A Prospective Analysis of Skin and Fingertip Advanced Glycation End-Product Devices in Healthy Volunteers
Abstract
:1. Introduction
2. Material and Methods
2.1. Ethics Statement
2.2. Study Design and Setting
2.3. Technique of Skin Autofluorescence Advanced Glycation End Products Measurement
2.4. Intrarater Reliability, Two-Timepoint Agreement and Correlations
2.5. Statistical Analysis
3. Results
3.1. Participant’s Demographics and Characteristics
3.2. Intrarater Reliability and Two-Timepoint Agreement
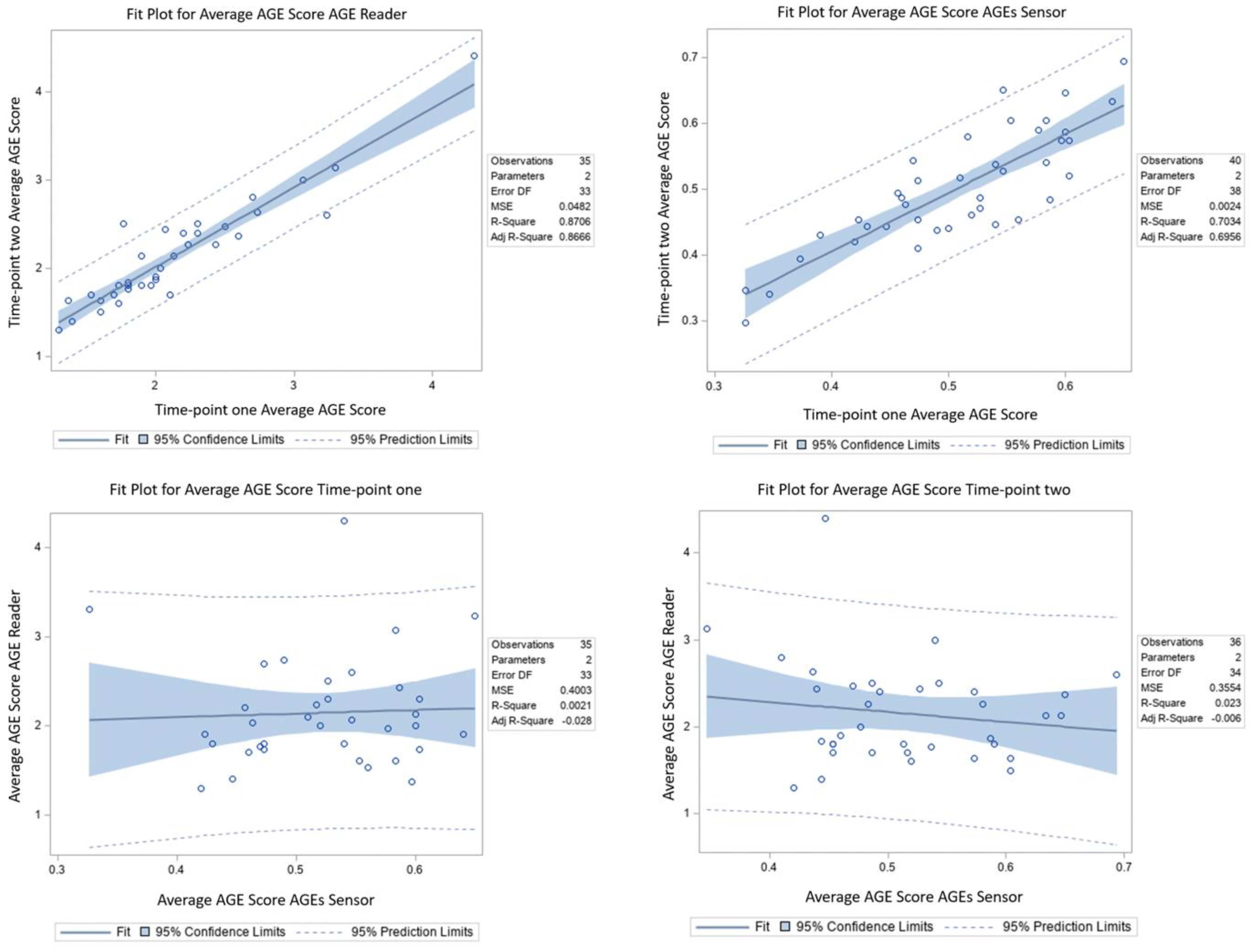
3.3. Correlation Analyses
4. Discussion
5. Conclusions
Author Contributions
Funding
Institutional Review Board Statement
Informed Consent Statement
Data Availability Statement
Conflicts of Interest
References
- Singh, R.; Barden, A.; Mori, T.; Beilin, L. Advanced glycation end-products: A review. Diabetologia 2001, 44, 129–146. [Google Scholar] [CrossRef] [PubMed]
- Waqas, K.; Chen, J.; Koromani, F.; Trajanoska, K.; van der Eerden, B.C.; Uitterlinden, A.G.; Rivadeneira, F.; Zillikens, M.C. Skin autofluorescence, a noninvasive biomarker for advanced glycation end-products, is associated with prevalent vertebral and major osteoporotic fractures: The Rotterdam study. J. Bone Miner. Res. 2020, 35, 1904–1913. [Google Scholar] [CrossRef] [PubMed]
- Semedo, C.D.M.; Webb, M.; Waller, H.; Khunti, K.; Davies, M. Skin autofluorescence, a non-invasive marker of advanced glycation end products: Clinical relevance and limitations. Postgrad. Med. J. 2017, 93, 289–294. [Google Scholar] [CrossRef] [PubMed]
- Nowotny, K.; Jung, T.; Höhn, A.; Weber, D.; Grune, T.; Nowotny, K.; Jung, T.; Höhn, A.; Weber, D.; Grune, T. Advanced glycation end products and oxidative stress in type 2 diabetes mellitus. Biomolecules 2015, 5, 194–222. [Google Scholar] [CrossRef] [PubMed]
- Fokkens, B.T.; Smit, A.J. Skin fluorescence as a clinical tool for non-invasive assessment of advanced glycation and long-term complications of diabetes. Glycoconj. J. 2016, 33, 527–535. [Google Scholar] [CrossRef] [PubMed]
- Ramsauer, B.; Engels, G.; Arsov, S.; Hadimeri, H.; Sikole, A.; Graaff, R.; Stegmayr, B. Comparing changes in plasma and skin autofluorescence in low-flux versus high-flux hemodialysis. Int. J. Artif. Organs 2015, 38, 488–493. [Google Scholar] [CrossRef] [PubMed]
- Meerwaldt, R.; Graaff, R.; Oomen, P.H.N.; Links, T.P.; Jager, J.J.; Alderson, N.L.; Thorpe, V.; Baynes, J.W.; Gans, R.; Smit, A.J. Simple non-invasive assessment of advanced glycation endproduct accumulation. Diabetologia 2004, 47, 1324–1330. [Google Scholar] [CrossRef] [PubMed]
