Associations of Exercise Habits in Adolescence and Old Age with Risk of Osteoporosis in Older Adults: The Bunkyo Health Study
Abstract
1. Introduction
2. Methods
2.1. Study Design and Participants
2.2. BMD and Definitions of Osteoporosis
2.3. Other Measurements
2.4. Statistical Analysis
3. Results
3.1. Characteristics of the Groups Defined by Exercise Habits in Men and Women
3.2. Exercise Habits and ORs for Osteoporosis
4. Discussion
Supplementary Materials
Author Contributions
Funding
Institutional Review Board Statement
Informed Consent Statement
Data Availability Statement
Acknowledgments
Conflicts of Interest
References
- Statistics Bureau Ministry of Internal Affairs and Communications. Elderly People in Japan (65 Years Old and Over) Based on Statistics-Respect for the Aged Day. 2020. Available online: https://www.stat.go.jp/data/topics/topi1261.html (accessed on 28 October 2021).
- Health and Welfare Bureau for the Elderly, Ministry of Health, Labour and Welfare. Report on Long-Term Care Insurance Service. 2020. Available online: https://www.mhlw.go.jp/topics/kaigo/osirase/jigyo/18/index.html (accessed on 28 October 2021).
- Tsutsui, T. The current state and future development of the long-term care insurance system in Japan. J. Natl. Inst. Public Health 2010, 59, 372–379. [Google Scholar]
- Rubenstein, L.Z. Falls in older people: Epidemiology, risk factors and strategies for prevention. Age Ageing 2006, 35 (Suppl. S2), ii37–ii41. [Google Scholar] [CrossRef]
- Chang, V.C.; Do, M.T. Risk factors for falls among seniors: Implications of gender. Am. J. Epidemiol. 2015, 181, 521–531. [Google Scholar] [CrossRef] [PubMed]
- Cooper, C.; Campion, G.; Melton, L.J., 3rd. Hip fractures in the elderly: A world-wide projection. Osteoporos. Int. 1992, 2, 285–289. [Google Scholar] [CrossRef] [PubMed]
- NIH Consensus Development Panel on Osteoporosis Prevention, Diagnosis, and Therapy. Osteoporosis prevention, diagnosis, and therapy. JAMA 2001, 285, 785–795. [Google Scholar] [CrossRef] [PubMed]
- Frost, H.M.; Schönau, E. The “muscle-bone unit” in children and adolescents: A 2000 overview. J. Pediatr. Endocrinol. Metab. 2000, 13, 571–590. [Google Scholar] [CrossRef] [PubMed]
- Frost, H.M. Bone’s mechanostat: A 2003 update. Anat. Rec. A Discov. Mol. Cell Evol. Biol. 2003, 275, 1081–1101. [Google Scholar] [CrossRef]
- Nuti, R.; Brandi, M.L.; Checchia, G.; Di Munno, O.; Dominguez, L.; Falaschi, P.; Fiore, C.E.; Iolascon, G.; Maggi, S.; Michieli, R.; et al. Guidelines for the management of osteoporosis and fragility fractures. Intern. Emerg. Med. 2019, 14, 85–102. [Google Scholar] [CrossRef]
- Zhu, X.; Zheng, H. Factors influencing peak bone mass gain. Front. Med. 2021, 15, 53–69. [Google Scholar] [CrossRef]
- Karlsson, M.K.; Rosengren, B.E. Exercise and Peak Bone Mass. Curr. Osteoporos. Rep. 2020, 18, 285–290. [Google Scholar] [CrossRef]
