Multiple Primary Malignancies in Patients with Gynecologic Cancer
Abstract
:1. Introduction
2. Materials and Methods
3. Results
3.1. Site Distribution of Multiple Primary Malignant Tumors
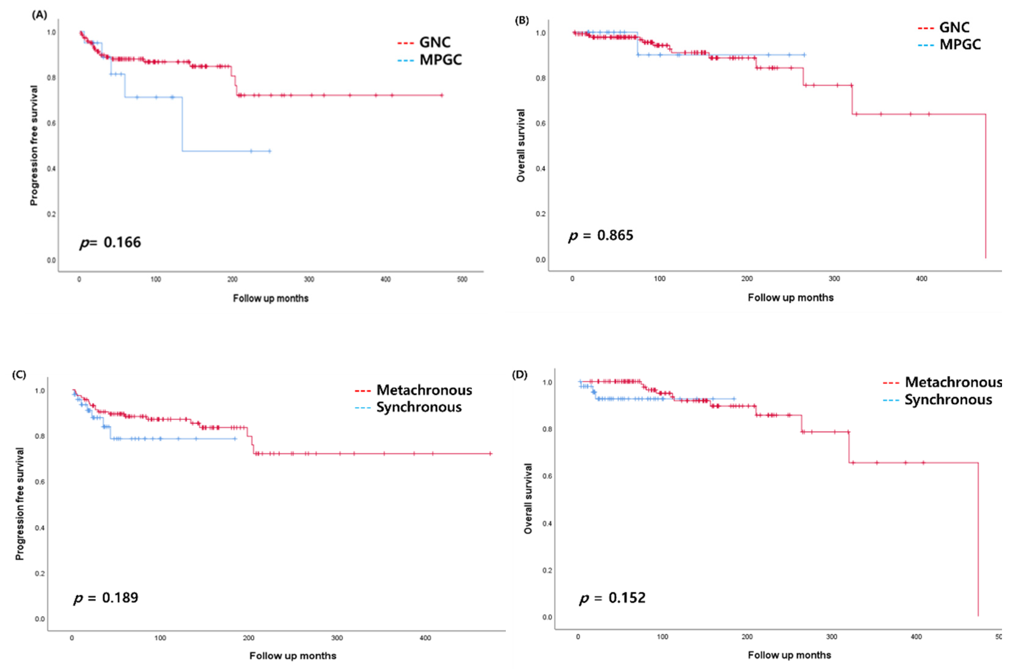
3.2. Gynecologic Cancer Coexisting with Non-Gynecologic Cancer (GNC) and Multiple Primary Gynecologic Cancers (MPGC)
3.3. Synchronous and Metachronous Malignancies
3.4. Multiple Primary Malignancies in Gynecologic Patients with Genetic Testing
4. Discussion
Author Contributions
Funding
Institutional Review Board Statement
Informed Consent Statement
Data Availability Statement
Conflicts of Interest
References
- Warren, S. Multiple primary malignant tumors. A survey of the literature and a statistical study. Am. J. Cancer 1932, 16, 1358–1414. [Google Scholar]
- Babacan, N.A.; Aksoy, S.; Cetin, B.; Ozdemir, N.Y.; Benekli, M.; Uyeturk, U.; Ali Kaplan, M.; Kos, T.; Karaca, H.; Oksuzoglu, B.; et al. Multiple primary malignant neoplasms: Multi-center results from Turkey. J. BUON 2012, 17, 770–775. [Google Scholar] [PubMed]
- Liu, F.S.; Qin, D.X.; Wang, Q.L. A clinico-pathological analysis of 172 patients with multiple primary malignant tumors (MPMT). Zhonghua Zhong Liu Za Zhi 1979, 1, 113–119. [Google Scholar] [PubMed]
- Macdonald, E.J. Occurrence of multiple primary cancers in a population of 200. Acta Unio Int. Contra Cancrum 1960, 16, 1702–1710. [Google Scholar] [PubMed]
- Frödin, J.E.; Ericsson, J.; Barlow, L. Multiple primary malignant tumors in a national cancer registry—Reliability of reporting. Acta Oncol. 1997, 3, 465–469. [Google Scholar] [CrossRef] [PubMed]
- Takeda, T.; Sagae, S.; Koizumi, M.; Terasawa, K.; Ishioka, S.; Takashima, S.; Kudo, R. Multiple primary malignancies in patients with gynecologic cancer. Int. J. Gynecol. Cancer 1995, 5, 34–39. [Google Scholar] [CrossRef] [PubMed]
- Liu, Z.; Liu, C.; Guo, W.; Li, S.; Bai, O. Clinical analysis of 152 cases of multiple primary malignant tumors in 15,398 patients with malignant tumors. PLoS ONE 2015, 10, e0125754. [Google Scholar] [CrossRef]
- Ewertz, M.; Storm, H.H. Multiple primary cancers of the breast, endometrium and ovary. Eur. J. Cancer Clin. Oncol. 1989, 25, 1927–1932. [Google Scholar] [CrossRef]
- Reimer, R.R.; Hoover, R.; Fraumeni, J.F.; Young, R.C. Second primary neoplasm following ovarian cancer. J. Natl. Cancer Inst. 1978, 61, 1195–1197. [Google Scholar] [CrossRef]
- Shah, S.; Evans, D.G.; Blair, V.; Burnell, L.D.; Birch, J.M. Assessment of relative risk of second primary tumors after ovarian cancer and of the usefulness of double primary cases as a source of material for genetic studies with a cancer registry. Cancer 1993, 72, 819–827. [Google Scholar] [CrossRef]
- Brenner, H.; Siegle, S.; Stegmaier, C.; Ziegler, H. Second primary malignancies following gynecologic tumours in Saarland, Germany, 1968. J. Cancer Res. Clin. Oncol. 1993, 119, 179–183. [Google Scholar] [CrossRef]
- Coleman, M.P.; Bell, C.M.; Fraser, P. Second primary malignancy after Hodgkin’s disease, ovarian cancer and cancer of the testis: A population-based cohort study. Br. J. Cancer 1987, 56, 349–355. [Google Scholar] [CrossRef] [Green Version]
