Impact of the COVID-19 Pandemic on the Loading and Quality of an Emergency Department in Taiwan: Enlightenment from a Low-Risk Country in a Public Health Crisis
Abstract
1. Introduction
2. Materials and Methods
2.1. Study Design and Settings
2.2. Data Source and Visit-Based Variable Measurements
2.3. ED Loading Parameters
2.4. Statistical Analysis
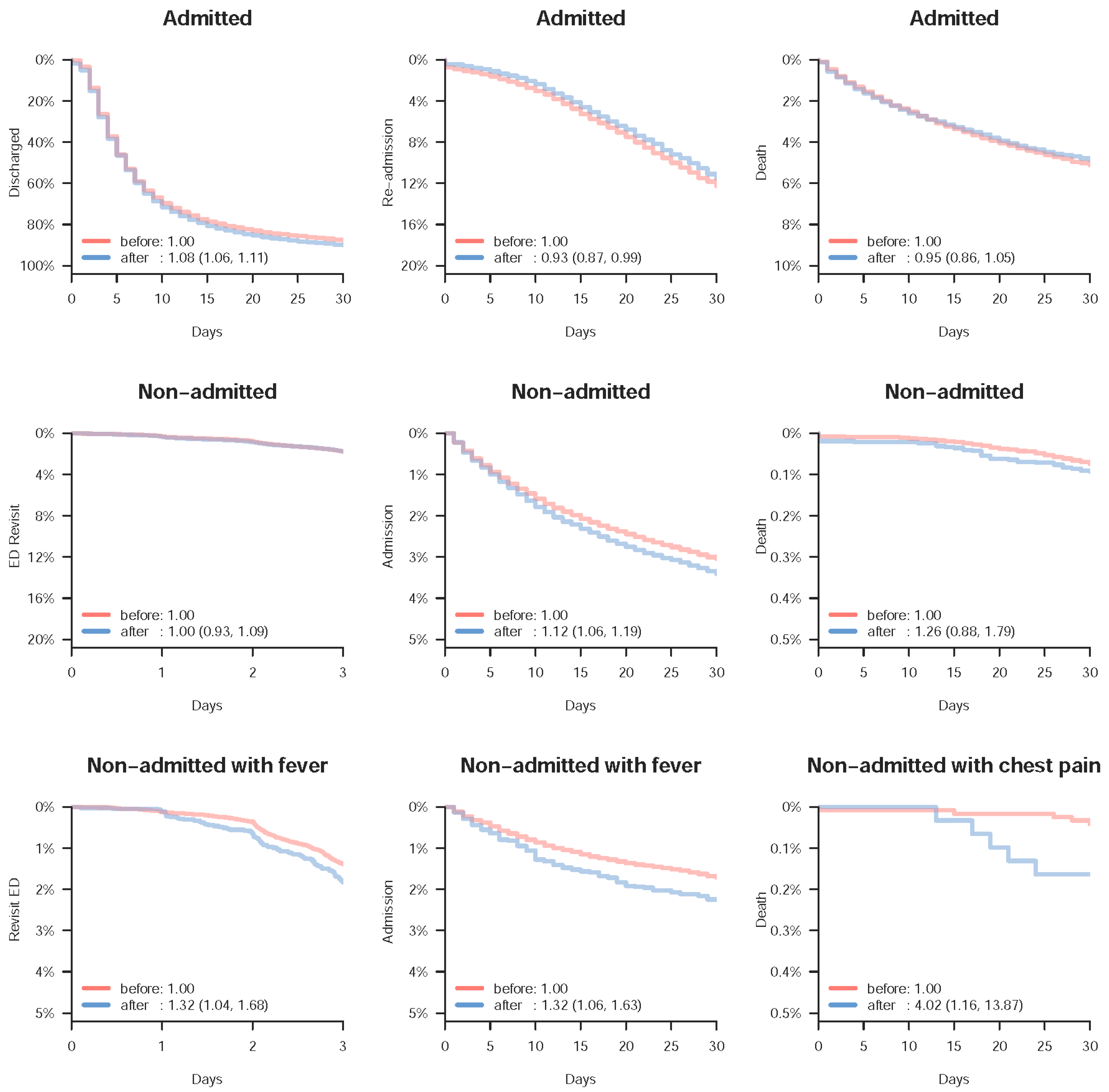
3. Results
4. Discussion
Author Contributions
Funding
Institutional Review Board Statement
Informed Consent Statement
Data Availability Statement
Conflicts of Interest
References
- Li, Q.; Guan, X.; Wu, P.; Qun, L.; Xuhua, G.; Peng, W.; Xiaoye, W.; Lei, Z.; Yeqing, T.; Ruiqi, R.; et al. Early transmission dynamics in Wuhan, China, of Novel Coronavirus—Infected pneumonia. N. Engl. J. Med. 2020, 382, 1199–1207. [Google Scholar] [CrossRef]
- McManus, N.M.; Offman, R.; Oetman, J.D. Emergency Department Management of COVID-19: An Evidence-Based Approach. West. J. Emerg. Med. 2020, 21, 32–44. [Google Scholar] [CrossRef]
- Mantica, G.; Riccardi, N.; Terrone, C.; Gratarola, A. Non-COVID-19 visits to emergency departments during the pandemic: The impact of fear. Pub. Health 2020, 183, 40–41. [Google Scholar] [CrossRef]
- Teo, K.-C.; Leung, W.C.; Wong, Y.-K.; Liu, R.K.; Chan, A.H.; Choi, O.M.; Kwok, W.-M.; Leung, K.-K.; Tse, M.-Y.; Cheung, R.T.; et al. Delays in Stroke Onset to Hospital Arrival Time During COVID-19. Stroke 2020, 51, 2228–2231. [Google Scholar] [CrossRef]
- Lim, Z.J.; Reddy, M.P.; Afroz, A.; Billah, B.; Shekar, K.; Subramaniam, A. Incidence and outcome of out-of-hospital cardiac arrests in the COVID-19 era: A systematic review and meta-analysis. Resuscitation 2020, 157, 248–258. [Google Scholar] [CrossRef]
- Christian, M.D.; Couper, K. COVID-19 and the global OHCA crisis: An urgent need for system level solutions. Resuscitation 2020, 157, 274–276. [Google Scholar] [CrossRef] [PubMed]
- Hammad, T.A.; Parikh, M.; Tashtish, N.; Lowry, C.M.; Gorbey, D.; Forouzandeh, F.; Filby, S.J.; Wolf, W.M.; Costa, M.A.; Simon, D.I.; et al. Impact of COVID-19 pandemic on ST-elevation myocardial infarction in a non-COVID-19 epicenter. Catheter. Cardiovasc. Interv. 2021, 97, 208–214. [Google Scholar] [CrossRef]
- Quah, L.J.J.; Tan, B.K.K.; Fua, T.-P.; Wee, C.P.J.; Lim, C.S.; Nadarajan, G.; Zakaria, N.D.; Chan, S.-E.J.; Wan, P.W.; Teo, L.T.; et al. Reorganising the emergency department to manage the COVID-19 outbreak. Int. J. Emerg. Med. 2020, 13, 1–11. [Google Scholar] [CrossRef] [PubMed]
- Wang, J.; Zong, L.; Zhang, J.; Sun, H.; Walline, J.H.; Sun, P.; Xu, S.; Li, Y.; Wang, C.; Liu, J.; et al. Identifying the effects of an upgraded ‘fever clinic’ on COVID-19 control and the workload of emergency department: Retrospective study in a tertiary hospital in China. BMJ Open 2020, 10, e039177. [Google Scholar] [CrossRef] [PubMed]
- Scquizzato, T.; Landoni, G.; Paoli, A.; Lembo, R.; Fominskiy, E.; Kuzovlev, A.; Likhvantsev, V.; Zangrillo, A. Effects of COVID-19 pandemic on out-of-hospital cardiac arrests: A systematic review. Resuscitation 2020, 157, 241–247. [Google Scholar] [CrossRef]
- Chew, N.W.; Sia, C.-H.; Wee, H.-L.; Benedict, L.J.-D.; Rastogi, S.; Kojodjojo, P.; Chor, W.P.D.; Leong, B.S.-H.; Koh, B.C.-P.; Tam, H.; et al. Impact of the COVID-19 Pandemic on Door-to-Balloon Time for Primary Percutaneous Coronary Intervention—Results from the Singapore Western STEMI Network. Circ. J. 2021, 85, 139–149. [Google Scholar] [CrossRef]
- Asplin, B.R.; Magid, D.J.; Rhodes, K.V.; Solberg, L.I.; Lurie, N.; Camargo, C.A. A conceptual model of emergency department crowding. Ann. Emerg. Med. 2003, 42, 173–180. [Google Scholar] [CrossRef]
- Metzler, B.; Siostrzonek, P.; Binder, R.K.; Bauer, A.; Reinstadler, S.J. Decline of acute coronary syndrome admissions in Austria since the outbreak of COVID-19: The pandemic response causes cardiac collateral damage. Eur. Hear. J. 2020, 41, 1852–1853. [Google Scholar] [CrossRef] [PubMed]
- Hartnett, K.P.; Kite-Powell, A.; DeVies, J.; Coletta, M.A.; Boehmer, T.K.; Adjemian, J.; Gundlapalli, A.V. Impact of the COVID-19 Pandemic on Emergency Department Visits—United States, January 1, 2019-May 30, 2020. Morb. Mortal. Wkly. Rep. 2020, 69, 699–704. [Google Scholar] [CrossRef]
- Tam, C.-C.F.; Cheung, K.-S.; Lam, S.; Wong, A.; Yung, A.; Sze, M.; Lam, Y.-M.; Chan, C.; Tsang, T.-C.; Tsui, M.; et al. Impact of Coronavirus Disease 2019 (COVID-19) Outbreak on ST-Segment–Elevation Myocardial Infarction Care in Hong Kong, China. Circ. Cardiovasc. Qual. Outcomes 2020, 13, e006631. [Google Scholar] [CrossRef]
- Lazzerini, M.; Barbi, E.; Apicella, A.; Marchetti, F.; Cardinale, F.; Trobia, G. Delayed access or provision of care in Italy resulting from fear of COVID-19. Lancet Child Adolesc. Health 2020, 4, e10–e11. [Google Scholar] [CrossRef]