- Hernandez, C.J.; Beaupré, G.S.; Carter, D.R. A theoretical analysis of the relative influences of peak BMD, age-related bone loss and menopause on the development of osteoporosis. Osteoporos. Int. 2003, 14, 843–847. [Google Scholar] [CrossRef]
- Hendrickx, G.; Boudin, E.; Van Hul, W. A look behind the scenes: The risk and pathogenesis of primary osteoporosis. Nat. Rev. Rheumatol. 2015, 11, 462–474. [Google Scholar] [CrossRef]
- Wallace, B.A.; Cumming, R.G. Systematic review of randomized trials of the effect of exercise on bone mass in pre- and postmenopausal women. Calcif. Tissue Int. 2000, 67, 10–18. [Google Scholar] [CrossRef] [PubMed]
- Michel, B.A.; Lane, N.E.; Björkengren, A.; Bloch, D.A.; Fries, J.F. Impact of running on lumbar bone density: A 5-year longitudinal study. J. Rheumatol. 1992, 19, 1759–1763. [Google Scholar]
- Kopiczko, A. Bone mineral density in old age: The influence of age at menarche, menopause status and habitual past and present physical activity. Arch. Med. Sci. 2020, 16, 657–665. [Google Scholar] [CrossRef] [PubMed]
- Rianon, N.; Lang, T.; Sigurdsson, G.; Eiriksdottir, G.; Sigurdsson, S.; Garcia, M.; Pajala, S.; Koster, A.; Yu, B.; Selwyn, B.J.; et al. Lifelong physical activity in maintaining bone strength in older men and women of the Age, Gene/Environment Susceptibility–Reykjavik Study. Osteoporos. Int. 2012, 23, 2303–2312. [Google Scholar] [CrossRef] [PubMed][Green Version]
- Someya, Y.; Tamura, Y.; Kaga, H.; Nojiri, S.; Shimada, K.; Daida, H.; Ishijima, M.; Kaneko, K.; Aoki, S.; Miida, T.; et al. Skeletal muscle function and need for long-term care of urban elderly people in Japan (the Bunkyo Health Study): A prospective cohort study. BMJ Open 2019, 9, e031584. [Google Scholar] [CrossRef]
- Bazzocchi, A.; Ponti, F.; Albisinni, U.; Battista, G.; Guglielmi, G. DXA: Technical aspects and application. Eur. J. Radiol. 2016, 85, 1481–1492. [Google Scholar] [CrossRef]
- Kanis, J.A. Assessment of fracture risk and its application to screening for postmenopausal osteoporosis: Synopsis of a WHO report. WHO Study Group. Osteoporos. Int. 1994, 4, 368–381. [Google Scholar] [CrossRef]
- Soen, S.; Fukunaga, M.; Sugimoto, T.; Sone, T.; Fujiwara, T.; Endo, N.; Gorai, I.; Shiraki, M.; Hagino, H.; Hosoi, T.; et al. Diagnostic criteria for primary osteoporosis: Year 2012 revision. J. Bone Miner. Metab. 2013, 31, 247–257. [Google Scholar] [CrossRef]
- Murase, N.; Katsumura, T.; Ueda, C.; Inoue, S.; Shimomitsu, T. International standardization of physical activity level: Reliability and validity study of the Japanese version of the International Physical Activity Questionnaire (IPAQ) (Kosei no Shihyo). J. Health Welf. Stat. 2002, 49, 1–9. [Google Scholar]
- Craig, C.L.; Marshall, A.L.; Sjöström, M.; Bauman, A.E.; Booth, M.L.; Ainsworth, B.E.; Pratt, M.; Ekelund, U.; Yngve, A.; Sallis, J.F.; et al. International physical activity questionnaire: 12-country reliability and validity. Med. Sci. Sports Exerc. 2003, 35, 1381–1395. [Google Scholar] [CrossRef]