- Kaldor, J.M.; Day, N.E.; Band, P.; Choi, N.W.; Clarke, E.A.; Coleman, M.P.; Hakama, M.; Koch, M.; Langmark, F.; Neal, F.E.; et al. Second malignancies following testicular cancer, ovarian cancer and Hodgkin’s disease: An international collaborative study among cancer registries. Int. J. Cancer 1987, 39, 571–585. [Google Scholar] [CrossRef]
- Tong, S.Y.; Lee, Y.S.; Park, J.S.; Bae, S.N.; Lee, J.M.; Namkoong, S.E. Clinical analysis of synchronous primary neoplasms of the female reproductive tract. Eur. J. Obstet. Gynecol. Reprod. Biol. 2008, 136, 78–82. [Google Scholar] [CrossRef] [PubMed]
- Eser, S.; Gulhan, I.; Ozdemir, R.; Dicle, N.; Hanhan, M.; Baloglu, A.; Ozsaran, A.; Saygili, U. Synchronous primary cancers of the female reproductive tract in Turkish women. Asian Pac. J. Cancer Prev. 2011, 12, 857–859. [Google Scholar] [PubMed]
- Suzuki, T.; Takahashi, H.; Yao, K.; Inagi, K.; Nakayama, M.; Makoshi, T.; Nagai, H.; Okamoto, M. Multiple primary malignancies in the head and neck: A clinical review of 121 patients. Acta Otolaryngol. Suppl. 2002, 547, 88–92. [Google Scholar] [CrossRef]
- Morris, L.G.; Sikora, A.G.; Patel, S.G.; Hayes, R.B.; Ganly, I. Second primary cancers after an index head and neck cancer: Subsite-specific trends in the era of human papillomavirus-associated oropharyngeal cancer. J. Clin. Oncol. 2011, 29, 739–746. [Google Scholar] [CrossRef] [PubMed] [Green Version]
- Cheng, H.Y.; Chu, C.H.; Chang, W.H.; Hsu, T.C.; Lin, S.C.; Liu, C.C.; Yang, A.M.; Shih, S.C. Clinical analysis of multiple primary malignancies in the digestive system: A hospital based study. World J. Gastroenterol. 2005, 11, 4215–4219. [Google Scholar] [CrossRef]
- Vogt, A.; Schmid, S.; Heinimann, K.; Frick, H.; Herrmann, C.; Cerny, T.; Omlin, A. Multiple primary tumours: Challenges and approaches, a review. ESMO Open 2017, 2, e000172. [Google Scholar] [CrossRef] [PubMed] [Green Version]
- Jareemit, N.; Ruengkhachorn, I.; Therasakvichaya, S.; Warnnissorn, M.; Jaishuen, A.; Likhitsup, A. Multiple Primary Malignancies in Gynecologic Cancer Patients in Thai Tertiary Care Center: A 10-Year Retrospective Study. Siriraj Med. J. 2018, 70, 310–319. [Google Scholar] [CrossRef]
- Martin-Dunlap, T.M.; Wachtel, M.S.; Margenthaler, J.A. Outcomes for patients who are diagnosed with breast and endometrial cancer. Oncol. Lett. 2013, 6, 1103–1107. [Google Scholar] [CrossRef] [Green Version]
- Liou, W.S.; Hamilton, C.A.; Cheung, M.K.; Osann, K.; Longacre, T.A.; Teng, N.N.; Husain, A.; Dirbas, F.M.; Chan, J.K. Outcomes of women with metachronous breast and ovarian carcinomas. Gynecol. Oncol. 2006, 103, 190–194. [Google Scholar] [CrossRef]
- Bergman, L.; Beelen, M.L.; Gallee, M.P.; Hollema, H.; Benraadt, J.; van Leeuwen, F.E. Risk and prognosis of endometrial cancer after tamoxifen for breast cancer; Comprehensive Cancer Centres’ ALERT Group. Assessment of Liver and Endometrial cancer Risk following Tamoxifen. Lancet 2000, 356, 881–887. [Google Scholar] [CrossRef]
