Correlation of Lung Damage on CT Scan with Laboratory Inflammatory Markers in COVID-19 Patients: A Single-Center Study from Romania
Abstract
:1. Introduction
2. Materials and Methods
2.1. Study Design and Setting
2.2. Participants
2.3. Variables and Data Collection
2.4. Chest CT Imaging
2.5. Statistical Analysis
3. Results
3.1. Characteristics of the Patients
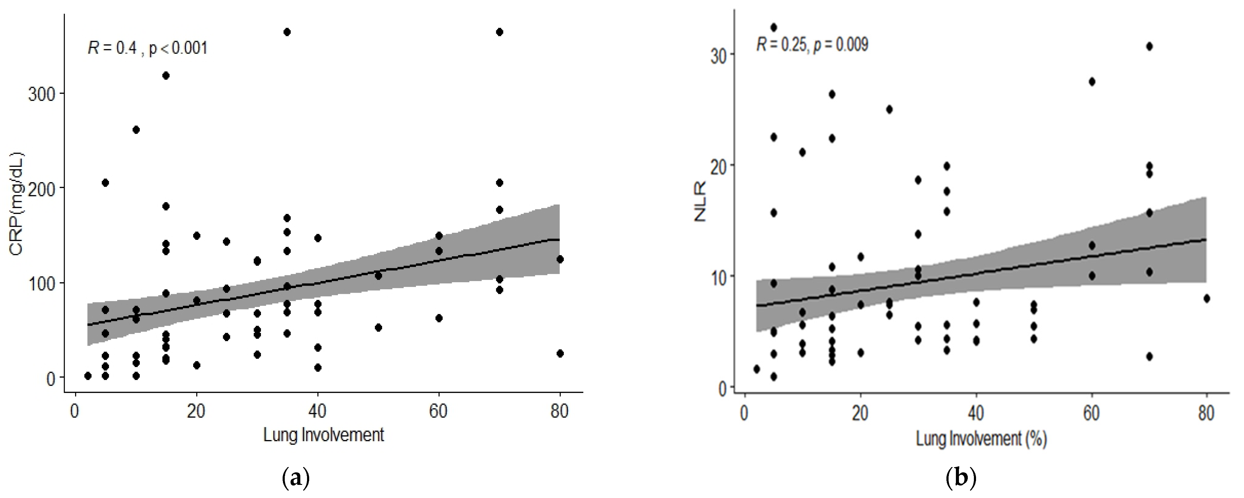
3.2. Association of Inflammatory Biomarkers with Lung Injury Severity in COVID-19
3.3. Receiver Operating Characteristic Analysis of Inflammatory Biomarkers on Admission
4. Discussion
Author Contributions
Funding
Institutional Review Board Statement
Informed Consent Statement
Data Availability Statement
Conflicts of Interest
References
- Alsharif, W.; Qurashi, A. Effectiveness of COVID-19 Diagnosis and Management Tools: A Review. Radiography 2021, 27, 682–687. [Google Scholar] [CrossRef] [PubMed]
- WHO Director-General’s Opening Remarks at the Media Briefing on COVID-19—11 March 2020. Available online: https://www.who.int/director-general/speeches/detail/who-director-general-s-opening-remarks-at-the-media-briefing-on-covid-19---11-march-2020 (accessed on 19 February 2022).
- COVID Live Coronavirus Statistics. Worldometer. Available online: https://www.worldometers.info/coronavirus/ (accessed on 13 February 2022).
