Adjunctive Catheter-Directed Thrombolysis during Primary PCI for ST-Segment Elevation Myocardial Infarction with High Thrombus Burden
Abstract
:1. Introduction
2. Materials and Methods
2.1. Study Protocol
2.2. Statistical Analysis
3. Results
3.1. Study Population
3.2. Angiographic Findings, Procedural Data, Outcomes, and Complications
3.3. Propensity Score Matching Analysis
3.4. Antecedent Aspiration Thrombectomy Cases
3.5. Clinical Characteristics of Patients in the CDT Group with Final TIMI Flow Grade 0 or 1
4. Discussion
5. Conclusions
Author Contributions
Funding
Institutional Review Board Statement
Informed Consent Statement
Data Availability Statement
Acknowledgments
Conflicts of Interest
References
- Steg, P.G.; James, S.K.; Atar, D.; Badano, L.P.; Blomstrom-Lundqvist, C.; Borger, M.A.; Di Mario, C.; Dickstein, K.; Ducrocq, G.; Fernandez-Aviles, F.; et al. ESC Guidelines for the management of acute myocardial infarction in patients presenting with ST-segment elevation. Eur. Heart J. 2012, 33, 2569–2619. [Google Scholar] [CrossRef]
- Ibanez, B.; James, S.; Agewall, S.; Antunes, M.J.; Bucciarelli-Ducci, C.; Bueno, H.; Caforio, A.L.P.; Crea, F.; Goudevenos, J.A.; Halvorsen, S.; et al. 2017 ESC Guidelines for the management of acute myocardial infarction in patients presenting with ST-segment elevation. Rev. Esp. Cardiol. (Engl. Ed.) 2017, 70, 1082. [Google Scholar] [CrossRef]
- Falk, E. Unstable angina with fatal outcome: Dynamic coronary thrombosis leading to infarction and/or sudden death. Autopsy evidence of recurrent mural thrombosis with peripheral embolization culminating in total vascular occlusion. Circulation 1985, 71, 699–708. [Google Scholar] [CrossRef] [Green Version]
- Singh, M.; Reeder, G.S.; Ohman, E.M.; Mathew, V.; Hillegass, W.B.; Anderson, R.D.; Gallup, D.S.; Garratt, K.N.; Holmes, D.R., Jr. Does the presence of thrombus seen on a coronary angiogram affect the outcome after percutaneous coronary angioplasty? An Angiographic Trials Pool data experience. J. Am. Coll. Cardiol. 2001, 38, 624–630. [Google Scholar] [CrossRef]
- Sianos, G.; Papafaklis, M.I.; Daemen, J.; Vaina, S.; van Mieghem, C.A.; van Domburg, R.T.; Michalis, L.K.; Serruys, P.W. Angiographic stent thrombosis after routine use of drug-eluting stents in ST-segment elevation myocardial infarction: The importance of thrombus burden. J. Am. Coll. Cardiol. 2007, 50, 573–583. [Google Scholar] [CrossRef] [Green Version]
- Jolly, S.S.; Cairns, J.A.; Lavi, S.; Cantor, W.J.; Bernat, I.; Cheema, A.N.; Moreno, R.; Kedev, S.; Stankovic, G.; Rao, S.V.; et al. Thrombus Aspiration in Patients with High Thrombus Burden in the TOTAL Trial. J. Am. Coll. Cardiol. 2018, 72, 1589–1596. [Google Scholar] [CrossRef]