- Kobayashi, S.; Murakami, K.; Sasaki, S.; Okubo, H.; Hirota, N.; Notsu, A.; Fukui, M.; Date, C. Comparison of relative validity of food group intakes estimated by comprehensive and brief-type self-administered diet history questionnaires against 16 d dietary records in Japanese adults. Public Health Nutr. 2011, 14, 1200–1211. [Google Scholar] [CrossRef] [PubMed]
- Kobayashi, S.; Honda, S.; Murakami, K.; Sasaki, S.; Okubo, H.; Hirota, N.; Notsu, A.; Fukui, M.; Date, C. Both comprehensive and brief self-administered diet history questionnaires satisfactorily rank nutrient intakes in Japanese adults. J. Epidemiol. 2012, 22, 151–159. [Google Scholar] [CrossRef]
- Cave, P. Bukatsudo: The educational role of Japanese school clubs. J. Jpn. Stud. 2004, 30, 383–415. [Google Scholar] [CrossRef]
- Xu, J.; Lombardi, G.; Jiao, W.; Banfi, G. Effects of exercise on bone status in female subjects, from young girls to postmenopausal women: An overview of systematic reviews and meta-analyses. Sports Med. 2016, 46, 1165–1182. [Google Scholar] [CrossRef]
- Snow-Harter, C.; Marcus, R. Exercise, bone mineral density, and osteoporosis. Exerc. Sport Sci. Rev. 1991, 19, 351–388. [Google Scholar] [CrossRef]
- Bass, M.A.; Sharma, A.; Nahar, V.K.; Chelf, S.; Zeller, B.; Pham, L.; Ford, M.A. Bone mineral density among men and women aged 35 to 50 years. J. Am. Osteopath Assoc. 2019, 119, 357–363. [Google Scholar] [CrossRef] [PubMed]
- Yoshimura, N.; Muraki, S.; Oka, H.; Mabuchi, A.; En-Yo, Y.; Yoshida, M.; Saika, A.; Yoshida, H.; Suzuki, T.; Yamamoto, S.; et al. Prevalence of knee osteoarthritis, lumbar spondylosis, and osteoporosis in Japanese men and women: The research on osteoarthritis/osteoporosis against disability study. J. Bone Miner. Metab. 2009, 27, 620–628. [Google Scholar] [CrossRef]
- Ohta, H.; Uenishi, K.; Shiraki, M. Recent nutritional trends of calcium and vitamin d in east asia. Osteoporos. Sarcopenia 2016, 2, 208–213. [Google Scholar] [CrossRef]
- Wade, S.W.; Strader, C.; Fitzpatrick, L.A.; Anthony, M.S.; O’Malley, C.D. Estimating prevalence of osteoporosis: Examples from industrialized countries. Arch. Osteoporos. 2014, 9, 182. [Google Scholar] [CrossRef] [PubMed]
- Stojanović, E.; Radovanović, D.; Dalbo, V.J.; Jakovljević, V.; Ponorac, N.; Agostinete, R.R.; Svoboda, Z.; Scanlan, A.T. Basketball players possess a higher bone mineral density than matched non-athletes, swimming, soccer, and volleyball athletes: A systematic review and meta-analysis. Arch. Osteoporos. 2020, 15, 123. [Google Scholar] [CrossRef] [PubMed]
- Agostinete, R.R.; Maillane-Vanegas, S.; Lynch, K.R.; Turi-Lynch, B.; Coelho, E.S.M.J.; Campos, E.Z.; Cayres, S.U.; Araújo Fernandes, R. The impact of training load on bone mineral density of adolescent swimmers: A structural equation modeling approach. Pediatr. Exerc. Sci. 2017, 29, 520–528. [Google Scholar] [CrossRef] [PubMed]
