass index, median (IQR, range) | 26.6 (4.8) | 27 (4.1) | 26.3 (4.8) | 0.496 |
| ASA score I, n (%) | 27 (18.1) | 4 (19) | 23 (18) | 0.939 |
| ASA score II, n (%) | 97 (65.1) | 13 (61,9) | 84 (65.6) | |
| ASA score III, n (%) | 25 (16.8) | 4 (19) | 21 (16.4) | |
| Charlson comorbidity index, median (IQR) | 4 (2) | 4 (2) | 4 (2) | 0.619 |
| Previous urethral sling surgery, n (%) | 12 (8.8) | 2 (9.5) | 10 (7.8) | 0.789 |
| Previous radiation, n (%) | 21 (14.9) | 9 (42.9) | 12 (9.4) | <0.0001 |
| Androgen deprivation, n (%) | 9 (6) | 5 (23.8) | 4 (3.1) | 0.003 |
| D’Amico low risk group, n (%) | 16 (10.7) | 2 (9.5) | 14 (10.9) | 0.319 |
| D’Amico intermediate risk group, n (%) | 32 (21.5) | 2 (9.5) | 30 (23.5) | |
| D’Amico high risk group, n (%) | 101 (67.8) | 17 (81) | 84 (65.6) | |
| Months since prostatectomy, median (IQR) | 48 (41) | 72 (38) | 47 (40) | 0.012 |
| 24-h pad count (PPD), n, median (IQR) | 5 (3) | 6 (1) | 4 (3) | <0.0001 |
| 24-h pad test, mL, median (IQR) | 500 (460) | 950 (550) | 455 (425) | <0.0001 |
| ICIQ-SF total, median (IQR, range) | 15 (5) | 19 (5) | 14 (5) | <0.0001 |
| ICIQ-SF Question 1 | 4 (0) | 5 (1) | 4 (0) | <0.0001 |
| ICIQ-SF Question 2 | 4 (2) | 6 (2) | 4 (2) | 0.001 |
| ICIQ-SF Question 3 | 6 (3) | 8 (2) | 6 (3) | <0.0001 |
| Operative data | ||||
| Operative time, min, median (IQR) | 55 (22) | 60 (25) | 55 (20) | 0.44 |
| Perioperative complication, n (%) | 2 (1.3) | 0 (0) | 2 (1.6) | 1 |
| VAS for pain (0–10), median (IQR) (1) | 0 (1) | 1 (2) | 0 (1) | 0.093 |
| Postoperative data | ||||
| Postoperative complications (2), any grade, n (%) | 31 (22) | 6 (28.6) | 25 (19.5) | 0.46 |
| Grade I (2), n (%) | 23 (16.3) | 4 (19) | 19 (14.8) | |
| Grade II (2), n (%) | 2 (1.4) | 1 (4.8) | 1 (0.8) | |
| Grade III (2), n (%) | 6 (4.3) | 1 (4.8) | 5 (3.9) | |
| Surgical revision, n (%) | 9 (6) | 2 (9.5) | 7 (5.8) | 0.47 |
| Device explant, n (%) | 7 (4.7) | 2 (9.5) | 5 (3.9) | 0.26 |
| De novo OAB symptoms, n (%) | 6 (4) | 1 (4.8) | 5 (3.9) | 0.85 |
| Total filling volume, mL, median (IQR) | 15 (8) | 17 (5.5) | 14.5 (7) | 0.006 |
| Number of fillings, median (IQR) | 1 (3) | 3 (1) | 1 (2) | <0.0001 |
| Patients with pad test ≤ 20 mL, n (%) | 114 (76.5) | 8 (38) | 106 (82.8) | <0.0001 |
| 24-h pad count (PPD) (1), n, median (IQR) | 0 (1) | 1 (2) | 0 (0) | <0.0001 |
| 24-h pad test, mL, median (IQR) | 0 (15) | 70 (180) | 0 (10) | <0.0001 |
| PGI-I = 1 (very much better), n (%) | 104 (69.8) | 10 (47.6) | 94 (73.4) | 0.006 |
| PGI-I = 2 (much better), n (%) | 26 (17.5) | 4 (19) | 22 (17.2) | |
| PGI-I = 3 (better), n (%) | 13 (8.7) | 5 (23.8) | 8 (6.2) | |
| PGI-I = 4 (same), n (%) | 5 (3.4) | 1 (4.8) | 4 (3.1) | |
| PGI-I = 5 (worse), n (%) | 1 (0.7) | 1 (4.8) | 0 (0) |
Publisher’s Note: MDPI stays neutral with regard to jurisdictional claims in published maps and institutional affiliations. |
© 2022 by the authors. Licensee MDPI, Basel, Switzerland. This article is an open access article distributed under the terms and conditions of the Creative Commons Attribution (CC BY) license (https://creativecommons.org/licenses/by/4.0/).
Share and Cite
Ullate, A.; Arance, I.; Virseda-Chamorro, M.; Ruiz, S.; Szczesniewski, J.; Téllez, C.; Queissert, F.; Dorado, J.F.; Angulo, J.C. ATOMS (Adjustable Trans-Obturator Male System) in Patients with Post-Prostatectomy Incontinence and Previously Treated Urethral Stricture or Bladder Neck Contracture. J. Clin. Med. 2022, 11, 4882. https://doi.org/10.3390/jcm11164882
Ullate A, Arance I, Virseda-Chamorro M, Ruiz S, Szczesniewski J, Téllez C, Queissert F, Dorado JF, Angulo JC. ATOMS (Adjustable Trans-Obturator Male System) in Patients with Post-Prostatectomy Incontinence and Previously Treated Urethral Stricture or Bladder Neck Contracture. Journal of Clinical Medicine. 2022; 11(16):4882. https://doi.org/10.3390/jcm11164882
Chicago/Turabian StyleUllate, Ane, Ignacio Arance, Miguel Virseda-Chamorro, Sonia Ruiz, Juliusz Szczesniewski, Carlos Téllez, Fabian Queissert, Juan F. Dorado, and Javier C. Angulo. 2022. "ATOMS (Adjustable Trans-Obturator Male System) in Patients with Post-Prostatectomy Incontinence and Previously Treated Urethral Stricture or Bladder Neck Contracture" Journal of Clinical Medicine 11, no. 16: 4882. https://doi.org/10.3390/jcm11164882
APA StyleUllate, A., Arance, I., Virseda-Chamorro, M., Ruiz, S., Szczesniewski, J., Téllez, C., Queissert, F., Dorado, J. F., & Angulo, J. C. (2022). ATOMS (Adjustable Trans-Obturator Male System) in Patients with Post-Prostatectomy Incontinence and Previously Treated Urethral Stricture or Bladder Neck Contracture. Journal of Clinical Medicine, 11(16), 4882. https://doi.org/10.3390/jcm11164882

