Abstract
Background: Deep brain stimulation (DBS) is an effective technique to treat patients with advanced Parkinson’s disease. The surgical procedure of DBS implantation is generally performed under local anesthesia due to the need for intraoperative clinical testing. However, this procedure is long (5–7 h on average) and, therefore, the objective that the patient remains co-operative and tolerates the intervention well is a real challenge. Objective: To evaluate the additional benefit of electroacupuncture (EA) performed intraoperatively to improve the comfort of parkinsonian patients during surgical DBS implantation. Methods: This single-center randomized study compared two groups of patients. In the first group, DBS implantation was performed under local anesthesia alone, while the second group received EA in addition. The patients were evaluated preoperatively, during the different stages of the surgery, and 2 days after surgery, using the 9-item Edmonton Symptom Assessment System (ESAS), including a total sum score and physical and emotional subscores. Results: The data of nine patients were analyzed in each group. Although pain and tiredness increased in both groups after placement of the stereotactic frame, the ESAS item “lack of appetite”, as well as the ESAS total score and physical subscore increased after completion of the first burr hole until the end of the surgical procedure in the control group only. ESAS total score and physical subscore were significantly higher at the end of the intervention in the control group compared to the EA group. After the surgical intervention (D2), anxiety and ESAS emotional subscore were improved in both groups, but the feeling of wellbeing improved in the EA group only. Finally, one patient developed delirium during the intervention and none in the EA group. Discussion: This study shows that intraoperative electroacupuncture significantly improves the tolerance of DBS surgery in parkinsonian patients. This easy-to-perform procedure could be fruitfully added in clinical practice.
1. Introduction
Deep brain stimulation (DBS) was developed by Alim Benabid et al. in 1987 [] for the treatment of patients with Parkinson’s disease (PD) and its efficacy has now been widely confirmed [,,,]. The technique [,] involves placing electrodes in the dorsolateral part of the subthalamic nucleus (STN), usually on both sides. The STN target is primarily identified by a neuroimaging approach, e.g., based on T2-weighted MR images fused with stereotactic CT scan. In addition to imaging-guided target location, the surgical procedure of DBS electrode implantation may also benefit from electrophysiological recordings of neuronal activities and clinical testing. Intraoperative recordings using microelectrodes are able to improve the accuracy of reaching the target and then the clinical outcome of the procedure []. Such recordings can be performed under general anesthesia [], though even this induces some disturbances []. On the other hand, intraoperative clinical testing requires local anesthesia and a conscious patient. Actually, when the DBS electrode is correctly positioned, the improvement of the main parkinsonian symptoms, such as tremor, hypertonia, and akinesia, by high-frequency stimulation can be immediately verified intraoperatively. Adverse effects can also be detected, e.g., paresthesia when the tip of the electrode is too medial and posterior, or muscle contraction when too lateral. Owing to the importance of clinical testing, most authors recommend using local anesthesia for DBS electrode implantation [,,]. However, this surgical procedure applies to parkinsonian patients who must be “off-medication” and immobilized on the operating table for a very long time, often between 5 and 7 h []. Therefore, some patients had clouding of consciousness or became confused, unable to follow neurologist instructions for clinical testing. In the literature, intraoperative alteration of consciousness occurs in 0.9 to 14.6% of cases [,,,,,,]. In addition, some patients may have neurovegetative reactions, with nausea, vomiting, or high blood pressure, or show anxiety disorders, with agitation or panic attack, which leads to interrupting the surgery. This situation was shown to occur in 0.5 to 2.1% of cases [,,,] and was described in the literature as intraoperative “sickness behaviour” (SB) or delirium [,,]. Finally, such an adverse event has been reported to persist during the postoperative period in 2.8 to 33.3% of cases [,,,,,], increasing the risk of severe complications (pneumopathy, pulmonary embolism, etc.) [,,,].
Studies evaluating strategies to reduce the occurrence of such a deleterious intraoperative situation have been rarely performed. We thought that acupuncture could be one of those strategies. Acupuncture analgesia causes conscious sedation and helps limit the development of neurovegetative symptoms. Acupuncture analgesia has been extensively used in different surgical fields [], such as abdominal [], gynecological [], and thoracic surgery [], as well as in neurosurgery [,,]. In most studies, acupuncture is combined with conventional anesthesia before, during, and after surgery []. These studies showed that anesthesia may be lighter with acupuncture, with less intraoperative consumption of anesthetic drugs [], and that comfort was improved in the postoperative period [], with less opioid consumption.
Acupuncture analgesia has also been used during resection of brain lesions (e.g., tumors) located in eloquent areas. As with DBS surgery, the patient must be conscious during this type of surgery in order to perform clinical testing essential to prevent damage to language or motor functions. In this context, acupuncture analgesia has been used alone [], in association with local anesthesia [], or with light general anesthesia []. Because all these articles are in Chinese, they are difficult to read in detail. They do not seem to mention any occurrence of SB or delirium in either the acupuncture or control groups, but the patients were young, with a low risk of developing intraoperative behavior disorders.
To our knowledge, this is the first study to assess the value of acupuncture analgesia, consisting of an electroacupuncture (EA) procedure, in improving the comfort (including the sensation of wellbeing) of parkinsonian patients undergoing DBS surgery, as well as to prevent intra- or postoperative occurrence of SB or delirium.
2. Methods
2.1. Study Design
This monocentric randomized study had a parallel-group design, comparing the use of EA associated with local anesthesia to local anesthesia alone. Ten patients per group were included, according to sample size calculation based on a decrease in the ESAS score of more than 50% in 80% in the experimental group against 20% in the control group, with an alpha risk of 5% and a power of 80%. The study was performed at the Nantes University Hospital (Département de Neurochirurgie et Centre d’Évaluation et de Traitement de la Douleur), approved by the local Ethics Committee (CCP West V No. 14/23-939 on 10/4/2014), and registered on ClinicalTrials.gov (NCT02236260).
