MYRF: A New Regulator of Cardiac and Early Gonadal Development—Insights from Single Cell RNA Sequencing Analysis
Abstract
:1. Introduction
2. Materials and Methods
2.1. Patient Description
2.2. Whole Genome Sequencing (WGS)
2.3. Bioinformatics
2.4. Single Cell RNA Analyses
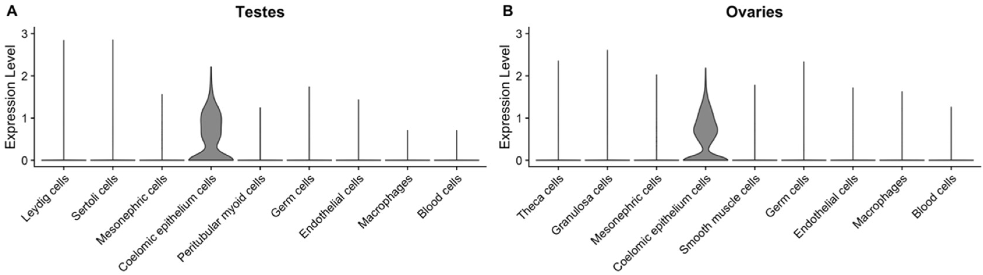
3. Results
4. Discussion
5. Conclusions
Supplementary Materials
Author Contributions
Funding
Institutional Review Board Statement
Informed Consent Statement
Data Availability Statement
Acknowledgments
Conflicts of Interest
References
- Emery, B.; Agalliu, D.; Cahoy, J.D.; Watkins, T.A.; Dugas, J.C.; Mulinyawe, S.B.; Ibrahim, A.; Ligon, K.L.; Rowitch, D.H.; Barres, B.A. Myelin gene regulatory factor is a critical transcriptional regulator required for CNS myelination. Cell 2009, 138, 172–185. [Google Scholar] [CrossRef] [PubMed]
- Koenning, M.; Jackson, S.; Hay, C.M.; Faux, C.; Kilpatrick, T.J.; Willingham, M.; Emery, B. Myelin gene regulatory factor is required for maintenance of myelin and mature oligodendrocyte identity in the adult CNS. J. Neurosci. Off. J. Soc. Neurosci. 2012, 32, 12528–12542. [Google Scholar] [CrossRef] [PubMed]
- Bujalka, H.; Koenning, M.; Jackson, S.; Perreau, V.M.; Pope, B.; Hay, C.M.; Mitew, S.; Hill, A.F.; Lu, Q.R.; Wegner, M.; et al. MYRF is a membrane-associated transcription factor that autoproteolytically cleaves to directly activate myelin genes. PLoS Biol. 2013, 11, e1001625. [Google Scholar] [CrossRef] [PubMed]
- Qi, H.; Yu, L.; Zhou, X.; Wynn, J.; Zhao, H.; Guo, Y.; Zhu, N.; Kitaygorodsky, A.; Hernan, R.; Aspelund, G.; et al. De novo variants in congenital diaphragmatic hernia identify MYRF as a new syndrome and reveal genetic overlaps with other developmental disorders. PLoS Genet. 2018, 14, e1007822. [Google Scholar] [CrossRef] [PubMed]
- Jin, S.C.; Homsy, J.; Zaidi, S.; Lu, Q.; Morton, S.; DePalma, S.R.; Zeng, X.; Qi, H.; Chang, W.; Sierant, M.C.; et al. Contribution of rare inherited and de novo variants in 2871 congenital heart disease probands. Nat. Genet. 2017, 49, 1593–1601. [Google Scholar] [CrossRef] [PubMed]
- Garnai, S.J.; Brinkmeier, M.L.; Emery, B.; Aleman, T.S.; Pyle, L.C.; Veleva-Rotse, B.; Sisk, R.A.; Rozsa, F.W.; Ozel, A.B.; Li, J.Z.; et al. Variants in myelin regulatory factor (MYRF) cause autosomal dominant and syndromic nanophthalmos in humans and retinal degeneration in mice. PLoS Genet. 2019, 15, e1008130. [Google Scholar] [CrossRef]
- Hamanaka, K.; Takata, A.; Uchiyama, Y.; Miyatake, S.; Miyake, N.; Mitsuhashi, S.; Iwama, K.; Fujita, A.; Imagawa, E.; Alkanaq, A.N.; et al. MYRF haploinsufficiency causes 46,XY and 46,XX disorders of sex development: Bioinformatics consideration. Hum. Mol. Genet. 2019, 28, 2319–2329. [Google Scholar] [CrossRef]
