“Small Thyroid Gland” in Reproductive Women without Autoimmune Thyroid Disease—Ultrasonographic Evaluation as a Useful Screening Tool for Hypothyroidism
Abstract
1. Introduction
2. Materials and Methods
2.1. Patients
2.2. Laboratory Measurements
2.3. Ultrasound of the Thyroid
2.4. Study Design
- Analysis of the relationship between the thyroid volume and the thyroid function [TSH, fT4, ioduria, ioduria/creatinine (I/CR)].
- Determination of the lower reference limit for the thyroid volume, for estimating if the level of TSH is >2.5 µIU/mL.
2.5. Statistical Analysis
3. Results
3.1. Relationship between the Thyroid Volume and the Thyroid Function
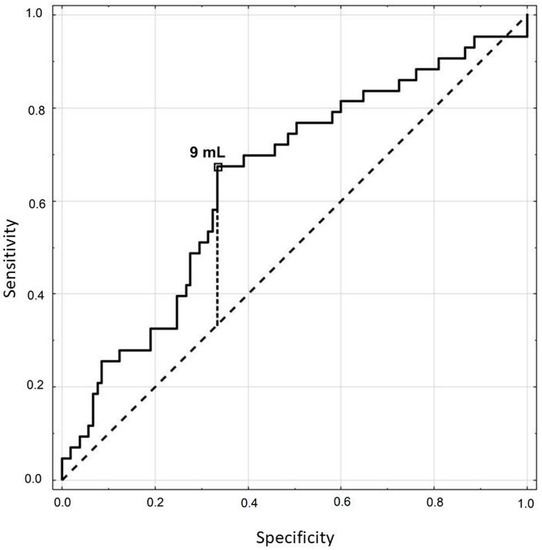
3.2. Determination of the Lower Limit of the Thyroid Volume for TSH > 2.5 µIU/mL
4. Discussion
5. Conclusions
Author Contributions
Funding
Institutional Review Board Statement
Informed Consent Statement
Data Availability Statement
Acknowledgments
Conflicts of Interest
References
- Jansen, T.A.; Korevaar, T.I.M.; Mulder, T.A.; White, T.; Muetzel, R.L.; Peeters, R.P.; Tiemeier, H. Maternal thyroid function during pregnancy and child brain morphology: A time window-specific analysis of a prospective cohort. Lancet Diabetes Endocrinol. 2019. [Google Scholar] [CrossRef]
- Ajmani, S.N.; Aggarwal, D.; Bhatia, P.; Sharma, M.; Sarabhai, V.; Paul, M. Prevalence of overt and subclinical thyroid dysfunction among pregnant women and its effect on maternal and fetal outcome. J. Obstet. Gynaecol. India 2014, 64, 105–110. [Google Scholar] [CrossRef] [PubMed]
- Negro, R.; Schwartz, A.; Gismondi, R.; Tinelli, A.; Mangieri, T.; Stagnaro-Green, A. Increased pregnancy loss rate in thyroid antibody negative women with TSH levels between 2.5 and 5.0 in the first trimester of pregnancy. J. Clin. Endocrinol. Metab. 2010, 95, E44–E48. [Google Scholar] [CrossRef] [PubMed]
- Lazarus, J.; Brown, R.S.; Daumerie, C.; Hubalewska-Dydejczyk, A.; Negro, R.; Vaidya, B. 2014 European thyroid association guidelines for the management of subclinical hypothyroidism in pregnancy and in children. Eur. Thyroid. J. 2014, 3, 76–94. [Google Scholar] [CrossRef] [PubMed]
- Stagnaro-Green, A.; Abalovich, M.; Alexander, E.; Azizi, F.; Mestman, J.; Negro, R.; Nixon, A.; Pearce, E.N.; Soldin, O.P.; Sullivan, S.; et al. Guidelines of the American Thyroid Association for the diagnosis and management of thyroid disease during pregnancy and postpartum. Thyroid 2011, 21, 1081–1125. [Google Scholar] [CrossRef]
- De Groot, L.; Abalovich, M.; Alexander, E.K.; Amino, N.; Barbour, L.; Cobin, R.H.; Eastman, C.J.; Lazarus, J.H.; Luton, D.; Mandel, S.J.; et al. Management of thyroid dysfunction during pregnancy and postpartum: An Endocrine Society clinical practice guideline. J. Clin. Endocrinol. Metab. 2012, 97, 2543–2565. [Google Scholar] [CrossRef]
