Does the Age Affect the Outcomes of Cardiac Resynchronization Therapy in Elderly Patients?
Abstract
1. Introduction
2. Methods
2.1. Study Population
2.2. CRT Implantation
2.3. Clinical Response and Long-Term Outcomes
2.4. Statistical Analysis
2.5. Patient and Public Involvement Statement
3. Results
3.1. Clinical Characteristics
3.2. Clinical and Echocardiographic Response of Elderly Recipients of CRT Devices
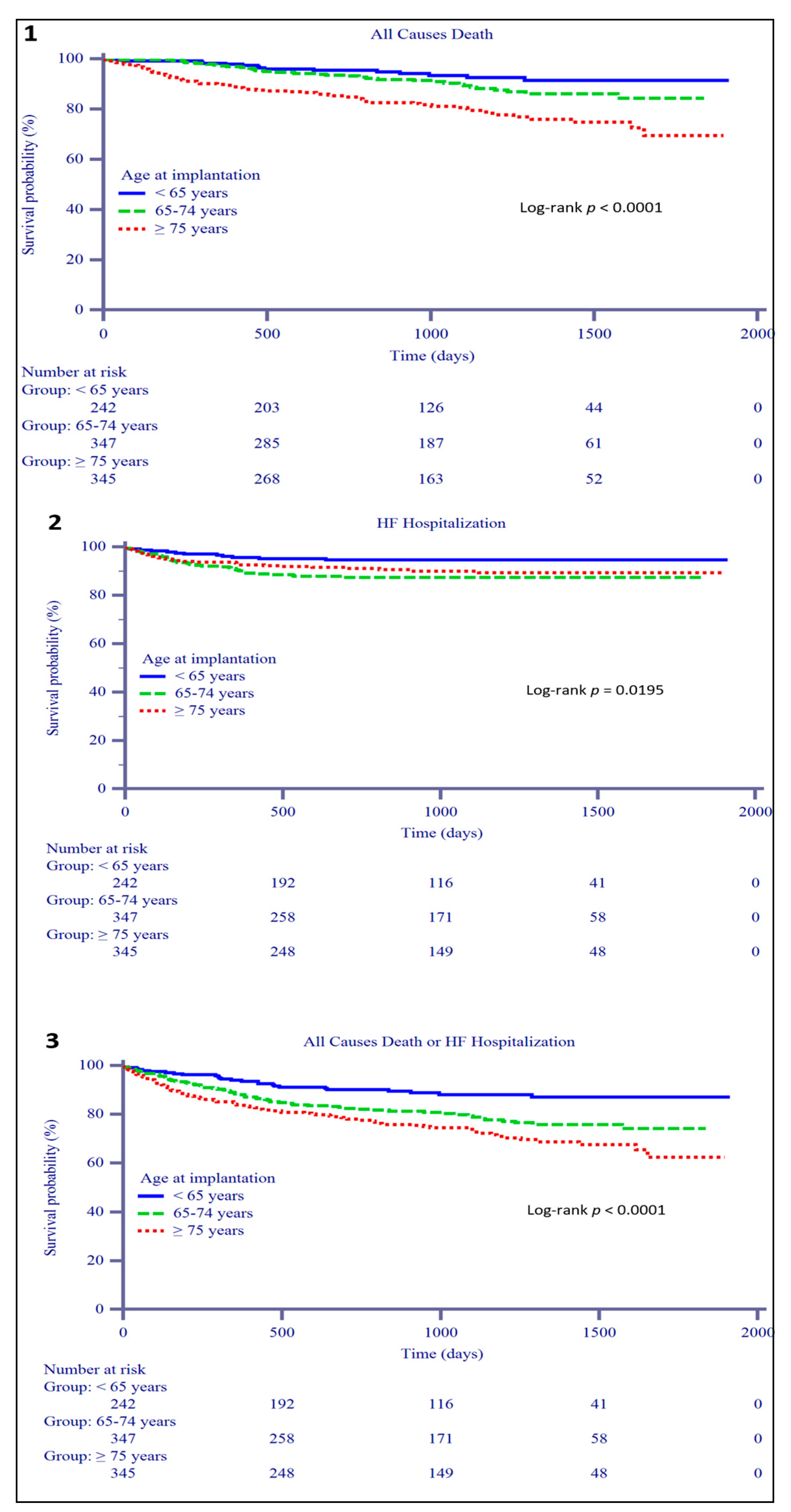
3.3. One-Year and Long-Term Outcomes
3.4. Predictors of Death and Association with CR and CCS at 1 Year in the Elderly Group (Age ≥ 75 Years)
4. Discussion
4.1. Main Findings
4.2. Elderly Patients and Medium—To Long-Term Clinical Outcomes after CRT Implantation
4.3. Clinical Perspectives
5. Limitations
6. Conclusions
Supplementary Materials
Author Contributions
Funding
Institutional Review Board Statement
Informed Consent Statement
Data Availability Statement
Acknowledgments
Conflicts of Interest
References
- Brignole, M.; Auricchio, A.; Baron-Esquivias, G.; Bordachar, P.; Boriani, G.; Breithardt, O.-A.; Cleland, J.G.F.; Deharo, J.-C.; Delgado, V.; Elliott, P.M.; et al. 2013 ESC Guidelines on cardiac pacing and cardiac resynchronization therapy: The Task Force on cardiac pacing and resynchronization therapy of the European Society of Cardiology (ESC). Developed in collaboration with the European Heart Rhythm Association (EHRA). EP Eur. 2013, 15, 1070–1118. [Google Scholar] [CrossRef]
- Dickstein, K.; Normand, C.; Auricchio, A.; Bogale, N.; Cleland, J.G.; Gitt, A.K.; Stellbrink, C.; Anker, S.D.; Filippatos, G.; Gasparini, M.; et al. CRT Survey II: A European Society of Cardiology survey of cardiac resynchronisation therapy in 11 088 patients—Who is doing what to whom and how? Eur. J. Heart Fail. 2018, 20, 1039–1051. [Google Scholar] [CrossRef] [PubMed]
- Bleeker, G.B.; Schalij, M.J.; Molhoek, S.G.; Boersma, E.; Steendijk, P.; Van Der Wall, E.E.; Bax, J.J. Comparison of effectiveness of cardiac resynchronization therapy in patients <70 versus > or = 70 years of age. Am. J. Cardiol. 2005, 96, 420–422. [Google Scholar] [CrossRef] [PubMed]
- Verbrugge, F.H.; Dupont, M.; De Vusser, P.; Rivero-Ayerza, M.; Van Herendael, H.; Vercammen, J.; Jacobs, L.; Verhaert, D.; Vandervoort, P.; Tang, W.W.; et al. Response to cardiac resynchronization therapy in elderly patients (≥70 years) and octogenarians. Eur. J. Heart Fail. 2013, 15, 203–210. [Google Scholar] [CrossRef] [PubMed]
- Delnoy, P.P.H.; Ottervanger, J.P.; Luttikhuis, H.O.; Elvan, A.; Misier, A.R.R.; Beukema, W.P.; Van Hemel, N.M. Clinical response of cardiac resynchronization therapy in the elderly. Am. Heart J. 2008, 155, 746–751. [Google Scholar] [CrossRef] [PubMed]