- Dyer, D.G.; Dunn, J.A.; Thorpe, S.R.; Bailie, K.E.; Lyons, T.J.; McCance, D.R.; Baynes, J.W. Accumulation of maillard reaction products in skin collagen in diabetes and aging. J. Clin. Investing. 1993, 91, 2463–2469. [Google Scholar] [CrossRef]
- Tabara, Y.; Ikezoe, T.; Yamanaka, M.; Setoh, K.; Segawa, H.; Kawaguchi, T.; Kosugi, S.; Nakayama, T.; Ichihashi, N.; Tsuboyama, T.; et al. Advanced glycation end product accumulation is associated with low skeletal muscle mass, weak muscle strength, and reduced bone density: The Nagahama Study. J. Gerontol. Ser. A Biol. Sci. Med. Sci. 2018, 74, 1446–1453. [Google Scholar] [CrossRef] [PubMed]
- Semba, R.D.; Nicklett, E.J.; Ferrucci, L. Does accumulation of advanced glycation end products contribute to the aging phenotype? J. Gerontol. Ser. A Biol. Sci. Med. Sci. 2010, 65, 963–975. [Google Scholar] [CrossRef]
- Mori, H.; Kuroda, A.; Araki, M.; Suzuki, R.; Taniguchi, S.; Tamaki, M.; Akehi, Y.; Matsuhisa, M. Advanced glycation end-products are a risk for muscle weakness in Japanese patients with type 1 diabetes. J. Diabetes Investig. 2016, 8, 377–382. [Google Scholar] [CrossRef] [PubMed]
- Momma, H.; Niu, K.; Kobayashi, Y.; Guan, L.; Sato, M.; Guo, H.; Chujo, M.; Otomo, A.; Yufei, C.; Tadaura, H.; et al. Skin advanced glycation end product accumulation and muscle strength among adult men. Eur. J. Appl. Physiol. 2010, 111, 1545–1552. [Google Scholar] [CrossRef]
- Furst, J.R.; Bandeira, L.C.; Fan, W.-W.; Agarwal, S.; Nishiyama, K.K.; McMahon, D.J.; Dworakowski, E.; Jiang, H.; Silverberg, S.J.; Rubin, M.R. Advanced glycation endproducts and bone material strength in type 2 diabetes. J. Clin. Endocrinol. Metab. 2016, 101, 2502–2510. [Google Scholar] [CrossRef]
- Hein, G.; Wiegand, R.; Lehmann, G.; Stein, G.; Franke, S. Advanced glycation end-products pentosidine and N -carboxymethyllysine are elevated in serum of patients with osteoporosis. Rheumatology 2003, 42, 1242–1246. [Google Scholar] [CrossRef] [PubMed]
- Ahdi, M.; Gerdes, V.E.; Graaff, R.; Kuipers, S.; Smit, A.J.; Meesters, E.W. Skin autofluorescence and complications of diabetes: Does ethnic background or skin color matter? Diabetes Technol. Ther. 2015, 17, 88–95. [Google Scholar] [CrossRef]
- Mulder, D.J.; Van De Water, T.; Lutgers, H.L.; Graaff, R.; Gans, R.O.; Zijlstra, F.; Smit, A.J. Skin autofluorescence, a novel marker for glycemic and oxidative stress-derived advanced glycation end products: An overview of current clinical studies, evidence, and limitations. Diabetes Technol. Ther. 2006, 8, 523–535. [Google Scholar] [CrossRef]