- Trimboli, P.; Rossi, F.; Thorel, F.; Condorelli, E.; Laurenti, O.; Ventura, C.; Nigri, G.; Romanelli, F.; Guarino, M.; Valabrega, S. One in five subjects with normal thyroid ultrasonography has altered thyroid tests. Endocr. J. 2012, 59, 137–143. [Google Scholar] [CrossRef] [PubMed]
- Suzuki, S.; Midorikawa, S.; Fukushima, T.; Shimura, H.; Ohira, T.; Ohtsuru, A.; Abe, M.; Shibata, Y.; Yamashita, S.; Suzuki, S.; et al. Systematic determination of thyroid volume by ultrasound examination from infancy to adolescence in Japan: The Fukushima Health Management Survey. Endocr. J. 2015, 62, 261–268. [Google Scholar] [CrossRef]
- Şahin, E.; Elboğa, U.; Kalender, E. Regional reference values of thyroid gland volume in Turkish Adults. Srp. Arh. Celok. Lek. 2015, 143, 141–145. [Google Scholar] [CrossRef]
- Barrère, X.; Valeix, P.; Preziosi, P.; Bensimon, M.; Pelletier, B.; Galan, P.; Hercberg, S. Determinants of thyroid volume in healthy French adults participating in the SU.VI.MAX cohort. Clin. Endocrinol. 2000, 52, 273–278. [Google Scholar] [CrossRef]
- Tarnoki, A.D.; Tarnoki, D.L.; Speer, G.; Littvay, L.; Bata, P.; Garami, Z.; Berczi, V.; Karlinger, K. Genetic and environmental influence on thyroid gland volume and thickness of thyroid isthmus: A twin study. Arch. Endocrinol. Metab. 2015. [Google Scholar] [CrossRef] [PubMed][Green Version]
- Asl, J.F.; Larijani, B.; Zakerkish, M.; Rahim, F.; Shirbandi, K.; Akbari, R. The possible global hazard of cell phone radiation on thyroid cells and hormones: A systematic review of evidences. Environ. Sci. Pollut. Res. Int. 2019, 26, 18017–18031. [Google Scholar] [CrossRef]
- Anil, C.; Kut, A.; Atesagaoglu, B.; Nar, A.; Bascil Tutuncu, N.; Gursoy, A. Metformin Decreases Thyroid Volume and Nodule Size in Subjects with Insulin Resistance: A Preliminary Study. Med. Princ. Pract. 2016, 25, 233–236. [Google Scholar] [CrossRef] [PubMed]
- Yousef, M.; Sulieman, A.; Ahmed, B.; Abdella, A.; Eltom, K. Local reference ranges of thyroid volume in sudanese normal subjects using ultrasound. J. Thyroid. Res. 2011, 2011, 935141. [Google Scholar] [CrossRef] [PubMed][Green Version]
- Aumont, G.; Tressol, J.C. Rapid method for the direct determination of inorganic iodine in plasma using ion-exchange chromatography and the Sandell and Kolthoff reaction. Analyst 1987, 112, 875–878. [Google Scholar] [CrossRef] [PubMed]
- Delanghe, J.R.; Speeckaert, M.M. Creatinine determination according to Jaffe-what does it stand for? NDT Plus 2011, 4, 83–86. [Google Scholar] [CrossRef] [PubMed]
- Trzebińska, A.; Dobruch-Sobczak, K.; Jakubowski, W.; Jędrzejowski, M. Standards of the Polish Ultrasound Society—Update. Ultrasound examination of thyroid gland and ultrasound-guided thyroid biopsy. J. Ultrason 2014, 14, 49–60. [Google Scholar] [CrossRef]