- Ojetti, V.; Covino, M.; Brigida, M.; Petruzziello, C.; Saviano, A.; Migneco, A.; Candelli, M.; Franceschi, F. Non-COVID Diseases during the Pandemic: Where Have All Other Emergencies Gone? Medicina 2020, 56, 512. [Google Scholar] [CrossRef] [PubMed]
- Richardson, D.B. Increase in patient mortality at 10 days associated with emergency department overcrowding. Med. J. Aust. 2006, 184, 213–216. [Google Scholar] [CrossRef] [PubMed]
- Sprivulis, P.C.; Da Silva, J.A.; Jacobs, I.G.; Jelinek, G.A.; Frazer, A.R. The association between hospital overcrowding and mortality among patients admitted via Western Australian emergency departments. Med. J. Aust. 2006, 184, 208–212. [Google Scholar] [CrossRef] [PubMed]
- Carr, B.G.; Kaye, A.J.; Wiebe, D.J.; Gracias, V.H.; Schwab, C.W.; Reilly, P.M. Emergency Department Length of Stay: A Major Risk Factor for Pneumonia in Intubated Blunt Trauma Patients. J. Trauma Inj. Infect. Crit. Care 2007, 63, 9–12. [Google Scholar] [CrossRef] [PubMed]
- Pines, J.M.; Localio, A.R.; Hollander, J.E.; Baxt, W.G.; Lee, H.; Phillips, C.; Metlay, J.P. The Impact of Emergency Department Crowding Measures on Time to Antibiotics for Patients with Community-Acquired Pneumonia. Ann. Emerg. Med. 2007, 50, 510–516. [Google Scholar] [CrossRef] [PubMed]
- Daly, M.; Long, B.; Koyfman, A.; Lentz, S. Identifying cardiogenic shock in the emergency department. Am. J. Emerg. Med. 2020, 38, 2425–2433. [Google Scholar] [CrossRef] [PubMed]
- Lapidus, N.; Zhou, X.; Carrat, F.; Riou, B.; Zhao, Y.; Hejblum, G. Biased and unbiased estimation of the average length of stay in intensive care units in the Covid-19 pandemic. Ann. Intensiv. Care 2020, 10, 1–9. [Google Scholar] [CrossRef]
- Guo, D.; Chen, K.-H.; Chen, I.; Lu, K.; Lin, Y.; Hsiao, K.-Y. The Association between Emergency Department Revisit and Elderly Patients. J. Acute Med. 2020, 10, 20–26. [Google Scholar] [PubMed]
- Birkmeyer, J.D.; Barnato, A.; Birkmeyer, N.; Bessler, R.; Skinner, J. The Impact of The COVID-19 Pandemic On Hospital Admissions In The United States. Health Aff. 2020, 39, 2010–2017. [Google Scholar] [CrossRef] [PubMed]
- Wang, C.J.; Ng, C.Y.; Brook, R.H. Response to COVID-19 in Taiwan: Big Data Analytics, New Technology, and Proactive Testing. JAMA 2020, 323, 1341–1342. [Google Scholar] [CrossRef]
- Bullard, M.J.; Musgrave, E.; Warren, D.; Unger, B.; Skeldon, T.; Grierson, R.; Van Der Linde, E.; Swain, J. Revisions to the Canadian Emergency Department Triage and Acuity Scale (CTAS) Guidelines 2016. Can. J. Emerg. Med. 2017, 19, S18–S27. [Google Scholar] [CrossRef]
- Tsai, C.-C.; Wang, Y.-C.; Chiang, T.-T.; Chen, I.-A.; Chiu, C.-H.; Yang, Y.-S.; Yeh, K.-M.; Chang, F.-Y. Successful treatment of 28 patients with coronavirus disease 2019 at a medical center in Taiwan. J. Formos. Med Assoc. 2021, 120, 713–719. [Google Scholar] [CrossRef]
- Siegler, J.; Heslin, M.; Thau, L.; Smith, A.; Jovin, T. Falling stroke rates during COVID-19 pandemic at a comprehensive stroke center. J. Stroke Cerebrovasc. Dis. 2020, 29, 104953. [Google Scholar] [CrossRef]
- De Rosa, S.; Spaccarotella, C.; Basso, C.; Calabrò, M.P.; Curcio, A.; Filardi, P.P.; Mancone, M.; Mercuro, G.; Muscoli, S.; Nodari, S.; et al. Reduction of hospitalizations for myocardial infarction in Italy in the COVID-19 era. Eur. Hear. J. 2020, 41, 2083–2088. [Google Scholar] [CrossRef]
- Solomon, M.D.; McNulty, E.J.; Rana, J.S.; Leong, T.K.; Lee, C.; Sung, S.-H.; Ambrosy, A.P.; Sidney, S.; Go, A.S. The Covid-19 Pandemic and the Incidence of Acute Myocardial Infarction. N. Engl. J. Med. 2020, 383, 691–693. [Google Scholar] [CrossRef] [PubMed]
- Montaner, J.; Barragán-Prieto, A.; Pérez-Sánchez, S.; Escudero-Martínez, I.; Moniche, F.; Sánchez-Miura, J.A.; Ruiz-Bayo, L.; González, A. Break in the Stroke Chain of Survival due to COVID-19. Stroke 2020, 51, 2307–2314. [Google Scholar] [CrossRef] [PubMed]
- Chen, C.-M.; Jyan, H.-W.; Chien, S.-C.; Jen, H.-H.; Hsu, C.-Y.; Lee, P.-C.; Lee, C.-F.; Yang, Y.-T.; Chen, M.-Y.; Chen, L.-S.; et al. Containing COVID-19 Among 627,386 Persons in Contact with the Diamond Princess Cruise Ship Passengers Who Disembarked in Taiwan: Big Data Analytics. J. Med. Internet Res. 2020, 22, e19540. [Google Scholar] [CrossRef]
- Ayenigbara, I.O.; Adeleke, O.R.; Ayenigbara, G.O.; Adegboro, J.S.; Olofintuyi, O.O. COVID-19 (SARS-CoV-2) pandemic: Fears, facts and preventive measures. Germs 2020, 10, 218–228. [Google Scholar] [CrossRef] [PubMed]
- Petersen, I.; Phillips, A. Three Quarters of People with SARS-CoV-2 Infection are Asymptomatic: Analysis of English Household Survey Data. Clin. Epidemiol. 2020, 12, 1039–1043. [Google Scholar] [CrossRef]
- Huang, I.; Pranata, R. Lymphopenia in severe coronavirus disease-2019 (COVID-19): Systematic review and meta-analysis. J. Intensiv. Care 2020, 8, 1–10. [Google Scholar] [CrossRef]