- Globa, E.; Zelinska, N.; Shcherbak, Y.; Bignon-Topalovic, J.; Bashamboo, A.; Msmall es, C.K. Disorders of Sex Development in a Large Ukrainian Cohort: Clinical Diversity and Genetic Findings. Front. Endocrinol. 2022, 13, 810782. [Google Scholar] [CrossRef]
- Hughes, I.A.; Houk, C.; Ahmed, S.F.; Lee, P.A. Consensus statement on management of intersex disorders. Arch. Dis. Child. 2006, 91, 554–563. [Google Scholar] [CrossRef]
- Capel, B. Vertebrate sex determination: Evolutionary plasticity of a fundamental switch. Nat. Rev. Genet. 2017, 18, 675–689. [Google Scholar] [CrossRef]
- Elzaiat, M.; McElreavey, K.; Bashamboo, A. Genetics of 46,XY gonadal dysgenesis. Best Pract. Res. Clin. Endocrinol. Metab. 2022, 36, 101633. [Google Scholar] [CrossRef] [PubMed]
- Stöhr, H.; Marquardt, A.; White, K.; Weber, B.H. cDNA cloning and genomic structure of a novel gene (C11orf9) localized to chromosome 11q12→q13.1 which encodes a highly conserved, potential membrane-associated protein. Cytogenet Cell Genet 2000, 88, 211–216. [Google Scholar] [CrossRef] [PubMed]
- An, H.; Fan, C.; Sharif, M.; Kim, D.; Poitelon, Y.; Park, Y. Functional mechanism and pathogenic potential of MYRF ICA domain mutations implicated in birth defects. Sci. Rep. 2020, 10, 814. [Google Scholar] [CrossRef] [PubMed]
- Li, H.; Durbin, R. Fast and accurate short read alignment with Burrows-Wheeler transform. Bioinformatics 2009, 25, 1754–1760. [Google Scholar] [CrossRef] [PubMed]
- DePristo, M.A.; Banks, E.; Poplin, R.; Garimella, K.V.; Maguire, J.R.; Hartl, C.; Philippakis, A.A.; del Angel, G.; Rivas, M.A.; Hanna, M.; et al. A framework for variation discovery and genotyping using next-generation DNA sequencing data. Nat. Genet. 2011, 43, 491–498. [Google Scholar] [CrossRef]
- Rausch, T.; Zichner, T.; Schlattl, A.; Stutz, A.M.; Benes, V.; Korbel, J.O. DELLY: Structural variant discovery by integrated paired-end and split-read analysis. Bioinformatics 2012, 28, i333–i339. [Google Scholar] [CrossRef] [PubMed]
- Sohni, A.; Tan, K.; Song, H.W.; Burow, D.; de Rooij, D.G.; Laurent, L.; Hsieh, T.C.; Rabah, R.; Hammoud, S.S.; Vicini, E.; et al. The Neonatal and Adult Human Testis Defined at the Single-Cell Level. Cell Rep. 2019, 26, 1501–1517.e1504. [Google Scholar] [CrossRef]
- Guo, J.; Nie, X.; Giebler, M.; Mlcochova, H.; Wang, Y.; Grow, E.J.; DonorConnect; Kim, R.; Tharmalingam, M.; Matilionyte, G.; et al. The Dynamic Transcriptional Cell Atlas of Testis Development during Human Puberty. Cell Stem Cell 2020, 26, 262–276.e264. [Google Scholar] [CrossRef]
- Guo, J.; Sosa, E.; Chitiashvili, T.; Nie, X.; Rojas, E.J.; Oliver, E.; DonorConnect; Plath, K.; Hotaling, J.M.; Stukenborg, J.B.; et al. Single-cell analysis of the developing human testis reveals somatic niche cell specification and fetal germline stem cell establishment. Cell Stem Cell 2021, 28, 764–778.e764. [Google Scholar] [CrossRef]