- Fumagalli, S.; Valsecchi, S.; Boriani, G.; Gasparini, M.; Landolina, M.; Lunati, M.; Padeletti, M.; Tronconi, F.; Marchionni, N.; Padeletti, L. Comparison of the usefulness of cardiac resynchronization therapy in three age-groups (<65, 65–74 and 75 years) (From the insync/Insync ICD Italian registry). Am. J. Cardiol. 2011, 107, 1510–1516. [Google Scholar] [CrossRef] [PubMed]
- Penn, J.; Goldenberg, I.; Moss, A.J.; McNitt, S.; Zareba, W.; Klein, H.U.; Cannom, D.S.; Solomon, S.D.; Barsheshet, A.; Huang, D.T. Improved outcome with preventive cardiac resynchronization therapy in the elderly: A MADIT-CRT substudy. J. Cardiovasc. Electrophysiol. 2011, 22, 892–897. [Google Scholar] [CrossRef] [PubMed]
- António, N.; Lourenço, C.; Teixeira, R.; Saraiva, F.; Coelho, L.; Ventura, M.; Cristóvão, J.; Elvas, L.; Gonçalves, L.; Providência, L.A. Cardiac resynchronization therapy is effective even in elderly patients with comorbidities. J. Interv. Card. Electrophysiol. 2009, 27, 61–68. [Google Scholar] [CrossRef] [PubMed][Green Version]
- Brambatti, M.; Guerra, F.; Matassini, M.V.; Cipolletta, L.; Barbarossa, A.; Urbinati, A.; Marchesini, M.; Capucci, A. Cardiac resynchronization therapy improves ejection fraction and cardiac remodelling regardless of patients’ age. EP Eur. 2013, 15, 704–710. [Google Scholar] [CrossRef] [PubMed]
- Guha, K.; Konstantinou, D.; Mantziari, L.; Modi, B.N.; Chandrasekaran, B.; Khalique, Z.; McDonagh, T.; Sharma, R. The impact of age on clinical outcomes following cardiac resynchronisation therapy. J. Interv. Card. Electrophysiol. 2013, 39, 95–102. [Google Scholar] [CrossRef] [PubMed]
- Dickstein, K.E.; Vardas, P.; Auricchio, A.; Daubert, J.-C.; Linde, C.; McMurray, J.J.V.; Ponikowski, P.; Priori, S.G.; Sutton, R.; Van Veldhuisen, D.J.; et al. ESC Committee for Practice Guidelines (CPG) 2010 Focused Update of ESC Guidelines on device therapy in heart failure: An update of the 2008 ESC Guidelines for the diagnosis and treatment of acute and chronic heart failure and the 2007 ESC guidelines for cardiac and resynchronization therapy Developed with the special contribution of the Heart Failure Association and the European Heart Rhythm Association. Eur. Heart J. 2010, 31, 2677–2687. [Google Scholar] [CrossRef] [PubMed]
- Stabile, G.; Bertaglia, E.; Botto, G.; Isola, F.; Mascioli, G.; Pepi, P.; Caico, S.I.; De Simone, A.; D’Onofrio, A.; Pecora, D.; et al. Cardiac resynchronization therapy modular registry: ECG and Rx predictors of response to cardiac resynchronization therapy (NCT01573091). J. Cardiovasc. Med. (Hagerstown) 2013, 14, 886–893. [Google Scholar] [CrossRef] [PubMed]