Inclusion criteria were:
- Parkinsonian patients of both sexes with age ≥18 years.
- Scheduled DBS intervention targeting the STN.
- Signed informed consent.
Exclusion criteria were:
- Patients with age ≥ 70 years.
- History of intolerance to acupuncture.
- Unstable psychiatric disorder.
- Legal protection regimen.
2.2. Assessment
The primary endpoint was patient’s comfort, as assessed by the Edmonton Symptom Assessment System (ESAS) scale []. This scale included 9 items (pain, tiredness, drowsiness, nausea, lack of appetite, shortness of breath, depression, anxiety, and wellbeing) and a final open question about other possible symptoms (in particular, regarding consciousness or cognitive impairment). For each item, the score is expressed on a visual analogue scale (VAS) from 0 to 10, with 0 corresponding to no impairment and 10 to maximal impairment [,]. Beyond the total sum score of the 9 items, physical and emotional ESAS subscores are defined, including 6 items (pain, tiredness, drowsiness, nausea, lack of appetite, and shortness of breath), and 2 items (depression and anxiety), respectively []. Since its first development in 1991 for the assessment of palliative care patients, ESAS has been validated in many languages and is now commonly used by many groups worldwide for multiple symptom screening and longitudinal monitoring in many disciplines. This scale is a clinically pragmatic, quick, and easy-to-administer assessment tool to simultaneously document the impact of an intervention on different symptom clusters [].
The secondary outcome measures were:
- Intraoperative anesthesia monitoring parameters: heart rate, oxygen saturation, and systolic and diastolic blood pressure.
- Total time duration of the surgery.
Age, gender, unified Parkinson’s disease rating scale (UPDRS) part III motor subscale [] and Hamilton Anxiety Rating Scale (HAMA) were recorded at inclusion to analyze whether the intervention and control groups differed in terms of baseline demographic characteristics and clinical profile. Finally, all intraoperative and postoperative adverse events were collected.
2.3. Acupuncture Procedure
Acupuncture was performed bilaterally on the following acupoints (Figure 1): Hegu LI 4 and Neiguan P 6 using surface acupuncture electrodes, and Taichong LV 3 and San yinjiao SP 6 using classic Dong Bang needles (diameter: 0.25 mm; length: 62 mm).

Figure 1.
Location of the acupuncture points.
Electrostimulation was administered with an Algistim Duo® device (Sédatelec, Irigny, France), with 4 independent channels, 1 for each of the patient’s limbs. This makes it possible to connect 8 needles or self-adhesive electrodes. Stimulation parameters consisted of asymmetric rectangular pulses of 0.5 ms duration with a frequency varying from 1 to 99 Hz and including an automatic sweep within this range of frequencies as a discontinuous wave. Stimulation intensity was adapted to the patient’s perception, at the limit of the pain threshold, and, if possible, provoking a motor reaction. These are the generally accepted parameters for optimal analgesia [,].
The choice of the acupuncture points was based on the fact that these points belong to a common set of analgesic acupuncture points, notably used in surgery, and frequently cited in publications in this context [,,,,]. In addition to analgesia, their other potential actions are effects on the autonomic nervous system, in particular nausea and vomiting (Neiguan P 6), headaches (Hegu LI 4, Taichong LV 3), or sleep (Sanyinjiao SP 6).
Patients included in the EA group were given a detailed description of the intraoperative EA procedure and a first session was performed the day before the surgery.
The same EA protocol was applied in the operating room as soon as the patient was resting on the operative table. EA was maintained throughout the procedure, except: i) when transferring the patient to the radiology room for the stereotactic CT scan, ii) during the electrophysiological recording of neuronal activities to avoid electromagnetic interference, and iii) during the clinical testing period because of the risk of displacing the acupuncture needles during active and passive movements of the upper limbs.
In both groups, local anesthesia (lidocaine 1%) was used to avoid pain during the fixation of the stereotactic frame on the skull and incisions of the scalp for completion of the burr holes. Local anesthesia was occasionally associated with the inhalation of an equimolar mixture of oxygen and nitrogen oxide (MEOPA®) depending on the patient’s reaction.
2.4. Statistical Methods
Two-way repeated-measures ANOVA was performed to analyze scores of each ESAS item, as well as total ESAS score and physical and emotional ESAS subscores recorded in the two groups of patients (control and EA groups) at the following timepoints:
- Baseline/inclusion (incl): the day before the surgery.
- Positioning/installation (inst): a few minutes after the patient rested quietly on the operating table.
- After placement of the stereotactic frame (post SF).
- Immediately after completion of the first burr hole (post BH1).
- Immediately after completion of the second burr hole (post BH2).
- One hour after completion of the second burr hole (1H post BH2).
- After ablation of the stereotactic frame at the end of the procedure (End).
- 2 days after surgery (D2).
The missing data were handled by using the last observation carried forward method. The significance threshold was set at 5%. In case of significance of time interaction, Dunnett’s multiple comparisons post hoc test was used, comparing data recorded at all the timepoints in each group (control or EA) with respect to the initial timepoint (incl) taken as a reference. In case of significance of group interaction, Sidak’s multiple comparisons post hoc test was used to compare the data recorded in the two groups (EA and control) at all the timepoints.
As secondary outcome measures, intraoperative anesthesia monitoring parameters (heart rate, oxygen saturation, and systolic and diastolic blood pressure) were analyzed with the same repeated-measures ANOVA, but only considering intraoperative time points (from inst to end).
