The Diagnostic Accuracy of Second Trimester Plasma Glycated CD59 (pGCD59) to Identify Women with Gestational Diabetes Mellitus Based on the 75 g OGTT Using the WHO Criteria: A Prospective Study of Non-Diabetic Pregnant Women in Ireland
Abstract
1. Introduction
2. Materials and Methods
2.1. Statistical Analysis
2.2. Ethics
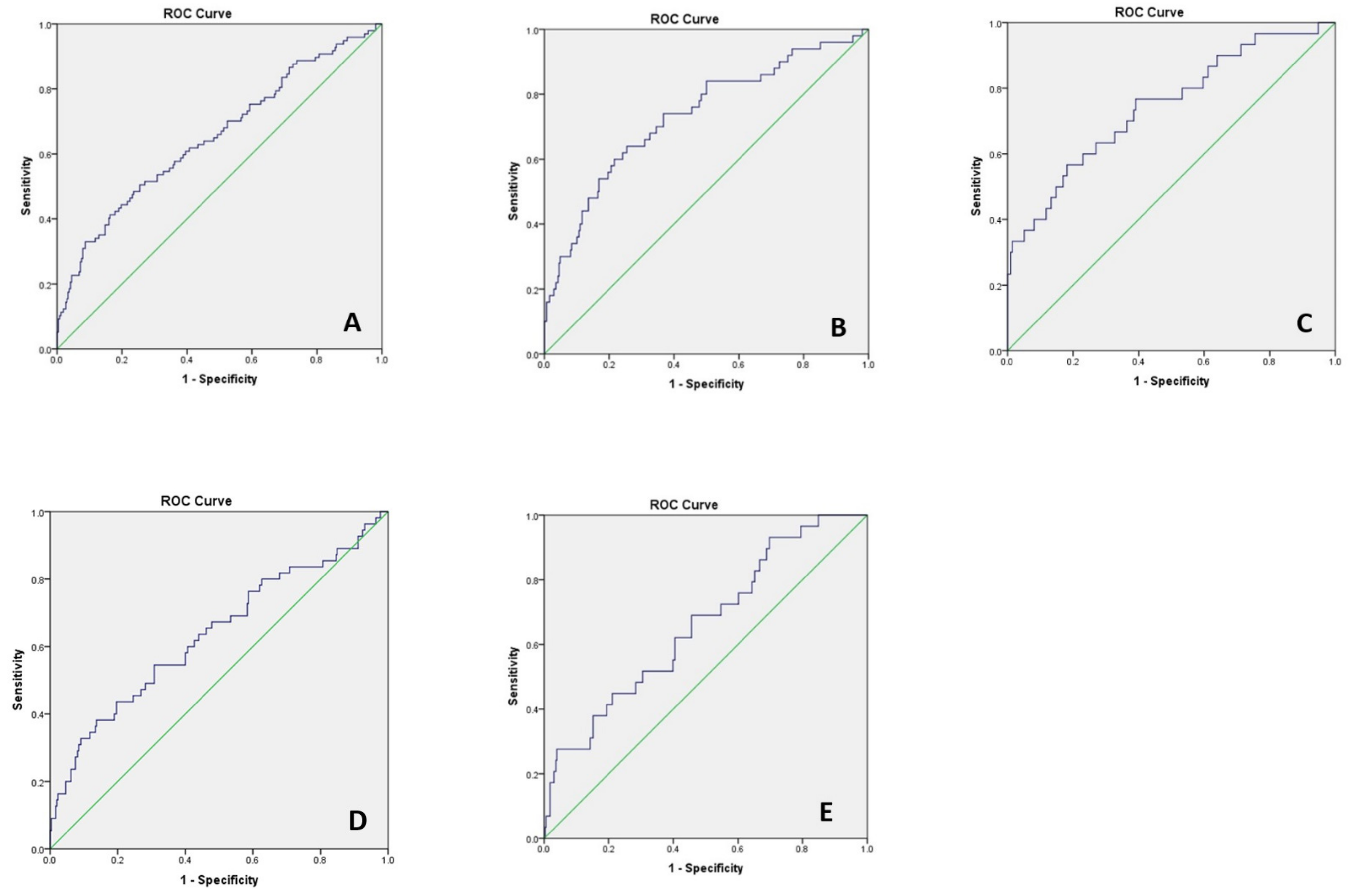
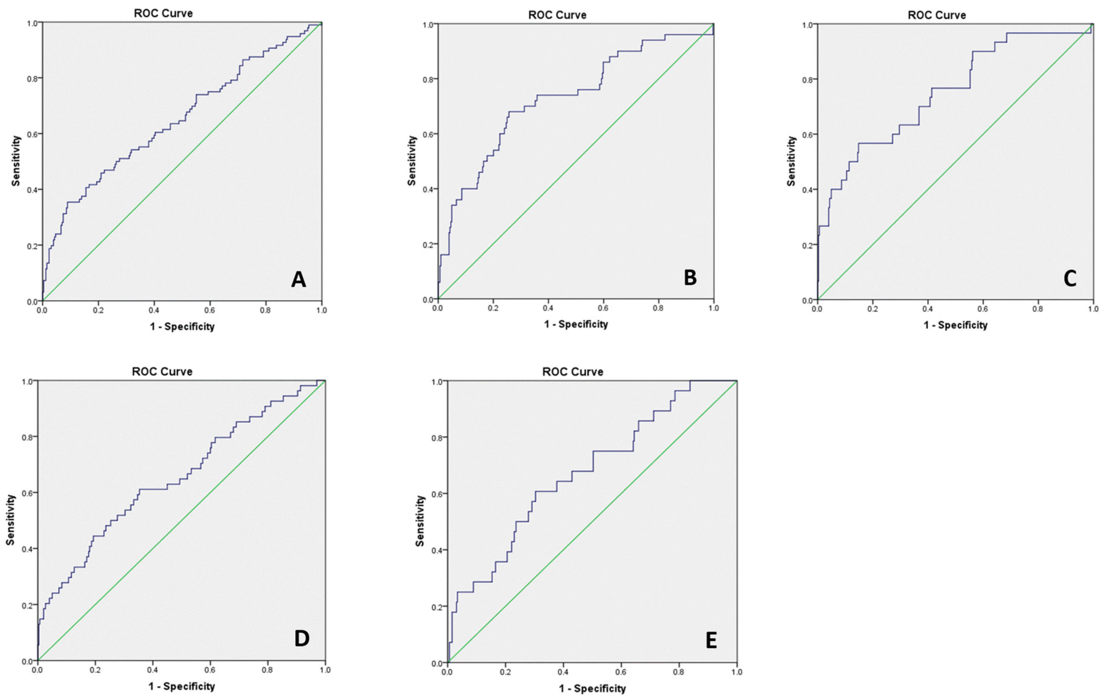
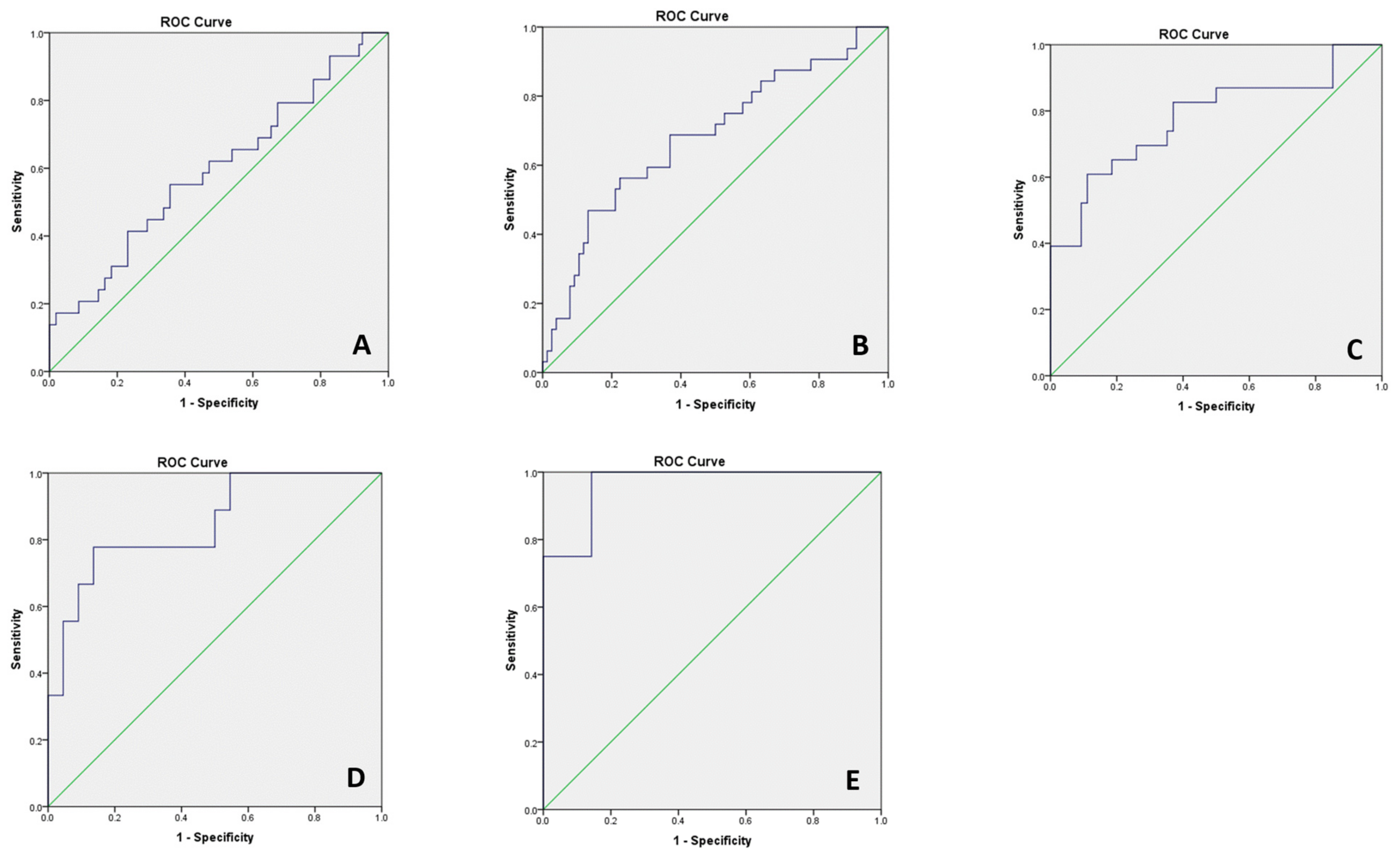
3. Results
4. Discussion
Author Contributions
Funding
Institutional Review Board Statement
Informed Consent Statement
Data Availability Statement
Acknowledgments
Conflicts of Interest