- Pranata, R.; Lim, M.A.; Huang, I.; Raharjo, S.B.; Lukito, A.A. Hypertension is associated with increased mortality and severity of disease in COVID-19 pneumonia: A systematic review, meta-analysis and meta-regression. J. Renin Angiotensin Aldosterone Syst. 2020, 21, 147032032092689. [Google Scholar] [CrossRef] [PubMed]
- Huang, I.; Lim, M.A.; Pranata, R. Diabetes mellitus is associated with increased mortality and severity of disease in COVID-19 pneumonia—A systematic review, meta-analysis, and meta-regression. Diabetes Metab. Syndr. Clin. Res. Rev. 2020, 14, 395–403. [Google Scholar] [CrossRef]
- Haleem, A.; Javaid, M.; Vaishya, R. Effects of COVID-19 pandemic in daily life. Curr. Med. Res. Prac. 2020, 10, 78–79. [Google Scholar] [CrossRef]
- Mulholland, R.H.; Wood, R.; Stagg, H.R.; Fischbacher, C.; Villacampa, J.; Simpson, C.R.; Vasileiou, E.; McCowan, C.; Stock, S.J.; Docherty, A.B.; et al. Impact of COVID-19 on accident and emergency attendances and emergency and planned hospital admissions in Scotland: An interrupted time-series analysis. J. R. Soc. Med. 2020, 113, 444–453. [Google Scholar] [CrossRef]
- Longhitano, Y.; Racca, F.; Zanza, C.; Piccioni, A.; Audo, A.; Muncinelli, M.; Santi, R.; Kozel, D.; Geraci, C.; Taverna, M.; et al. Venous thromboembolism in critically ill patients affected by ARDS related to COVID-19 in Northern-West Italy. Eur. Rev. Med. Pharmacol. Sci. 2020, 24, 9154–9160. [Google Scholar] [PubMed]
- Longhitano, Y.; Racca, F.; Zanza, C.; Muncinelli, M.; Guagliano, A.; Peretti, E.; Minerba, A.C.; Mari, M.; Boverio, R.; Salio, M.; et al. Venous Thrombo-Embolism in Hospitalized SARS-CoV-2 Patients Treated with Three Different Anticoagulation Protocols: Prospective Observational Study. Biology 2020, 9, 310. [Google Scholar] [CrossRef] [PubMed]
- Zanza, C.; Racca, F.; Longhitano, Y.; Piccioni, A.; Franceschi, F.; Artico, M.; Abenavoli, L.; Maiese, A.; Passaro, G.; Volonnino, G.; et al. Risk Management and Treatment of Coagulation Disorders Related to COVID-19 Infection. Int. J. Environ. Res. Pub. Health 2021, 18, 1268. [Google Scholar] [CrossRef] [PubMed]



| All Visits | Admitted | Non-Admitted | |
|---|---|---|---|
| Crude IRR | |||
| All | 0.745 (0.738–0.752) ⁂ | 0.875 (0.857–0.894) ⁂ | 0.718 (0.711–0.726) ⁂ |
| Triage code | |||
| Level 1 | 0.742 (0.703–0.784) ⁂ | 0.792 (0.739–0.849) ⁂ | 0.676 (0.620–0.736) ⁂ |
| Level 2 | 0.708 (0.691–0.725) ⁂ | 0.829 (0.797–0.861) ⁂ | 0.641 (0.621–0.662) ⁂ |
| Level 3 | 0.751 (0.743–0.759) ⁂ | 0.912 (0.887–0.939) ⁂ | 0.728 (0.719–0.736) ⁂ |
| Level 4 | 0.783 (0.751–0.817) ⁂ | 1.086 (0.921–1.281) | 0.767 (0.735–0.801) ⁂ |
| Disease tag | |||
| Coma | 0.844 (0.796–0.895) ⁂ | 0.890 (0.822–0.965) ⁑ | 0.795 (0.729–0.867) ⁂ |
| Chest pain | 0.818 (0.789–0.849) ⁂ | 0.934 (0.845–1.033) | 0.802 (0.771–0.835) ⁂ |
| Abdomen pain | 0.752 (0.732–0.773) ⁂ | 0.943 (0.891–0.999) * | 0.706 (0.685–0.729) ⁂ |
| Trauma | 0.783 (0.766–0.800) ⁂ | 0.930 (0.871–0.993) * | 0.768 (0.751–0.786) ⁂ |
| Fever | 0.612 (0.596–0.628) ⁂ | 0.832 (0.796–0.870) ⁂ | 0.537 (0.520–0.554) ⁂ |
| Adjusted IRR | |||
| All | 0.749 (0.742–0.756) ⁂ | 0.875 (0.856–0.894) ⁂ | 0.723 (0.715–0.730) ⁂ |
| Triage code | |||
| Level 1 | 0.741 (0.702–0.782) ⁂ | 0.792 (0.739–0.849) ⁂ | 0.674 (0.618–0.734) ⁂ |
| Level 2 | 0.707 (0.690–0.725) ⁂ | 0.827 (0.796–0.859) ⁂ | 0.641 (0.621–0.662) ⁂ |
| Level 3 | 0.755 (0.747–0.763) ⁂ | 0.912 (0.887–0.938) ⁂ | 0.732 (0.724–0.741) ⁂ |
| Level 4 | 0.796 (0.764–0.831) ⁂ | 1.098 (0.931–1.295) | 0.780 (0.747–0.815) ⁂ |
| Disease Tag | |||
| Coma | 0.844 (0.796–0.895) ⁂ | 0.889 (0.821–0.963) ⁑ | 0.796 (0.730–0.869) ⁂ |
| Chest pain | 0.818 (0.788–0.848) ⁂ | 0.937 (0.847–1.036) | 0.801 (0.770–0.834) ⁂ |
| Abdomen pain | 0.755 (0.734–0.776) ⁂ | 0.944 (0.892–1.000) * | 0.709 (0.687–0.732) ⁂ |
| Trauma | 0.781 (0.764–0.798) ⁂ | 0.924 (0.865–0.986) * | 0.767 (0.749–0.784) ⁂ |
| Fever | 0.618 (0.602–0.634) ⁂ | 0.833 (0.796–0.871) ⁂ | 0.544 (0.527–0.561) ⁂ |
| All Visits (n = 279,524) | Admitted (n = 49,485) | Non-Admitted (n = 230,039) | |||||||
|---|---|---|---|---|---|---|---|---|---|
| Before (n = 226,968) | After (n = 52,556) | p-Value | Before (n = 38,906) | After (n = 10,579) | p-Value | Before (n = 188,062) | After (n = 41,977) | p-Value | |
| Triage Assessment | |||||||||
| Triage code | <0.001 | <0.001 | <0.001 | ||||||
| Level 1 | 7011 (3.1%) | 1617 (3.1%) | 4015 (10.3%) | 988 (9.3%) | 2996 (1.6%) | 629 (1.5%) | |||
| Level 2 | 35,622 (15.7%) | 7835 (14.9%) | 12,695 (32.6%) | 3268 (30.9%) | 22,927 (12.2%) | 4567 (10.9%) | |||
| Level 3 | 173,242 (76.3%) | 40,404 (76.9%) | 21.636 (55.6%) | 6134 (58.0%) | 15,1606 (80.6%) | 34,270 (81.6%) | |||
| Level 4 | 11,093 (4.9%) | 2700 (5.1%) | 560 (1.4%) | 189 (1.8%) | 10,533 (5.6%) | 2511 (6.0%) | |||