A comparison between the two groups (control and EA) at baseline was performed using the Mann–Whitney test for age, UPDRS score, total ESAS score, and physical and emotional ESAS subscores, and the Fisher’s exact test for gender. A comparison between the two groups regarding the total time duration of the surgery was also performed using the Mann–Whitney test. Prism statistical software (GraphPad Software, San Diego, CA) was used in all cases.
3. Results
The two groups of patients were similar for age, gender, and PD motor severity at baseline (Table 1). There was also no significant difference in the level of patient’s comfort (ESAS score) between the two groups before the surgery. In contrast, anxiety (HAMA score) was significantly lower in the control group than in the EA group the day before surgery (Table 1).

Table 1.
Description of population of the study.
Two patients were excluded from the study. One patient withdrew his consent because he did not want acupuncture and the other, who was randomized in the control group, presented with invalidating sciatic neuralgia, which required acupuncture at the time of surgery (Figure 2).

Figure 2.
Flow chart.
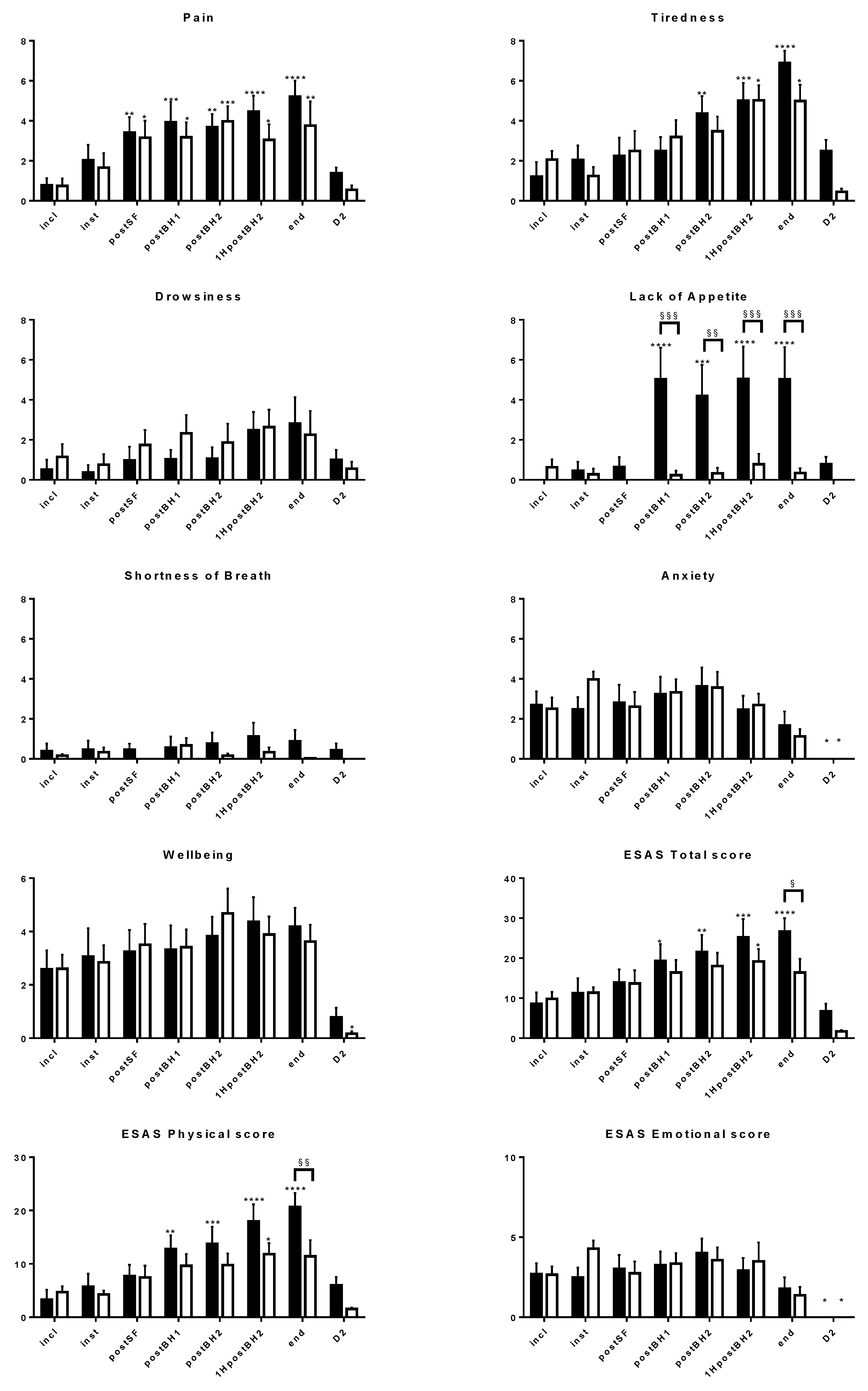
Two-way repeated-measures ANOVA showed a significant time interaction for the following ESAS items: pain (F (DFn = 7, DFd = 56) = 9.26, η2 = 0.28, p < 0.0001), tiredness (F (7, 56) = 17.56, η2 = 0.35, p < 0.0001), drowsiness (F (7, 56) = 2.85, η2 = 0.10, p = 0.013), lack of appetite (F (7, 56) = 6.26, η2 = 0.14, p < 0.0001), shortness of breath (F (7, 56) = 2.33, η2 = 0.02, p = 0.037), anxiety (F (7, 56) = 11.04, η2 = 0.26, p < 0.0001), and wellbeing (F (7, 56) = 8.85, η2 = 0.23, p < 0.0001), as well as for the total ESAS score (F (7, 56) = 18.21, η2 = 0.30, p < 0.0001), physical subscore (F (7, 56) = 18.69, η2 = 0.32, p < 0.0001), and emotional subscore (F (7, 56) = 9.58, η2 = 0.24, p < 0.0001). Thus, the effect size was large (η2 ≥ 0.14) in all cases, but medium or small for the items “drowsiness” and “shortness of breath”, respectively.