- Meerwaldt, R.; Links, T.; Graaff, R.; Thorpe, S.R.; Baynes, J.W.; Hartog, J.; Gans, R.; Smit, A. Simple noninvasive measurement of skin autofluorescence. Ann. N. Y. Acad. Sci. 2005, 1043, 290–298. [Google Scholar] [CrossRef] [PubMed]
- Koetsier, M.; Lutgers, H.; de Jonge, C.; Links, T.; Smit, A.; Graaff, R. Reference values of skin autofluorescence. Diabetes Technol. Ther. 2010, 12, 399–403. [Google Scholar] [CrossRef]
- Fernando, M.E.; Crowther, R.G.; Lazzarini, P.A.; Sangla, K.S.; Wearing, S.; Buttner, P.; Golledge, J. Within- and between-body-site agreement of skin autofluorescence measurements in people with and without diabetes-related foot disease. J. Diabetes Sci. Technol. 2019, 13, 836–846. [Google Scholar] [CrossRef] [PubMed]
- Yamanaka, M.; Matsumura, T.; Ohno, R.; Fujiwara, Y.; Shinagawa, M.; Sugawa, H.; Hatano, K.; Shirakawa, J.; Kinoshita, H.; Ito, K.; et al. Non-invasive measurement of skin autofluorescence to evaluate diabetic complications. J. Clin. Biochem. Nutr. 2016, 58, 135–140. [Google Scholar] [CrossRef] [PubMed]
- Koo, T.K.; Li, M.Y. A guideline of selecting and reporting intraclass correlation coefficients for reliability research. J. Chiropr. Med. 2016, 15, 155–163. [Google Scholar] [CrossRef] [PubMed]
- Pathak, M.A.; Jimbow, K.; Szabo, G.; Fitzpatrick, T.B. Sunlight and melanin pigmentation. In Photochemical and Photobiological Reviews; Smith, K.C., Ed.; Springer: Boston, MA, USA, 1976; Volume 1, pp. 211–239. [Google Scholar]
- Yamamoto, M.; Sugimoto, T. Advanced glycation end products, diabetes, and bone strength. Curr. Osteoporos. Rep. 2016, 14, 320–326. [Google Scholar] [CrossRef] [PubMed]
- Graaff, R.; Arsov, S.; Ramsauer, B.; Koetsier, M.; Sundvall, N.; Engels, G.E.; Sikole, A.; Lundberg, L.; Rakhorst, G.; Stegmayr, B. Skin and plasma autofluorescence during hemodialysis: A pilot study. Artif. Organs 2013, 38, 515–518. [Google Scholar] [CrossRef] [PubMed]
- Monnier, V.M.; Kohn, R.R.; Cerami, A. Accelerated age-related browning of human collagen in diabetes mellitus. Proc. Natl. Acad. Sci. USA 1984, 81, 583–587. [Google Scholar] [CrossRef] [PubMed]
- Stamatas, G.; Estanislao, R.; Suero, M.; Rivera, Z.; Li, J.; Khaiat, A.; Kollias, N. Facial skin fluorescence as a marker of the skin’s response to chronic environmental insults and its dependence on age. Br. J. Dermatol. 2005, 154, 125–132. [Google Scholar] [CrossRef] [PubMed]