References
- Metzger, B.E.; Coustan, D.R. Summary and recommendations of the Fourth International Workshop-Conference on Gestational Diabetes Mellitus. The Organizing Committee. Diabetes Care 1998, 21 (Suppl. S2), B161–B167. [Google Scholar] [PubMed]
- International Diabetes Federation. IDF Diabetes Atlas, 9th ed.; International Diabetes Federation: Brussels, Belgium, 2019; Available online: https://www.idf.org/our-activities/care-prevention/gdm (accessed on 25 March 2022).
- Crowther, C.A.; Hiller, J.E.; Moss, J.R.; McPhee, A.J.; Jeffries, W.S.; Robinson, J.S.; Group, A.C.I.S.i.P.W.A.T. Effect of treatment of gestational diabetes mellitus on pregnancy outcomes. N. Engl. J. Med. 2005, 352, 2477–2486. [Google Scholar] [CrossRef] [PubMed]
- International Association of Diabetes and Pregnancy Study Groups Consensus P. International Association of Diabetes and Pregnancy Study Groups Recommendations on the Diagnosis and Classification of Hyperglycemia in Pregnancy. Diabetes Care 2010, 33, 676–682. [Google Scholar] [CrossRef] [PubMed]
- NICE Guidelines; Diabetes in Pregnancy: Management of Diabetes and Its Complications from Pre-Conception to the Postnatal Period. Available online: https://www.nice.org.uk/guidance/cg63 (accessed on 25 March 2021).