- Grant, E.G.; Tessler, F.N.; Hoang, J.K.; Langer, J.E.; Beland, M.D.; Berland, L.L.; Cronan, J.J.; Desser, T.S.; Frates, M.C.; Hamper, U.M.; et al. Thyroid Ultrasound Reporting Lexicon: White Paper of the ACR Thyroid Imaging, Reporting and Data System (TIRADS) Committee. J. Am. Coll. Radiol. 2015, 12, 1272–1279. [Google Scholar] [CrossRef]
- Hansen, P.S.; Brix, T.H.; Bennedbaek, F.N.; Bonnema, S.J.; Kyvik, K.O.; Hegedüs, L. Genetic and environmental causes of individual differences in thyroid size: A study of healthy Danish twins. J. Clin. Endocrinol. Metab. 2004, 89, 2071–2077. [Google Scholar] [CrossRef] [PubMed]
- Gómez, J.M.; Maravall, F.J.; Gómez, N.; Gumà, A.; Soler, J. Determinants of thyroid volume as measured by ultrasonography in healthy adults randomly selected. Clin. Endocrinol. 2000, 53, 629–634. [Google Scholar] [CrossRef]
- Langer, P.; Tajtáková, M.; Kocan, A.; Petrík, J.; Koska, J.; Ksinantová, L.; Rádiková, Z.; Ukropec, J.; Imrich, R.; Hucková, M.; et al. Thyroid ultrasound volume, structure and function after long-term high exposure of large population to polychlorinated biphenyls, pesticides and dioxin. Chemosphere 2007, 69, 118–127. [Google Scholar] [CrossRef]
- Wang, N.; Zhou, Y.; Fu, C.; Wang, H.; Huang, P.; Wang, B.; Su, M.; Jiang, F.; Fang, H.; Zhao, Q.; et al. Influence of Bisphenol A on Thyroid Volume and Structure Independent of Iodine in School Children. PLoS ONE 2015, 10, e0141248. [Google Scholar] [CrossRef] [PubMed]
- Wesche, M.F.; Wiersinga, W.M.; Smits, N.J. Lean body mass as a determinant of thyroid size. Clin. Endocrinol. 1998, 48, 701–706. [Google Scholar] [CrossRef] [PubMed]
- Boas, M.; Hegedüs, L.; Feldt-Rasmussen, U.; Skakkebaek, N.E.; Hilsted, L.; Main, K.M. Association of thyroid gland volume, serum insulin-like growth factor-I, and anthropometric variables in euthyroid prepubertal children. J. Clin. Endocrinol. Metab. 2009, 94, 4031–4035. [Google Scholar] [CrossRef]
- Hegedüs, L. Thyroid size determined by ultrasound. Influence of physiological factors and non-thyroidal disease. Dan. Med. Bull. 1990, 37, 249–263. [Google Scholar] [PubMed]
- Berghout, A.; Wiersinga, W.M.; Smits, N.J.; Touber, J.L. Determinants of thyroid volume as measured by ultrasonography in healthy adults in a non-iodine deficient area. Clin. Endocrinol. 1987, 26, 273–280. [Google Scholar] [CrossRef]
- Feldt-Rasmussen, U.; Hegedüs, L.; Perrild, H.; Rasmussen, N.; Hansen, J.M. Relationship between serum thyroglobulin, thyroid volume and serum TSH in healthy non-goitrous subjects and the relationship to seasonal variations in iodine intake. Thyroidology 1989, 1, 115–118. [Google Scholar]