- Fang, Y.; Zhang, H.; Xie, J.; Lin, M.; Ying, L.; Pang, P.; Ji, W. Sensitivity of Chest CT for COVID-19: Comparison to RT-PCR. Radiology 2020, 296, E115–E117. [Google Scholar] [CrossRef] [PubMed]
- Gu, J.; Yang, L.; Li, T.; Liu, Y.; Zhang, J.; Ning, K.; Su, D. Temporal Relationship between Serial RT-PCR Results and Serial Chest CT Imaging, and Serial CT Changes in Coronavirus 2019 (COVID-19) Pneumonia: A Descriptive Study of 155 Cases in China. Eur. Radiol. 2021, 31, 1175–1184. [Google Scholar] [CrossRef] [PubMed]
- Saeed, G.A.; Gaba, W.; Shah, A.; Al Helali, A.A.; Raidullah, E.; Al Ali, A.B.; Elghazali, M.; Ahmed, D.Y.; Al Kaabi, S.G.; Almazrouei, S. Correlation between Chest CT Severity Scores and the Clinical Parameters of Adult Patients with COVID-19 Pneumonia. Radiol. Res. Pract. 2021, 2021, e6697677. [Google Scholar] [CrossRef] [PubMed]
- Sun, D.; Li, X.; Guo, D.; Wu, L.; Chen, T.; Fang, Z.; Chen, L.; Zeng, W.; Yang, R. CT Quantitative Analysis and Its Relationship with Clinical Features for Assessing the Severity of Patients with COVID-19. Korean J. Radiol. 2020, 21, 859–868. [Google Scholar] [CrossRef] [PubMed]
- Liu, J.; Yu, H.; Zhang, S. The Indispensable Role of Chest CT in the Detection of Coronavirus Disease 2019 (COVID-19). Eur. J. Nucl. Med. Mol. Imaging 2020, 47, 1638–1639. [Google Scholar] [CrossRef] [Green Version]
- Zhou, X.; Pu, Y.; Zhang, D.; Xia, Y.; Guan, Y.; Liu, S.; Fan, L. CT Findings and Dynamic Imaging Changes of COVID-19 in 2908 Patients: A Systematic Review and Meta-Analysis. Acta Radiol. 2022, 63, 291–310. [Google Scholar] [CrossRef]
- Mahat, R.K.; Panda, S.; Rathore, V.; Swain, S.; Yadav, L.; Sah, S.P. The Dynamics of Inflammatory Markers in Coronavirus Disease-2019 (COVID-19) Patients: A Systematic Review and Meta-Analysis. Clin. Epidemiol. Glob. Health 2021, 11, 100727. [Google Scholar] [CrossRef]
- Citu, C.; Gorun, F.; Motoc, A.; Sas, I.; Gorun, O.M.; Burlea, B.; Tuta-Sas, I.; Tomescu, L.; Neamtu, R.; Malita, D.; et al. The Predictive Role of NLR, d-NLR, MLR, and SIRI in COVID-19 Mortality. Diagnostics 2022, 12, 122. [Google Scholar] [CrossRef]
- World Health Organization. Clinical Management of Severe Acute Respiratory Infection (SARI) When COVID-19 Disease Is Suspected. World Health Organization. Available online: https://www.who.int/docs/default-source/coronaviruse/clinical-management-of-novel-cov.pdf (accessed on 19 February 2022).
- COVID-19 Treatment Guidelines Panel. Coronavirus Disease 2019 (COVID-19) Treatment Guidelines. National Institutes of Health. Available online: https://www.covid19treatmentguidelines.nih.gov/ (accessed on 19 February 2022).
- Wu, J.; Wu, X.; Zeng, W.; Guo, D.; Fang, Z.; Chen, L.; Huang, H.; Li, C. Chest CT Findings in Patients With Coronavirus Disease 2019 and Its Relationship With Clinical Features. Investig. Radiol. 2020, 55, 257–261. [Google Scholar] [CrossRef]
- Wang, Y.; Dong, C.; Hu, Y.; Li, C.; Ren, Q.; Zhang, X.; Shi, H.; Zhou, M. Temporal Changes of CT Findings in 90 Patients with COVID-19 Pneumonia: A Longitudinal Study. Radiology 2020, 296, E55–E64. [Google Scholar] [CrossRef] [PubMed] [Green Version]
