Evaluating a Novel Treatment Adapting a Cognitive Behaviour Therapy Approach for Sexuality Problems after Traumatic Brain Injury: A Single Case Design with Nonconcurrent Multiple Baselines
Abstract
:1. Introduction
2. Materials and Methods
2.1. Study Design
2.2. Participants
2.3. Intervention
2.4. Measures
2.4.1. Measures of Participant Baseline Characteristics
2.4.2. Primary Outcome Measure
2.4.3. Secondary Outcome Measures
2.5. Treatment Integrity
2.6. Procedure
2.7. Data Analysis
3. Results
3.1. Case Description
3.2. Treatment Adherence and Integrity
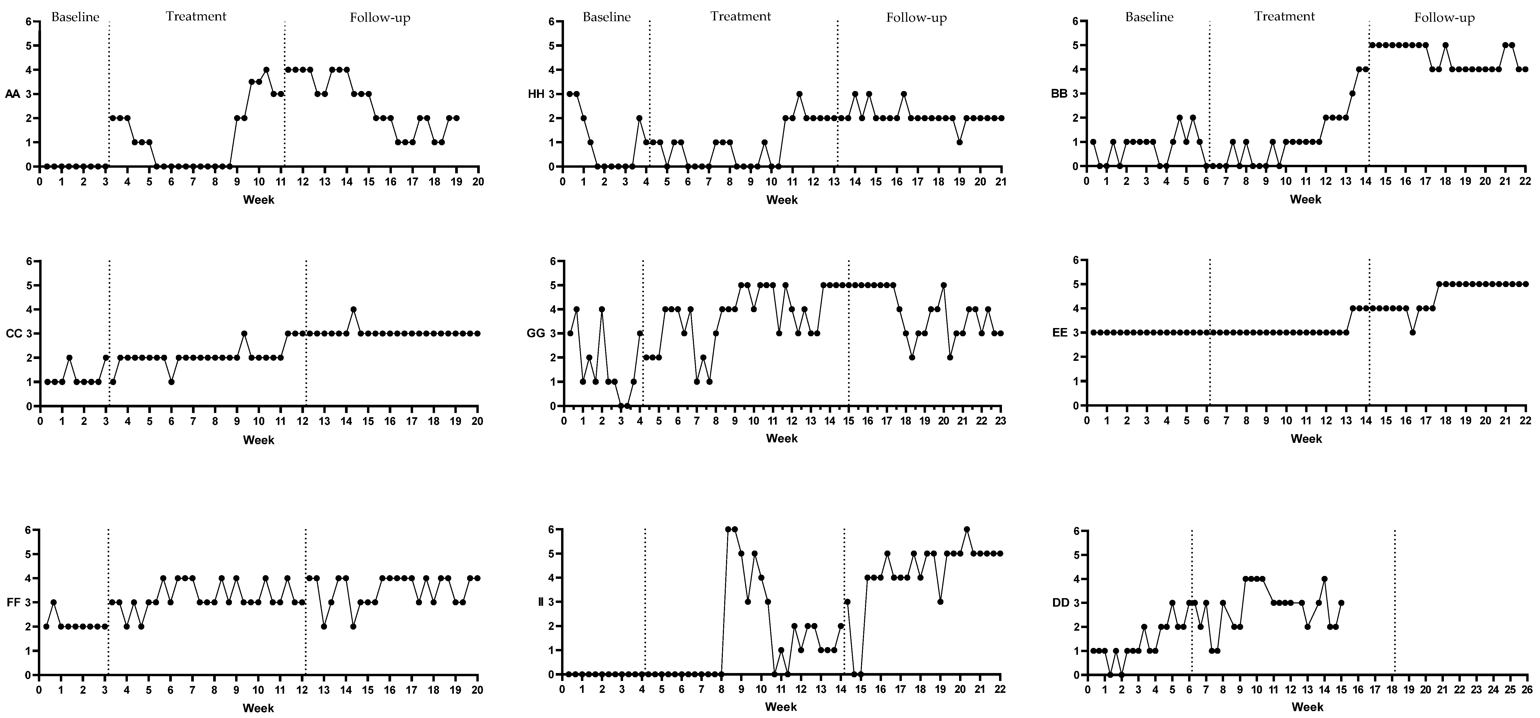
3.3. Self-Reported Subjective Sexuality Satisfaction
3.4. Secondary Outcome Measures
4. Discussion
4.1. Clinical Implications and Future Research
4.2. Limitations
5. Conclusions
Supplementary Materials
Author Contributions
Funding
Institutional Review Board Statement
Informed Consent Statement
Data Availability Statement
Acknowledgments
Conflicts of Interest
References
- Moreno, J.; Gan, C.; Zasler, N.D. Neurosexuality: A transdisciplinary approach to sexuality in neurorehabilitation. NeuroRehabilitation 2017, 41, 255–259. [Google Scholar] [CrossRef] [PubMed] [Green Version]
- Verschuren, J.E.; Enzlin, P.; Dijkstra, P.U.; Geertzen, J.H.; Dekker, R. Chronic disease and sexuality: A generic conceptual framework. J. Sex Res. 2010, 47, 153–170. [Google Scholar] [CrossRef] [PubMed]
- World Health Organisation. Developing Sexual Health Programmes: A Framework for Action; World Health Organization: Geneva, Switzerland, 2010; pp. 3–6.