| Coma | 5348 (2.4%) | 1403 (2.7%) | <0.001 | 2758 (7.1%) | 763 (7.2%) | 0.661 | 2590 (1.4%) | 640 (1.5%) | 0.020 |
| Chest pain | 13,957 (6.1%) | 3548 (6.8%) | <0.001 | 1695 (4.4%) | 492 (4.7%) | 0.192 | 12,262 (6.5%) | 3056 (7.3%) | <0.001 |
| Abdomen pain | 26,996 (11.9%) | 6308 (12.0%) | 0.490 | 5210 (13.4%) | 1527 (14.4%) | 0.006 | 21,786 (11.6%) | 4781 (11.4%) | 0.259 |
| Trauma | 43,551 (19.2%) | 10,594 (20.2%) | <0.001 | 3976 (10.2%) | 1149 (10.9%) | 0.055 | 39,575 (21.0%) | 9445 (22.5%) | <0.001 |
| Fever | 36,498 (16.1%) | 6937 (13.2%) | <0.001 | 9272 (23.8%) | 2397 (22.7%) | 0.012 | 27,226 (14.5%) | 4540 (10.8%) | <0.001 |
| Physiological State | |||||||||
| Gender (male) | 114,181 (50.3%) | 26,500 (50.4%) | 0.634 | 20,143 (51.8%) | 5420 (51.2%) | 0.324 | 94,038 (50.0%) | 21,080 (50.2%) | 0.427 |
| Age (years) | 46.8 ± 25.5 | 49.9 ± 24.3 | <0.001 | 57.5 ± 24.4 | 58.9 ± 23.1 | <0.001 | 44.6 ± 25.1 | 47.6 ± 24.0 | <0.001 |
| BMI (kg/m2) | 23.6 ± 82.9 | 24.2 ± 101.4 | 0.206 | 25.5 ± 159.1 | 25.7 ± 178.1 | 0.911 | 23.3 ± 56.7 | 23.8 ± 71.6 | 0.097 |
| SBP (mmHg) | 133.4 ± 24.7 | 134.3 ± 24.6 | <0.001 | 134.4 ± 26.5 | 134.4 ± 26.3 | 0.906 | 133.2 ± 24.4 | 134.2 ± 24.2 | <0.001 |
| DBP (mmHg) | 76.8 ± 15.9 | 77.9 ± 15.9 | <0.001 | 77.2 ± 17.5 | 77.9 ± 17.3 | <0.001 | 76.7 ± 15.6 | 77.9 ± 15.5 | <0.001 |
| Temperature (°C) | 36.8 ± 1.0 | 36.7 ± 0.9 | <0.001 | 37.0 ± 1.1 | 37.0 ± 1.1 | 0.002 | 36.8 ± 0.9 | 36.7 ± 0.8 | <0.001 |
| Pulse (n/min) | 88.4 ± 19.6 | 87.7 ± 19.2 | <0.001 | 92.5 ± 21.1 | 92.5 ± 20.9 | 0.947 | 87.5 ± 19.2 | 86.5 ± 18.6 | <0.001 |
| Breathing (n/min) | 18.8 ± 2.5 | 18.7 ± 2.0 | <0.001 | 19.5 ± 3.2 | 19.3 ± 2.7 | <0.001 | 18.7 ± 2.3 | 18.6 ± 1.8 | <0.001 |
| Disease History | |||||||||
| DM | 33,940 (15.0%) | 8811 (16.8%) | <0.001 | 7159 (18.4%) | 2096 (19.8%) | 0.001 | 26,781 (14.2%) | 6715 (16.0%) | <0.001 |
| HTN | 52,761 (23.2%) | 13,464 (25.6%) | <0.001 | 11,462 (29.5%) | 3186 (30.1%) | 0.190 | 41,299 (22.0%) | 10,278 (24.5%) | <0.001 |
| CKD | 16,701 (7.4%) | 4373 (8.3%) | <0.001 | 3610 (9.3%) | 1019 (9.6%) | 0.268 | 13,091 (7.0%) | 3354 (8.0%) | <0.001 |
| Stroke | 23,220 (10.2%) | 5437 (10.3%) | 0.435 | 6087 (15.6%) | 1478 (14.0%) | <0.001 | 17,133 (9.1%) | 3959 (9.4%) | 0.039 |
| CAD | 29,346 (12.9%) | 7636 (14.5%) | <0.001 | 5440 (14.0%) | 1582 (15.0%) | 0.011 | 23,906 (12.7%) | 6054 (14.4%) | <0.001 |
| HLD | 44,791 (19.7%) | 12,205 (23.2%) | <0.001 | 6698 (17.2%) | 2210 (20.9%) | <0.001 | 38,093 (20.3%) | 9995 (23.8%) | <0.001 |
| Laboratory Test | |||||||||
| Cr (mg/dL) | 1.3 ± 1.7 | 1.4 ± 1.8 | <0.001 | 1.3 ± 1.6 | 1.4 ± 1.7 | <0.001 | 1.3 ± 1.7 | 1.4 ± 1.8 | <0.001 |
| BUN (mg/dL) | 22.6 ± 21.1 | 28.1 ± 26.6 | <0.001 | 25.0 ± 23.4 | 29.3 ± 27.6 | <0.001 | 21.5 ± 19.9 | 27.0 ± 25.5 | <0.001 |
| AST (U/L) | 34.6 ± 100.6 | 30.8 ± 72.5 | <0.001 | 51.9 ± 149.8 | 43.8 ± 103.6 | <0.001 | 28.0 ± 73.0 | 25.3 ± 53.3 | <0.001 |
| ALT (U/L) | 31.7 ± 92.2 | 40.4 ± 110.2 | <0.001 | 46.5 ± 143.9 | 54.1 ± 145.0 | 0.001 | 25.2 ± 55.2 | 28.6 ± 65.2 | <0.001 |
| GLU (gm/dL) | 137.0 ± 71.0 | 134.7 ± 69.7 | <0.001 | 149.2 ± 88.1 | 147.8 ± 86.2 | 0.157 | 132.7 ± 63.2 | 129.3 ± 60.8 | <0.001 |
| TnI (pg/mL) | 105.9 ± 1568.8 | 75.9 ± 815.4 | 0.014 | 141.7 ± 1481.9 | 147.6 ± 1195.9 | 0.781 | 91.2 ± 1603.2 | 41.9 ± 545.7 | 0.001 |
| CRP (mg/L) | 2.6 ± 4.9 | 2.7 ± 5.1 | 0.515 | 5.4 ± 7.1 | 5.4 ± 7.2 | 0.630 | 1.7 ± 3.3 | 1.6 ± 3.4 | <0.001 |
| WBC (103/µL) | 9.3 ± 5.1 | 9.1 ± 4.9 | <0.001 | 10.6 ± 6.8 | 10.5 ± 7.0 | 0.033 | 8.8 ± 4.2 | 8.6 ± 3.6 | <0.001 |
| PLT (103/µL) | 240.9 ± 86.5 | 236.3 ± 86.2 | <0.001 | 241.2 ± 104.0 | 233.8 ± 101.0 | <0.001 | 240.8 ± 79.2 | 237.4 ± 79.0 | <0.001 |
| All Visits (n = 279,524) | Admitted (n = 49,485) | Non-Admitted (n = 230,039) | |||||||
|---|---|---|---|---|---|---|---|---|---|
| Before (n = 226,968) | After (n = 52,556) | p-Value | Before (n = 38,906) | After (n = 10,579) | p-Value | Before (n = 188,062) | After (n = 41,977) | p-Value | |
| Numbers of Visits at ED | |||||||||
| Triage code—Level 1 | 3.5 ± 2.3 | 2.6 ± 1.8 | <0.001 | 3.6 ± 2.3 | 2.6 ± 1.8 | <0.001 | 3.5 ± 2.3 | 2.5 ± 1.8 | <0.001 |
| Triage code—Level 2 | 12.9 ± 5.5 | 10.0 ± 4.3 | <0.001 | 13.3 ± 5.5 | 10.1 ± 4.3 | <0.001 | 12.9 ± 5.4 | 10.0 ± 4.3 | <0.001 |
| Triage code—Level 3 | 34.2 ± 10.0 | 28.3 ± 8.9 | <0.001 | 33.9 ± 9.7 | 28.5 ± 8.9 | <0.001 | 34.3 ± 10.0 | 28.3 ± 8.9 | <0.001 |
| Triage code—Level 4 | 1.2 ± 1.2 | 1.0 ± 1.1 | <0.001 | 1.1 ± 1.2 | 1.0 ± 1.1 | <0.001 | 1.2 ± 1.2 | 1.0 ± 1.2 | <0.001 |
| Coma | 2.3 ± 1.7 | 1.8 ± 1.4 | <0.001 | 2.3 ± 1.7 | 1.8 ± 1.4 | <0.001 | 2.3 ± 1.7 | 1.8 ± 1.4 | <0.001 |
| Chest pain | 3.8 ± 2.2 | 3.0 ± 1.8 | <0.001 | 3.8 ± 2.2 | 3.0 ± 1.8 | <0.001 | 3.8 ± 2.2 | 3.0 ± 1.8 | <0.001 |
| Abdomen pain | 6.7 ± 3.0 | 4.9 ± 2.5 | <0.001 | 6.6 ± 3.0 | 5.0 ± 2.5 | <0.001 | 6.7 ± 3.0 | 4.9 ± 2.5 | <0.001 |