- Kelly, R.V.; Crouch, E.; Krumnacher, H.; Cohen, M.G.; Stouffer, G.A. Safety of adjunctive intracoronary thrombolytic therapy during complex percutaneous coronary intervention: Initial experience with intracoronary tenecteplase. Catheter. Cardiovasc. Interv. Off. J. Soc. Card. Angiogr. Interv. 2005, 66, 327–332. [Google Scholar] [CrossRef]
- Saito, T.; Taniguchi, I.; Nakamura, S.; Oka, H.; Mizuno, Y.; Noda, K.; Yamashita, S.; Oshima, S. Pulse-spray thrombolysis in acutely obstructed coronary artery in critical situations. Catheter. Cardiovasc. Diagn. 1997, 40, 101–108. [Google Scholar] [CrossRef]
- Inoue, T.; Yaguchi, I.; Takayanagi, K.; Hayashi, T.; Morooka, S.; Eguchi, Y. A new thrombolytic agent, monteplase, is independent of the plasminogen activator inhibitor in patients with acute myocardial infarction: Initial results of the COmbining Monteplase with Angioplasty (COMA) trial. Am. Heart J. 2002, 144, E5. [Google Scholar] [CrossRef]
- Kawai, C.; Yui, Y.; Hosoda, S.; Nobuyoshi, M.; Suzuki, S.; Sato, H.; Takatsu, F.; Motomiya, T.; Kanmatsuse, K.; Kodama, K.; et al. A Prospective, Randomized, Double-Blind Multicenter Trial of a Single Bolus Injection of the Novel Modified t-PA E6010 in the Treatment of Acute Myocardial Infarction: Comparison with Native t-PA. J. Am. Coll. Cardiol. 1997, 29, 1447–1453. [Google Scholar] [CrossRef] [Green Version]
- Kurihara, H.; Matsumoto, S.; Tamura, R.; Yachiku, K.; Nakata, A.; Nakagawa, T.; Yoshino, T.; Matsuyama, T. Clinical outcome of percutaneous coronary intervention with antecedent mutant t-PA administration for acute myocardial infarction. Am. Heart J. 2004, 147, E14. [Google Scholar] [CrossRef]
- Verstraete, M. Third-generation thrombolytic drugs. Am. J. Med. 2000, 109, 52–58. [Google Scholar] [CrossRef]
- McCartney, P.J.; Eteiba, H.; Maznyczka, A.M.; McEntegart, M.; Greenwood, J.P.; Muir, D.F.; Chowdhary, S.; Gershlick, A.H.; Appleby, C.; Cotton, J.M.; et al. Effect of Low-Dose Intracoronary Alteplase during Primary Percutaneous Coronary Intervention on Microvascular Obstruction in Patients with Acute Myocardial Infarction: A Randomized Clinical Trial. JAMA 2019, 321, 56–68. [Google Scholar] [CrossRef]
- Gibson, C.M.; de Lemos, J.A.; Murphy, S.A.; Marble, S.J.; McCabe, C.H.; Cannon, C.P.; Antman, E.M.; Braunwald, E. Combination therapy with abciximab reduces angiographically evident thrombus in acute myocardial infarction: A TIMI 14 substudy. Circulation 2001, 103, 2550–2554. [Google Scholar] [CrossRef]
- Group, T.S. Comparison of invasive and conservative strategies after treatment with intravenous tissue plasminogen activator in acute myocardial infarction. Results of the thrombolysis in myocardial infarction (TIMI) phase II trial. N. Engl. J. Med. 1989, 320, 618–627. [Google Scholar]