Post hoc tests showed a significant score increase compared to incl scores for:
- -
- “pain”, from post SF to end in both groups (mean (95% confidence interval) difference = 1.24 (−0.80, 3.29) to 4.43 (2.39, 6.48));
- -
- “tiredness”, from post BH2 or 1H post BH2 to end in both groups (2.93 (−0.43, 5.43) to 5.69 (3.19, 8.19));
- -
- “lack of appetite”, from post SF to end in the control group only (4.19 (1.47, 6.91) to 5.04 (2.32, 7.77));
- -
- ESAS total score, from post BH1 to end in the control group only (10.79 (1.29, 20.29) to 18.07 (8.57, 27.57));
- -
- ESAS physical subscore, from post BH1 to end in the control group only (9.51 (2.59, 16.43) to 17.40 (10.48, 24.32)) (Figure 3).

Figure 3.
Time course of the ESAS variables. Only variables for which a significant time or group interaction was found (repeated-measures ANOVA, p < 0.05) are reported. In black: control group. In white: electroacupucture group. Post hoc tests for score change compared to incl score: *, p < 0.05; **, p < 0.01; ***, p < 0.001; ****, p < 0.0001. Post hoc tests for score difference between the control and EA groups at a given timepoint: §, p < 0.05; §§, p < 0.01; §§§, p < 0.001. incl, inst, postSF, postBH1, postBH2, 1HpostBH2, end, D2: various timepoints before, during, or after the surgery (see text).
Post hoc tests showed a significant score decrease compared to incl scores for:
- -
- “anxiety” at D2 in both groups (−2.51 (−0.29, −4.73) to −2.70 (−0.48, −4.92));
- -
- ESAS emotional subscore at D2 in both groups (−2.66 (−0.06, −5.25) to −2.70 (−0.11, −5.29));
- -
- “wellbeing” at D2 in the EA group only (−2.43 (−0.27, −4.60)) (Figure 3).
Significant group interaction (F (1, 8) = 10.06, η2 = 0.14, p = 0.013) and time × group interaction (F (7, 56) = 5.09, η2 = 0.12, p = 0.0002) were observed for the item “lack of appetite” only (at the limits of a large effect size). Post hoc tests showed a significant score increase in the control versus EA group from post BH1 to end for this item (mean (95% confidence interval) difference = 3.87 (1.01, 6.73) to 4.79 (1.93, 7.65)), and also at the end of the intervention for ESAS total score (10.24 (0.26, 20.23)) and physical subscore (9.28 (2.00, 16.55)) (Figure 3).
Regarding the intraoperative anesthesia monitoring parameters (heart rate, oxygen saturation, and systolic and diastolic blood pressure) no significant change during the surgical intervention was observed within or between groups using repeated-measures ANOVA (p > 0.05 for time, group, or time x group interactions in all cases). Finally, the total time duration of the surgery did not differ between the two groups (mean: 6:17 in the control group vs. 6:53 in the EA group, p = 0.27).
Regarding adverse events, one patient in the control group developed delirium associated with a panic attack immediately after the placement of the first electrode and before the completion of the second burr hole, so that the intervention was stopped. No adverse event was observed in the EA group.
4. Discussion
This study shows that EA can reduce the discomfort of the surgical procedure of DBS implantation performed under local anesthesia in PD patients. To summarize, pain and tiredness increased in both groups after placement of the stereotactic frame, but the score of the ESAS item “lack of appetite”, as well as both ESAS total score and physical subscore, increased only in the control group from the completion of the first burr hole until the end of the intervention. At that time point, these scores were significantly higher in the control group than in the EA group. All these results show greater discomfort during and at the end of the intervention in the control group compared to the EA group.
In the control group, the ESAS item “lack of appetite” was the main sign of discomfort, followed by tiredness and pain, integrating well into the clinical picture of SB []. ESAS physical subscore increased markedly in the control group from the completion of the first burr hole, indicating physical discomfort, while the ESAS emotional subscore remained relatively stable. This suggests that, during the intervention, patients need more help to reduce physical discomfort than psychological support and that this goal can be achieved through the use of EA.
After the surgical intervention (D2), anxiety and ESAS emotional subscores were reduced in both groups, while the feeling of wellbeing only improved in the EA group (a lower score corresponding to a better status). In the control group, one patient developed delirium after placement of the first electrode, leading to discontinuation of the procedure. This case could have been caused by direct damage to the limbic STN or be due to any kind of concurrent surgical factor. Therefore, no conclusion can obviously be drawn from this single case. In a second time, this patient underwent DBS electrode implantation using EA without any adverse event.
In clinical practice, DBS is indicated in PD patients who are under the age of 70 with a Mattis score < 130/144 []. Patients who are near these limits could be a population at risk of delirium, although the results in the literature are sometimes contradictory [,,]. Our results suggest that EA significantly improves the patient’s comfort, especially in the last part of the procedure, between 5 and 6 h after patient’s installation, when tiredness and physical discomfort are at their peak.
The development of SB may be linked to an increase in the production of proinflammatory cytokines []. The anti-inflammatory action of acupuncture has been shown in several studies [,], including the reduction in interleukin-6 (IL-6) and interleukin-1β (IL-1β) serum levels in a surgical context [,]. Acupuncture may also reduce the development of emotional and attention disorders by reducing stress-induced inflammatory reactions []. Therefore, it would have been interesting to take blood samples of proinflammatory cytokines (IL-1β and IL-6 in particular), before, at different points during, and after the procedure to identify the possible anti-inflammatory effects of EA.