- American Diabetes Association. 2. Classification and Diagnosis of Diabetes. Diabetes Care 2016, 39 (Suppl. S1), S13–S22. [Google Scholar] [CrossRef]
- American College of Obstetricians and Gynecologists. Committee opinion no. 504: Screening and diagnosis of gestational diabetes mellitus. Obstet. Gynecol. 2011, 118, 751–753. [Google Scholar] [CrossRef]
- Bruns, D.E.; Metzger, B.E.; Sacks, D.B. Diagnosis of Gestational Diabetes Mellitus Will Be Flawed until We Can Measure Glucose. Clin. Chem. 2020, 66, 265–267. [Google Scholar] [CrossRef]
- Bogdanet, D.; O’Shea, P.; Lyons, C.; Shafat, A.; Dunne, F. The Oral Glucose Tolerance Test-Is It Time for a Change?-A Literature Review with an Emphasis on Pregnancy. J. Clin. Med. 2020, 9, 3451. [Google Scholar] [CrossRef]
- Ayman, G.; Strachan, J.A.; McLennan, N.; Malouf, R.; Lowe-Zinola, J.; Magdi, F.; Roberts, N.; Alderdice, F.; Berneantu, I.; Breslin, N.; et al. The top 10 research priorities in diabetes and pregnancy according to women, support networks and healthcare professionals. Diabet. Med. A J. Br. Diabet. Assoc. 2021, 38, e14588. [Google Scholar] [CrossRef]
- Morgan, B.P. Complement regulatory molecules: Application to therapy and transplantation. Immunol. Today 1995, 16, 257–259. [Google Scholar] [CrossRef][Green Version]
- Maio, M.; Brasoveanu, L.I.; Coral, S.; Sigalotti, L.; Lamaj, E.; Gasparollo, A.; Visintin, A.; Altomonte, M.; Fonsatti, E. Structure, distribution, and functional role of protectin (CD59) in complement-susceptibility and in immunotherapy of human malignancies (Review). Int. J. Oncol. 1998, 13, 305–318. [Google Scholar] [CrossRef]
- Meri, S.; Morgan, B.P.; Davies, A.; Daniels, R.H.; Olavesen, M.G.; Waldmann, H.; Lachmann, P.J. Human protectin (CD59), an 18,000-20,000 MW complement lysis restricting factor, inhibits C5b-8 catalysed insertion of C9 into lipid bilayers. Immunology 1990, 71, 1–9. [Google Scholar]
- Rollins, S.A.; Sims, P.J. The complement-inhibitory activity of CD59 resides in its capacity to block incorporation of C9 into membrane C5b-9. J. Immunol. 1990, 144, 3478–3483. [Google Scholar]
- Väkevä, A.; Lehto, T.; Takala, A.; Meri, S. Detection of a soluble form of the complement membrane attack complex inhibitor CD59 in plasma after acute myocardial infarction. Scand. J. Immunol. 2000, 52, 411–414. [Google Scholar]
- Meri, S.; Lehto, T.; Sutton, C.W.; Tyynelä, J.; Baumann, M. Structural composition and functional characterization of soluble CD59: Heterogeneity of the oligosaccharide and glycophosphoinositol (GPI) anchor revealed by laser-desorption mass spectrometric analysis. Biochem. J. 1996, 316 Pt 3, 923–935. [Google Scholar] [CrossRef]
- Acosta, J.; Hettinga, J.; Flückiger, R.; Krumrei, N.; Goldfine, A.; Angarita, L.; Halperin, J. Molecular basis for a link between complement and the vascular complications of diabetes. Proc. Natl. Acad. Sci. USA 2000, 97, 5450–5455. [Google Scholar] [CrossRef]