- Chitiashvili, T.; Dror, I.; Kim, R.; Hsu, F.M.; Chaudhari, R.; Pandolfi, E.; Chen, D.; Liebscher, S.; Schenke-Layland, K.; Plath, K.; et al. Female human primordial germ cells display X-chromosome dosage compensation despite the absence of X-inactivation. Nat. Cell Biol. 2020, 22, 1436–1446. [Google Scholar] [CrossRef]
- Chen, S.; Zhou, Y.; Chen, Y.; Gu, J. fastp: An ultra-fast all-in-one FASTQ preprocessor. Bioinformatics 2018, 34, i884–i890. [Google Scholar] [CrossRef] [PubMed]
- Melsted, P.; Booeshaghi, A.S.; Liu, L.; Gao, F.; Lu, L.; Min, K.H.J.; da Veiga Beltrame, E.; Hjorleifsson, K.E.; Gehring, J.; Pachter, L. Modular, efficient and constant-memory single-cell RNA-seq preprocessing. Nat. Biotechnol. 2021, 39, 813–818. [Google Scholar] [CrossRef] [PubMed]
- Hao, Y.; Hao, S.; Andersen-Nissen, E.; Mauck, W.M., 3rd; Zheng, S.; Butler, A.; Lee, M.J.; Wilk, A.J.; Darby, C.; Zager, M.; et al. Integrated analysis of multimodal single-cell data. Cell 2021, 184, 3573–3587.e3529. [Google Scholar] [CrossRef] [PubMed]
- Roselli, S.; Gribouval, O.; Boute, N.; Sich, M.; Benessy, F.; Attie, T.; Gubler, M.C.; Antignac, C. Podocin localizes in the kidney to the slit diaphragm area. Am. J. Pathol. 2002, 160, 131–139. [Google Scholar] [CrossRef]
- Rudat, C.; Grieskamp, T.; Rohr, C.; Airik, R.; Wrede, C.; Hegermann, J.; Herrmann, B.G.; Schuster-Gossler, K.; Kispert, A. Upk3b is dispensable for development and integrity of urothelium and mesothelium. PLoS ONE 2014, 9, e112112. [Google Scholar] [CrossRef] [PubMed]
- Richards, S.; Aziz, N.; Bale, S.; Bick, D.; Das, S.; Gastier-Foster, J.; Grody, W.W.; Hegde, M.; Lyon, E.; Spector, E.; et al. Standards and guidelines for the interpretation of sequence variants: A joint consensus recommendation of the American College of Medical Genetics and Genomics and the Association for Molecular Pathology. Genet. Med. Off. J. Am. Coll. Med. Genet. 2015, 17, 405–424. [Google Scholar] [CrossRef]
- Pinz, H.; Pyle, L.C.; Li, D.; Izumi, K.; Skraban, C.; Tarpinian, J.; Braddock, S.R.; Telegrafi, A.; Monaghan, K.G.; Zackai, E.; et al. De novo variants in Myelin regulatory factor (MYRF) as candidates of a new syndrome of cardiac and urogenital anomalies. Am. J. Med. Genet. Part A 2018, 176, 969–972. [Google Scholar] [CrossRef]
- Fishilevich, S.; Nudel, R.; Rappaport, N.; Hadar, R.; Plaschkes, I.; Iny Stein, T.; Rosen, N.; Kohn, A.; Twik, M.; Safran, M.; et al. GeneHancer: Genome-wide integration of enhancers and target genes in GeneCards. Database 2017, 2017, bax028. [Google Scholar] [CrossRef]