- Gómez, J.M.; Maravall, F.J.; Gómez, N.; Gumà, A.; Casamitjana, R.; Soler, J. Pituitary-thyroid axis, thyroid volume and leptin in healthy adults. Horm. Metab. Res. 2002, 34, 67–71. [Google Scholar] [CrossRef]


| Characteristics | Mean ± SD or n (%) |
|---|---|
| Age (years) | 24 ± 3 |
| Thyroid volume (mL) | 10.2 ± 3.2 |
| Presence of thyroid focal lesions | 46 (30) |
| TSH (µIU/mL) (normal range: 0.27–4.2) | 2.1 ± 0.9 |
| TSH > 4.2 µIU/mL | 6 (4) |
| TSH > 2.5 µIU/mL | 44 (29) |
| fT4 (pmol/L) (normal range: 12–22) | 16.2 ± 2.2 |
| ioduria (µg/L) (normal range: 100–300) | 121.3 ± 108.5 |
| I/CR | 88.1 ± 111.4 |
| BMI (kg/m2) | 21.1 ± 2.8 |
| Smoking | |
| current | 16 (11) |
| former | 38 (25) |
| never | 97 (64) |
| R | p | |
|---|---|---|
| TSH (0.27–4.2 µIU/mL) | −0.28 | 0.0004 |
| fT4 (12–22 pmol/L) | 0.03 | 0.6971 |
| ioduria 100–200 (µg/L) | −0.07 | 0.4196 |
| I/CR | −0.08 | 0.3314 |
| Thyroid Volume in Q1 [Median (min–max)] | Thyroid Volume in Q4 [[Median (min–max)] | P | |
|---|---|---|---|
| TSH (0.27–4.2 µIU/mL) | 2.09 (0.91–4.56) | 1.73 (0.72–4.33) | 0.0132 |
| fT4 (12–22 pmol/L) | 15.7 (11.4–19.6) | 16.2 (11.1–20.7) | 0.3859 |
| ioduria 100–200 (µg/L) | 109 (30–304) | 91 (13–257) | 0.6297 |
| I/CR | 74 (29–389) | 66 (17–163) | 0.4679 |
Publisher’s Note: MDPI stays neutral with regard to jurisdictional claims in published maps and institutional affiliations. |
© 2021 by the authors. Licensee MDPI, Basel, Switzerland. This article is an open access article distributed under the terms and conditions of the Creative Commons Attribution (CC BY) license (https://creativecommons.org/licenses/by/4.0/).
Share and Cite
Milczarek-Banach, J.; Miśkiewicz, P. “Small Thyroid Gland” in Reproductive Women without Autoimmune Thyroid Disease—Ultrasonographic Evaluation as a Useful Screening Tool for Hypothyroidism. J. Clin. Med. 2021, 10, 1828. https://doi.org/10.3390/jcm10091828
Milczarek-Banach J, Miśkiewicz P. “Small Thyroid Gland” in Reproductive Women without Autoimmune Thyroid Disease—Ultrasonographic Evaluation as a Useful Screening Tool for Hypothyroidism. Journal of Clinical Medicine. 2021; 10(9):1828. https://doi.org/10.3390/jcm10091828
Chicago/Turabian StyleMilczarek-Banach, Justyna, and Piotr Miśkiewicz. 2021. "“Small Thyroid Gland” in Reproductive Women without Autoimmune Thyroid Disease—Ultrasonographic Evaluation as a Useful Screening Tool for Hypothyroidism" Journal of Clinical Medicine 10, no. 9: 1828. https://doi.org/10.3390/jcm10091828
APA StyleMilczarek-Banach, J., & Miśkiewicz, P. (2021). “Small Thyroid Gland” in Reproductive Women without Autoimmune Thyroid Disease—Ultrasonographic Evaluation as a Useful Screening Tool for Hypothyroidism. Journal of Clinical Medicine, 10(9), 1828. https://doi.org/10.3390/jcm10091828