- Gibson, C.M.; Cannon, C.P.; Daley, W.L.; Dodge, J.T., Jr.; Alexander, B., Jr.; Marble, S.J.; McCabe, C.H.; Raymond, L.; Fortin, T.; Poole, W.K.; et al. TIMI frame count: A quantitative method of assessing coronary artery flow. Circulation 1996, 93, 879–888. [Google Scholar] [CrossRef]
- van ’t Hof, A.W.; Liem, A.; Suryapranata, H.; Hoorntje, J.C.; de Boer, M.J.; Zijlstra, F. Angiographic assessment of myocardial reperfusion in patients treated with primary angioplasty for acute myocardial infarction: Myocardial blush grade. Zwolle Myocardial Infarction Study Group. Circulation 1998, 97, 2302–2306. [Google Scholar] [CrossRef] [Green Version]
- Chesebro, J.H.; Knatterud, G.; Roberts, R.; Borer, J.; Cohen, L.S.; Dalen, J.; Dodge, H.T.; Francis, C.K.; Hillis, D.; Ludbrook, P.; et al. Thrombolysis in Myocardial Infarction (TIMI) Trial, Phase I: A comparison between intravenous tissue plasminogen activator and intravenous streptokinase. Clinical findings through hospital discharge. Circulation 1987, 76, 142–154. [Google Scholar] [CrossRef] [Green Version]
- Rao, A.K.; Pratt, C.; Berke, A.; Jaffe, A.; Ockene, I.; Schreiber, T.L.; Bell, W.R.; Knatterud, G.; Robertson, T.L.; Terrin, M.L. Thrombolysis in Myocardial Infarction (TIMI) Trial--phase I: Hemorrhagic manifestations and changes in plasma fibrinogen and the fibrinolytic system in patients treated with recombinant tissue plasminogen activator and streptokinase. J. Am. Coll. Cardiol. 1988, 11, 1–11. [Google Scholar] [CrossRef] [Green Version]
- Schieman, G.; Cohen, B.M.; Kozina, J.; Erickson, J.S.; Podolin, R.A.; Peterson, K.L.; Ross, J., Jr.; Buchbinder, M. Intracoronary urokinase for intracoronary thrombus accumulation complicating percutaneous transluminal coronary angioplasty in acute ischemic syndromes. Circulation 1990, 82, 2052–2060. [Google Scholar] [CrossRef] [Green Version]
- Ambrose, J.A.; Almeida, O.D.; Sharma, S.K.; Torre, S.R.; Marmur, J.D.; Israel, D.H.; Ratner, D.E.; Weiss, M.B.; Hjemdahl-Monsen, C.E.; Myler, R.K.; et al. Adjunctive thrombolytic therapy during angioplasty for ischemic rest angina. Results of the TAUSA Trial. TAUSA Investigators. Thrombolysis and Angioplasty in Unstable Angina trial. Circulation 1994, 90, 69–77. [Google Scholar] [CrossRef] [Green Version]
- DiSciascio, G.; Kohli, R.S.; Goudreau, E.; Sabri, N.; Vetrovec, G.W. Intracoronary recombinant tissue-type plasminogen activator in unstable angina: A pilot angiographic study. Am. Heart J. 1991, 122 Pt 1, 1–6. [Google Scholar] [CrossRef]
- Goudreau, E.; DiSciascio, G.; Vetrovec, G.W.; Chami, Y.; Kohli, R.; Warner, M.; Sabri, N.; Cowley, M.J. Intracoronary urokinase as an adjunct to percutaneous transluminal coronary angioplasty in patients with complex coronary narrowings or angioplasty-induced complications. Am. J. Cardiol. 1992, 69, 57–62. [Google Scholar] [CrossRef]