- Accardo-Palumbo, A.; Triolo, G.; Colonna-Romano, G.; Potestio, M.; Carbone, M.; Ferrante, A.; Giardina, E.; Caimi, G. Glucose-induced loss of glycosyl-phosphatidylinositol-anchored membrane regulators of complement activation (CD59, CD55) by in vitro cultured human umbilical vein endothelial cells. Diabetologia 2000, 43, 1039–1047. [Google Scholar] [CrossRef]
- Carpenter, M.W.; Coustan, D.R. Criteria for screening tests for gestational diabetes. Am. J. Obstet. Gynecol. 1982, 144, 768–773. [Google Scholar] [CrossRef]
- Ghosh, P.; Luque-Fernandez, M.A.; Vaidya, A.; Ma, D.; Sahoo, R.; Chorev, M.; Zera, C.; McElrath, T.F.; Williams, M.A.; Seely, E.W.; et al. Plasma Glycated CD59, a Novel Biomarker for Detection of Pregnancy-Induced Glucose Intolerance. Diabetes Care 2017, 40, 981–984. [Google Scholar] [CrossRef]
- Bogdanet, D.; O’Shea, P.M.; Halperin, J.; Dunne, F. Plasma glycated CD59 (gCD59), a novel biomarker for the diagnosis, management and follow up of women with Gestational Diabetes (GDM)—Protocol for prospective cohort study. BMC Pregnancy Childbirth 2020, 20, 412. [Google Scholar] [CrossRef]
- World Health Organization. Obesity: Preventing and Managing the Global Epidemic: Report of a WHO consultation; World Health Organization Technical Report Series; World Health Organization: Geneva, Switzerland, 2000; Volume 894, pp. 1–253. [Google Scholar]
- Ghosh, P.; Sahoo, R.; Vaidya, A.; Cantel, S.; Kavishwar, A.; Goldfine, A.; Herring, N.; Bry, L.; Chorev, M.; Halperin, J.A. A specific and sensitive assay for blood levels of glycated CD59: A novel biomarker for diabetes. Am. J. Hematol. 2013, 88, 670–676. [Google Scholar] [CrossRef]
- Ghosh, P.; Vaidya, A.; Sahoo, R.; Goldfine, A.; Herring, N.; Bry, L.; Chorev, M.; Halperin, J.A. Glycation of the complement regulatory protein CD59 is a novel biomarker for glucose handling in humans. J. Clin. Endocrinol. Metab. 2014, 99, E999–E1006. [Google Scholar] [CrossRef]
- Benhalima, K.; Hanssens, M.; Devlieger, R.; Verhaeghe, J.; Mathieu, C. Analysis of Pregnancy Outcomes Using the New IADPSG Recommendation Compared with the Carpenter and Coustan Criteria in an Area with a Low Prevalence of Gestational Diabetes. Int. J. Endocrinol. 2013, 2013, 248121. [Google Scholar] [CrossRef]
- Tahmina, S.; Daniel, M. A Comparison of Pregnancy Outcomes Using Two Diagnostic Criteria for Gestational Diabetes Mellitus-Carpenter Coustan Criteria and International Association of the Diabetes and Pregnancy Study Groups (IADPSG) Criteria. J. ASEAN Fed. Endocr. Soc. 2017, 32, 27–31. [Google Scholar] [CrossRef]
- Davis, E.M.; Abebe, K.Z.; Simhan, H.N.; Catalano, P.; Costacou, T.; Comer, D.; Orris, S.; Ly, K.; Decker, A.; Mendez, D.; et al. Perinatal Outcomes of Two Screening Strategies for Gestational Diabetes Mellitus: A Randomized Controlled Trial. Obstet. Gynecol. 2021, 138, 6–15. [Google Scholar] [CrossRef]