- Lutgers, H.L.; Graaff, R.; Links, T.P.; Ubink-Veltmaat, L.J.; Bilo, H.J.; Gans, R.O.; Smit, A.J. Skin autofluorescence as a noninvasive marker of vascular damage in patients with type 2 diabetes. Diabetes Care 2006, 29, 2654–2659. [Google Scholar] [CrossRef]
- Osawa, S.; Katakami, N.; Sato, I.; Ninomiya, H.; Omori, K.; Yamamoto, Y.; Takahara, M.; Miyashita, K.; Sakamoto, F.; Kawamori, D.; et al. Skin autofluorescence is associated with vascular complications in patients with type 2 diabetes. J. Diabetes Complicat. 2018, 32, 839–844. [Google Scholar] [CrossRef]
- Meerwaldt, R.; Hartog, J.W.; Graaff, R.; Huisman, R.J.; Links, T.P.; Hollander, N.C.D.; Thorpe, V.; Baynes, J.W.; Navis, G.; Gans, R.; et al. Skin autofluorescence, a measure of cumulative metabolic stress and advanced glycation end products, predicts mortality in hemodialysis patients. J. Am. Soc. Nephrol. 2005, 16, 3687–3693. [Google Scholar] [CrossRef]
- Holman, R.R.; Paul, S.K.; Bethel, M.A.; Matthews, D.R.; Neil, H.A. 10-year follow-up of intensive glucose control in type 2 diabetes. N. Engl. J. Med. 2008, 359, 1577–1589. [Google Scholar] [CrossRef]
- Brenner, M.; Hearing, J.V. The protective role of melanin against UV. Photochem. Photobiol. 2008, 84, 539–549. [Google Scholar] [CrossRef]
- World Health Organization. Global status report on noncommunicable diseases. World Health Organ. 2010, 53, 1689–1699. [Google Scholar] [CrossRef]

| Variables | |
|---|---|
| Gender, n (%) | |
| Male | 15 (37.5) |
| Female | 25 (62.5) |
| Race, n (%) | |
| White/Caucasian | 21 (52.5) |
| Others | 8 (20.0) |
| Black/African American | 6 (15.0) |
| Asian | 5 (12.5) |
| Mean Body Mass Index (BMI) (kg/m2), (SD) | 25.9 (5.2) |
| Fitzpatrick Skin Type, n (%) | |
| I | 4 (10.0) |
| II | 13 (32.5) |
| III | 9 (22.5) |
| IV | 7 (17.5) |
| V | 5 (12.5) |
| VI | 2 (5.0) |
| Variables, n (%) | |
|---|---|
| Osteoporosis | 0 (0.0) |
| Diabetes | 1 (2.5) |
| Chronic Heart Disease | 0 (0.0) |
| Chronic Lung Disease | 1 (2.5) |
| Kidney Disease | 0 (0.0) |
| Liver Disease | 0 (0.0) |
| Mental Health Problems | 0 (0.0) |
| Smoking | |
| Never | 36 (90.0) |
| Former | 3 (7.5) |
| Current | 1 (2.5) |
| Alcohol consumption | |
| Never | 3 (7.5) |
| Social drinker | 29 (72.5) |
| More | 6 (15.0) |
| N/A | 2 (5.0) |
| Regular usage of skin moisturizer | 33 (82.5) |
| Regular usage of anti-aging products | 13 (32.5) |
| Physical activity within the last 48 h | 20 (50.0) |
| Regular physical activity | 25 (62.5) |
| Lifestyle changes since the first measurement * | 9 (22.5) |