- Ferguson, J.J. Clinical experience with intracoronary tissue plasminogen activator: Results of a multicenter registry. Intracoronary t-PA Registry Investigators. Catheter. Cardiovasc. Diagn. 1995, 34, 196–201. [Google Scholar] [CrossRef]
- Svilaas, T.; Vlaar, P.J.; van der Horst, I.C.; Diercks, G.F.; de Smet, B.J.; van den Heuvel, A.F.; Anthonio, R.L.; Jessurun, G.A.; Tan, E.S.; Suurmeijer, A.J.; et al. Thrombus aspiration during primary percutaneous coronary intervention. N. Engl. J. Med. 2008, 358, 557–567. [Google Scholar] [CrossRef] [Green Version]
- Dangas, G.; Stone, G.W.; Weinberg, M.D.; Webb, J.; Cox, D.A.; Brodie, B.R.; Krucoff, M.W.; Gibbons, R.J.; Lansky, A.J.; Mehran, R. Contemporary outcomes of rescue percutaneous coronary intervention for acute myocardial infarction: Comparison with primary angioplasty and the role of distal protection devices (EMERALD trial). Am. Heart J. 2008, 155, 1090–1096. [Google Scholar] [CrossRef]
- Gurbel, P.A.; Navetta, F.I.; Bates, E.R.; Muller, D.W.; Tenaglia, A.N.; Miller, M.J.; Muhlstein, B.; Hermiller, J.B.; Davidson, C.J.; Aguirre, F.V.; et al. Lesion-directed administration of alteplase with intracoronary heparin in patients with unstable angina and coronary thrombus undergoing angioplasty. Catheter. Cardiovasc. Diagn. 1996, 37, 382–391. [Google Scholar] [CrossRef]
- Barua, S.; Geenty, P.; Deshmukh, T.; Ada, C.; Tanous, D.; Cooper, M.; Fahmy, P.; Denniss, A.R. The role of intracoronary thrombolysis in selected patients presenting with ST-elevation myocardial infarction: A case series. Eur. Heart J. Case Rep. 2020, 4, 1–10. [Google Scholar] [CrossRef]
- Agarwal, S.K. Pharmacoinvasive therapy for acute myocardial infarction. Catheter. Cardiovasc. Interv. Off. J. Soc. Card. Angiogr. Interv. 2011, 78, 72–75. [Google Scholar] [CrossRef]
- Gallagher, S.; Jain, A.K.; Archbold, R.A. Intracoronary thrombolytic therapy: A treatment option for failed mechanical thrombectomy. Catheter. Cardiovasc. Interv. Off. J. Soc. Card. Angiogr. Interv. 2012, 80, 835–837. [Google Scholar] [CrossRef]
- Higashi, H.; Inaba, S.; Nishimura, K.; Hamagami, T.; Fujita, Y.; Ogimoto, A.; Okayama, H.; Higaki, J. Usefulness of adjunctive pulse infusion thrombolysis after failed aspiration for massive intracoronary thrombus. Can. J. Cardiol. 2011, 27, 869.e1–869.e2. [Google Scholar] [CrossRef]
- Kim, J.S.; Kim, J.H.; Jang, H.H.; Lee, Y.W.; Song, S.G.; Park, J.H.; Chun, K.J. Successful revascularization of coronary artery occluded by massive intracoronary thrombi with alteplase and percutaneous coronary intervention. J. Atheroscler. Thromb. 2010, 17, 768–770. [Google Scholar] [CrossRef] [Green Version]
- Gibson, C.M.; Kumar, V.; Gopalakrishnan, L.; Singh, P.; Guo, J.; Kazziha, S.; Devireddy, C.; Pinto, D.; Marshall, J.J.; Stouffer, G.A.; et al. Feasibility and Safety of Low-Dose Intra-Coronary Tenecteplase during Primary Percutaneous Coronary Intervention for ST-Elevation Myocardial Infarction (ICE T-TIMI 49). Am. J. Cardiol. 2020, 125, 485–490. [Google Scholar] [CrossRef]