- Robert, H.; Pichon, B.; Haddad, R. Sexual dysfunctions after traumatic brain injury: Systematic review of the literature. Prog. En Urol. J. De L’association Fr. D’urologie Et De La Soc. Fr. D’urologie 2019, 29, 529–543. [Google Scholar] [CrossRef]
- Hentzen, C.; Musco, S.; Amarenco, G.; Del Popolo, G.; Panicker, J.N. Approach and management to patients with neurological disorders reporting sexual dysfunction. Lancet Neurol. 2022, 21, 551–562. [Google Scholar] [CrossRef]
- Ponsford, J. Sexual changes associated with traumatic brain injury. Neuropsychol. Rehabil. 2003, 13, 275–289. [Google Scholar] [CrossRef]
- Turner, D.; Schöttle, D.; Krueger, R.; Briken, P. Sexual behavior and its correlates after traumatic brain injury. Curr. Opin. Psychiatry 2015, 28, 180–187. [Google Scholar] [CrossRef]
- Sander, A.; Maestas, K.; Pappadis, M.; Sherer, M.; Hammond, F.; Hanks, R.; NIDRR Traumatic Brain Injury Model Systems Module Project on Sexuality After TBI. Sexual functioning 1 year after traumatic brain injury: Findings from a prospective traumatic brain injury model systems collaborative study. Arch. Phys. Med. Rehabil. 2012, 93, 1331–1337. [Google Scholar] [CrossRef]
- Hibbard, M.; Gordon, W.; Flanagan, S.; Haddad, L.; Labinsky, E. Sexual dysfunction after traumatic brain injury. NeuroRehabilitation 2000, 15, 107–120. [Google Scholar] [CrossRef]
- Hanks, R.; Sander, A.; Millis, S.; Hammond, F.; Maestas, K. Changes in Sexual Functioning From 6 to 12 Months Following Traumatic Brain Injury. J. Head Trauma Rehabil. 2013, 28, 179–185. [Google Scholar] [CrossRef] [Green Version]
- Simpson, G.K.; Baguley, I.J. Prevalence, correlates, mechanisms, and treatment of sexual health problems after traumatic brain injury: A scoping review. Crit. Rev. Phys. Rehabil. Med. 2012, 24, 1–34. [Google Scholar] [CrossRef]
- Britton, K.R. Case study: Medroxyprogesterone in the treatment of aggressive hypersexual behaviour in traumatic brain injury. Brain Inj. 1998, 12, 703–707. [Google Scholar] [CrossRef] [PubMed]
- Komisaruk, B.R.; Del Cerro, M.C.R. Human sexual behavior related to pathology and activity of the brain. Handb. Clin. Neurol. 2015, 130, 109–119. [Google Scholar] [CrossRef] [PubMed]
- Moreno, J.; Arango-Lasprilla, J.; Gan, C.; McKerral, M. Sexuality after traumatic brain injury: A critical review. NeuroRehabilitation 2013, 32, 69–85. [Google Scholar] [CrossRef]
- Aloni, R.; Katz, S. A review of the effect of traumatic brain injury on the human sexual response. Brain Inj. 1999, 13, 269–280. [Google Scholar] [CrossRef] [PubMed]
- Horn, L.J.; Zasler, N.D. Neuroanatomy and neurophysiology of sexual function. J. Head Trauma Rehabil. 1990, 5, 1–13. [Google Scholar] [CrossRef]
- Latella, D.; Maggio, M.G.; De Luca, R.; Maresca, G.; Piazzitta, D.; Sciarrone, F.; Carioti, L.; Manuli, A.; Bramanti, P.; Calabro, R.S. Changes in sexual functioning following traumatic brain injury: An overview on a neglected issue. J. Clin. Neurosci. 2018, 58, 1–6. [Google Scholar] [CrossRef] [PubMed]
- Elliot, M.L.; Biever, L.S. Head injury and sexual dysfunction. Brain Inj. 1996, 10, 703–718. [Google Scholar] [CrossRef]
- Wilkinson, C.W.; Pagulayan, K.F.; Petrie, E.C.; Mayer, C.L.; Colasurdo, E.A.; Shofer, J.B.; Hart, K.L.; Hoff, D.; Tarabochia, M.A.; Peskind, E.R. High prevalence of chronic pituitary and target-organ hormone abnormalities after blast-related mild traumatic brain injury. Front. Neurol. 2012, 3, 11. [Google Scholar] [CrossRef] [Green Version]
- Rothman, M.S.; Arciniegas, D.B.; Filley, C.M.; Wierman, M.E. The neuroendocrine effects of traumatic brain injury. J. Neuropsychiatry Clin. Neurosci. 2007, 19, 363–372. [Google Scholar] [CrossRef]