- Tangjitgamol, S.; Khunnarong, J.; Srijaipracharoen, S. Synchronous and metachronous malignancy in endometrial cancer patients treated in a tertiary care center of Thailand. J. Gynecol. Oncol. 2015, 26, 293–302. [Google Scholar] [CrossRef] [Green Version]
- Grzankowski, K.S.; Szender, J.B.; Spring-Robinson, C.L.; Lele, S.B.; Odunsi, K.O.; Frederick, P.J. Evaluation of Metachronous Breast and Endometrial Cancers: Preroutine and Postroutine Adjuvant Tamoxifen Use. Int. J. Gynecol. Cancer 2016, 26, 1440–1447. [Google Scholar] [CrossRef] [Green Version]
- Vitale, S.G.; La Rosa, V.L.; Rapisarda, A.M.C.; Laganà, A.S. The Importance of Fertility Preservation Counseling in Patients with Gynecologic Cancer. J. Reprod. Infertil. 2017, 18, 261–263. [Google Scholar]
- Vitale, S.G.; La Rosa, V.L.; Rapisarda, A.M.C.; Lagana, A.S. Psychology of infertility and assisted reproductive treatment: The Italian situation. J. Psychosom. Obst. Gyn. 2017, 38, 1–3. [Google Scholar] [CrossRef] [PubMed]
- Angarita, A.M.; Johnson, C.A.; Fader, A.N.; Christianson, M.S. Fertility Preservation: A Key Survivorship Issue for Young Women with Cancer. Front. Oncol. 2016, 6. [Google Scholar] [CrossRef] [PubMed] [Green Version]
- Oktay, K.; Harvey, B.E.; Partridge, A.H.; Quinn, G.P.; Reinecke, J.; Taylor, H.S.; Wallace, W.H.; Wang, E.T.; Loren, A.W. Fertility Preservation in Patients with Cancer: ASCO Clinical Practice Guideline Update. J. Clin. Oncol. 2018, 19, 1994–2001. [Google Scholar] [CrossRef]
- Chiofalo, B.; Palmara, V.; Laganà, A.S.; Triolo, O.; Vitale, S.G.; Conway, F.; Santoro, G. Fertility Sparing Strategies in Patients Affected by Placental Site Trophoblastic Tumor. Curr. Treat. Options. Oncol. 2017, 18, 58. [Google Scholar] [CrossRef] [PubMed]
- Gruber, S.B.; Thompson, W.D. A population-based study of endometrial cancer and familial risk in younger women. Cancer and hormone study group. Cancer Epidemiol. Biomark. Prev. 1996, 5, 411–417. [Google Scholar] [PubMed]
- Meyer, L.A.; Broaddus, R.R.; Lu, K.H. Endometrial cancer and Lynch syndrome: Clinical and pathologic considerations. Cancer Control 2009, 16, 14–22. [Google Scholar] [CrossRef] [PubMed] [Green Version]
- Lancaster, J.M.; Powell, C.B.; Chen, L.M.; Richardson, D.L. Society of Gynecologic Oncology statement on risk assessment for inherited gynecologic cancer predispositions. Gynecol. Oncol. 2015, 136, 3–7. [Google Scholar] [CrossRef] [PubMed]



| Variables | GNC (N = 145) | MPGC (N = 20) | p-Value |
|---|---|---|---|
| Age at diagnosis of first cancer, yr | 52.3 ± 12.4 | 45.7 ± 9.3 | 0.377 |
| Interval between 1st and 2nd cancer, mo | 41.5 (0–420) | 5.5 (0–241) | 0.992 |
| Synchronous cancer, n (%) | 38 (26.2%) | 10 (50.0%) | 0.037 |
| Stage of OC, n (%) | 0.031 | ||
| I-II | 22 (52.4) | 14 (87.5) | |
| III-IV | 16 (38.1) | 1 (6.3) | |
| unknown | 4 (9.5) | 1 (6.3) | |
| Stage of EC, n (%) | 0.604 | ||
| I-II | 35 (72.9) | 12 (85.7) | |
| III-IV | 12 (25.0) | 2 (14.3) | |
| unknown | 1 (2.1) | 0 | |
| Stage of CC, n (%) | |||
| I-II | 39 (72.2) | 5 (62.5) | 0.449 |
| III-IV | 6 (11.1) | 0 | |