- Alyamani, M.; Campbell, S.; Navarese, E.; Welsh, R.C.; Bainey, K.R. Safety and Efficacy of Intracoronary Thrombolysis as Adjunctive Therapy to Primary PCI in STEMI: A Systematic Review and Meta-Analysis. Can. J. Cardiol. 2021, 37, 339–346. [Google Scholar] [CrossRef]
- Frobert, O.; Lagerqvist, B.; Olivecrona, G.K.; Omerovic, E.; Gudnason, T.; Maeng, M.; Aasa, M.; Angeras, O.; Calais, F.; Danielewicz, M.; et al. Thrombus aspiration during ST-segment elevation myocardial infarction. N. Engl. J. Med. 2013, 369, 1587–1597. [Google Scholar] [CrossRef] [Green Version]
- Jolly, S.S.; Cairns, J.A.; Yusuf, S.; Meeks, B.; Pogue, J.; Rokoss, M.J.; Kedev, S.; Thabane, L.; Stankovic, G.; Moreno, R.; et al. Randomized trial of primary PCI with or without routine manual thrombectomy. N. Engl. J. Med. 2015, 372, 1389–1398. [Google Scholar] [CrossRef] [Green Version]
- Mastoris, I.; Giustino, G.; Sartori, S.; Baber, U.; Mehran, R.; Kini, A.S.; Sharma, S.K.; Dangas, G.D. Efficacy and safety of routine thrombus aspiration in patients with ST-segment elevation myocardial infarction undergoing primary percutaneous coronary intervention: An updated systematic review and meta-analysis of randomized controlled trials. Catheter. Cardiovasc. Interv. Off. J. Soc. Card. Angiogr. Interv. 2016, 87, 650–660. [Google Scholar] [CrossRef]
- Meneguz-Moreno, R.A.; Costa, J.R., Jr.; Oki, F.H.; Costa, R.A.; Abizaid, A. Thrombus aspiration in STEMI patients: An updated systematic review and meta-analysis. Minerva Cardioangiol. 2017, 65, 648–658. [Google Scholar] [CrossRef]
- Jolly, S.S.; James, S.; Dzavik, V.; Cairns, J.A.; Mahmoud, K.D.; Zijlstra, F.; Yusuf, S.; Olivecrona, G.K.; Renlund, H.; Gao, P.; et al. Thrombus Aspiration in ST-Segment-Elevation Myocardial Infarction: An Individual Patient Meta-Analysis: Thrombectomy Trialists Collaboration. Circulation 2017, 135, 143–152. [Google Scholar] [CrossRef]
- Assessment of the Safety and Efficacy of a New Treatment Strategy with Percutaneous Coronary Intervention (ASSENT-4 PCI) Investigators. Primary versus tenecteplase-facilitated percutaneous coronary intervention in patients with ST-segment elevation acute myocardial infarction (ASSENT-4 PCI): Randomised trial. Lancet 2006, 367, 569–578. [Google Scholar] [CrossRef]
- Echavarria-Pinto, M.; Lopes, R.; Gorgadze, T.; Gonzalo, N.; Hernandez, R.; Jimenez-Quevedo, P.; Alfonso, F.; Banuelos, C.; Nunez-Gil, I.J.; Ibanez, B.; et al. Safety and efficacy of intense antithrombotic treatment and percutaneous coronary intervention deferral in patients with large intracoronary thrombus. Am. J. Cardiol. 2013, 111, 1745–1750. [Google Scholar] [CrossRef]