- Downing, M.; Stolwyk, R.; Ponsford, J. Sexual changes in individuals with traumatic brain injury: A control comparison. J. Head Trauma Rehabil. 2013, 28, 171–178. [Google Scholar] [CrossRef]
- Ponsford, J.; Downing, M.G.; Stolwyk, R. Factors associated with sexuality following traumatic brain injury. J. Head Trauma Rehabil. 2013, 28, 195–201. [Google Scholar] [CrossRef]
- Fraser, E.E.; Downing, M.G.; Ponsford, J.L. Understanding the multidimensional nature of sexuality after traumatic brain injury. Arch. Phys. Med. Rehabil. 2020, 101, 2080–2086. [Google Scholar] [CrossRef] [PubMed]
- Kreuter, M.; Dahllöf, A.; Gudjonsson, G.; Sullivan, M.; Siösteen, A. Sexual adjustment and its predictors after traumatic brain injury. Brain Inj. 1998, 15, 349–368. [Google Scholar] [CrossRef] [PubMed]
- Sander, A.; Maestas, K.; Nick, T.; Pappadis, M.; Hammond, F.; Hanks, R.; Ripley, D. Predictors of sexual functioning and satisfaction 1 year following traumatic brain injury: A TBI model systems multicenter study. J. Head Trauma Rehabil. 2013, 28, 186–194. [Google Scholar] [CrossRef] [PubMed] [Green Version]
- Gill, C.; Sander, A.; Robins, N.; Mazzei, D.; Struchen, M. Exploring experiences of intimacy from the viewpoint of individuals with traumatic brain injury and their partners. J. Head Trauma Rehabil. 2011, 26, 56–68. [Google Scholar] [CrossRef]
- Annon, J.S. The PLISSIT model: A proposed conceptual scheme for the behavioral treatment of sexual problems. J. Sex Educ. Ther. 1976, 2, 1–15. [Google Scholar] [CrossRef]
- Simpson, G. Addressing the sexual concerns of persons with traumatic brain injury in rehabilitation settings: A framework for action. Brain Impair. 2001, 2, 97–108. [Google Scholar] [CrossRef]
- Marier-Deschênes, P.; Lamontagne, M.; Gagnon, M.; Moreno, J. Talking about sexuality in the context of rehabilitation following traumatic brain injury: An integrative review of operational aspects. Sex. Disabil. 2019, 37, 297–314. [Google Scholar] [CrossRef]
- Dyer, K.; Das Nair, R. Talking about sex after traumatic brain injury: Perceptions and experiences of multidisciplinary rehabilitation professionals. Disabil. Rehabil. 2014, 36, 1431–1438. [Google Scholar] [CrossRef] [Green Version]
- Taylor, B.; Davis, S. The extended PLISSIT model for addressing the sexual wellbeing of individuals with an acquired disability or chronic illness. Sex. Disabil. 2007, 25, 135–139. [Google Scholar] [CrossRef]
- Aloni, R.; Katz, S. Sexual Difficulties after Traumatic Brain Injury and Ways to Deal with It; Charles C Thomas Publisher: Springfield, IL, USA, 2003. [Google Scholar]
- Marier-Deschênes, P.; Gagnon, M.-P.; Lamontagne, M.-E. Co-creation of a post-traumatic brain injury sexuality information toolkit: A patient-oriented project. Disabil. Rehabil. 2021, 43, 2045–2054. [Google Scholar] [CrossRef] [PubMed]
- Marier-Deschênes, P.; Gagnon, M.-P.; Déry, J.; Lamontagne, M.-E. Traumatic Brain Injury and Sexuality: User Experience Study of an Information Toolkit. J. Particip. Med. 2020, 12, e14874. [Google Scholar] [CrossRef] [PubMed]
- Simpson, G. You and Me: An Educational Program about Sex and Sexuality after a Traumatic Brain Injury; Brain Injury Rehabilitation Unit, South Western Sydney Area Health Service: Sydney, Australia, 1999. [Google Scholar]
- Simpson, G. You and Me: A Guide to Sex and Sexuality after Traumatic Brain Injury, 2nd ed.; Brain Injury Rehabilitation Unit, South Western Sydney Area Health Service: Sydney, Australia, 2003. [Google Scholar]
- Simpson, G.; Long, E. An evaluation of sex education and information resources and their provision to adults with traumatic brain injury. J. Head Trauma Rehabil. 2004, 19, 413–428. [Google Scholar] [CrossRef] [PubMed]
- Khajeei, D.; Smith, D.; Kachur, B.; Abdul, N. Sexuality Re-education Program Logic Model for People with Traumatic Brain Injury (TBI): Synthesis via Scoping Literature Review. Sex. Disabil. 2019, 37, 41–61. [Google Scholar] [CrossRef]