| Trauma | 6.2 ± 3.1 | 5.9 ± 3.0 | <0.001 | 6.3 ± 3.2 | 5.9 ± 3.0 | <0.001 | 6.2 ± 3.1 | 5.9 ± 3.0 | <0.001 |
| Fever | 9.7 ± 4.4 | 6.6 ± 3.4 | <0.001 | 9.5 ± 4.3 | 6.6 ± 3.4 | <0.001 | 9.7 ± 4.4 | 6.6 ± 3.4 | <0.001 |
| Time Information | |||||||||
| Holiday | 81,095 (35.7%) | 16,649 (31.7%) | <0.001 | 11,734 (30.2%) | 2951 (27.9%) | <0.001 | 69,361 (36.9%) | 13,698 (32.6%) | <0.001 |
| Week | 0.004 | 0.687 | 0.015 | ||||||
| Sunday | 38,447 (16.9%) | 8536 (16.2%) | 5247 (13.5%) | 1439 (13.6%) | 33,200 (17.7%) | 7097 (16.9%) | |||
| Monday | 33,090 (14.6%) | 7743 (14.7%) | 5963 (15.3%) | 1617 (15.3%) | 27,127 (14.4%) | 6126 (14.6%) | |||
| Tuesday | 31,058 (13.7%) | 7205 (13.7%) | 5849 (15.0%) | 1550 (14.7%) | 25,209 (13.4%) | 5655 (13.5%) | |||
| Wednesday | 30,482 (13.4%) | 7109 (13.5%) | 5718 (14.7%) | 1522 (14.4%) | 24,764 (13.2%) | 5587 (13.3%) | |||
| Thursday | 29,941 (13.2%) | 6981 (13.3%) | 5527 (14.2%) | 1490 (14.1%) | 24,414 (13.0%) | 5491 (13.1%) | |||
| Friday | 30,526 (13.4%) | 7289 (13.9%) | 5374 (13.8%) | 1527 (14.4%) | 25,152 (13.4%) | 5762 (13.7%) | |||
| Saturday | 33,424 (14.7%) | 7693 (14.6%) | 5228 (13.4%) | 1434 (13.6%) | 28,196 (15.0%) | 6259 (14.9%) | |||
| Time Interval | <0.001 | 0.990 | <0.001 | ||||||
| 07:30–19:30 | 135,455 (59.7%) | 31,954 (60.8%) | 25,908 (66.6%) | 7044 (66.6%) | 109,547 (58.3%) | 24,910 (59.3%) | |||
| 19:30–07:30 | 91,513 (40.3%) | 20,602 (39.2%) | 12,998 (33.4%) | 3535 (33.4%) | 78,515 (41.7%) | 17,067 (40.7%) | |||
| Time to X-ray Examination | Time to Electrocardiogram | Time to Laboratory Test | ||||
|---|---|---|---|---|---|---|
| Beta ※ | p-Value | Beta ※ | p-Value | Beta ※ | p-Value | |
| Triage Assessment | ||||||
| Triage code | <0.0001 | <0.0001 | <0.0001 | |||
| Level 1 | 0.00 | 0.00 | 0.00 | |||
| Level 2 | −0.40 (−0.45, −0.35) | <0.0001 | 0.44 (0.39, 0.50) | <0.0001 | 0.22 (0.18, 0.25) | <0.0001 |
| Level 3 | −0.56 (−0.61, −0.51) | <0.0001 | 0.78 (0.72, 0.83) | <0.0001 | 0.27 (0.23, 0.30) | <0.0001 |
| Level 4 | −0.63 (−0.71, −0.56) | <0.0001 | 1.01 (0.85, 1.18) | <0.0001 | 0.37 (0.31, 0.43) | <0.0001 |
| Coma | 0.24 (0.19, 0.30) | <0.0001 | −0.28 (−0.34, −0.22) | <0.0001 | −0.22 (−0.26, −0.18) | <0.0001 |
| Chest pain | −0.11 (−0.14, −0.07) | <0.0001 | −0.76 (−0.80, −0.72) | <0.0001 | −0.15 (−0.17, −0.12) | <0.0001 |
| Abdomen pain | 0.06 (0.03, 0.08) | 0.0001 | 0.22 (0.18, 0.26) | <0.0001 | −0.13 (−0.15, −0.12) | <0.0001 |
| Trauma | −0.27 (−0.29, −0.25) | <0.0001 | 0.73 (0.67, 0.79) | <0.0001 | 0.81 (0.78, 0.84) | <0.0001 |
| Fever | 0.12 (0.10, 0.15) | <0.0001 | 0.32 (0.28, 0.36) | <0.0001 | 0.03 (0.01, 0.05) | 0.0006 |
| Physiological State | ||||||
| Gender (male) | −0.10 (−0.12, −0.08) | <0.0001 | −0.04 (−0.07, −0.01) | 0.0035 | −0.03 (−0.05, −0.02) | <0.0001 |
| Age (per 10 years) | 0.00 (0.00, 0.01) | 0.0496 | 0.02 (0.01, 0.03) | <0.0001 | −0.04 (−0.04, −0.03) | <0.0001 |
| BMI (per 5 kg/m2) | 0.00 (0.00, 0.00) | <0.0001 | −0.01 (−0.03, 0.00) | 0.0977 | 0.00 (0.00, 0.00) | <0.0001 |
| SBP (per 10 mmHg) | −0.02 (−0.02, −0.01) | <0.0001 | −0.01 (−0.01, −0.00) | 0.0055 | −0.00 (−0.00, 0.00) | 0.0911 |
| DBP (per 10 mmHg) | −0.02 (−0.02, −0.01) | <0.0001 | −0.01 (−0.02, −0.00) | 0.0029 | 0.00 (−0.00, 0.01) | 0.6100 |
| Temperature (per 1 °C) | 0.05 (0.04, 0.06) | <0.0001 | 0.12 (0.10, 0.13) | <0.0001 | 0.03 (0.02, 0.04) | <0.0001 |
| Pulse (per 10/min) | 0.03 (0.02, 0.03) | <0.0001 | 0.01 (0.00, 0.01) | 0.0155 | −0.00 (−0.01, 0.00) | 0.1132 |
| Breathing (per 1/min) | 0.02 (0.02, 0.02) | <0.0001 | −0.03 (−0.03, −0.02) | <0.0001 | 0.00 (−0.00, 0.01) | 0.0601 |
| Disease History | ||||||
| DM | 0.09 (0.06, 0.11) | <0.0001 | 0.02 (−0.02, 0.05) | 0.3202 | −0.06 (−0.08, −0.05) | <0.0001 |
| HTN | 0.06 (0.04, 0.09) | <0.0001 | −0.07 (−0.10, −0.04) | <0.0001 | −0.07 (−0.09, −0.06) | <0.0001 |
| CKD | 0.13 (0.10, 0.16) | <0.0001 | 0.05 (0.01, 0.09) | 0.0182 | −0.05 (−0.08, −0.03) | <0.0001 |
| Stroke | 0.14 (0.11, 0.17) | <0.0001 | −0.05 (−0.08, −0.01) | 0.0108 | −0.06 (−0.08, −0.03) | <0.0001 |
| CAD | 0.09 (0.06, 0.11) | <0.0001 | −0.20 (−0.23, −0.17) | <0.0001 | −0.09 (−0.11, −0.07) | <0.0001 |
| HLD | 0.04 (0.02, 0.06) | 0.0005 | −0.04 (−0.07, −0.01) | 0.0085 | −0.08 (−0.10, −0.06) | <0.0001 |
| Laboratory Test | ||||||
| Cr (per 0.1 mg/dL) | 0.00 (−0.00, 0.00) | 0.6197 | 0.00 (0.00, 0.00) | 0.0343 | −0.00 (−0.00, −0.00) | <0.0001 |
| BUN (per 10 mg/dL) | 0.01 (0.01, 0.02) | 0.0002 | −0.01 (−0.01, −0.00) | 0.0274 | −0.01 (−0.01, −0.01) | <0.0001 |
| AST (per 20 U/L) | 0.01 (0.00, 0.01) | <0.0001 | 0.00 (−0.00, 0.01) | 0.1021 | −0.00 (−0.00, 0.00) | 0.1304 |
| ALT (per 20 U/L) | 0.01 (0.00, 0.01) | 0.0003 | 0.00 (0.00, 0.01) | 0.0481 | −0.00 (−0.00, −0.00) | 0.0001 |
| GLU (per 10 mg/dL) | 0.00 (0.00, 0.01) | <0.0001 | 0.00 (−0.00, 0.00) | 0.5529 | −0.00 (−0.00, −0.00) | <0.0001 |