One limitation of EA in the context of DBS implantation surgery is to maintain the procedure during clinical testing of the PD patients because it requires active and passive movements of the distal upper limbs, at the level of which there were two acupuncture points used in this protocol. The value of other acupuncture points located in the leg should be assessed, such as the Zu San Li acupoint (St 36) [], which are known also to produce analgesic and anti-inflammatory effect [].
However, the main limitation of this study is the absence of blinding or a sham procedure. The absence of sham intervention is a common ethical limitation of surgical interventions. On the other hand, it is obvious that it is not possible to make patients “blind” to EA treatment. The feasibility of blinding and sham intervention in randomized controlled clinical trials of acupuncture has been widely discussed [], considering the technical and physiological aspects of acupuncture. Thus, patients in the EA group may have felt better simply because they “knew” they were being treated with EA, not because of the EA intervention per se. However, in our study, patients in the EA group were significantly more anxious before the operation than patients in the control group. It is possible that the explanations given to the patients about the EA procedure initially increased their anxiety. This would reinforce the hypothesis of a real efficacy of EA rather than a “care” effect in improving patient comfort during surgery. In any case, a head-to-head comparison of two EA procedures, relevant and irrelevant, could, for example, be a good approach in a future study to confirm the present results.
It is important to also consider the potential subjectivity of a questionnaire for the clinical evaluation of patient comfort. In the field of DBS [,], but also in craniotomies performed in awake patients [], intraoperative assessment is often limited to scoring pain intensity on a one-dimensional scale or reporting adverse events. In humans, there are quantified scales to assess SB [,], but these are usually adapted to the context of everyday life, with questions regarding libido, feelings of pleasure, loss of weight, sleep quality, and social isolation, which are not adapted to the intraoperative context [,]. This was one of the reasons for using the ESAS and its sub-scores, suitable for the evaluation of an intervention and whose use has been validated, including outside the context of palliative care, in which ESAS was originally developed [].
Finally, other major limitations of the study are the small sample size and the single-center design. Considering the other limitations mentioned above, such as the absence of blinding or sham procedure, this study should, therefore, be considered as a preliminary study whose results must be confirmed in future studies including a more stringent control procedure and larger sample size.
5. Conclusions
This study shows that EA improves intra- and postoperative comfort of PD patients who undergo surgical implantation of DBS electrode. This improvement was mainly found during the second part of the surgery, which is generally quite difficult for the patient, as well as during the early postoperative period (first 48 h). Our results suggest that acupuncture should be more systematically proposed to patients presenting with risk factors of delirium due to awake neurosurgery, but remain to be confirmed in a multicenter trial with a larger group of patients.
Author Contributions
Conceptualization, S.R., J.-M.N. and A.H.; formal analysis, J.-M.N.; investigation, R.B., T.R., Y.M. and N.R.; methodology, S.R., J.-M.N. and J.-P.N.; supervision, J.-P.L. and J.N.; writing—review & editing, P.D. and J.-P.N. All authors have read and agreed to the published version of the manuscript.
Funding
This research was promoted by Appel d’offre interne CHU Nantes public funding of the Nantes Hospital.
Institutional Review Board Statement
CHU Nantes approved by the local Ethics Committee (CCP West V No. 14/23-939 on 10/4/2014), and registered on ClinicalTrials.gov (NCT02236260).
Informed Consent Statement
Written informed consent has been obtained from the patient(s) to publish this paper.
Data Availability Statement
The data that support the findings of this study are available on request from the corresponding author.
Conflicts of Interest
The authors declare no conflict of interest.
References
- Benabid, A.; Pollak, P.; Louveau, A.; Henry, S.; De Rougemont, J. Combined (Thalamotomy and Stimulation) Stereotactic Surgery of the VIM Thalamic Nucleus for Bilateral Parkinson Disease. Ster. Funct. Neurosurg. 1987, 50, 344–346. [Google Scholar] [CrossRef] [PubMed]