- Blackerby, W. A treatment model for sexuality disturbance following brain injury. J. Head Trauma Rehabil. 1990, 5, 73–82. [Google Scholar] [CrossRef]
- Bélanger, D. Traumatic brain injury and sexual rehabilitation. Sexologies 2009, 18, 83–85. [Google Scholar] [CrossRef]
- Dombrowski, L.K.; Petrick, J.D.; Strauss, D. Rehabilitation treatment of sexuality issues due to acquired brain injury. Rehabil. Psychol. 2000, 45, 299–309. [Google Scholar] [CrossRef]
- Aloni, R.; Keren, O.; Katz, S. Sex therapy surrogate partners for individuals with very limited functional ability following traumatic brain injury. Sex. Disabil. 2007, 25, 125–134. [Google Scholar] [CrossRef]
- Medlar, T.M. Sexual counseling and traumatic brain injury. Sex. Disabil. 1993, 11, 57–71. [Google Scholar] [CrossRef]
- Simpson, G.; Mccann, B.; Lowy, M. Treatment of premature ejaculation after traumatic brain injury. Brain Inj. 2003, 17, 723–729. [Google Scholar] [CrossRef]
- Simpson, G.K.; McCann, B.; Lowy, M. Treating male sexual dysfunction after traumatic brain injury: Two case reports. NeuroRehabilitation 2016, 38, 281–289. [Google Scholar] [CrossRef] [PubMed]
- Eisenberg, N.W.; Andreski, S.-R.; Mona, L.R. Sexuality and physical disability: A disability-affirmative approach to assessment and intervention within health care. Curr. Sex. Health Rep. 2015, 7, 19–29. [Google Scholar] [CrossRef]
- Nimbi, F.M.; Galizia, R.; Rossi, R.; Limoncin, E.; Ciocca, G.; Fontanesi, L.; Jannini, E.A.; Simonelli, C.; Tambelli, R. The Biopsychosocial model and the Sex-Positive approach: An integrative perspective for sexology and general health care. Sex. Res. Soc. Policy 2021, 1–15. [Google Scholar] [CrossRef]
- Little, A.; Byrne, C.; Coetzer, R. The effectiveness of cognitive behaviour therapy for reducing anxiety symptoms following traumatic brain injury: A meta-analysis and systematic review. NeuroRehabilitation 2021, 48, 67–82. [Google Scholar] [CrossRef]
- Hsieh, M.-Y.; Ponsford, J.; Wong, D.; Schönberger, M.; Taffe, J.; Mckay, A. Motivational interviewing and cognitive behaviour therapy for anxiety following traumatic brain injury: A pilot randomised controlled trial. Neuropsychol. Rehabil. 2012, 22, 585–608. [Google Scholar] [CrossRef]
- Ponsford, J.; Lee, N.K.; Wong, D.; McKay, A.; Haines, K.; Alway, Y.; Downing, M.; Furtado, C.; O’Donnell, M.L. Efficacy of motivational interviewing and cognitive behavioral therapy for anxiety and depression symptoms following traumatic brain injury. Psychol. Med. 2016, 46, 1079–1090. [Google Scholar] [CrossRef]
- Nguyen, S.; McKay, A.; Wong, D.; Rajaratnam, S.M.; Spitz, G.; Williams, G.; Mansfield, D.; Ponsford, J.L. Cognitive behavior therapy to treat sleep disturbance and fatigue after traumatic brain injury: A pilot randomized controlled trial. Arch. Phys. Med. Rehabil. 2017, 98, 1508–1517.e2. [Google Scholar] [CrossRef] [PubMed]
- Ymer, L.; McKay, A.; Wong, D.; Frencham, K.; Grima, N.; Tran, J.; Nguyen, S.; Junge, M.; Murray, J.; Spitz, G. Cognitive behavioural therapy versus health education for sleep disturbance and fatigue after acquired brain injury: A pilot randomised trial. Ann. Phys. Rehabil. Med. 2021, 64, 101560. [Google Scholar] [CrossRef]
- Avasthi, A.; Grover, S.; Rao, T.S. Clinical practice guidelines for management of sexual dysfunction. Indian J. Psychiatry 2017, 59, 91–115. [Google Scholar] [CrossRef]
- Metz, M.E.; Epstein, N.B.; McCarthy, B. Cognitive-Behavioral Therapy for Sexual Dysfunction; Routledge: New York, NY, USA, 2017. [Google Scholar]
- Frühauf, S.; Gerger, H.; Schmidt, H.M.; Munder, T.; Barth, J. Efficacy of psychological interventions for sexual dysfunction: A systematic review and meta-analysis. Arch. Sex. Behav. 2013, 42, 915–933. [Google Scholar] [CrossRef]