- Papalia, D.E.; Olds, S.W.; Feldman, R.D.; Gross, D. Human Development, 11th ed.; McGrawHill: Boston, MA, USA, 2009. [Google Scholar]
- Bertaglia, E.; Arena, G.; Pecora, D.; Reggiani, A.; D’Onofrio, A.; Palmisano, P.; De Simone, A.; Caico, S.I.; Marini, M.; Maglia, G.; et al. The VALID-CRT risk score reliably predicts response and outcome of cardiac resynchronization therapy in a real-world population. Clin. Cardiol. 2019, 42, 919–924. [Google Scholar] [CrossRef] [PubMed]
- Packer, M. Proposal for a new clinical end point to evaluate the efficacy of drugs and devices in the treatment of chronic heart failure. J. Card. Fail. 2001, 7, 176–182. [Google Scholar] [CrossRef] [PubMed]
- Orimo, H.; Ito, H.; Suzuki, T.; Araki, A.; Hosoi, T.; Sawabe, M. Reviewing the definition of “elderly”. Geriatr. Gerontol. Int. 2006, 6, 149–158. [Google Scholar] [CrossRef]
- Stabile, G.; Pepi, P.; Palmisano, P.; D’Onofrio, A.; De Simone, A.; Caico, S.I.; Pecora, D.; Rapacciuolo, A.; Arena, G.; Marini, M.; et al. Adherence to 2016 European Society of Cardiology guidelines predicts outcome in a large real-world population of heart failure patients requiring cardiac resynchronization therapy. Heart Rhythm. 2018, 15, 1675–1682. [Google Scholar] [CrossRef] [PubMed]
- Rapacciuolo, A.; Maffè, S.; Palmisano, P.; Ferraro, A.; Cecchetto, A.; D’Onofrio, A.; Solimene, F.; Musatti, P.; Paffoni, P.; Esposito, F.; et al. Prognostic Role of Right Ventricular Function in Patients With Heart Failure Undergoing Cardiac Resynchronization Therapy. Clin. Cardiol. 2016, 39, 640–645. [Google Scholar] [CrossRef] [PubMed]
- Barra, S.; Providência, R.; Paiva, L.; Heck, P.; Agarwal, S. Implantable cardioverter-defibrillators in the elderly: Rationale and specific age-related considerations. Ep Eur. 2014, 17, 174–186. [Google Scholar] [CrossRef] [PubMed]



| Parameter | All (n = 934) | <65 years (n = 242) (A) | 65–74 years (n = 347) (B) | ≥75 years (n = 345) (C) | p * C vs. A | p * C vs. B |
|---|---|---|---|---|---|---|
| Age, years | 70 ± 10 | 57 ± 7 | 70 ± 3 | 80 ± 4 | <0.0001 | <0.0001 |
| Gender Male | 687 (73.6) | 185 (76.4) | 260 (74.9) | 242 (70.1) | 0.0232 | 0.0375 |
| NYHA Class: III/IV | 567 (60.7) | 131 (54.1) | 197 (56.8) | 239 (69.3) | 0.0003 | 0.0009 |
| Ischemic | 433 (46.4) | 87 (36) | 175 (50.4) | 171 (49.6) | 0.0014 | 0.8791 |
| CKD | 237 (25.4) | 31 (12.8) | 86 (24.8) | 120 (34.8) | <0.0001 | 0.0052 |
| COPD | 225 (24.1) | 47 (19.4) | 87 (25.1) | 91 (26.4) | 0.0633 | 0.7599 |