- Bachrach, L.K. Acquisition of optimal bone mass in childhood and adolescence. Trends Endocrinol. Metab. 2001, 12, 22–28. [Google Scholar] [CrossRef]



| None-None | None-Active | Active-None | Active-Active | p-Value | |
|---|---|---|---|---|---|
| Number (%) | 86 (12.6) | 167 (24.5) | 153 (22.5) | 275 (40.1) | |
| Age (in years) | 74 (69–79) | 74 (69–78) | 72 (68–77) | 72 (68–76) b | p = 0.032 |
| Height (cm) | 164.9 (161.3–168.3) | 165.4 (160.6–169.0) | 166.0 (162.1–170.1) | 166.2 (161.5–170.8) | p = 0.143 |
| Bodyweight (kg) | 66.9 (62.0–71.3) | 63.3 (57.5–68.9) a | 66.6 (60.9–71.7) b | 64.9 (59.3–71.9) | p = 0.003 |
| Body fat (%) | 19.1 (16.8–22.6) | 18.2 (15.6–21.7) | 18.1 (15.4–21.3) | 17.3 (14.5–19.8) a,b,c | p = 0.000 |
| BMI (kg/m2) | 24.7 (23.0–26.0) | 23.6 (21.7–25.4) a | 23.8 (22.3–25.5) | 23.5 (21.9–25.5) a | p = 0.003 |
| Calcium intake (mg/day) | 591 (470–786) | 604 (485–844) | 633 (477–821) | 673 (498–873) | p = 0.162 |
| Alcohol intake (g/day) | 11.3 (0.00–32.4) | 7.59 (0.23–28.2) | 14.7 (0.00–39.4) | 16.7 (1.39–43.7) b | p = 0.005 |
| Physical activity (METs hour/week) * | 19.8 (11.2–35.6) | 37.4 (23.1–37.2) a | 23.1 (13.2–37.2) b | 39.8 (23.1–67.2) a,c | p = 0.000 |
| Current smoking (n/%) | 12 (14.0) | 13 (7.8) | 29 (19.0) | 36 (13.1) | p = 0.033 |
| Smoking history (n/%) | 52 (60.5) | 116 (69.5) | 121 (79.1) | 208 (75.6) | p = 0.008 |
| Taking osteoporosis medication (n/%) | 1 (1.2) | 1 (0.6) | 1 (0.7) | 2 (0.7) | p = 0.965 |
| Diabetes mellitus (n/%) | 14 (16.3) | 28 (16.8) | 31 (20.3) | 50 (18.2) | p = 0.831 |
| Hypertension (n/%) | 36 (41.9) | 77 (46.1) | 79 (53.4) | 113 (43.0) | p = 0.186 |
| Cancer (n/%) | 9 (10.5) | 26 (15.6) | 36 (24.3) § | 38 (14.4) | p = 0.020 |
| Osteoporosis—Hip Joint (n/%) | 4 (4.7) | 8 (4.8) | 17 (11.1) | 17 (6.2) | p = 0.094 |
| Osteoporosis—Lumbar spine (n/%) | 1 (1.2) | 4 (2.4) | 7 (4.6) | 5 (1.8) | p = 0.276 |
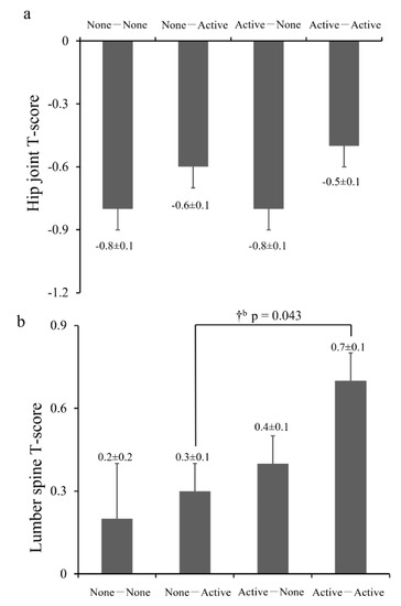
| Hip joint T-score (SD) | −0.8 (−1.6–−0.2) | −0.8 (−1.5–0.3) | −0.9 (−1.8–0.1) | −0.6 (−1.4–0.3) | p = 0.102 |
| Lumbar spine T-score (SD) | 0.1 (−0.9–1.4) | 0.1 (−0.9–−1.1) | 0.4 (−0.8–1.6) | 0.5 (−0.5–1.8) b | p = 0.034 |
| 25(OH)D (nmol/L) | 18.8 (16.0–22.0) | 20.0 (17.0–24.0) | 18.0 (15.0–22.2) b | 20.0 (17.0–24.0) a,c | p = 0.000 |
| Glucose (mg/dL) | 94.0 (89.0–104.0) | 95.0 (90.0–104.0) | 95.5 (90.0–103.0) | 96.0 (90.0–105.0) | p = 0.661 |
| HbA1c (%) | 5.6 (5.4–5.9) | 5.7 (5.5–5.7) | 5.7 (5.5–6.1) | 5.7 (5.5–6.0) | p = 0.223 |
| Creatine (mg/dL) | 0.70 (0.61–0.81) | 0.71 (0.61–0.85) | 0.73 (0.64–0.87) | 0.71 (0.62–0.86) | p = 0.430 |
| eGFR (mL/min) | 83.4 (69.6–97.0) | 82.1 (68.7–97.5) | 79.6 (67.1–91.4) | 82.4 (67.1–95.5) | p = 0.486 |
| None-None | None-Active | Active-None | Active-Active | p-Value | |
|---|---|---|---|---|---|