- Buaas, F.W.; Val, P.; Swain, A. The transcription co-factor CITED2 functions during sex determination and early gonad development. Hum. Mol. Genet. 2009, 18, 2989–3001. [Google Scholar] [CrossRef]
- Combes, A.N.; Spiller, C.M.; Harley, V.R.; Sinclair, A.H.; Dunwoodie, S.L.; Wilhelm, D.; Koopman, P. Gonadal defects in Cited2-mutant mice indicate a role for SF1 in both testis and ovary differentiation. Int. J. Dev. Biol. 2010, 54, 683–689. [Google Scholar] [CrossRef]
- Weninger, W.J.; Lopes Floro, K.; Bennett, M.B.; Withington, S.L.; Preis, J.I.; Barbera, J.P.; Mohun, T.J.; Dunwoodie, S.L. Cited2 is required both for heart morphogenesis and establishment of the left-right axis in mouse development. Development 2005, 132, 1337–1348. [Google Scholar] [CrossRef] [PubMed]
- Chitayat, D.; Shannon, P.; Uster, T.; Nezarati, M.M.; Schnur, R.E.; Bhoj, E.J. An Additional Individual with a De Novo Variant in Myelin Regulatory Factor (MYRF) with Cardiac and Urogenital Anomalies: Further Proof of Causality: Comments on the article by Pinz et al. Am. J. Med. Genet. Part A 2018, 176, 2041–2043. [Google Scholar] [CrossRef] [PubMed]
- Xiao, X.; Sun, W.; Ouyang, J.; Li, S.; Jia, X.; Tan, Z.; Hejtmancik, J.F.; Zhang, Q. Novel truncation mutations in MYRF cause autosomal dominant high hyperopia mapped to 11p12-q13.3. Hum. Genet. 2019, 138, 1077–1090. [Google Scholar] [CrossRef] [PubMed]
- Siggs, O.M.; Souzeau, E.; Breen, J.; Qassim, A.; Zhou, T.; Dubowsky, A.; Ruddle, J.B.; Craig, J.E. Autosomal dominant nanophthalmos and high hyperopia associated with a C-terminal frameshift variant in MYRF. Mol. Vis. 2019, 25, 527–534. [Google Scholar]
- Stevant, I.; Kuhne, F.; Greenfield, A.; Chaboissier, M.C.; Dermitzakis, E.T.; Nef, S. Dissecting Cell Lineage Specification and Sex Fate Determination in Gonadal Somatic Cells Using Single-Cell Transcriptomics. Cell Rep. 2019, 26, 3272–3283.e3273. [Google Scholar] [CrossRef] [PubMed]
- Piprek, R.P.; Kloc, M.; Kubiak, J.Z. Early Development of the Gonads: Origin and Differentiation of the Somatic Cells of the Genital Ridges. Results Probl. Cell Differ. 2016, 58, 1–22. [Google Scholar] [CrossRef] [PubMed]
- Pelosi, E.; Koopman, P. Development of the Testis. In Reference Module in Biomedical Sciences; Elsevier: Amsterdam, The Netherlands, 2017; pp. 1–8. [Google Scholar]
- Val, P.; Martinez-Barbera, J.P.; Swain, A. Adrenal development is initiated by Cited2 and Wt1 through modulation of Sf-1 dosage. Development 2007, 134, 2349–2358. [Google Scholar] [CrossRef]
- Lourenco, D.; Brauner, R.; Lin, L.; De Perdigo, A.; Weryha, G.; Muresan, M.; Boudjenah, R.; Guerra-Junior, G.; Maciel-Guerra, A.T.; Achermann, J.C.; et al. Mutations in NR5A1 associated with ovarian insufficiency. N. Engl. J. Med. 2009, 360, 1200–1210. [Google Scholar] [CrossRef]