- Nakagawa, Y.; Nobuyoshi, M.; Yamaguchi, T.; Meguro, T.; Yokoi, H.; Kimura, T.; Hosoda, S.; Kanmatsuse, K.; Matsumori, A.; Sasayama, S. Efficacy of abciximab for patients undergoing balloon angioplasty: Data from Japanese evaluation of c7E3 Fab for elective and primary PCI organization in randomized trial (JEPPORT). Circ. J. 2009, 73, 145–151. [Google Scholar] [CrossRef] [Green Version]






| CDT Group (n = 41) | Non-CDT Group (n = 222) | p Value | |
|---|---|---|---|
| Age (years) | 59.4 ± 12.8 | 66.9 ± 13.0 | <0.01 |
| Male (%) | 92.7 | 73.0 | <0.01 |
| BMI (kg/m2) | 25.1 ± 4.8 | 24.2 ± 3.8 | 0.20 |
| Systolic BP (mmHg) | 118.5 ± 32.9 | 120.3 ± 31.2 | 0.77 |
| Diastolic BP (mmHg) | 68.6 ± 20.4 | 68.9 ± 19.7 | 0.94 |
| HR (beats/min) | 76.1 ± 23.4 | 77.4 ± 20.5 | 0.77 |
| EF (%) | 57.6 ± 7.6 | 49.4 ± 12.6 | 0.06 |
| Creatine kinase (CK) | |||
| Max CK (IU/L) | 3467 ± 2999 | 3314 ± 2649 | 0.74 |
| Max CKMb (IU/L) | 294 ± 308 | 311 ± 3250.72 | |
| Cardiovascular history | |||
| MI (%) | 17.1 | 13.2 | 0.55 |
| PCI (%) | 8.6 | 14.7 | 0.42 |
| CABG surgery (%) | 2.9 | 1.5 | 0.50 |
| Heart failure (%) | 2.9 | 1.5 | 0.50 |
| Cerebral infarction (%) | 11.4 | 10.3 | 0.77 |
| Hemodialysis (%) | 0.0 | 1.5 | 1.00 |
| PAD (%) | 2.9 | 1.5 | 0.50 |
| Coronary risk factor | |||
| Hypertension (%) | 58.5 | 74.8 | 0.03 |
| Dyslipidemia (%) | 53.7 | 56.8 | 0.71 |
| Diabetes mellitus (%) | 24.4 | 31.1 | 0.39 |
| Smoking (%) | 63.4 | 62.2 | 0.88 |
| Hyperuricemia (%) | 19.8 | 19.5 | 0.46 |
| Killip classification | |||
| Class 1 (%) | 70.7 | 74.3 | 0.85 |
| Class 2 (%) | 14.6 | 10.8 | |
| Class 3 (%) | 4.9 | 6.8 | |
| Class 4 (%) | 9.8 | 8.1 | |
| Medication before primary PCI | |||
| Aspirin (%) | 100 | 97.3 | 0.59 |
| Thienopyridine (%) | 97.6 | 97.3 | 1.00 |
| Ticlopidine (%) | 36.6 | 14.4 | <0.01 |
| Clopidogrel (%) | 48.8 | 59.5 | 0.27 |
| Prasugrel (%) | 12.2 | 23.4 | 0.15 |
| Unfractionated heparin | 97.6 | 100 | 0.16 |
| CDT Group (n = 41) | Non-CDT Group (n = 222) | p Value | |
|---|---|---|---|
| Culprit lesion | |||
| RCA (%) | 68.3 | 57.2 | 0.47 |
| LAD (%) | 24.4 | 35.1 | |
| LCX (%) | 7.3 | 6.3 | |
| LMT (%) | 0.0 | 1.3 | |
| PCI procedure | |||
| Onset-to-PCI time (min) | 235 (IQR 138–698) | 260 (IQR 137–575) | 0.90 |
| Devices | |||
| Aspiration thrombectomy (%) | 90.2 | 93.2 | 0.50 |
| Balloon dilatation (%) | 80.5 | 73.9 | 0.48 |
| Distal protection (%) | 19.5 | 21.6 | 0.76 |
| Stent (%) | 58.5 | 96.8 | <0.01 |
| Vasodilator i.c. (%)* | 24.4 | 15.8 | 0.18 |
| IABP (%) | 41.5 | 21.2 | <0.01 |
| Contrast medium | |||
| Dose (mL) | 219.0 ± 56.9 | 182.1 ± 64.0 | 0.02 |
| Radiation time (min) | 45.0 ± 26.4 | 35.3 ± 21.8 | 0.02 |
| TIMI flow grade before PCI | |||
| 0 (%) | 92.7 | 89.6 | 0.68 |
| 1 (%) | 4.9 | 5.4 | |
| 2 (%) | 0.0 | 3.6 | |