| Number (%) | 159 (17.4) | 327 (35.7) | 144 (15.7) | 285 (31.1) | |
| Age (in years) | 72 (68–76) | 74 (69–78) | 73 (68–79) | 72 (68–77) b | p = 0.015 |
| Height (cm) | 152.4 (149.2–155.9) | 152.0 (148.7–154.8) | 153.0 (149.1–156.8) | 153.1 (149.3–157.2) b | p = 0.006 |
| Bodyweight (kg) | 53.4 (47.6–58.4) | 51.0 (46.4–55.2) a | 53.6 (48.1–61.4) b | 52.4 (47.5–56.8) | p = 0.001 |
| Body fat (%) | 27.2 (23.2–31.4) | 25.9 (22.1–29.2) | 27.1 (23.4–30.5) | 25.8 (22.6–28.6) a | p = 0.005 |
| BMI (kg/m2) | 23.0 (20.6–25.3) | 22.2 (20.2–24.1) | 23.1 (20.8–25.5) | 22.2(20.5–24.3) | p = 0.017 |
| Calcium intake (mg/day) | 650 (453–823) | 725 (552–898) a | 637 (488–835) | 667(514–930) | p = 0.003 |
| Alcohol intake (g/day) | 0.00 (0.00–1.17) | 0.00 (0.00–2.40) | 0.23 (0.00–3.47) | 0.47(0.00–6.62) | p = 0.048 |
| Physical activity (METs hour/week) * | 23.1 (11.6–43.1) | 31.8 (18.6–52.2) a | 19.8 (9.90–39.6) b | 33.1(19.8–57.2) a.c | p = 0.000 |
| Current smoking (n/%) | 5 (3.1) | 8 (2.4) | 5 (3.5) | 12(4.2) | p = 0.678 |
| Smoking history (n/%) | 27 (17.0) | 46 (14.0) | 28 (19.4) | 59(20.7) | p = 0.164 |
| Taking osteoporosis medication (n/%) | 22 (13.8) | 60 (18.3) | 15 (10.4) | 34(11.9) | p = 0.124 |
| Diabetes mellitus (n/%) | 13 (8.2) | 27 (8.3) | 19 (13.2) | 22(7.7) | p = 0.256 |
| Hypertension (n/%) | 74 (46.5) | 154 (47.1) | 69 (48.6) | 122 (43.7) | p = 0.771 |
| Cancer (n/%) | 22 (13.8) | 41 (12.5) | 12 (16.3) | 29 (10.4) | p = 0.417 |
| Osteoporosis—Hip Joint (n/%) | 82 (51.6) | 185 (56.5) | 82 (56.9) | 132(46.3) | p = 0.059 |
| Osteoporosis—Lumbar spine (n/%) | 60 (37.7) | 124 (37.9) | 53 (36.8) | 91(31.9) | p = 0.449 |
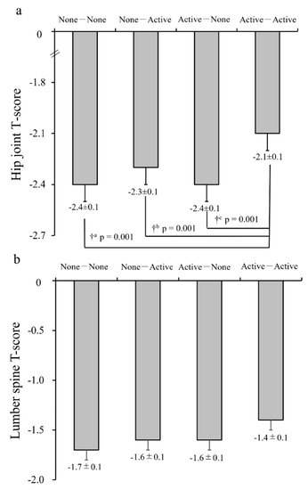
| Hip joint T-score (SD) | −2.4 (−3.0–−1.7) | −2.4 (−3.1–−1.8) | −2.5 (−3.1–−1.7) | −2.2(−2.8–−1.5) b,c | p = 0.004 |
| Lumbar spine T-score (SD) | −1.8 (−2.5–−0.8) | −1.8 (−2.6–−0.8) | −1.5 (−2.5–−0.6) | −1.5(−2.4–−0.5) | p = 0.073 |
| 25(OH)D (nmol/L) | 17.0 (14.1–21.0) | 18.0 (15.0–21.0) | 17.0 (14.8–21.0) | 18.0(15.0–21.5) | p = 0.315 |
| Glucose (mg/dL) | 96.0 (90.0–107.0) | 96.0 (91.0–104.0) | 98.0 (91.0–104.0) | 98.0 (92.0–104.0) | p = 0.326 |
| HbA1c (%) | 5.7 (5.5–6.0) | 5.7 (5.5–6.0) | 5.7 (5.5–6.1) | 5.7 (5.5–6.1) | p = 0.808 |
| Creatine (mg/dL) | 0.7 (0.6–0.82) | 0.74 (0.63–0.86) | 0.76 (0.65–0.88) a | 0.75 (0.66–0.87) a | p = 0.014 |
| eGFR (mL/min) | 63.1 (51.1–73.5) | 57.7 (48.8–69.3) | 55.0 (47.9–67.6) | 56.9 (48.6–66.7) | p = 0.011 |
| Hip Joint | |||||
|---|---|---|---|---|---|
| Gender | Group | Crude | Model 1 | Model 2 | Model 3 |
| Male | None-None | 1.00 | 1.00 | 1.00 | 1.00 |
| None-Active | 1.03 (0.30–3.53) | 0.83 (0.24–2.90) | 0.82 (0.24–2.89) | 0.83 (0.24–2.94) | |
| Active-None | 2.56 (0.83–7.88) | 2.47 (0.79–7.70) | 2.77 (0.88–8.73) | 2.70 (0.86–8.53) | |
| Active-Active | 1.35 (0.44–4.13) | 1.21 (0.39–3.78) | 1.35 (0.43–4.25) | 1.37 (0.43–4.36) | |