- Gallagher, M.; McLeod, H.J.; McMillan, T.M. A systematic review of recommended modifications of CBT for people with cognitive impairments following brain injury. Neuropsychol. Rehabil. 2019, 29, 1–21. [Google Scholar] [CrossRef] [PubMed]
- Nikles, J.; Tate, R.L.; Mitchell, G.; Perdices, M.; McGree, J.M.; Freeman, C.; Jacob, S.; Taing, M.W.; Sterling, M. Personalised treatments for acute whiplash injuries: A pilot study of nested N-of-1 trials in a multiple baseline single-case experimental design. Contemp. Clin. Trials Commun. 2019, 16, 100480. [Google Scholar] [CrossRef] [PubMed]
- Tate, R.L.; Perdices, M. Single-Case Experimental Designs for Clinical Research and Neurorehabilitation Settings: Planning, Conduct, Analysis and Reporting; Routledge: London, UK, 2019. [Google Scholar]
- Kratochwill, T.R.; Levin, J.R. Enhancing the scientific credibility of single-case intervention research: Randomization to the rescue. In Single-Case Intervention Research: Methodological and Statistical Advances, Kratochwill, T.R., Levin, J.R., Eds.; American Psychological Association: Washington, DC, USA, 2014; pp. 53–89. [Google Scholar]
- Tate, R.L.; Perdices, M.; Rosenkoetter, U.; Wakim, D.; Godbee, K.; Togher, L.; McDonald, S. Revision of a method quality rating scale for single-case experimental designs and n-of-1 trials: The 15-item Risk of Bias in N-of-1 Trials (RoBiNT) Scale. Neuropsychol. Rehabil. 2013, 23, 619–638. [Google Scholar] [CrossRef] [PubMed]
- Tate, R.L.; Perdices, M.; Rosenkoetter, U.; Shadish, W.; Vohra, S.; Barlow, D.H.; Horner, R.; Kazdin, A.; Kratochwill, T.; McDonald, S. The single-case reporting guideline in behavioural interventions (SCRIBE) 2016 statement. Phys. Ther. 2016, 96, e1–e10. [Google Scholar] [CrossRef] [PubMed]
- Nelson, H.E. National Adult Reading Test (NART): For the Assessment of Premorbid Intelligence in Patients with Dementia: Test Manual; NFER-Nelson Publishing Co: Berkshire, UK, 1982. [Google Scholar]
- Schmidt, M. Rey Auditory Verbal Learning Test (RAVLT): A Handbook; Western Psychological Services: Los Angeles, CA, USA, 1996. [Google Scholar]
- Reitan, R. Trail Making Test: Manual for Administration and Scoring; Reitan Neuropsychology Laboratory: Tucson, AZ, USA, 1992. [Google Scholar]
- Wechsler, D. WAIS-III Wechsler Adult Intelligence Scale-Third Edition; The Psychological Corporation: San Antonio, TX, USA, 1997. [Google Scholar]
- Krupp, L.B.; LaRocca, N.G.; Muir-Nash, J.; Steinberg, A.D. The fatigue severity scale: Application to patients with multiple sclerosis and systemic lupus erythematosus. Arch. Neurol. 1989, 46, 1121–1123. [Google Scholar] [CrossRef]
- Tulsky, D.S.; Kisala, P.A.; Victorson, D.; Carlozzi, N.; Bushnik, T.; Sherer, M.; Choi, S.W.; Heinemann, A.W.; Chiaravalloti, N.; Sander, A.M. TBI-QOL: Development and calibration of item banks to measure patient reported outcomes following traumatic brain injury. J. Head Trauma Rehabil. 2016, 31, 40–51. [Google Scholar] [CrossRef] [Green Version]
- Krasny-Pacini, A.; Evans, J. Single-case experimental designs to assess intervention effectiveness in rehabilitation: A practical guide. Ann. Phys. Rehabil. Med. 2018, 61, 164–179. [Google Scholar] [CrossRef] [PubMed]
- Stolwyk, R.J.; Downing, M.G.; Taffe, J.; Kreutzer, J.S.; Zasler, N.D.; Ponsford, J.L. Assessment of sexuality following traumatic brain injury: Validation of the Brain Injury Questionnaire of Sexuality. J. Head Trauma Rehabil. 2013, 28, 164–170. [Google Scholar] [CrossRef]
- Snaith, R.; Zigmund, A. Hospital Anxiety and Depression Scale; NFER-Nelson Publishing Co: Berkshire, UK, 1994. [Google Scholar]
- Rosenberg, M. Society and the Adolescent Self Image; Princeton University Press: Princeton, NJ, USA, 1965. [Google Scholar]