- Benabid, A.L.; Krack, P.P.; Benazzouz, A.; Limousin, P.; Koudsie, A.; Pollak, P. Deep brain stimulation of the subthalamic nucleus for Parkinson’s disease: Methodologic aspects and clinical criteria. Neurology 2000, 55, S40–S44. [Google Scholar] [PubMed]
- Goodman, R.R.; Kim, B.; McClelland, S.; Senatus, P.B.; Winfield, L.M.; Pullman, S.L.; Yu, Q.; Ford, B.; McKhann, G.M. Operative techniques and morbidity with subthalamic nucleus deep brain stimulation in 100 consecutive patients with advanced Parkinson’s disease. J. Neurol. Neurosurg. Psychiatry 2006, 77, 12–17. [Google Scholar] [CrossRef] [PubMed] [Green Version]
- Schuepbach, W.; Rau, J.; Knudsen, K.; Volkmann, J.; Krack, P.; Timmermann, L.; Hälbig, T.; Hesekamp, H.; Navarro, S.; Meier, N.; et al. Neurostimulation for Parkinson’s Disease with Early Motor Complications. N. Engl. J. Med. 2013, 368, 610–622. [Google Scholar] [CrossRef] [PubMed] [Green Version]
- Thomsen, B.L.; Rn, S.R.J.; Rn, A.C.; Karlsborg, M.; Jespersen, B.; Løkkegaard, A. Deep Brain Stimulation in Parkinson’s Disease: Still Effective after More Than 8 Years. Mov. Disord. Clin. Pract. 2020, 7, 788–796. [Google Scholar] [CrossRef]
- Maarouf, M.; Wojtecki, L.; Groiss, S.J.; Florin, E.; Sturm, V.; Fink, G.R.; Schnitzler, A.; Timmermann, L.; Reck, C. Clinical Outcome of Subthalamic Stimulation in Parkinson’s Disease is Improved by Intraoperative Multiple Trajectories Microelectrode Recording. J. Neurol. Surg. Part A Central Eur. Neurosurg. 2012, 73, 377–386. [Google Scholar] [CrossRef]
- Lefaucheur, J.-P.; Gurruchaga, J.-M.; Pollin, B.; Von Raison, F.; Mohsen, N.; Shin, M.; Ménard-Lefaucheur, I.; Oshino, S.; Kishima, H.; Fénelon, G.; et al. Outcome of Bilateral Subthalamic Nucleus Stimulation in the Treatment of Parkinson’s Disease: Correlation with Intra-Operative Multi-Unit Recordings but Not with the Type of Anaesthesia. Eur. Neurol. 2008, 60, 186–199. [Google Scholar] [CrossRef]
- Bos, M.J.; Sanchez, A.M.A.; Bancone, R.; Temel, Y.; De Greef, B.T.; Absalom, A.R.; Gommer, E.D.; Van Kranen-Mastenbroek, V.H.; Buhre, W.F.; Roberts, M.J.; et al. Influence of Anesthesia and Clinical Variables on the Firing Rate, Coefficient of Variation and Multi-Unit Activity of the Subthalamic Nucleus in Patients with Parkinson’s Disease. J. Clin. Med. 2020, 9, 1229. [Google Scholar] [CrossRef]
- Kalenka, A.; Schwarz, A. Anaesthesia and Parkinson’s disease: How to manage with new therapies? Curr. Opin. Anaesthesiol. 2009, 22, 419–424. [Google Scholar] [CrossRef]
- Mulroy, E.; Robertson, N.; Macdonald, L.; Bok, A.; Simpson, M. Patients’ Perioperative Experience of Awake Deep-Brain Stimulation for Parkinson Disease. World Neurosurg. 2017, 105, 526–528. [Google Scholar] [CrossRef]
- Khatib, R.; Ebrahim, Z.; Rezai, A.; Cata, J.P.; Boulis, N.M.; Doyle, D.J.; Schurigyn, T.; Farag, E. Perioperative Events During Deep Brain Stimulation: The Experience at Cleveland Clinic. J. Neurosurg. Anesthesiol. 2008, 20, 36–40. [Google Scholar] [CrossRef] [PubMed] [Green Version]
- Herzog, J.; Volkmann, J.; Krack, P.; Kopper, F.; Pötter, M.; Lorenz, D.; Steinbach, M.; Klebe, S.; Hamel, W.; Schrader, B.; et al. Two-year follow-up of subthalamic deep brain stimulation in Parkinson’s disease. Mov. Disord. 2003, 18, 1332–1337. [Google Scholar] [CrossRef] [PubMed]
- Vergani, F.; Landi, A.; Pirillo, D.; Cilia, R.; Antonini, A.; Sganzerla, E.P. Surgical, Medical, and Hardware Adverse Events in a Series of 141 Patients Undergoing Subthalamic Deep Brain Stimulation for Parkinson Disease. World Neurosurg. 2010, 73, 338–344. [Google Scholar] [CrossRef] [PubMed]
- Boviatsis, E.J.; Stavrinou, L.C.; Themistocleous, M.; Kouyialis, A.T.; Sakas, D.E. Surgical and hardware complications of deep brain stimulation. A seven-year experience and review of the literature. Acta Neurochir. 2010, 152, 2053–2062. [Google Scholar] [CrossRef] [PubMed]
- Martins, V.M.; Coste, J.; Derost, P.; Ulla, M.; Gabrillargues, J.; Durif, F.; Chazal, J.; Lemaire, J.-J. Complications chirurgicales de la stimulation cérébrale profonde: Expérience clinique à propos de 184 cas. Neurochirurgie 2012, 58, 219–224. [Google Scholar] [CrossRef] [Green Version]
- Seijo, F.; Beramendi, S.A.D.E.; Liebana, E.S.; Aragoneses, B.L.; Ayala, A.S.; De Leon, R.F.; Vega, M.A.A. Surgical adverse events of deep brain stimulation in the subthalamic nucleus of patients with Parkinson’s disease. The learning curve and the pitfalls. Acta Neurochir. 2014, 156, 1505–1512. [Google Scholar] [CrossRef]
- Lange, M.; Zech, N.; Seemann, M.; Janzen, A.; Halbing, D.; Zeman, F.; Doenitz, C.; Rothenfusser, E.; Hansen, E.; Brawanski, A.; et al. Anesthesiologic regimen and intraoperative delirium in deep brain stimulation surgery for Parkinson’s disease. J. Neurol. Sci. 2015, 355, 168–173. [Google Scholar] [CrossRef]