- Fonseca, D.J.; Ojeda, D.; Lakhal, B.; Braham, R.; Eggers, S.; Turbitt, E.; White, S.; Grover, S.; Warne, G.; Zacharin, M.; et al. CITED2 mutations potentially cause idiopathic premature ovarian failure. Transl. Res. 2012, 160, 384–388. [Google Scholar] [CrossRef]
- Sperling, S.; Grimm, C.H.; Dunkel, I.; Mebus, S.; Sperling, H.P.; Ebner, A.; Galli, R.; Lehrach, H.; Fusch, C.; Berger, F.; et al. Identification and functional analysis of CITED2 mutations in patients with congenital heart defects. Hum. Mutat. 2005, 26, 575–582. [Google Scholar] [CrossRef]
- Bamforth, S.D.; Braganca, J.; Farthing, C.R.; Schneider, J.E.; Broadbent, C.; Michell, A.C.; Clarke, K.; Neubauer, S.; Norris, D.; Brown, N.A.; et al. Cited2 controls left-right patterning and heart development through a Nodal-Pitx2c pathway. Nat. Genet. 2004, 36, 1189–1196. [Google Scholar] [CrossRef] [PubMed]
- Yang, X.F.; Wu, X.Y.; Li, M.; Li, Y.G.; Dai, J.T.; Bai, Y.H.; Tian, J. Mutation analysis of Cited2 in patients with congenital heart disease. Zhonghua Er Ke Za Zhi 2010, 48, 293–296. [Google Scholar] [PubMed]
- Rossetti, L.Z.; Glinton, K.; Yuan, B.; Liu, P.; Pillai, N.; Mizerik, E.; Magoulas, P.; Rosenfeld, J.A.; Karaviti, L.; Sutton, V.R.; et al. Review of the phenotypic spectrum associated with haploinsufficiency of MYRF. Am. J. Med. Genet. Part A 2019, 179, 1376–1382. [Google Scholar] [CrossRef] [PubMed]
- Zheng, S.Q.; Chen, H.X.; Liu, X.C.; Yang, Q.; He, G.W. Genetic analysis of the CITED2 gene promoter in isolated and sporadic congenital ventricular septal defects. J. Cell Mol. Med. 2021, 25, 2254–2261. [Google Scholar] [CrossRef] [PubMed]
- Lek, M.; Karczewski, K.J.; Minikel, E.V.; Samocha, K.E.; Banks, E.; Fennell, T.; O’Donnell-Luria, A.H.; Ware, J.S.; Hill, A.J.; Cummings, B.B.; et al. Analysis of protein-coding genetic variation in 60,706 humans. Nature 2016, 536, 285–291. [Google Scholar] [CrossRef]
- Werner, R.; Mönig, I.; August, J.; Freiberg, C.; Lünstedt, R.; Reiz, B.; Wünsch, L.; Holterhus, P.M.; Kulle, A.; Döhnert, U.; et al. Novel Insights into 46,XY Disorders of Sex Development due to NR5A1 Gene Mutation. Sex. Dev. Genet. Mol. Biol. Evol. Endocrinol. Embryol. Pathol. Sex Determ. Differ. 2015, 9, 260–280. [Google Scholar] [CrossRef]
- Croft, B.; Ohnesorg, T.; Hewitt, J.; Bowles, J.; Quinn, A.; Tan, J.; Corbin, V.; Pelosi, E.; van den Bergen, J.; Sreenivasan, R.; et al. Human sex reversal is caused by duplication or deletion of core enhancers upstream of SOX9. Nat. Commun. 2018, 9, 5319. [Google Scholar] [CrossRef]
- Eozenou, C.; Gonen, N.; Touzon, M.S.; Jorgensen, A.; Yatsenko, S.A.; Fusee, L.; Kamel, A.K.; Gellen, B.; Guercio, G.; Singh, P.; et al. Testis formation in XX individuals resulting from novel pathogenic variants in Wilms’ tumor 1 (WT1) gene. Proc. Natl. Acad. Sci. USA 2020, 117, 13680–13688. [Google Scholar] [CrossRef]