| 3 (%) | 2.4 | 1.4 | |
| Final TIMI flow grade | |||
| 0 (%) | 9.7 | 0.0 | <0.01 |
| 1 (%) | 7.3 | 1.8 | |
| 2 (%) | 31.7 | 1.3 | |
| 3 (%) | 51.2 | 96.9 | |
| Final myocardial blush grade | |||
| 0 (%) | 19.5 | 10.4 | <0.01 |
| 1 (%) | 17.1 | 8.6 | |
| 2 (%) | 36.6 | 26.1 | |
| 3 (%) | 26.8 | 55.0 | |
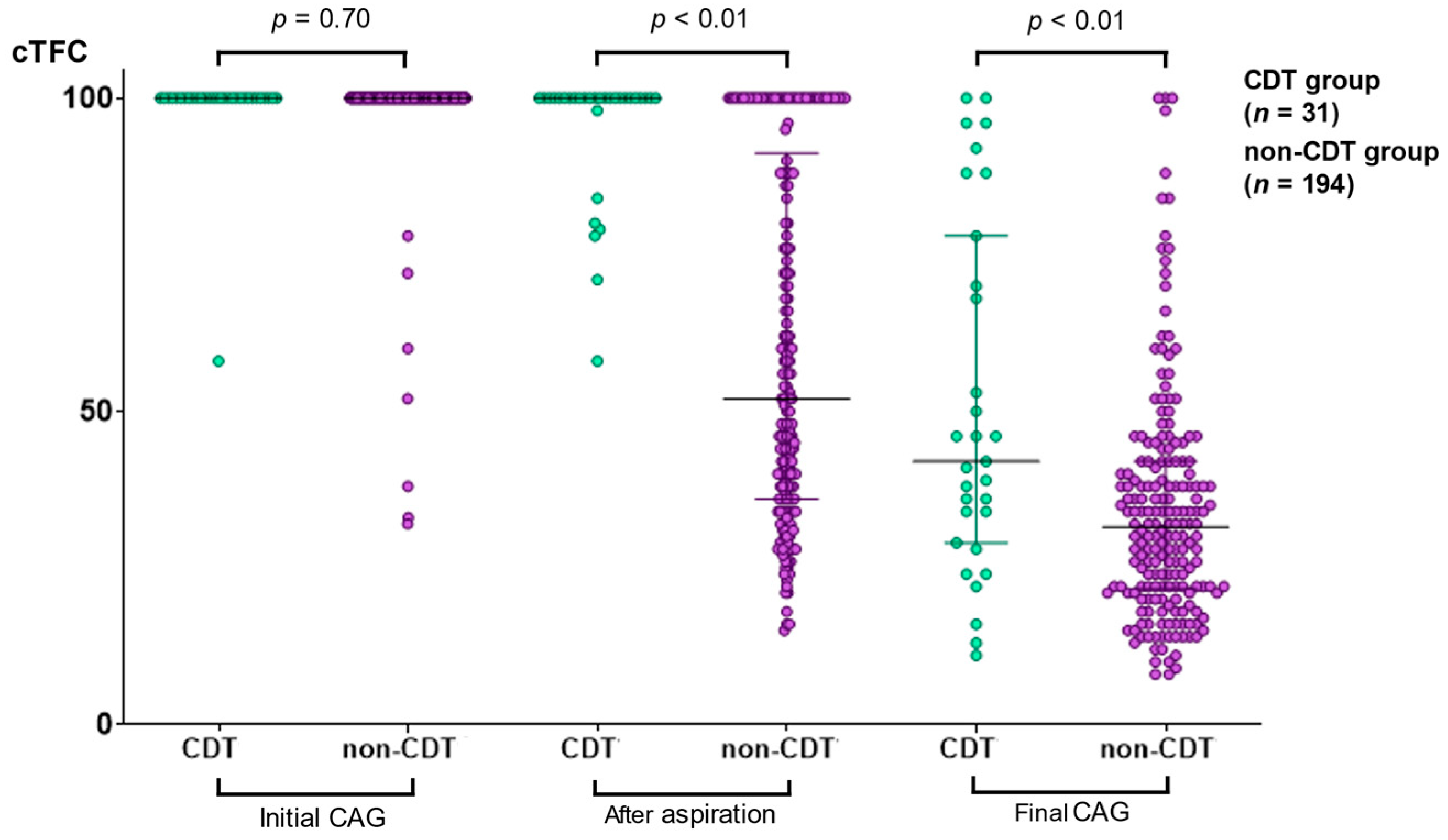
| cTFC before PCI | 96.7 ± 15.0 | 97.5 ± 11.7 | 0.74 |
| cTFC after PCI | 53.7 ± 29.4 | 33.4 ± 18.2 | <0.01 |
| Outcomes | |||
| In-hospital mortality (%) | 7.3 | 2.3 | 0.11 |
| Long-term mortality (%) | 12.6 | 17.5 | 0.84 |
| Bleeding complications | |||
| TIMI major bleeding (%) | 4.9 | 0.9 | 0.11 |
| TIMI minor bleeding (%) | 9.8 | 7.2 | 0.53 |
| Catheter | n |
|---|---|
| Guiding catheter | 24 |
| Lumine infusion catheter®, Gadelius Medical K.K., Tokyo, Japan | 11 |
| Thrombuster II or III®, Kaneka Medix Co., Tokyo, Japan | 5 |
| Rebirth®, Nipro Co., Osaka, Japan | 2 |
| Eliminate®, Terumo Co., Tokyo, Japan | 1 |
| Pronto V3®, Teleflex, Wayne, PA, USA | 1 |
| ST01®, Terumo Co., Tokyo, Japan | 1 |
| CDT Group (n = 37) | Non-CDT Group (n = 37) | p Value | |
|---|---|---|---|
| Age (years) | 61.0 ± 12.2 | 63.2 ± 12.0 | 0.45 |
| Male (%) | 94.6 | 91.9 | 1.00 |
| BMI (kg/m2) | 24.6 ± 4.8 | 24.4 ± 3.7 | 0.83 |
| Systolic BP (mmHg) | 124.6 ± 23.7 | 127.1 ± 28.0 | 0.68 |
| Diastolic BP (mmHg) | 73.4 ± 15.4 | 72.4 ± 18.6 | 0.81 |
| HR (beats/min) | 77.8 ± 19.4 | 81.7 ± 19.6 | 0.40 |
| EF (%) | 51.9 ± 12.2 | 49.9 ± 13.0 | 0.52 |
| Creatine kinase (CK) | |||
| Max CK (IU/L) | 3271 ± 2840 | 3307 ± 2259 | 0.95 |
| Max CKMb (IU/L) | 295 ± 217 | 285 ± 181 | 0.82 |
| Cardiovascular history | |||
| MI (%) | 13.5 | 13.5 | 1.00 |
| PCI (%) | 2.7 | 18.9 | 0.06 |
| CABG surgery (%) | 5.4 | 0.0 | 0.49 |
| Heart failure (%) | 2.7 | 5.4 | 1.00 |
| Cerebral infarction (%) | 10.8 | 10.8 | 1.00 |
| Hemodialysis (%) | 0.0 | 0.0 | |
| PAD (%) | 2.7 | 0.0 | 1.00 |
| Coronary risk factor | |||
| Hypertension (%) | 64.9 | 67.6 | 1.00 |
| Dyslipidemia (%) | 54.1 | 45.9 | 0.64 |
| Diabetes mellitus (%) | 27.0 | 35.1 | 0.62 |
| Smoking (%) | 70.3 | 64.9 | 0.80 |
| Killip classification | |||
| Class 1 (%) | 73.0 | 70.3 | 0.49 |
| Class 2 (%) | 13.5 | 5.4 | |
| Class 3 (%) | 5.4 | 18.9 | |
| Class 4 (%) | 8.1 | 5.4 | |
| Final TIMI flow grade | |||
| 0 (%) | 10.8 | 0.0 | <0.01 |
| 1 (%) | 8.1 | 5.4 | |
| 2 (%) | 27.0 | 13.5 | |
| 3 (%) | 54.1 | 81.1 | |
| Final Myocardial blush grade | |||
| 0 (%) | 18.9 | 24.3 | 0.08 |
| 1 (%) | 13.5 | 8.1 | |
| 2 (%) | 37.8 | 16.2 | |
| 3 (%) | 29.7 | 51.4 | |
| cTFC before PCI | 96.3 ± 15.8 | 96.5 ± 12.7 | 0.96 |
| cTFC after PCI | 53.4 ± 30.6 | 37.3 ± 21.2 | 0.01 |
| Outcomes | |||
| In-hospital mortality (%) | 8.1 | 5.4 | 1.00 |
| Bleeding complications | |||
| TIMI major bleeding (%) | 5.4 | 5.4 | 1.00 |