- Rudolph, J.L.; Harrington, M.B.; Lucatorto, M.A.; Chester, J.G.; Francis, J.; Shay, K.J. Veterans Affairs and Delirium Working Group Validation of a Medical Record-Based Delirium Risk Assessment. J. Am. Geriatr. Soc. 2011, 59, S289–S294. [Google Scholar] [CrossRef] [Green Version]
- Limousin, P.; Krack, P.; Pollak, P.; Benazzouz, A.; Ardouin, C.; Hoffmann, D.; Benabid, A.-L. Electrical Stimulation of the Subthalamic Nucleus in Advanced Parkinson’s Disease. N. Engl. J. Med. 1998, 339, 1105–1111. [Google Scholar] [CrossRef]
- Krack, P.; Batir, A.; Van Blercom, N.; Chabardes, S.; Fraix, V.; Ardouin, C.; Koudsie, A.; Limousin, P.D.; Benazzouz, A.; LeBas, J.F.; et al. Five-Year Follow-up of Bilateral Stimulation of the Subthalamic Nucleus in Advanced Parkinson’s Disease. N. Engl. J. Med. 2003, 349, 1925–1934. [Google Scholar] [CrossRef] [Green Version]
- Pilitsis, J.G.; Rezai, A.R.; Boulis, N.M.; Henderson, J.M.; Busch, R.M.; Kubu, C.S. A Preliminary Study of Transient Confusional States following Bilateral Subthalamic Stimulation for Parkinson’s Disease. Ster. Funct. Neurosurg. 2005, 83, 67–70. [Google Scholar] [CrossRef] [PubMed]
- Gologorsky, Y.; Ben-Haim, S.; Moshier, E.L.; Godbold, J.; Tagliati, M.; Weisz, D.; Alterman, R.L. Transgressing the Ventricular Wall During Subthalamic Deep Brain Stimulation Surgery for Parkinson Disease Increases the Risk of Adverse Neurological Sequelae. Neurosurgery 2011, 69, 294–300. [Google Scholar] [CrossRef] [PubMed]
- Carlson, J.D.; Neumiller, J.J.; Swain, L.D.; Mark, J.; McLeod, P.; Hirschauer, J. Postoperative delirium in Parkinson’s disease patients following deep brain stimulation surgery. J. Clin. Neurosci. 2014, 21, 1192–1195. [Google Scholar] [CrossRef] [PubMed]
- O’Gara, B.; Marcantonio, E.R.; Pascual-Leone, A.; Shaefi, S.; Mueller, A.; Banner-Goodspeed, V.; Talmor, D.; Subramaniam, B. Prevention of Early Postoperative Decline (PEaPoD): Protocol for a randomized, controlled feasibility trial. Trials 2018, 19, 676. [Google Scholar] [CrossRef] [PubMed]
- Chernyak, M.G.V.; Sessler, M.D.I.; Warltier, M.D.C. Perioperative Acupuncture and Related Techniques. Anesthesiology 2005, 102, 1031–1049. [Google Scholar] [CrossRef] [Green Version]
- Sun, Y.; Gan, T.J.; Dubose, J.W.; Habib, A.S. Acupuncture and related techniques for postoperative pain: A systematic review of randomized controlled trials. Br. J. Anaesth. 2008, 101, 151–160. [Google Scholar] [CrossRef] [Green Version]
- Allen, T.K.; Habib, A.S. P6 Stimulation for the Prevention of Nausea and Vomiting Associated with Cesarean Delivery Under Neuraxial Anesthesia: A Systematic Review of Randomized Controlled Trials. Anesthesia Analg. 2008, 107, 1308–1312. [Google Scholar] [CrossRef]
- Coura, L.E.F.; Manoel, C.H.U.; Poffo, R.; Bedin, A.; Westphal, G.A. Randomised, Controlled Study of Preoperative Eletroacupuncture for Postoperative Pain Control after Cardiac Surgery. Acupunct. Med. 2011, 29, 16–20. [Google Scholar] [CrossRef]
- Wang, J.L.; Xie, W.X.; Zhang, Q. Effects of combined transdermal acupoint electric stimulation and isoflurane anesthesia on isoflurane-induced hypotension and tissue oxygen metabolism in patients undergoing craniotomy. Zhongguo Zhongxiyi Jiehe Zazhi = Chin. J. Integr. Tradit. West. Med. 2001, 21, 180–182. [Google Scholar]
- Zhang, J.-M.; Zhang, H.; Zhu, X.-D.; Lü, S.; Liu, Z.; Chen, J.; Peng, S. Clinical application of acupunctural anesthesia with new combination principle of acupoints in supratentorial craniocerebral operation of tumor in vital functional area or deep site of brain. Zhongguo Zhongxiyi Jiehe Zazhi = Chin. J. Integr. Tradit. West. Med. 2004, 24, 969–972. [Google Scholar]
- Wu, Q.; Mo, Y.-C.; Huang, L.-P.; Luo, L.; Wang, J.-L. Effect of transcutaneous acupoint electrical stimulation on stress in brain surgery with propofol target controlled infusion general anesthesia. Zhongguo Zhongxiyi Jiehe Zazhi = Chin. J. Integr. Tradit. West. Med. 2013, 33, 6121–6125. [Google Scholar]
- Wu, M.-S.; Chen, K.-H.; Chen, I.-F.; Huang, S.K.; Tzeng, P.-C.; Yeh, M.-L.; Lee, F.-P.; Lin, J.-G.; Chen, C. The Efficacy of Acupuncture in Post-Operative Pain Management: A Systematic Review and Meta-Analysis. PLoS ONE 2016, 11, e0150367. [Google Scholar] [CrossRef] [PubMed] [Green Version]
- Wang, B.G.; Wang, E.Z.; Chen, X.Z. A study on combined acupuncture and enflurane anesthesia for craniotomy. Zhongguo Zhongxiyi Jiehe Zazhi = Chin. J. Integr. Tradit. West. Med. 1994, 14, 10–13. [Google Scholar]
- Jiang, C. Normalization of acupuncture anesthesia used in operation of neoplasm in functional area or deep site of brain. Zhen Ci Yan Jiu = Acupunct. Res. 1996, 21, 4–7. [Google Scholar]
- Yan, H.; Jiang, C. Application of acupuncture anesthesia during craniocerebral operation in temporo-fronto-occipital region. Zhen Ci Yan Jiu = Acupunct. Res. 1990, 15, 92–96. [Google Scholar]