| Female | None-None | 1.00 | 1.00 | 1.00 | 1.00 |
| None-Active | 1.22 (0.84–1.79) | 0.97 (0.65–1.45) | 0.96 (0.64–1.44) | 0.96 (0.64–1.45) | |
| Active-None | 1.24 (0.79–1.95) | 1.27 (0.78–2.07) | 1.27 (0.78–2.07) | 1.28 (0.78–2.09) | |
| Active-Active | 0.81 (0.60–1.20) | 0.69 (0.46–1.05) | 0.69 (0.46–1.05) | 0.70 (0.46–1.06) | |
| Lumbar Spine | |||||
| Gender | Group | Crude | Model 1 | Model 2 | Model 3 |
| Male | None-None | 1.00 | 1.00 | 1.00 | 1.00 |
| None-Active | 2.09 (0.23–18.96) | 1.51 (0.16–14.03) | 1.47 (0.16–13.80) | 1.27 (0.13–12.27) | |
| Active-None | 4.08 (0.49–33.69) | 3.37 (0.40–28.40) | 3.13 (0.37–26.57) | 3.42 (0.40–29.03) | |
| Active-Active | 1.57 (0.18–13.66) | 1.17 (0.13–10.40) | 1.10 (0.12–9.88) | 0.91 (0.09–8.53) | |
| Female | None-None | 1.00 | 1.00 | 1.00 | 1.00 |
| None-Active | 1.02 (0.70–1.51) | 0.81 (0.53–1.23) | 0.81 (0.53–1.23) | 0.79 (0.52–1.21) | |
| Active-None | 0.96 (0.60–1.53) | 0.95 (0.58–1.57) | 0.95 (0.57–1.56) | 0.97 (0.59–1.62) | |
| Active-Active | 0.77 (0.52–1.16) | 0.65 (0.42–1.00) | 0.65 (0.42–1.00) | 0.65 (0.42–1.00) | |
Publisher’s Note: MDPI stays neutral with regard to jurisdictional claims in published maps and institutional affiliations. |
© 2021 by the authors. Licensee MDPI, Basel, Switzerland. This article is an open access article distributed under the terms and conditions of the Creative Commons Attribution (CC BY) license (https://creativecommons.org/licenses/by/4.0/).
Share and Cite
Otsuka, H.; Tabata, H.; Shi, H.; Kaga, H.; Someya, Y.; Abulaiti, A.; Naito, H.; Umemura, F.; Kakehi, S.; Ishijima, M.; et al. Associations of Exercise Habits in Adolescence and Old Age with Risk of Osteoporosis in Older Adults: The Bunkyo Health Study. J. Clin. Med. 2021, 10, 5968. https://doi.org/10.3390/jcm10245968
Otsuka H, Tabata H, Shi H, Kaga H, Someya Y, Abulaiti A, Naito H, Umemura F, Kakehi S, Ishijima M, et al. Associations of Exercise Habits in Adolescence and Old Age with Risk of Osteoporosis in Older Adults: The Bunkyo Health Study. Journal of Clinical Medicine. 2021; 10(24):5968. https://doi.org/10.3390/jcm10245968
Chicago/Turabian StyleOtsuka, Hikaru, Hiroki Tabata, Huicong Shi, Hideyoshi Kaga, Yuki Someya, Abudurezake Abulaiti, Hitoshi Naito, Futaba Umemura, Saori Kakehi, Muneaki Ishijima, and et al. 2021. "Associations of Exercise Habits in Adolescence and Old Age with Risk of Osteoporosis in Older Adults: The Bunkyo Health Study" Journal of Clinical Medicine 10, no. 24: 5968. https://doi.org/10.3390/jcm10245968
APA StyleOtsuka, H., Tabata, H., Shi, H., Kaga, H., Someya, Y., Abulaiti, A., Naito, H., Umemura, F., Kakehi, S., Ishijima, M., Kawamori, R., Watada, H., & Tamura, Y. (2021). Associations of Exercise Habits in Adolescence and Old Age with Risk of Osteoporosis in Older Adults: The Bunkyo Health Study. Journal of Clinical Medicine, 10(24), 5968. https://doi.org/10.3390/jcm10245968