| GFR | 62 (43–85) | 87 (70–112) | 67 (47–83) | 45 (35–61) | <0.0001 | <0.0001 |
| Diabetes | 290 (31.0) | 74 (30.6) | 125 (36) | 91 (26.4) | 0.3074 | 0.0079 |
| Hypertension | 607 (65.0) | 131 (54.1) | 233 (67.1) | 243 (70.4) | 0.0001 | 0.3946 |
| Persistent/Permanent AF | 198 (21.2) | 36 (14.8) | 75 (21.6) | 87 (25.2) | 0.0034 | 0.3032 |
| QRS duration, ms | 155 ± 26 | 153 ± 25 | 155 ± 25 | 156 ± 28 | 0.1272 | 0.4933 |
| PR duration, ms | 189 ± 49 | 184 ± 41 | 184 ± 44 | 200 ± 57 | 0.0021 | 0.0006 |
| LBBB | 763 (81.4) | 195 (80.6) | 288 (83) | 280 (81.2) | 0.9445 | 0.5963 |
| MR ≥ 2 | 454 (48.6) | 105 (43.4) | 174 (50.1) | 175 (50.7) | 0.0954 | 0.9389 |
| LVEF, % | 29 ± 7 | 28 ± 8 | 29 ± 7 | 30 ± 7 | 0.0131 | 0.0345 |
| CRTD | 820 (87.8) | 231 (95.5) | 321 (92.5) | 268 (77.7) | <0.0001 | <0.0001 |
| RV Apex | 631 (66.6) | 164 (67.8) | 233 (67.1) | 234 (67.8) | 0.9402 | 0.9128 |
| Diuretics | 796 (85.2) | 206 (85.1) | 296 (85.3) | 294 (85.2) | 0.931 | 0.9397 |
| ACE/ARB | 688 (73.7) | 200 (82.6) | 241 (69.5) | 247 (71.6) | 0.0028 | 0.593 |
| Anti-arrhythmics | 212 (22.7) | 53 (21.9) | 79 (22.8) | 80 (23.2) | 0.7897 | 0.9669 |
| Statin | 426 (45.6) | 97 (40.1) | 171 (49.3) | 158 (45.8) | 0.1969 | 0.4003 |
| BB | 750 (80.3) | 207 (85.5) | 279 (80.4) | 264 (76.5) | 0.0095 | 0.2503 |
| At 1-Year Follow-Up Examination | All Pts (n = 836) | Age < 65 (n = 207) (A) | Age 65–74 (n = 319) (B) | Age ≥ 75 (n = 310) (C) | p A vs. B | p C vs. A | p C vs. B |
|---|---|---|---|---|---|---|---|
| Positive Clinical Response, n (%) | 584 (69.9) | 172 (83.1) | 217 (68.0) | 195 (62.9) | 0.0001 | 0.0001 | 0.1807 |
| Worsened Status on CCS, n (%) | 146 (17.5) | 21 (10.1) | 63 (19.7) | 62 (20.0) | 0.0034 | 0.0032 | 1.0 |
| At 1 Year Follow Up | All Pts (n = 934) | Age < 65 (n = 242)(A) | Age 65–74 (n = 347)(B) | Age ≥ 75 (n = 345)(C) | p A vs. B | p C vs. A | p C vs. B |
|---|---|---|---|---|---|---|---|
| Overall Death, n (%) | 47 (5.0) | 4 (1.7) | 9 (2.6) | 34 (9.9) | 0.5736 | <0.0001 | <0.0001 |
| HF Hospitalization, n (%) | 67 (7.2) | 10 (4.1) | 33 (9.5) | 24 (7.0) | 0.0152 | 0.2083 | 0.2687 |
| Death or HF Hospitalization, n (%) | 108 (11.6) | 14 (5.8) | 40 (11.5) | 54 (15.7) | 0.0197 | 0.0002 | 0.1488 |
| Univariate | Multivariate | |||||
|---|---|---|---|---|---|---|
| Parameter | HR | 95% CI | p | HR | 95% CI | p |
| Persistent/Permanent AF on implantation | 2.1081 | 1.0447 to 4.2540 | 0.0383 | 1.73 | 0.8492 to 3.5246 | 0.1331 |
| Age ≥ 80 years | 2.7145 | 1.3281 to 5.5484 | 0.0065 | 2.32 | 1.1139 to 4.8319 | 0.0253 |
| BMI | 0.9873 | 0.9063 to 1.0756 | 0.7712 | |||
| COPD | 3.2514 | 1.6636 to 6.3546 | 0.0006 | 2.78 | 1.3763 to 5.6030 | 0.0046 |