- Yan, H.; Jiang, C.; Liang, W. Clinical application of combined acupuncture-drug anesthesia in cerebral functional area oper-ation. Zhongguo Zhong Xi Yi Jie He Za Zhi 1998, 18, 138. [Google Scholar]
- Bruera, E.; Kuehn, N.; Miller, M.J.; Selmser, P.; Macmillan, K. The Edmonton Symptom Assessment System (ESAS): A Simple Method for the Assessment of Palliative Care Patients. J. Palliat. Care 1991, 7, 6–9. [Google Scholar] [CrossRef]
- Ryff, C.D.; Love, G.D.; Urry, H.L.; Muller, D.; Rosenkranz, M.A.; Friedman, E.M.; Davidson, R.J.; Singer, B. Psychological Well-Being and Ill-Being: Do They Have Distinct or Mirrored Biological Correlates? Psychother. Psychosom. 2006, 75, 85–95. [Google Scholar] [CrossRef] [Green Version]
- Lien, K.; Zeng, L.; Zhang, L.; Nguyen, J.; Di Giovanni, J.; Popovic, M.; Jamani, R.; Cramarossa, G.; Culleton, S.; Chow, E. Predictive Factors for Well-being in Advanced Cancer Patients Referred for Palliative Radiotherapy. Clin. Oncol. 2012, 24, 443–451. [Google Scholar] [CrossRef]
- Hui, D.; Bruera, E. The Edmonton Symptom Assessment System 25 Years Later: Past, Present, and Future Developments. J. Pain Symptom Manag. 2016, 53, 630–643. [Google Scholar] [CrossRef] [Green Version]
- Disease, M.D.S.T.F.O.R.S.F.P. The Unified Parkinson’s Disease Rating Scale (UPDRS): Status and recommendations. Mov. Disord. 2003, 18, 738–750. [Google Scholar] [CrossRef]
- Asmussen, S.; Maybauer, D.M.; Chen, J.D.; Fraser, J.F.; Toon, M.H.; Przkora, R.; Jennings, K.; Maybauer, M. Effects of Acupuncture in Anesthesia for Craniotomy: A Meta-Analysis. J. Neurosurg. Anesthesiol. 2017, 29, 219–227. [Google Scholar] [CrossRef] [PubMed]
- Lv, J.-Q.; Li, P.-C.; Zhou, L.; Tang, W.-F.; Li, N. Acupuncture at the P6 Acupoint to Prevent Postoperative Pain after Craniotomy: A Randomized, Placebo-Controlled Study. Evidence-Based Complement. Altern. Med. 2021, 2021, 6619855. [Google Scholar] [CrossRef]
- Tobias, K.; Rosenfeld, B.; Pessin, H.; Breitbart, W. Measuring sickness behavior in the context of pancreatic cancer. Med. Hypotheses 2015, 84, 231–237. [Google Scholar] [CrossRef] [PubMed] [Green Version]
- Bezdicek, O.; Michalec, J.; Nikolai, T.; Havránková, P.; Roth, J.; Jech, R.; Růžička, E. Clinical Validity of the Mattis Dementia Rating Scale in Differentiating Mild Cognitive Impairment in Parkinson’s Disease and Normative Data. Dement. Geriatr. Cogn. Disord. 2015, 39, 303–311. [Google Scholar] [CrossRef] [PubMed]
- Dantzer, R.; Kelley, K.W. Twenty years of research on cytokine-induced sickness behavior. Brain Behav. Immun. 2007, 21, 153–160. [Google Scholar] [CrossRef] [Green Version]
- Zijlstra, F.J.; Lange, I.V.D.B.-D.; Huygen, F.J.P.M.; Klein, J. Anti-inflammatory actions of acupuncture. Mediat. Inflamm. 2003, 12, 59–69. [Google Scholar] [CrossRef]
- Bai, H.; Xu, S.; Wu, Q.; Xu, S.; Sun, K.; Wu, J.; Xia, X.; Liu, Y.; Zhang, H.; Lu, S. Clinical Events Associated with Acupuncture Intervention for the Treatment of Chronic Inflammation Associated Disorders. Mediat. Inflamm. 2020, 2020, 2675785. [Google Scholar] [CrossRef]
- Gao, F.; Zhang, Q.; Li, Y.; Tai, Y.; Xin, X.; Wang, X.; Wang, Q. Transcutaneous electrical acupoint stimulation for prevention of postoperative delirium in geriatric patients with silent lacunar infarction: A preliminary study. Clin. Interv. Aging 2018, ume 13, 2127–2134. [Google Scholar] [CrossRef] [Green Version]
- Yang, S.-B.; Cho, S.-Y.; Kwon, S.; Jung, W.-S.; Moon, S.-K.; Park, J.-M.; Ko, C.-N.; Shin, H.S.; Lee, S.H.; Koh, J.S.; et al. Acupuncture attenuates postoperative inflammation in patients after craniotomy. Medicine 2020, 99, e19071. [Google Scholar] [CrossRef]
- Maydych, V. The Interplay Between Stress, Inflammation, and Emotional Attention: Relevance for Depression. Front. Neurosci. 2019, 13, 384. [Google Scholar] [CrossRef] [PubMed]
- Wei, L.A.; Fearing, M.A.; Sternberg, E.J.; Inouye, S.K. The Confusion Assessment Method: A Systematic Review of Current Usage. J. Am. Geriatr. Soc. 2008, 56, 823–830. [Google Scholar] [CrossRef] [PubMed] [Green Version]
- Ding, X.; Gao, X.; Chen, Q.; Jiang, X.; Li, Y.; Xu, J.; Qin, G.; Lu, S.; Huang, D. Preoperative Acute Pain Is Associated with Postoperative Delirium. Pain Med. 2020, 22, 15–21. [Google Scholar] [CrossRef] [PubMed]
- Li, H.; Han, S.; Feng, J. Delirium after Deep Brain Stimulation in Parkinson’s Disease. Park. Dis. 2021, 2021, 8885386. [Google Scholar] [CrossRef]
Publisher’s Note: MDPI stays neutral with regard to jurisdictional claims in published maps and institutional affiliations. |
© 2022 by the authors. Licensee MDPI, Basel, Switzerland. This article is an open access article distributed under the terms and conditions of the Creative Commons Attribution (CC BY) license (https://creativecommons.org/licenses/by/4.0/).