- Edgar, R.; Domrachev, M.; Lash, A.E. Gene Expression Omnibus: NCBI gene expression and hybridization array data repository. Nucleic Acids Res. 2002, 30, 207–210. [Google Scholar] [CrossRef]



| Female Samples | |||||||||
|---|---|---|---|---|---|---|---|---|---|
| DE Genes | Binding Site for MYRF | pct. MYRF (+) | pct. MYRF (−) | p-Value adj | DE Genes | Binding Site for MYRF | pct. MYRF (+) | pct. MYRF (−) | p-Value adj |
| MYRF | + | 1 | 0 | 1.3608 × 10−261 | ZFP36 | + | 0.543 | 0.398 | 3.03465 × 10−5 |
| NR4A1 | − | 0.444 | 0.249 | 1.63171 × 10−10 | IER2 | + | 0.81 | 0.691 | 0.000188878 |
| SOCS3 | − | 0.443 | 0.239 | 2.54304 × 10−10 | CITED2 | + | 0.672 | 0.474 | 0.000278465 |
| CRIP1 | − | 0.509 | 0.322 | 5.59507 × 10−8 | CALB2 | − | 0.439 | 0.292 | 0.000329296 |
| FOSB | + | 0.568 | 0.383 | 1.88434 × 10−7 | JUNB | + | 0.642 | 0.513 | 0.001629543 |
| EGR1 | + | 0.631 | 0.464 | 1.82088 × 10−6 | FOS | − | 0.775 | 0.693 | 0.006444703 |
| DUSP1 | + | 0.644 | 0.459 | 3.9062 × 10−6 | |||||
| Male Samples | |||||||||
|---|---|---|---|---|---|---|---|---|---|
| DE Genes | Binding Site for MYRF | pct. MYRF (+) | pct. MYRF (−) | p-Value adj | DE Genes | Binding Site for MYRF | pct. MYRF (+) | pct. MYRF (−) | p-Value adj |
| MYRF | + | 1 | 0 | 1.18 × 10−81 | TNNI1 | − | 0.764 | 0.45 | 0.001116 |
| H2AFX | + | 0.651 | 0.282 | 6.08 × 10−8 | TMEM88 | − | 0.455 | 0.187 | 0.001454 |
| C21orf58 | − | 0.371 | 0.1 | 1.29 × 10−6 | GGH | − | 0.48 | 0.201 | 0.001921 |
| HILPDA | − | 0.535 | 0.201 | 2.98 × 10−6 | UBE2T | − | 0.455 | 0.211 | 0.001941 |
| DSG2 | + | 0.549 | 0.211 | 3.24 × 10−6 | MKI67 | − | 0.404 | 0.163 | 0.002216 |
| DNMT1 | + | 0.6 | 0.263 | 3.39 × 10−6 | ZWINT | − | 0.484 | 0.22 | 0.002686 |
| ROBO1 | − | 0.484 | 0.172 | 8.73 × 10−6 | CDK1 | − | 0.418 | 0.172 | 0.002747 |
| AURKB | + | 0.458 | 0.163 | 2.32 × 10−5 | IDH2 | + | 0.698 | 0.407 | 0.003044 |
| SGO1 | − | 0.371 | 0.11 | 3.15 × 10−5 | CDCA3 | − | 0.313 | 0.1 | 0.004612 |
| GMNN | + | 0.524 | 0.225 | 3.97 × 10−5 | PABPN1 | + | 0.76 | 0.488 | 0.004802 |
| NOVA1 | − | 0.716 | 0.383 | 4.61 × 10−5 | MTRNR2L10 | NA | 0.825 | 0.526 | 0.006358 |
| STX10 | + | 0.585 | 0.258 | 7.52 × 10−5 | PCNA | + | 0.665 | 0.373 | 0.006529 |
| UBE2S | + | 0.625 | 0.335 | 9.06 × 10−5 | TYRO3 | + | 0.633 | 0.325 | 0.008898 |
| CMSS1 | − | 0.622 | 0.297 | 0.000107 | ECI1 | + | 0.596 | 0.306 | 0.009338 |
| FEN1 | − | 0.447 | 0.172 | 0.000119 | TK1 | + | 0.564 | 0.325 | 0.009615 |
| SCARB2 | + | 0.629 | 0.306 | 0.000145 | EIF3E | + | 0.982 | 0.967 | 0.010135 |
| RPSAP52 | − | 0.444 | 0.172 | 0.000187 | LAPTM4B | − | 0.895 | 0.67 | 0.011395 |
| HNRNPAB | + | 0.716 | 0.388 | 0.000202 | CKS2 | + | 0.695 | 0.426 | 0.014009 |