- Bogner, J.; Bellon, K.; Kolakowsky-Hayner, S.A.; Whiteneck, G. Participation assessment with recombined tools–objective (PART-O). J. Head Trauma Rehabil. 2013, 28, 337–339. [Google Scholar] [CrossRef]
- Kiresuk, T.J.; Sherman, R.E. Goal attainment scaling: A general method for evaluating comprehensive community mental health programs. Community Ment. Health J. 1968, 4, 443–453. [Google Scholar] [CrossRef]
- Turner-Stokes, L. Goal attainment scaling (GAS) in rehabilitation: A practical guide. Clin. Rehabil. 2009, 23, 362–370. [Google Scholar] [CrossRef]
- Lane, J.D.; Gast, D.L. Visual analysis in single case experimental design studies: Brief review and guidelines. Neuropsychol. Rehabil. 2014, 24, 445–463. [Google Scholar] [CrossRef] [PubMed]
- Bulté, I.; Onghena, P. The single-case data analysis package: Analysing single-case experiments with R software. J. Mod. Appl. Stat. Methods 2013, 12, 450–478. [Google Scholar] [CrossRef] [Green Version]
- Manolov, R. R Syntax: Projection of Baseline Trend with Construction of Envelope. Available online: https://dl.dropboxusercontent.com/s/5z9p5362bwlbj7d/ProjectTrend.R2014 (accessed on 1 January 2022).
- Parker, R.I.; Vannest, K.J.; Davis, J.L. Non-overlap analysis for single-case research. In Single-Case Intervention Research: Methodological and Statistical Advances, Kratochwill, T.R., Levin, J.R., Eds.; American Psychological Association: Washington, DC, USA, 2014; pp. 127–151. [Google Scholar]
- Vannest, K.J.; Ninci, J. Evaluating intervention effects in single-case research designs. J. Couns. Dev. 2015, 93, 403–411. [Google Scholar] [CrossRef]
- Vannest, K.J.; Peltier, C.; Haas, A. Results reporting in single case experiments and single case meta-analysis. Res. Dev. Disabil. 2018, 79, 10–18. [Google Scholar] [CrossRef] [PubMed]
- Perdices, M. How do you know whether your patient is getting better (or worse)? A user’s guide. Brain Impair. 2005, 6, 219–226. [Google Scholar] [CrossRef]


| Variables | Participant | ||||||||
|---|---|---|---|---|---|---|---|---|---|
| AA | BB | CC | DD | EE | FF | GG | HH * | II * | |
| Demographicdata | |||||||||
| Age (years) | 49 | 31 | 64 | 47 | 63 | 56 | 33 | 33 | 41 |
| Sex | Male | Female | Male | Female | Male | Female | Female | Male | Female |
| Education (years) | 12 | 18 | 14 | 12 | 12 | 15 | 16 | 14 | 18 |
| Preinjury relationship | Single | De-facto | Married | Married | Married | De-facto | De-facto | De-facto | Married |
| Baseline relationship | Single | Single | Married | Married | Married | Single | Single | De-facto | Married |
| Injury characteristics | |||||||||
| Cause of TBI | Bicycle Accident | MVA | Work-related injury | MVA | MVA | MVA | MVA | Fall | Pedestrian struck by car |
| PTA duration (days) | 70 | 16 | 21 | 1 | 0.5 | 20 | 8 | 68 | 23 |
| Worst GCS score | 3 | 15 | 8 | b | 15 | 14 | 3 | 3 | 13 |
| Time since injury (years) | 33 | 6 | 6 | 5 | 2 | 3 | 1 | 1 | 0.90 |
| CT brain imaging | Petecchial haemorrhages in frontal and paraventricular regions | Frontal contusion, subarachnoid haemorrhage, contrecoup injury with contusion in the orbitofrontal region | NAD | Fractured occipital lobe, epidural haematoma, subarachnoid haemorrhage pneumocephalus, thrombosis of transverse sigmoid sinus and jugular vein | Interhemispheric subarachnoid haemorrhage | NAD | Fractured parietal and temporal bones, contusion and intracerebral haemorrhage in temporal region, extra-axial haemorrhage | Fractured occipital lobe, subfalcine herniation, inferior frontal contusion, grey and white matter loss, haemorrhage | Left subdural haematoma, contusions in right frontal and temporal regions, fractured left temporal bone |
| Cognitive performance | |||||||||