| Diabetes | 0.7321 | 0.3191 to 1.6794 | 0.4639 | |||
| Echo MR ≥ 2 | 2.0979 | 0.9918 to 4.4377 | 0.0538 | |||
| Gender Male | 1.1317 | 0.5537 to 2.3132 | 0.7358 | |||
| CKD | 3.6942 | 1.8345 to 7.4391 | 0.0003 | 2.70 | 1.3141 to 5.5463 | 0.0071 |
| Hypertension | 1.345 | 0.6114 to 2.9587 | 0.4636 | |||
| CRT-D | 1.1171 | 0.4886 to 2.5542 | 0.794 | |||
| Ischemic | 1.2627 | 0.6439 to 2.4765 | 0.4994 | |||
| LBBB | 1.3702 | 0.5330 to 3.5225 | 0.5154 | |||
| QRS | 0.998 | 0.9860 to 1.0101 | 0.7463 | |||
| NYHA III/IV vs. I/II | 4.8602 | 1.4948 to 15.8026 | 0.0089 | 2.67 | 0.7979 to 8.9577 | 0.1128 |
| LVEF on implantation | 0.9732 | 0.9268 to 1.0219 | 0.2782 | |||
| ESC 2016 Indication Class | 1.4935 | 0.9275 to 2.4049 | 0.1006 | |||
Publisher’s Note: MDPI stays neutral with regard to jurisdictional claims in published maps and institutional affiliations. |
© 2021 by the authors. Licensee MDPI, Basel, Switzerland. This article is an open access article distributed under the terms and conditions of the Creative Commons Attribution (CC BY) license (https://creativecommons.org/licenses/by/4.0/).
Share and Cite
Strisciuglio, T.; Stabile, G.; Pecora, D.; Arena, G.; Caico, S.I.; Marini, M.; Pepi, P.; D’Onofrio, A.; De Simone, A.; Ricciardi, G.; et al. Does the Age Affect the Outcomes of Cardiac Resynchronization Therapy in Elderly Patients? J. Clin. Med. 2021, 10, 1451. https://doi.org/10.3390/jcm10071451
Strisciuglio T, Stabile G, Pecora D, Arena G, Caico SI, Marini M, Pepi P, D’Onofrio A, De Simone A, Ricciardi G, et al. Does the Age Affect the Outcomes of Cardiac Resynchronization Therapy in Elderly Patients? Journal of Clinical Medicine. 2021; 10(7):1451. https://doi.org/10.3390/jcm10071451
Chicago/Turabian StyleStrisciuglio, Teresa, Giuseppe Stabile, Domenico Pecora, Giuseppe Arena, Salvatore Ivan Caico, Massimiliano Marini, Patrizia Pepi, Antonio D’Onofrio, Antonio De Simone, Giuseppe Ricciardi, and et al. 2021. "Does the Age Affect the Outcomes of Cardiac Resynchronization Therapy in Elderly Patients?" Journal of Clinical Medicine 10, no. 7: 1451. https://doi.org/10.3390/jcm10071451
APA StyleStrisciuglio, T., Stabile, G., Pecora, D., Arena, G., Caico, S. I., Marini, M., Pepi, P., D’Onofrio, A., De Simone, A., Ricciardi, G., Badolati, S., Spotti, A., Casu, G., Solimene, F., La Greca, C., Ammirati, G., Pergola, V., Addeo, L., Malacrida, M., ... Rapacciuolo, A. (2021). Does the Age Affect the Outcomes of Cardiac Resynchronization Therapy in Elderly Patients? Journal of Clinical Medicine, 10(7), 1451. https://doi.org/10.3390/jcm10071451