| unknown | 9 (16.7) | 3 (37.5) | |
| Died of disease, n (%) | 13 (9.0) | 1 (5.0) | 1.000 |
| Recurrence of disease, n (%) | 21 (14.5) | 5 (25.0) | 0.321 |
| Variables | Synchronous Malignancies (N = 48) | Metachronous Malignancies (N = 117) | p-Value |
|---|---|---|---|
| Age at diagnosis of first cancer, yr | 55.4 ± 12.9 | 50.2 ± 11.7 | 0.050 |
| Stage of OC, n (%) | 0.817 | ||
| I-II | 11 (64.7) | 17 (47.2) | |
| III-IV | 5 (29.4) | 12 (33.3) | |
| unknown | 1 (5.9) | 3 (8.3) | |
| Stage of EC, n (%) | 0.392 | ||
| I-II | 12 (63.2) | 28 (73.7) | |
| III-IV | 6 (31.6) | 10 (26.3) | |
| unknown | 1 (5.3) | 0 | |
| Stage of CC, n (%) | 0.015 | ||
| I-II | 7 (63.6) | 34 (72.3) | |
| III-IV | 4 (36.4) | 3 (6.4) | |
| unknown | 0 | 10 (21.3) | |
| Genetic Test Result | FHC | First Caner, Age at Diagnosis | Recurrence PFS, mo | Status, Time to Survival, mo | Second Cancer, Age at Diagnosis, mo | Recurrence, PFS, mo | Status, Time to Survival, mo |
|---|---|---|---|---|---|---|---|
| HNPCC | No | Endometrium 37 | No | Remission 10 | Colorectal 37 | No | Remission 9 |
| HNPCC | No | Endometrium 64 | No | Remission 82 | Colorectal 64 | No | Remission 81 |
| HNPCC | Yes | Colorectal 35 | Yes 45 | Remission 52 | Endometrium 48 | Lost to FU | Lost to FU 0 |
| HNPCC | Yes | Colorectal 31 | No | Lost to FU 164 | Endometrium 44 | Lost to FU | Lost to FU 2 |
| HNPCC | No | Colorectal 60 | No | Remission 43 | Cervix 61 | No | Remission 28 |
| HNPCC | No | Cervix 50 | No | Remission 23 | Colorectal 50 | No | Remission 22 |
| HNPCC | No | Colorectal 41 | Yes 60 | Remission 325 | Ovary 48 | No | Lost to FU 241 |
Publisher’s Note: MDPI stays neutral with regard to jurisdictional claims in published maps and institutional affiliations. |
© 2021 by the authors. Licensee MDPI, Basel, Switzerland. This article is an open access article distributed under the terms and conditions of the Creative Commons Attribution (CC BY) license (https://creativecommons.org/licenses/by/4.0/).
Share and Cite
Yang, E.-J.; Lee, J.-H.; Lee, A.-J.; Kim, N.-R.; Ouh, Y.-T.; Kim, M.-K.; Shim, S.-H.; Lee, S.-J.; Kim, T.-J.; So, K.-A. Multiple Primary Malignancies in Patients with Gynecologic Cancer. J. Clin. Med. 2022, 11, 115. https://doi.org/10.3390/jcm11010115
Yang E-J, Lee J-H, Lee A-J, Kim N-R, Ouh Y-T, Kim M-K, Shim S-H, Lee S-J, Kim T-J, So K-A. Multiple Primary Malignancies in Patients with Gynecologic Cancer. Journal of Clinical Medicine. 2022; 11(1):115. https://doi.org/10.3390/jcm11010115
Chicago/Turabian StyleYang, Eun-Jung, Ji-Hyeon Lee, A-Jin Lee, Nae-Ry Kim, Yong-Taek Ouh, Mi-Kyung Kim, Seung-Hyuk Shim, Sun-Joo Lee, Tae-Jin Kim, and Kyeong-A So. 2022. "Multiple Primary Malignancies in Patients with Gynecologic Cancer" Journal of Clinical Medicine 11, no. 1: 115. https://doi.org/10.3390/jcm11010115
APA StyleYang, E.-J., Lee, J.-H., Lee, A.-J., Kim, N.-R., Ouh, Y.-T., Kim, M.-K., Shim, S.-H., Lee, S.-J., Kim, T.-J., & So, K.-A. (2022). Multiple Primary Malignancies in Patients with Gynecologic Cancer. Journal of Clinical Medicine, 11(1), 115. https://doi.org/10.3390/jcm11010115