| TnI (per 100 pg/mL) | 0.00 (0.00, 0.00) | <0.0001 | −0.00 (−0.00, 0.00) | 0.2880 | −0.00 (−0.00, 0.00) | 0.1526 |
| CRP (per 1 mg/L) | 0.01 (0.00, 0.01) | <0.0001 | 0.02 (0.02, 0.03) | <0.0001 | 0.00 (0.00, 0.00) | 0.0286 |
| WBC (per 103/µL) | 0.01 (0.01, 0.01) | <0.0001 | 0.01 (0.01, 0.01) | <0.0001 | 0.00 (0.00, 0.01) | <0.0001 |
| PLT (per 10 × 103/µL) | 0.00 (0.00, 0.00) | <0.0001 | −0.00 (−0.00, 0.00) | 0.0699 | 0.00 (0.00, 0.00) | <0.0001 |
| Number of visits | ||||||
| Triage code—Level 1 | 0.01 (0.01, 0.02) | <0.0001 | 0.03 (0.02, 0.04) | <0.0001 | 0.00 (−0.00, 0.01) | 0.1002 |
| Triage code—Level 2 | 0.01 (0.00, 0.01) | <0.0001 | 0.02 (0.02, 0.02) | <0.0001 | 0.00 (0.00, 0.00) | 0.0106 |
| Triage code—Level 3 | 0.00 (0.00, 0.00) | <0.0001 | 0.01 (0.01, 0.01) | <0.0001 | 0.00 (0.00, 0.00) | 0.0040 |
| Triage code—Level 4 | 0.00 (−0.01, 0.01) | 0.8606 | 0.02 (0.01, 0.03) | 0.0016 | −0.00 (−0.01, 0.01) | 0.8722 |
| Trauma | 0.01 (0.00, 0.01) | 0.0001 | 0.02 (0.02, 0.03) | <0.0001 | 0.00 (0.00, 0.01) | <0.0001 |
| Fever | 0.01 (0.00, 0.01) | <0.0001 | 0.02 (0.02, 0.02) | <0.0001 | 0.00 (0.00, 0.00) | 0.0109 |
| Coma | 0.02 (0.01, 0.02) | <0.0001 | 0.04 (0.03, 0.05) | <0.0001 | 0.00 (0.00, 0.01) | 0.0228 |
| Chest pain | 0.01 (0.00, 0.01) | 0.0003 | 0.03 (0.02, 0.03) | <0.0001 | 0.00 (−0.00, 0.00) | 0.7525 |
| Abdomen pain | 0.01 (0.01, 0.01) | <0.0001 | 0.02 (0.02, 0.03) | <0.0001 | 0.00 (0.00, 0.00) | 0.0487 |
| Time Information | ||||||
| Holiday | −0.05 (−0.07, −0.03) | <0.0001 | −0.08 (−0.10, −0.05) | <0.0001 | −0.00 (−0.02, 0.01) | 0.6069 |
| Week | 0.0012 | <0.0001 | 0.5472 | |||
| Sunday | 0.00 | 0.00 | 0.00 | |||
| Monday | 0.05 (0.01, 0.08) | 0.0058 | 0.07 (0.02, 0.12) | 0.0083 | 0.02 (−0.01, 0.04) | 0.2523 |
| Tuesday | 0.06 (0.03, 0.10) | 0.0005 | 0.09 (0.03, 0.14) | 0.0012 | 0.01 (−0.02, 0.03) | 0.6595 |
| Wednesday | 0.05 (0.01, 0.08) | 0.0063 | 0.08 (0.03, 0.13) | 0.0024 | −0.00 (−0.03, 0.02) | 0.8183 |
| Thursday | 0.05 (0.01, 0.08) | 0.0090 | 0.07 (0.02, 0.12) | 0.0065 | 0.02 (−0.00, 0.05) | 0.0880 |
| Friday | 0.03 (−0.00, 0.07) | 0.0532 | 0.03 (−0.03, 0.08) | 0.3271 | 0.01 (−0.02, 0.03) | 0.5311 |
| Saturday | 0.00 (−0.03, 0.04) | 0.8564 | −0.03 (−0.09, 0.02) | 0.2114 | 0.01 (−0.02, 0.03) | 0.5565 |
| Time Interval (19:30—07:30) | 0.01 (−0.01, 0.03) | 0.4917 | −0.13 (−0.16, −0.10) | <0.0001 | −0.02 (−0.03, −0.01) | 0.0077 |
| COVID-19 € | Difference ※ | ||||
|---|---|---|---|---|---|
| Before | After | Crude | Adjust (1) | Adjust (2) | |
| All Visits | |||||
| All | 3.94 ± 5.87 | 3.86 ± 5.66 | −0.07 (−0.13, −0.02) ⁑ | −0.11 (−0.16, −0.05) ⁂ | 0.02 (−0.03, 0.08) |
| Triage Code | |||||
| Level 1 | 9.08 ± 9.34 | 7.96 ± 8.39 | −1.11 (−1.61, −0.62) ⁂ | −1.14 (−1.63, −0.65) ⁂ | −0.22 (−0.76, 0.31) |
| Level 2 | 6.37 ± 7.12 | 6.21 ± 6.78 | −0.16 (−0.33, 0.01) | −0.25 (−0.42, −0.07) ⁑ | 0.10 (−0.09, 0.29) |
| Level 3 | 3.36 ± 5.21 | 3.38 ± 5.13 | 0.01 (−0.04, 0.07) | −0.05 (−0.10, 0.01) | 0.01 (−0.05, 0.07) |
| Level 4 | 1.80 ± 4.28 | 1.88 ± 4.51 | 0.08 (−0.10, 0.26) | 0.07 (−0.11, 0.25) | 0.05 (−0.15, 0.25) |
| Disease Tag | |||||
| Coma | 7.81 ± 8.18 | 7.10 ± 7.58 | −0.71 (−1.18, −0.23) ⁑ | −0.67 (−1.14, −0.20) ⁑ | 0.13 (−0.38, 0.64) |
| Chest pain | 4.83 ± 6.43 | 4.62 ± 5.94 | −0.21 (−0.45, 0.02) | −0.10 (−0.32, 0.12) | 0.11 (−0.13, 0.35) |
| Abdomen pain | 4.43 ± 5.50 | 4.33 ± 5.53 | −0.10 (−0.25, 0.05) | −0.17 (−0.32, −0.03) * | −0.04 (−0.20, 0.12) |
| Trauma | 2.39 ± 4.25 | 2.42 ± 4.52 | 0.03 (−0.06, 0.12) | −0.00 (−0.09, 0.09) | −0.03 (−0.13, 0.06) |
| Fever | 4.56 ± 6.54 | 4.64 ± 6.11 | 0.08 (−0.09, 0.25) | −0.25 (−0.42, −0.09) ⁑ | 0.00 (−0.17, 0.18) |
| Admitted | |||||
| All | 7.71 ± 8.35 | 6.91 ± 7.76 | −0.80 (−0.97, −0.62) ⁂ | −0.75 (−0.93, −0.58) ⁂ | −0.02 (−0.21, 0.17) |
| Triage Code | |||||
| Level 1 | 9.85 ± 9.86 | 8.27 ± 8.56 | −1.58 (−2.25, −0.91) ⁂ | −1.73 (−2.40, −1.07) ⁂ | −0.57 (−1.29, 0.15) |
| Level 2 | 8.06 ± 8.25 | 7.26 ± 7.76 | −0.79 (−1.10, −0.48) ⁂ | −0.82 (−1.13, −0.50) ⁂ | −0.06 (−0.40, 0.28) |
| Level 3 | 7.11 ± 7.97 | 6.52 ± 7.52 | −0.59 (−0.82, −0.37) ⁂ | −0.57 (−0.79, −0.35) ⁂ | 0.06 (−0.18, 0.31) |
| Level 4 | 7.55 ± 10.06 | 6.42 ± 9.72 | −1.13 (−2.77, 0.52) | −1.32 (−2.91, 0.26) | −0.89 (−2.72, 0.94) |
| Disease Tag | |||||
| Coma | 8.78 ± 8.80 | 7.74 ± 8.11 | −1.04 (−1.73, −0.34) ⁑ | −1.03 (−1.72, −0.34) ⁑ | 0.22 (−0.52, 0.97) |
| Chest pain | 9.65 ± 9.87 | 8.83 ± 9.46 | −0.82 (−1.80, 0.17) | −0.77 (−1.73, 0.19) | 0.42 (−0.63, 1.46) |
| Abdomen pain | 7.68 ± 7.54 | 6.80 ± 7.07 | −0.89 (−1.31, −0.46) ⁂ | −0.87 (−1.29, −0.44) ⁂ | −0.40 (−0.86, 0.06) |
| Trauma | 6.63 ± 7.28 | 6.13 ± 7.42 | −0.50 (−0.98, −0.02) * | −0.42 (−0.89, 0.05) | 0.08 (−0.44, 0.60) |
| Fever | 7.48 ± 8.37 | 6.46 ± 7.27 | −1.02 (−1.39, −0.66) ⁂ | −1.01 (−1.38, −0.64) ⁂ | −0.14 (−0.54, 0.25) |
| Non-Admitted | |||||