| Digit Symbol Coding Test z-score | −1.33 | 0.00 | −1.00 | −1.00 | −1.67 | 0.00 | NA | NA | 0.67 |
| Verbal Learning RAVLT Trials 1–5 Sum z-score | −1.52 | −0.92 | −0.70 | 0.22 | −0.96 | 1.53 | NA | −2.12 | 0.22 |
| Trail Making Test Part-B z-score | −0.67 | −0.67 | −1.00 | −0.67 | −1.00 | 0.00 | NA | NA | 1.33 |
| Estimated Premorbid Intellectual Functioning (NART Standard Score) | 103 | 104 | 105 | 113 | 115 | 117 | NA | NA | 100 |
| Session | Module | Objective |
|---|---|---|
| 1–2 | Module 1: Assessment and Formulation | Work closely with the individual/couple to develop a shared understanding of the problem and collaboratively set treatment goals. |
| Module 2: Psychoeducation and Goals | Explore the individual’s/couple’s understanding of sexuality and provide psychoeducation surrounding sexuality, TBI, and overall health and wellbeing. | |
| 3–7 | Module 3: Self-esteem and Body Image | Explore self-esteem or body image and identify and adjust biased expectations, negative self-evaluations, and rules and assumptions |
| Module 4: Understanding Arousal | Define desire and arousal, explore dimensions of touch, identify brakes and accelerators | |
| Module 5: Reframing thoughts | Explore links between thoughts, emotions, and behaviours. Employ cognitive restructuring techniques that allow the individual/couple to feel in control of their sexuality. | |
| Module 6: Communication | Understand expressive and receptive listening skills using modelling and in-session coaching. | |
| Module 7: Relaxation | Teach mindfulness, breathing, and progressive muscle relaxation techniques to enhance sexual experiences | |
| Module 8: Psychosexual Skill Exercises | Practise exercises targeted to the individual’s/couple’s sexual problem. | |
| Module 9: Social Skills | Establish relevant techniques to increase positive and rewarding social behaviours and decrease negative social behaviour. | |
| Module 10: Sleep and Fatigue Management | Identify practical strategies to improve sleep and manage physical and mental fatigue. | |
| Module 11: Medical Review | Assess neurological/medical basis to sexuality problem. | |
| 8 | Module 12: Relapse Prevention | Summarise skills and content learned throughout treatment and generate plan for managing setbacks. |
| Participant | Baseline Corrected | Baseline vs. Treatment | p Value | Treatment vs. Follow-up | p Value |
|---|---|---|---|---|---|
| AA | No | 0.54 * | 0.018 | 0.54 ** | 0.001 |
| BB | No | 0.13 | 0.461 | 0.96 ** | 0.001 |
| CC | No | 0.74 ** | 0.001 | 0.86 ** | 0.001 |
| DD | b | b | b | b | b |
| EE | No | 0.22 | 0.211 | 0.89 ** | 0.001 |
| FF | No | 0.84 ** | 0.001 | 0.29 | 0.084 |
| GG | No | 0.69 ** | 0.001 | 0.02 | 0.923 |
| HH | No | 0.01 | 0.980 | 0.68 ** | 0.001 |
| II | No | 0.53 * | 0.008 | 0.65 ** | 0.001 |
| Participant | BIQS | HADS-A | HADS-D | RSES | PART-O | ||||||||||
|---|---|---|---|---|---|---|---|---|---|---|---|---|---|---|---|
| Pre | Post | Follow-up | Pre | Post | Follow-up | Pre | Post | Follow-up | Pre | Post | Follow-up | Pre | Post | Follow-up | |
| AA | 29 | 44 | 39 | 9 | 8 | 5 | 1 | 2 | 8 | 15 | 18 | 16 | 1.78 | 1.95 | 1.98 |
| BB | 34 | 49 | 46 | 4 | 1 | 1 | 2 | 2 | 3 | 28 | 30 | 30 | 1.38 | 1.68 | 1.66 |
| CC | 26 | 35 | 41 | 2 | 1 | 1 | 3 | 0 | 1 | 20 | 20 | 22 | 2.11 | 1.61 | 2.04 |
| DD | 21 | b | b | 10 | b | b | 11 | b | b | 9 | b | b | 2.42 | b | b |
| EE | 22 | 50 | 28 | 0 | 1 | 1 | 2 | 3 | 3 | 21 | 26 | 26 | 0.84 | 1.25 | 1.30 |
| FF | 29 | 33 | 24 | 14 | 11 | 12 | 10 | 8 | 10 | 21 | 22 | 23 | 1.48 | 1.21 | 1.42 |
| GG | 22 | 39 | 34 | 13 | 8 | 13 | 13 | 9 | 8 | 17 | 18 | 11 | 1.35 | 1.46 | 1.51 |
| HH | 37 | 40 | 41 | 6 | 5 | 5 | 7 | 10 | 9 | 10 | 15 | 17 | 1.79 | 1.79 | 1.90 |
| II | 19 | 25 | 20 | 5 | 4 | 3 | 2 | 0 | 0 | 18 | 19 | 20 | 2.84 | 2.94 | 3.03 |