- Hiersch, L.; Berger, H.; Okby, R.; Ray, J.G.; Geary, M.; McDonald, S.D.; Murry-Davis, B.; Riddell, C.; Halperin, I.; Hasan, H.; et al. Incidence and risk factors for gestational diabetes mellitus in twin versus singleton pregnancies. Arch. Gynecol. Obstet. 2018, 298, 579–587. [Google Scholar] [CrossRef]
- Hedderson, M.M.; Darbinian, J.A.; Ferrara, A. Disparities in the risk of gestational diabetes by race-ethnicity and country of birth. Paediatr. Perinat. Epidemiol. 2010, 24, 441–448. [Google Scholar] [CrossRef]
- Ma, D.; Luque-Fernandez, M.A.; Bogdanet, D.; Desoye, G.; Dunne, F.; Halperin, J.A. Plasma Glycated CD59 Predicts Early Gestational Diabetes and Large for Gestational Age Newborns. J. Clin. Endocrinol. Metab. 2020, 105, e1033–e1040. [Google Scholar] [CrossRef]
- Rajab, K.E.; Skerman, J.H.; Issa, A.A. Screening for gestational diabetes by measuring fasting plasma glucose levels. J. Sci. Res. Med. Sci. 2003, 5, 5–8. [Google Scholar]
- Agarwal, M.M.; Hughes, P.F.; Punnose, J.; Ezimokhai, M. Fasting plasma glucose as a screening test for gestational diabetes in a multi-ethnic, high-risk population. Diabet. Med. A J. Br. Diabet. Assoc. 2000, 17, 720–726. [Google Scholar] [CrossRef]
- Agarwal, M.M.; Punnose, J.; Sukhija, K.; Sharma, A.; Choudhary, N.K. Gestational Diabetes Mellitus: Using the Fasting Plasma Glucose Level to Simplify the International Association of Diabetes and Pregnancy Study Groups Diagnostic Algorithm in an Adult South Asian Population. Can. J. Diabetes 2018, 42, 500–504. [Google Scholar] [CrossRef]
- Sacks, D.A.; Hadden, D.R.; Maresh, M.; Deerochanawong, C.; Dyer, A.R.; Metzger, B.E.; Lowe, L.P.; Coustan, D.R.; Hod, M.; Oats, J.J.; et al. Frequency of gestational diabetes mellitus at collaborating centers based on IADPSG consensus panel-recommended criteria: The Hyperglycemia and Adverse Pregnancy Outcome (HAPO) Study. Diabetes Care 2012, 35, 526–528. [Google Scholar] [CrossRef] [PubMed]
- Butte, N.F. Carbohydrate and lipid metabolism in pregnancy: Normal compared with gestational diabetes mellitus. Am. J. Clin. Nutr. 2000, 71, 1256S–1261S. [Google Scholar] [CrossRef] [PubMed]




| Baseline Characteristics | NGT n = 275 (IQR/%) | GDM n = 103 (IQR/%) | p Value |
|---|---|---|---|
| Age (years) | 33.6 (31.1–36.4) | 34.8 (31.7–37.4) | 0.07 |
| WG at booking | 12.7 (12–13.1) | 12.4 (12–13.1) | 0.60 |
| Gravida | 2 (1–3) | 2 (1–3) | 0.30 |
| Parity | 1 (0–1) | 1 (0–2) | 0.60 |
| Height (cm) | 165 (161.6–169.5) | 164 (160–169) | 0.10 |
| Weight (kg) | 73 (64–86.2) | 75.7 (64.2–89.6) | 0.30 |
| BMI (kg/m2) | 26.4 (23.3–31) | 28.7 (23.7–31.9) | 0.10 |
| Ethnicity (white) | 243/275 (88.4) | 88/103 (85.4) | 0.60 |
| SBP (mmHg) | 120 (112–126) | 122 (114–130) | 0.03 |
| DBP (mmHg) | 69 (62–75) | 69 (64–79) | 0.10 |
| Mean BP (mmHg) | 86 (80.6–91) | 88.3 (79.6–94.3) | 0.02 |
| WG at delivery | 40 (39–40.8) | 39.4 (38.8–40.4) | 0.07 |