| All | 3.16 ± 4.86 | 3.09 ± 4.69 | −0.06 (−0.11, −0.01) * | −0.08 (−0.13, −0.03) ⁑ | −0.06 (−0.11, −0.00) * |
| Triage Code | |||||
| Level 1 | 8.04 ± 8.49 | 7.48 ± 8.09 | −0.56 (−1.28, 0.17) | −0.56 (−1.26, 0.15) | 0.05 (−0.71, 0.82) |
| Level 2 | 5.44 ± 6.21 | 5.46 ± 5.88 | 0.02 (−0.18, 0.21) | −0.10 (−0.30, 0.09) | 0.01 (−0.20, 0.22) |
| Level 3 | 2.83 ± 4.43 | 2.81 ± 4.34 | −0.02 (−0.07, 0.04) | −0.07 (−0.12, −0.02) ⁑ | −0.08 (−0.13, −0.02) ⁑ |
| Level 4 | 1.49 ± 3.48 | 1.54 ± 3.62 | 0.04 (−0.11, 0.20) | 0.03 (−0.12, 0.18) | 0.00 (−0.16, 0.17) |
| Disease Tag | |||||
| Coma | 6.77 ± 7.31 | 6.34 ± 6.82 | −0.44 (−1.06, 0.19) | −0.49 (−1.10, 0.12) | −0.10 (−0.77, 0.57) |
| Chest pain | 4.17 ± 5.48 | 3.94 ± 4.82 | −0.22 (−0.44, −0.01) * | −0.11 (−0.31, 0.10) | −0.06 (−0.29, 0.16) |
| Abdomen pain | 3.65 ± 4.56 | 3.55 ± 4.68 | −0.11 (−0.25, 0.04) | −0.18 (−0.32, −0.04) * | −0.13 (−0.28, 0.02) |
| Trauma | 1.97 ± 3.55 | 1.97 ± 3.79 | 0.00 (−0.08, 0.08) | −0.02 (−0.09, 0.06) | −0.09 (−0.18, −0.01) * |
| Fever | 3.56 ± 5.44 | 3.68 ± 5.15 | 0.11 (−0.06, 0.28) | −0.11 (−0.28, 0.05) | −0.04 (−0.22, 0.14) |
| COVID-19 € | Hazard Ratio ※ | ||||
|---|---|---|---|---|---|
| Before | After | Crude | Adjust (1) | Adjust (2) | |
| Discharge without Death † | |||||
| All | 36,728 (94.40%) | 10,059 (95.08%) | 1.08 (1.06, 1.11) ⁂ | 1.08 (1.05, 1.10) ⁂ | 1.06 (1.03, 1.08) ⁂ |
| Triage code | |||||
| Level 1 | 3122 (77.76%) | 758 (76.72%) | 0.97 (0.89, 1.05) | 0.99 (0.91, 1.07) | 1.00 (0.91, 1.09) |
| Level 2 | 11,939 (94.04%) | 3108 (95.10%) | 1.05 (1.01, 1.09) * | 1.06 (1.02, 1.10) ⁑ | 1.05 (1.00, 1.10) * |
| Level 3 | 21,125 (97.64%) | 6006 (97.91%) | 1.08 (1.05, 1.11) ⁂ | 1.07 (1.04, 1.10) ⁂ | 1.05 (1.01, 1.08) ⁑ |
| Level 4 | 542 (96.79%) | 187 (98.94%) | 1.55 (1.30, 1.83) ⁂ | 1.40 (1.18, 1.67) ⁂ | 1.48 (1.21, 1.80) ⁂ |
| Disease tag | |||||
| Coma | 2287 (82.92%) | 650 (85.19%) | 1.15 (1.05, 1.25) ⁑ | 1.15 (1.05, 1.25) ⁑ | 1.17 (1.06, 1.29) ⁑ |
| Chest pain | 1621 (95.63%) | 469 (95.33%) | 1.04 (0.94, 1.15) | 1.06 (0.96, 1.18) | 1.06 (0.95, 1.20) |
| Abdomen pain | 5021 (96.37%) | 1485 (97.25%) | 1.09 (1.03, 1.16) ⁑ | 1.06 (1.00, 1.12) * | 1.00 (0.94, 1.07) |
| Trauma | 3875 (97.46%) | 1130 (98.35%) | 1.22 (1.14, 1.30) ⁂ | 1.18 (1.10, 1.26) ⁂ | 1.16 (1.08, 1.25) ⁂ |
| Fever | 8856 (95.51%) | 2306 (96.20%) | 1.02 (0.97, 1.07) | 1.04 (0.99, 1.09) | 1.04 (0.99, 1.10) |
| Re-Admission in 30 Days | |||||
| All | 4503 (12.26%) | 1155 (11.48%) | 0.93 (0.87, 0.99) * | 0.91 (0.86, 0.97) ⁑ | 0.92 (0.86, 0.99) * |
| Triage code | |||||
| Level 1 | 385 (12.33%) | 91 (12.01%) | 0.97 (0.77, 1.22) | 0.94 (0.74, 1.18) | 0.93 (0.73, 1.20) |
| Level 2 | 1668 (13.97%) | 419 (13.48%) | 0.96 (0.86, 1.06) | 0.93 (0.84, 1.04) | 0.93 (0.82, 1.04) |
| Level 3 | 2377 (11.25%) | 634 (10.56%) | 0.93 (0.85, 1.02) | 0.91 (0.84, 1.00) * | 0.92 (0.84, 1.02) |
| Level 4 | 73 (13.47%) | 11 (5.88%) | 0.42 (0.22, 0.80) ⁑ | 0.45 (0.23, 0.86) * | 0.54 (0.26, 1.10) |
| Disease tag | |||||
| Coma | 326 (14.25%) | 88 (13.54%) | 0.93 (0.74, 1.18) | 0.92 (0.72, 1.16) | 0.90 (0.70, 1.16) |
| Chest pain | 197 (12.15%) | 47 (10.02%) | 0.82 (0.59, 1.12) | 0.77 (0.56, 1.06) | 0.77 (0.54, 1.10) |
| Abdomen pain | 645 (12.85%) | 166 (11.18%) | 0.86 (0.73, 1.02) | 0.88 (0.74, 1.04) | 0.84 (0.70, 1.02) |
| Trauma | 233 (6.01%) | 68 (6.02%) | 1.00 (0.76, 1.31) | 0.97 (0.74, 1.28) | 0.98 (0.72, 1.32) |
| Fever | 1085 (12.25%) | 280 (12.14%) | 0.99 (0.86, 1.12) | 0.92 (0.80, 1.05) | 0.90 (0.78, 1.03) |
| Death in 30 days | |||||
| All | 1989 (5.11%) | 514 (4.86%) | 0.95 (0.86, 1.05) | 0.96 (0.87, 1.06) | 0.97 (0.87, 1.08) |
| Triage code | |||||
| Level 1 | 794 (19.78%) | 212 (21.46%) | 1.10 (0.95, 1.28) | 1.05 (0.90, 1.22) | 1.05 (0.89, 1.24) |
| Level 2 | 724 (5.70%) | 177 (5.42%) | 0.95 (0.81, 1.12) | 0.91 (0.78, 1.08) | 0.96 (0.80, 1.15) |
| Level 3 | 456 (2.11%) | 124 (2.02%) | 0.96 (0.79, 1.17) | 0.94 (0.77, 1.15) | 0.93 (0.74, 1.15) |
| Level 4 | 15 (2.68%) | 1 (0.53%) | 0.20 (0.03, 1.48) | 0.27 (0.03, 2.22) | 0.17 (0.02, 1.76) |
| Disease tag | |||||
| Coma | 422 (15.30%) | 99 (12.98%) | 0.84 (0.67, 1.04) | 0.81 (0.65, 1.01) | 0.78 (0.61, 0.99) * |
| Chest pain | 62 (3.66%) | 21 (4.27%) | 1.17 (0.71, 1.91) | 1.10 (0.66, 1.83) | 0.99 (0.55, 1.78) |
| Abdomen pain | 174 (3.34%) | 38 (2.49%) | 0.74 (0.52, 1.05) | 0.83 (0.58, 1.18) | 0.94 (0.64, 1.38) |
| Trauma | 89 (2.24%) | 19 (1.65%) | 0.74 (0.45, 1.21) | 0.80 (0.49, 1.32) | 0.90 (0.52, 1.55) |
| Fever | 362 (3.90%) | 94 (3.92%) | 1.01 (0.80, 1.26) | 0.99 (0.79, 1.24) | 1.08 (0.84, 1.37) |
| COVID-19 Pandemic € | Hazard Ratio ※ | ||||
|---|---|---|---|---|---|
| Before | After | Crude | Adjust (1) | Adjust (2) | |
| ED revisit in 3 Days | |||||
| All | 3313 (1.76%) | 742 (1.77%) | 1.00 (0.93, 1.09) | 0.96 (0.88, 1.03) | 0.96 (0.88, 1.05) |
| Triage code | |||||