- Ojha, V.; Mani, A.; Pandey, N.N.; Sharma, S.; Kumar, S. CT in Coronavirus Disease 2019 (COVID-19): A Systematic Review of Chest CT Findings in 4410 Adult Patients. Eur. Radiol. 2020, 30, 6129–6138. [Google Scholar] [CrossRef] [PubMed]
- Di Meglio, L.; Carriero, S.; Biondetti, P.; Wood, B.J.; Carrafiello, G. Chest Imaging in Patients with Acute Respiratory Failure Because of Coronavirus Disease 2019. Curr. Opin. Crit. Care 2022, 28, 17–24. [Google Scholar] [CrossRef]
- Kanne, J.P. Chest CT Findings in 2019 Novel Coronavirus (2019-NCoV) Infections from Wuhan, China: Key Points for the Radiologist. Radiology 2020, 295, 16–17. [Google Scholar] [CrossRef] [Green Version]
- Li, J.; Yan, R.; Zhai, Y.; Qi, X.; Lei, J. Chest CT Findings in Patients with Coronavirus Disease 2019 (COVID-19): A Comprehensive Review. Diagn. Interv. Radiol. 2021, 27, 621–632. [Google Scholar] [CrossRef] [PubMed]
- Salehi, S.; Abedi, A.; Balakrishnan, S.; Gholamrezanezhad, A. Coronavirus Disease 2019 (COVID-19): A Systematic Review of Imaging Findings in 919 Patients. Am. J. Roentgenol. 2020, 215, 87–93. [Google Scholar] [CrossRef] [PubMed]
- Volanakis, J.E. Human C-Reactive Protein: Expression, Structure, and Function. Mol. Immunol. 2001, 38, 189–197. [Google Scholar] [CrossRef]
- Tan, C.; Huang, Y.; Shi, F.; Tan, K.; Ma, Q.; Chen, Y.; Jiang, X.; Li, X. C-Reactive Protein Correlates with Computed Tomographic Findings and Predicts Severe COVID-19 Early. J. Med. Virol. 2020, 92, 856–862. [Google Scholar] [CrossRef] [Green Version]
- Beydoğan, E.; Yürük Atasoy, P. The Relationship between CRP at Admission and Thorax CT Findings in Patients Diagnosed with COVID-19. Int. J. Clin. Pract. 2021, 75, e14962. [Google Scholar] [CrossRef]
- Zuhair, T.; Alhashmi, A.; Mahdi, M.; Al-Husseini, H. Correlation of CT Findings with C-Reactive Protein in COVID-19 Positive PCR Patient in Kerbala Governorate/Iraq. Ann. Rom. Soc. Cell Biol. 2021, 25, 7223–7230. [Google Scholar]
- Sanli, D.E.T.; Altundag, A.; Kandemirli, S.G.; Yildirim, D.; Sanli, A.N.; Saatci, O.; Kirisoglu, C.E.; Dikensoy, O.; Murrja, E.; Yesil, A.; et al. Relationship between Disease Severity and Serum IL-6 Levels in COVID-19 Anosmia. Am. J. Otolaryngol. 2021, 42, 102796. [Google Scholar] [CrossRef] [PubMed]
- Liu, T.; Zhang, J.; Yang, Y.; Ma, H.; Li, Z.; Zhang, J.; Cheng, J.; Zhang, X.; Zhao, Y.; Xia, Z.; et al. The Potential Role of IL-6 in Monitoring Severe Case of Coronavirus Disease 2019. medRxiv 2020. [Google Scholar] [CrossRef]
- Lucijanic, M.; Cicic, D.; Stoos-Veic, T.; Pejsa, V.; Lucijanic, J.; Fazlic Dzankic, A.; Vlasac Glasnovic, J.; Soric, E.; Skelin, M.; Kusec, R. Elevated Neutrophil-to-Lymphocyte-Ratio and Platelet-to-Lymphocyte Ratio in Myelofibrosis: Inflammatory Biomarkers or Representatives of Myeloproliferation Itself? Anticancer Res. 2018, 38, 3157–3163. [Google Scholar] [PubMed]