| Participant | Goals | Pre-Treatment | Post-Treatment | Follow-up |
|---|---|---|---|---|
| AA | 1. To work towards having an emotionally connected/supportive relationship with a female | −1 | 0 | −1 |
| 2. To work on erectile dysfunction | −1 | +1 | 0 | |
| 3. To learn how to communicate clearly and honestly before engaging in sexual activity | −1 | 0 | −1 | |
| BB | 1. To feel better about body image | −1 | +2 | +2 |
| 2. To not feel anxious about experiencing chronic fatigue syndrome relapses | −1 | +1 | +2 | |
| CC | 1. To be physically intimate with partner | −1 | 0 | 0 |
| 2. To work on erectile dysfunction | −1 | 0 | 0 | |
| DD | 1. To be physically intimate with partner | −1 | b | b |
| 2. To improve self-esteem | −1 | b | b | |
| EE | 1. To increase understanding of sexuality and TBI | −1 | +2 | +2 |
| 2. To explore pain management options | −1 | +1 | +2 | |
| 3. To explore masculinity in the context of pre- vs. post-injury self | −1 | +2 | +2 | |
| FF | 1. To be confident to put self out there | −1 | −1 | 0 |
| 2. To feel more in touch with body | −1 | 0 | 0 | |
| GG | 1. To improve desire/motivation/sex drive | −1 | +1 | +2 |
| 2. To work on communication and reduce emotionally closing off | −1 | +1 | +1 | |
| HH | 1. To improve sexual relationship with partner | −1 | +2 | +2 |
| 2. To feel better about sexuality | −1 | +1 | +1 | |
| 3. To improve self-esteem | −1 | +1 | +1 | |
| 4. To reduce the need for partner to take on a care-taking role | −1 | +1 | +2 | |
| 5. To increase understanding of sexuality and TBI | −1 | +2 | +2 | |
| 6. To know more about partner’s sexuality | −1 | +2 | +2 | |
| II | 1. To increase knowledge of how TBI has impacted sexuality | −1 | +2 | +2 |
| 2. To improve management of fatigue | −1 | +1 | +2 | |
| 3. To create more opportunities for intimacy behaviours | −1 | +1 | +1 | |
| 4. To develop more effective communication skills | −1 | +2 | +2 |
Publisher’s Note: MDPI stays neutral with regard to jurisdictional claims in published maps and institutional affiliations. |
© 2022 by the authors. Licensee MDPI, Basel, Switzerland. This article is an open access article distributed under the terms and conditions of the Creative Commons Attribution (CC BY) license (https://creativecommons.org/licenses/by/4.0/).
Share and Cite
Fraser, E.E.; Downing, M.G.; Haines, K.; Bennett, L.; Olver, J.; Ponsford, J.L. Evaluating a Novel Treatment Adapting a Cognitive Behaviour Therapy Approach for Sexuality Problems after Traumatic Brain Injury: A Single Case Design with Nonconcurrent Multiple Baselines. J. Clin. Med. 2022, 11, 3525. https://doi.org/10.3390/jcm11123525
Fraser EE, Downing MG, Haines K, Bennett L, Olver J, Ponsford JL. Evaluating a Novel Treatment Adapting a Cognitive Behaviour Therapy Approach for Sexuality Problems after Traumatic Brain Injury: A Single Case Design with Nonconcurrent Multiple Baselines. Journal of Clinical Medicine. 2022; 11(12):3525. https://doi.org/10.3390/jcm11123525
Chicago/Turabian StyleFraser, Elinor E., Marina G. Downing, Kerrie Haines, Linda Bennett, John Olver, and Jennie L. Ponsford. 2022. "Evaluating a Novel Treatment Adapting a Cognitive Behaviour Therapy Approach for Sexuality Problems after Traumatic Brain Injury: A Single Case Design with Nonconcurrent Multiple Baselines" Journal of Clinical Medicine 11, no. 12: 3525. https://doi.org/10.3390/jcm11123525
APA StyleFraser, E. E., Downing, M. G., Haines, K., Bennett, L., Olver, J., & Ponsford, J. L. (2022). Evaluating a Novel Treatment Adapting a Cognitive Behaviour Therapy Approach for Sexuality Problems after Traumatic Brain Injury: A Single Case Design with Nonconcurrent Multiple Baselines. Journal of Clinical Medicine, 11(12), 3525. https://doi.org/10.3390/jcm11123525