| Level 1 | 27 (0.90%) | 5 (0.79%) | 0.88 (0.34, 2.29) | 0.90 (0.34, 2.34) | 0.63 (0.20, 1.98) |
| Level 2 | 409 (1.78%) | 91 (1.99%) | 1.12 (0.89, 1.40) | 1.09 (0.87, 1.37) | 1.09 (0.85, 1.40) |
| Level 3 | 2507 (1.65%) | 575 (1.68%) | 1.02 (0.93, 1.11) | 0.96 (0.88, 1.05) | 0.97 (0.88, 1.07) |
| Level 4 | 370 (3.51%) | 71 (2.83%) | 0.80 (0.62, 1.03) | 0.90 (0.70, 1.16) | 0.90 (0.68, 1.20) |
| Disease tag | |||||
| Coma | 34 (1.31%) | 12 (1.88%) | 1.43 (0.74, 2.77) | 1.35 (0.69, 2.62) | 1.37 (0.65, 2.93) |
| Chest pain | 249 (2.03%) | 48 (1.57%) | 0.77 (0.57, 1.05) | 0.78 (0.57, 1.06) | 0.86 (0.62, 1.20) |
| Abdomen pain | 319 (1.46%) | 65 (1.36%) | 0.93 (0.71, 1.21) | 0.86 (0.65, 1.12) | 0.91 (0.68, 1.21) |
| Trauma | 427 (1.08%) | 89 (0.94%) | 0.87 (0.69, 1.10) | 0.83 (0.66, 1.04) | 0.76 (0.59, 0.98) * |
| Fever | 377 (1.38%) | 83 (1.83%) | 1.32 (1.04, 1.68) * | 1.33 (1.05, 1.69) * | 1.26 (0.96, 1.64) |
| Admission in 30 Days | |||||
| All | 5718 (3.04%) | 1431 (3.41%) | 1.12 (1.06, 1.19) ⁂ | 1.07 (1.01, 1.14) * | 1.09 (1.03, 1.16) ⁑ |
| Triage code | |||||
| Level 1 | 81 (2.71%) | 15 (2.39%) | 0.88 (0.51, 1.53) | 1.00 (0.58, 1.75) | 1.25 (0.69, 2.28) |
| Level 2 | 985 (4.30%) | 239 (5.24%) | 1.23 (1.06, 1.41) ⁑ | 1.22 (1.06, 1.41) ⁑ | 1.26 (1.08, 1.47) ⁑ |
| Level 3 | 4317 (2.85%) | 1101 (3.21%) | 1.13 (1.06, 1.21) ⁂ | 1.06 (0.99, 1.13) | 1.07 (1.00, 1.15) |
| Level 4 | 335 (3.18%) | 76 (3.03%) | 0.95 (0.74, 1.22) | 0.98 (0.76, 1.25) | 1.03 (0.78, 1.35) |
| Disease tag | |||||
| Coma | 81 (3.13%) | 21 (3.28%) | 1.05 (0.65, 1.69) | 1.08 (0.66, 1.75) | 1.52 (0.90, 2.56) |
| Chest pain | 340 (2.77%) | 103 (3.37%) | 1.22 (0.98, 1.52) | 1.28 (1.03, 1.60) * | 1.59 (1.25, 2.03) ⁂ |
| Abdomen pain | 768 (3.53%) | 207 (4.33%) | 1.24 (1.06, 1.44) ⁑ | 1.14 (0.97, 1.33) | 1.10 (0.93, 1.31) |
| Trauma | 712 (1.80%) | 157 (1.66%) | 0.92 (0.78, 1.10) | 0.88 (0.74, 1.05) | 0.88 (0.73, 1.07) |
| Fever | 466 (1.71%) | 102 (2.25%) | 1.32 (1.06, 1.63) * | 1.16 (0.94, 1.44) | 1.10 (0.87, 1.39) |
| Death in 30 Days | |||||
| All | 139 (0.07%) | 39 (0.09%) | 1.26 (0.88, 1.79) | 1.18 (0.83, 1.69) | 1.23 (0.83, 1.80) |
| Triage code | |||||
| Level 1 | 5 (0.17%) | 3 (0.48%) | 2.86 (0.68, 11.97) | 3.52 (0.78, 15.81) | 1.94 (0.32, 11.72) |
| Level 2 | 26 (0.11%) | 8 (0.18%) | 1.55 (0.70, 3.41) | 1.49 (0.68, 3.30) | 1.84 (0.76, 4.41) |
| Level 3 | 100 (0.07%) | 25 (0.07%) | 1.11 (0.71, 1.71) | 1.00 (0.64, 1.55) | 1.02 (0.63, 1.63) |
| Level 4 | 8 (0.08%) | 3 (0.12%) | 1.57 (0.42, 5.93) | 1.22 (0.27, 5.47) | 1.75 (0.32, 9.53) |
| Disease tag | |||||
| Coma | 6 (0.23%) | 0 (0.00%) | 0.00 (0.00, Inf) | 0.00 (0.00, Inf) | 0.00 (0.00, Inf) |
| Chest pain | 5 (0.04%) | 5 (0.16%) | 4.02 (1.16, 13.87) * | 5.01 (1.40, 17.86) * | 5.40 (1.28, 22.84) * |
| Abdomen pain | 23 (0.11%) | 5 (0.10%) | 0.99 (0.38, 2.61) | 0.77 (0.29, 2.04) | 0.79 (0.28, 2.25) |
| Trauma | 10 (0.03%) | 5 (0.05%) | 2.10 (0.72, 6.13) | 2.07 (0.70, 6.09) | 2.50 (0.72, 8.69) |
| Fever | 5 (0.02%) | 0 (0.00%) | 0.00 (0.00, Inf) | 0.00 (0.00, Inf) | 0.00 (0.00, Inf) |
Publisher’s Note: MDPI stays neutral with regard to jurisdictional claims in published maps and institutional affiliations. |
© 2021 by the authors. Licensee MDPI, Basel, Switzerland. This article is an open access article distributed under the terms and conditions of the Creative Commons Attribution (CC BY) license (http://creativecommons.org/licenses/by/4.0/).
Share and Cite
Chen, J.Y.-H.; Chang, F.-Y.; Lin, C.-S.; Wang, C.-H.; Tsai, S.-H.; Lee, C.-C.; Chen, S.-J. Impact of the COVID-19 Pandemic on the Loading and Quality of an Emergency Department in Taiwan: Enlightenment from a Low-Risk Country in a Public Health Crisis. J. Clin. Med. 2021, 10, 1150. https://doi.org/10.3390/jcm10061150
Chen JY-H, Chang F-Y, Lin C-S, Wang C-H, Tsai S-H, Lee C-C, Chen S-J. Impact of the COVID-19 Pandemic on the Loading and Quality of an Emergency Department in Taiwan: Enlightenment from a Low-Risk Country in a Public Health Crisis. Journal of Clinical Medicine. 2021; 10(6):1150. https://doi.org/10.3390/jcm10061150
Chicago/Turabian StyleChen, Jamie Yu-Hsuan, Feng-Yee Chang, Chin-Sheng Lin, Chih-Hung Wang, Shih-Hung Tsai, Chia-Cheng Lee, and Sy-Jou Chen. 2021. "Impact of the COVID-19 Pandemic on the Loading and Quality of an Emergency Department in Taiwan: Enlightenment from a Low-Risk Country in a Public Health Crisis" Journal of Clinical Medicine 10, no. 6: 1150. https://doi.org/10.3390/jcm10061150
APA StyleChen, J. Y.-H., Chang, F.-Y., Lin, C.-S., Wang, C.-H., Tsai, S.-H., Lee, C.-C., & Chen, S.-J. (2021). Impact of the COVID-19 Pandemic on the Loading and Quality of an Emergency Department in Taiwan: Enlightenment from a Low-Risk Country in a Public Health Crisis. Journal of Clinical Medicine, 10(6), 1150. https://doi.org/10.3390/jcm10061150