| (1). ICC for intrarater reliability | ||
| ICC for intrarater reliability | ||
| Value | ICC | 95% CI |
| AGE reader | ||
| Timepoint 1 | 0.998 | (0.996, 0.999) |
| Timepoint 2 | 0.996 | (0.993, 0.998) |
| AGE sensor | ||
| Timepoint 1 | 0.942 | (0.904, 0.967) |
| Timepoint 2 | 0.923 | (0.866, 0.957) |
| (2). ICC for test–retest reliability | ||
| ICC for two-timepoint agreement | ||
| Value | ICC | 95% CI |
| AGE reader | ||
| 1. Measurement | 0.958 | (0.919, 0.979) |
| 2. Measurement | 0.969 | (0.939, 0.984) |
| 3. Measurement | 0.965 | (0.923, 0.980) |
| Average score | 0.965 | (0.931, 0.982) |
| AGE sensor | ||
| 1. Measurement | 0.848 | (0.711, 0.919) |
| 2. Measurement | 0.814 | (0.647, 0.901) |
| 3. Measurement | 0.861 | (0.723, 0.928) |
| Average score | 0.912 | (0.834, 0.953) |
Publisher’s Note: MDPI stays neutral with regard to jurisdictional claims in published maps and institutional affiliations. |
© 2022 by the authors. Licensee MDPI, Basel, Switzerland. This article is an open access article distributed under the terms and conditions of the Creative Commons Attribution (CC BY) license (https://creativecommons.org/licenses/by/4.0/).
Share and Cite
Adl Amini, D.; Moser, M.; Chiapparelli, E.; Oezel, L.; Zhu, J.; Okano, I.; Shue, J.; Sama, A.A.; Cammisa, F.P.; Girardi, F.P.; et al. A Prospective Analysis of Skin and Fingertip Advanced Glycation End-Product Devices in Healthy Volunteers. J. Clin. Med. 2022, 11, 4709. https://doi.org/10.3390/jcm11164709
Adl Amini D, Moser M, Chiapparelli E, Oezel L, Zhu J, Okano I, Shue J, Sama AA, Cammisa FP, Girardi FP, et al. A Prospective Analysis of Skin and Fingertip Advanced Glycation End-Product Devices in Healthy Volunteers. Journal of Clinical Medicine. 2022; 11(16):4709. https://doi.org/10.3390/jcm11164709
Chicago/Turabian StyleAdl Amini, Dominik, Manuel Moser, Erika Chiapparelli, Lisa Oezel, Jiaqi Zhu, Ichiro Okano, Jennifer Shue, Andrew A. Sama, Frank P. Cammisa, Federico P. Girardi, and et al. 2022. "A Prospective Analysis of Skin and Fingertip Advanced Glycation End-Product Devices in Healthy Volunteers" Journal of Clinical Medicine 11, no. 16: 4709. https://doi.org/10.3390/jcm11164709
APA StyleAdl Amini, D., Moser, M., Chiapparelli, E., Oezel, L., Zhu, J., Okano, I., Shue, J., Sama, A. A., Cammisa, F. P., Girardi, F. P., & Hughes, A. P. (2022). A Prospective Analysis of Skin and Fingertip Advanced Glycation End-Product Devices in Healthy Volunteers. Journal of Clinical Medicine, 11(16), 4709. https://doi.org/10.3390/jcm11164709