| Alcohol at booking | 4/275 (1.4) | 1/103 (0.9) | 0.20 |
| Alcohol before pregnancy | 233/275 (84.7) | 81/103 (78.6) | 0.30 |
| Non-smoker | 145/275 (52.7) | 55/103 (53.3) | 0.90 |
| Smoker at booking visit | 14/275 (5) | 8/103 (7.7) | 0.20 |
| Laboratory values | |||
| T2pGCD59 (SPU) | 2.39 (1.85–2.9) | 2.6 (1.9–3.4) | 0.003 |
| ΔpGCD59 | 1.2 (0.4–2) | 1.1 (0.09–1.7) | 0.01 |
| OGTT 24–28 weeks: | |||
| Fasting glucose (mmol/L) | 4.4 (4.2–4.6) | 5.1 (4.6–5.3) | <0.01 |
| 1 h glucose (mmol/L) | 7 (5.8–7.9) | 10 (8.7–10.8) | <0.01 |
| 2 h glucose (mmol/L) | 5.5 (4.8–6.4) | 7.1 (6–8.7) | <0.01 |
| Mean glucose (mmol/L) | 5.5 (5.1–6.1) | 7.2 (6–8.7) | <0.01 |
Publisher’s Note: MDPI stays neutral with regard to jurisdictional claims in published maps and institutional affiliations. |
© 2022 by the authors. Licensee MDPI, Basel, Switzerland. This article is an open access article distributed under the terms and conditions of the Creative Commons Attribution (CC BY) license (https://creativecommons.org/licenses/by/4.0/).
Share and Cite
Bogdanet, D.; Toth Castillo, M.; Doheny, H.; Dervan, L.; Luque-Fernandez, M.-A.; Halperin, J.A.; O’Shea, P.M.; Dunne, F.P. The Diagnostic Accuracy of Second Trimester Plasma Glycated CD59 (pGCD59) to Identify Women with Gestational Diabetes Mellitus Based on the 75 g OGTT Using the WHO Criteria: A Prospective Study of Non-Diabetic Pregnant Women in Ireland. J. Clin. Med. 2022, 11, 3895. https://doi.org/10.3390/jcm11133895
Bogdanet D, Toth Castillo M, Doheny H, Dervan L, Luque-Fernandez M-A, Halperin JA, O’Shea PM, Dunne FP. The Diagnostic Accuracy of Second Trimester Plasma Glycated CD59 (pGCD59) to Identify Women with Gestational Diabetes Mellitus Based on the 75 g OGTT Using the WHO Criteria: A Prospective Study of Non-Diabetic Pregnant Women in Ireland. Journal of Clinical Medicine. 2022; 11(13):3895. https://doi.org/10.3390/jcm11133895
Chicago/Turabian StyleBogdanet, Delia, Michelle Toth Castillo, Helen Doheny, Louise Dervan, Miguel-Angel Luque-Fernandez, Jose A. Halperin, Paula M. O’Shea, and Fidelma P. Dunne. 2022. "The Diagnostic Accuracy of Second Trimester Plasma Glycated CD59 (pGCD59) to Identify Women with Gestational Diabetes Mellitus Based on the 75 g OGTT Using the WHO Criteria: A Prospective Study of Non-Diabetic Pregnant Women in Ireland" Journal of Clinical Medicine 11, no. 13: 3895. https://doi.org/10.3390/jcm11133895
APA StyleBogdanet, D., Toth Castillo, M., Doheny, H., Dervan, L., Luque-Fernandez, M.-A., Halperin, J. A., O’Shea, P. M., & Dunne, F. P. (2022). The Diagnostic Accuracy of Second Trimester Plasma Glycated CD59 (pGCD59) to Identify Women with Gestational Diabetes Mellitus Based on the 75 g OGTT Using the WHO Criteria: A Prospective Study of Non-Diabetic Pregnant Women in Ireland. Journal of Clinical Medicine, 11(13), 3895. https://doi.org/10.3390/jcm11133895