- Man, M.A.; Rajnoveanu, R.-M.; Motoc, N.S.; Bondor, C.I.; Chis, A.F.; Lesan, A.; Puiu, R.; Lucaciu, S.-R.; Dantes, E.; Gergely-Domokos, B.; et al. Neutrophil-to-Lymphocyte Ratio, Platelets-to-Lymphocyte Ratio, and Eosinophils Correlation with High-Resolution Computer Tomography Severity Score in COVID-19 Patients. PLoS ONE 2021, 16, e0252599. [Google Scholar] [CrossRef]
- Tao, M.; Zheng, D.; Liang, X.; He, Q.; Zhang, W. Diagnostic Value of Procalcitonin for Bacterial Infections in Patients Undergoing Hemodialysis: A Systematic Review and Meta-Analysis. Ren. Fail. 2022, 44, 81–93. [Google Scholar] [CrossRef]
- Zhang, J.; Meng, G.; Li, W.; Shi, B.; Dong, H.; Su, Z.; Huang, Q.; Gao, P. Relationship of Chest CT Score with Clinical Characteristics of 108 Patients Hospitalized with COVID-19 in Wuhan, China. Respir. Res. 2020, 21, 180. [Google Scholar] [CrossRef]
- Saha, B.K.; Chong, W.H.; Austin, A.; Kathuria, R.; Datar, P.; Shkolnik, B.; Beegle, S.; Chopra, A. Pleural abnormalities in COVID-19: A narrative review. J. Thorac. Dis. 2021, 13, 4484–4499. [Google Scholar] [CrossRef]
- Chong, W.H.; Saha, B.K.; Conuel, E.; Chopra, A. The incidence of pleural effusion in COVID-19 pneumonia: State-of-the-art review. Heart Lung 2021, 50, 481–490. [Google Scholar] [CrossRef]
- Ducloyer, M.; Gaborit, B.; Toquet, C.; Castain, L.; Bal, A.; Arrigoni, P.P.; Lecomte, R.; Clement, R.; Sagan, C. Complete post-mortem data in a fatal case of COVID-19: Clinical, radiological and pathological correlations. Int. J. Legal Med. 2020, 134, 2209–2214. [Google Scholar] [CrossRef]
- Wu, S.; Xue, L.; Legido-Quigley, H.; Khan, M.; Wu, H.; Peng, X.; Li, X.; Li, P. Understanding factors influencing the length of hospital stay among non-severe COVID-19 patients: A retrospective cohort study in a Fangcang shelter hospital. PLoS ONE 2021, 15, e0240959. [Google Scholar] [CrossRef]








| Variables | Overall (n = 106) | Non-Severe COVID-19 (n = 46) | Severe COVID-19 (n = 60) | p-Value |
|---|---|---|---|---|
| Age | 69 [61–74] | 67 [47.2–72.0] | 70.5 [64.5–76.0] | 0.01 |
| Sex | ||||
| Female | 58 (54.7%) | 22 (47.8%) | 36 (60.0%) | 0.24 |
| Male | 48 (45.3%) | 24 (52.2%) | 24 (40.0%) | |
| BMI | 28.7 [24.7–33.29] | 27.7 [22.5–36.5] | 31.1 [25.0–33.2] | 0.57 |
| Smoking | 38 (35.8%) | 14 (30.4%) | 24 (40.0%) | 0.41 |
| Comorbidities | ||||
| Hypertension | 76 (71.6%) | 29 (63.0%) | 47 (78.3%) | 0.12 |
| Diabetes | 56 (52.8%) | 23 (50.0%) | 33 (55.0%) | 0.69 |
| COPD/Asthma | 20 (18.9%) | 2 (4.35%) | 18 (30.0%) | <0.001 |
| Malignancies | 18 (17.0%) | 7 (15.2%) | 11 (18.3%) | 0.79 |
| Laboratory data | ||||
| WBC (×109/L) | 7.19 [4.70–9.71] | 6.09 [4.35–9.73] | 7.26 [4.70–8.65] | 0.56 |
| Lymphocytes(×109/L) | 0.83 [0.43–1.24] | 0.88 [0.42–1.43] | 0.81 [0.43–1.12] | 0.29 |
| Neutrophils(×109/L) | 5.92 [3.59–7.62] | 5.51 [3.03–7.50] | 5.95 [3.71–8.82] | 0.29 |
| Monocytes (×109/L) | 0.37 [0.27–0.58] | 0.39 [0.29–0.50] | 0.36 [0.27–0.67] | 0.75 |
| Platelets(×109/L) | 190 [146–246] | 171 [128–238] | 193 [149–271] | 0.28 |
| Inflammatory markers | ||||
| CRP (mg/dL) | 69.2 [32.1–125.0] | 57.2 [23.2–95.6] | 78.0 [43.15–144.0] | 0.08 |
| IL-6 (pg/mL) | 11.5 [1.93–28.9] | 10.4 [1.50–32.7] | 11.5 [6.48–25.1] | 0.64 |
| NLR | 6.60 [4.10–11.7] | 5.40 [3.15–10.0] | 7.40 [4.40–13.8] | 0.08 |