| YLPM1 | − | 0.407 | 0.148 | 0.000275 | RABL6 | − | 0.651 | 0.368 | 0.01407 |
| LIG1 | + | 0.349 | 0.11 | 0.000322 | CENPF | − | 0.524 | 0.282 | 0.015355 |
| SMC1A | − | 0.455 | 0.182 | 0.000419 | AKR1B1 | + | 0.876 | 0.617 | 0.020538 |
| SMC2 | − | 0.498 | 0.225 | 0.000429 | BIRC5 | + | 0.545 | 0.311 | 0.021154 |
| H2AFZ | − | 0.942 | 0.823 | 0.00049 | AURKA | + | 0.255 | 0.077 | 0.021308 |
| CENPM | − | 0.44 | 0.177 | 0.000496 | CBX5 | − | 0.931 | 0.732 | 0.022631 |
| CENPV | − | 0.647 | 0.368 | 0.000586 | SMARCC1 | + | 0.771 | 0.464 | 0.022672 |
| USP10 | − | 0.531 | 0.244 | 0.000751 | UBE2C | + | 0.542 | 0.297 | 0.023105 |
| CDH3 | − | 0.531 | 0.249 | 0.000837 | ZDHHC8P1 | − | 0.742 | 0.464 | 0.027005 |
| ASF1B | + | 0.302 | 0.086 | 0.000849 | MAG | − | 0.495 | 0.249 | 0.031231 |
| HNRNPD | + | 0.884 | 0.718 | 0.00087 | SOX11 | − | 0.64 | 0.383 | 0.031795 |
| ITGA3 | − | 0.596 | 0.292 | 0.000892 | TPX2 | + | 0.375 | 0.153 | 0.035526 |
| TMEM106C | − | 0.68 | 0.411 | 0.000936 | H2AFV | − | 0.858 | 0.622 | 0.038892 |
| FBXO5 | − | 0.367 | 0.129 | 0.000963 | |||||
Publisher’s Note: MDPI stays neutral with regard to jurisdictional claims in published maps and institutional affiliations. |
© 2022 by the authors. Licensee MDPI, Basel, Switzerland. This article is an open access article distributed under the terms and conditions of the Creative Commons Attribution (CC BY) license (https://creativecommons.org/licenses/by/4.0/).
Share and Cite
Calonga-Solís, V.; Fabbri-Scallet, H.; Ott, F.; Al-Sharkawi, M.; Künstner, A.; Wünsch, L.; Hiort, O.; Busch, H.; Werner, R. MYRF: A New Regulator of Cardiac and Early Gonadal Development—Insights from Single Cell RNA Sequencing Analysis. J. Clin. Med. 2022, 11, 4858. https://doi.org/10.3390/jcm11164858
Calonga-Solís V, Fabbri-Scallet H, Ott F, Al-Sharkawi M, Künstner A, Wünsch L, Hiort O, Busch H, Werner R. MYRF: A New Regulator of Cardiac and Early Gonadal Development—Insights from Single Cell RNA Sequencing Analysis. Journal of Clinical Medicine. 2022; 11(16):4858. https://doi.org/10.3390/jcm11164858
Chicago/Turabian StyleCalonga-Solís, Verónica, Helena Fabbri-Scallet, Fabian Ott, Mostafa Al-Sharkawi, Axel Künstner, Lutz Wünsch, Olaf Hiort, Hauke Busch, and Ralf Werner. 2022. "MYRF: A New Regulator of Cardiac and Early Gonadal Development—Insights from Single Cell RNA Sequencing Analysis" Journal of Clinical Medicine 11, no. 16: 4858. https://doi.org/10.3390/jcm11164858
APA StyleCalonga-Solís, V., Fabbri-Scallet, H., Ott, F., Al-Sharkawi, M., Künstner, A., Wünsch, L., Hiort, O., Busch, H., & Werner, R. (2022). MYRF: A New Regulator of Cardiac and Early Gonadal Development—Insights from Single Cell RNA Sequencing Analysis. Journal of Clinical Medicine, 11(16), 4858. https://doi.org/10.3390/jcm11164858