| TIMI minor bleeding (%) | 10.8 | 8.1 | 1.00 |
| Case | Age (y.o) | Sex | IRL | Prior MI | Killip | Lesion Characteristics | The Reason of t-PA Administration | Other Therapeutic Strategies | Initial TIMI Grade | Death |
|---|---|---|---|---|---|---|---|---|---|---|
| 1 | 71 | M | LAD (#7) | - | 3 | Embolism | Unsuccessful thrombectomy | Thrombectomy IABP | 1 | - |
| 2 | 70 | M | RCA (4AV) | - | 1 | Embolism | Peripheral lesion unsuitable for PCI | - | 0 | - |
| 3 | 67 | M | LCX (#14) | - | 1 | Plaque rupture | Acute stent thrombosis | Thrombectomy stenting | 0 | - |
| 4 | 58 | M | RCA (4AV) | + | 2 | Plaque rupture | Guide-wire induced coronary dissection | Thrombectomy | 1 | - |
| 5 | 70 | M | RCA (#3) | - | 3 | Plaque rupture | Devices were undelivered. (severe tortuous) | IABP | 0 | + (VSR) |
| 6 | 59 | M | RCA (#2) | - | 1 | Plaque rupture | Unsuccessful thrombectomy | Thrombectomy IABP stenting Nitroprusside i.c. | 0 | - |
Publisher’s Note: MDPI stays neutral with regard to jurisdictional claims in published maps and institutional affiliations. |
© 2022 by the authors. Licensee MDPI, Basel, Switzerland. This article is an open access article distributed under the terms and conditions of the Creative Commons Attribution (CC BY) license (https://creativecommons.org/licenses/by/4.0/).
Share and Cite
Noma, S.; Miyachi, H.; Fukuizumi, I.; Matsuda, J.; Sangen, H.; Kubota, Y.; Imori, Y.; Saiki, Y.; Hosokawa, Y.; Tara, S.; et al. Adjunctive Catheter-Directed Thrombolysis during Primary PCI for ST-Segment Elevation Myocardial Infarction with High Thrombus Burden. J. Clin. Med. 2022, 11, 262. https://doi.org/10.3390/jcm11010262
Noma S, Miyachi H, Fukuizumi I, Matsuda J, Sangen H, Kubota Y, Imori Y, Saiki Y, Hosokawa Y, Tara S, et al. Adjunctive Catheter-Directed Thrombolysis during Primary PCI for ST-Segment Elevation Myocardial Infarction with High Thrombus Burden. Journal of Clinical Medicine. 2022; 11(1):262. https://doi.org/10.3390/jcm11010262
Chicago/Turabian StyleNoma, Satsuki, Hideki Miyachi, Isamu Fukuizumi, Junya Matsuda, Hideto Sangen, Yoshiaki Kubota, Yoichi Imori, Yoshiyuki Saiki, Yusuke Hosokawa, Shuhei Tara, and et al. 2022. "Adjunctive Catheter-Directed Thrombolysis during Primary PCI for ST-Segment Elevation Myocardial Infarction with High Thrombus Burden" Journal of Clinical Medicine 11, no. 1: 262. https://doi.org/10.3390/jcm11010262
APA StyleNoma, S., Miyachi, H., Fukuizumi, I., Matsuda, J., Sangen, H., Kubota, Y., Imori, Y., Saiki, Y., Hosokawa, Y., Tara, S., Tokita, Y., Akutsu, K., Shimizu, W., Yamamoto, T., & Takano, H. (2022). Adjunctive Catheter-Directed Thrombolysis during Primary PCI for ST-Segment Elevation Myocardial Infarction with High Thrombus Burden. Journal of Clinical Medicine, 11(1), 262. https://doi.org/10.3390/jcm11010262