| Procalcitonin (ng/mL) | 0.08 [0.05–0.22] | 0.08 [0.05–0.18] | 0.08 [0.05–0.27] | 0.65 |
| Clinical | ||||
| Temperature (°C) | 36.5 [36.1–37.0] | 36.4 [36.1–36.7] | 36.8 [36.1–37.7] | 0.05 |
| Respiratory rate (per minute) | 25.5 [21–31] | 24.0 [20.0–27.0] | 28.5 [23.0–34.0] | <0.001 |
| SpO2 | 93 [87–97] | 97 [92–98] | 88.5 [82.0–92.0] | <0.001 |
| Hospitalization days | 10 [6–15] | 9 [5.0–14.0] | 11 [6.75–16.0] | 0.59 |
| Deaths | 28 (26.4%) | 8 (17.4%) | 20 (33.3%) | 0.07 |
| CT findings | ||||
| Ground-glass opacities | 68 (64.2%) | 28 (60.9%) | 40 (66.7%) | 0.54 |
| Pleural effusion | 6 (5.66%) | - | 6 (10.0%) | - |
| Consolidation | 34 (32.1%) | 13 (28.3%) | 21 (35.0%) | 0.53 |
| Lung Involvement * (Median [IQR]) | 25 [15–40] | 15 [6.25–25.0] | 35 [23.7–42.5] | <0.001 |
| Lung Involvement ≥50% | 14 (13.2%) | 1 (2.2%) | 13 (21.7%) | 0.003 |
| Biomarker | AUC | Optimal Cut-Off | Youden | Sensitivity | Specificity |
|---|---|---|---|---|---|
| CRP | 0.771 | 92.5 | 0.54 | 85% | 68% |
| NLR | 0.727 | 8 | 0.54 | 85% | 68% |
| IL-6 | 0.854 | 20.75 | 0.75 | 100% | 75% |
| Procalcitonin | 0.757 | 0.29 | 0.49 | 64% | 85% |
| Biomarker | B | S.E | aOR | p-Value | 95%CI |
|---|---|---|---|---|---|
| CRP > 92.5 (mg/dL) | 2.232 | 0.857 | 9.322 | 0.009 | 1.73–50.01 |
| NLR > 8 | 1.747 | 0.839 | 5.738 | 0.03 | 1.10–29.71 |
| IL-6 > 20.75 (pg/mL) | 4.177 | 1.503 | 43.24 | 0.004 | 3.27–571.01 |
| Procalcitonin > 0.29 (ng/mL) | 2.929 | 1.036 | 18.71 | 0.005 | 2.45–142.67 |
Publisher’s Note: MDPI stays neutral with regard to jurisdictional claims in published maps and institutional affiliations. |
© 2022 by the authors. Licensee MDPI, Basel, Switzerland. This article is an open access article distributed under the terms and conditions of the Creative Commons Attribution (CC BY) license (https://creativecommons.org/licenses/by/4.0/).
Share and Cite
Citu, C.; Gorun, O.M.; Motoc, A.; Citu, I.M.; Gorun, F.; Malita, D. Correlation of Lung Damage on CT Scan with Laboratory Inflammatory Markers in COVID-19 Patients: A Single-Center Study from Romania. J. Clin. Med. 2022, 11, 4299. https://doi.org/10.3390/jcm11154299
Citu C, Gorun OM, Motoc A, Citu IM, Gorun F, Malita D. Correlation of Lung Damage on CT Scan with Laboratory Inflammatory Markers in COVID-19 Patients: A Single-Center Study from Romania. Journal of Clinical Medicine. 2022; 11(15):4299. https://doi.org/10.3390/jcm11154299
Chicago/Turabian StyleCitu, Cosmin, Oana Maria Gorun, Andrei Motoc, Ioana Mihaela Citu, Florin Gorun, and Daniel Malita. 2022. "Correlation of Lung Damage on CT Scan with Laboratory Inflammatory Markers in COVID-19 Patients: A Single-Center Study from Romania" Journal of Clinical Medicine 11, no. 15: 4299. https://doi.org/10.3390/jcm11154299
APA StyleCitu, C., Gorun, O. M., Motoc, A., Citu, I. M., Gorun, F., & Malita, D. (2022). Correlation of Lung Damage on CT Scan with Laboratory Inflammatory Markers in COVID-19 Patients: A Single-Center Study from Romania. Journal of Clinical Medicine, 11(15), 4299. https://doi.org/10.3390/jcm11154299

